Dynamic Analysis and PD Control in a 12-Pole Active Magnetic Bearing System
Abstract
1. Introduction
2. Mechanical Modeling and Control Differential Equations of Motion
3. Multiscale Perturbation Analysis
4. Numerical Simulation
4.1. Inherent Characteristic Analysis under PD Control
4.2. Influence of PD Control on Rotor Motion Trajectory
4.3. The Influence of PD Control on System Energy
4.4. Global Dynamic Analysis under PD Control
5. Conclusions
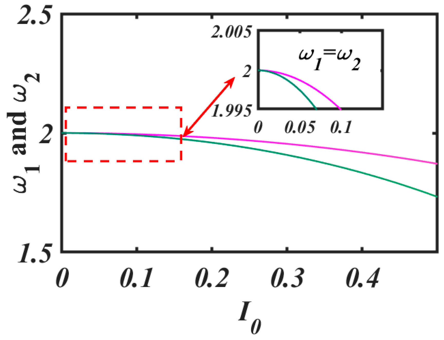
- The control parameters of the PD controller significantly alter the system’s amplitude, resonance region, and stiffness characteristics. Increasing the controller parameters within a certain range enhances the hardening spring properties of the system, thereby improving the control efficiency, as shown in Figure 2, Figure 3, Figure 4, Figure 5 and Figure 6.
- As shown in Figure 7, Figure 8, Figure 9, Figure 10 and Figure 11, compared to merely increasing the damping coefficient, the PD controller more effectively suppresses the rotor vibrations under no-damping conditions, ensuring motion stability and accelerating energy decay to achieve stable and rapid vibration suppression.
- As shown in Figure 12 and Figure 15, the system can transition from chaotic motion to periodic motion under the adjustment of the proportional coefficient and differential gain , indicating that the PD controller has a significant impact on the system’s stability. The range of the controller parameter changes in the two figures indicates that the proportional coefficient can quickly suppress the system’s vibration, while the differential gain can improve the control effectiveness. This phenomenon is crucial for understanding the dynamic characteristics of magnetic bearing systems and provides an important reference for designing and implementing more effective control strategies.
Author Contributions
Funding
Data Availability Statement
Conflicts of Interest
References
- Huang, Z.; Li, C.; Zhou, Z.; Liu, B.; Zhang, Y.; Yang, M.; Gao, T.; Liu, M.; Zhang, N.; Sharma, S.; et al. Magnetic bearing: Structure; model; control strategy. Int. J. Adv. Manuf. Technol. 2024, 131, 3287–3333. [Google Scholar] [CrossRef]
- Ji, J.C.; Hansen, C.H. Non-linear oscillations of a rotor in active magnetic bearings. J. Sound Vib. 2001, 240, 599–612. [Google Scholar] [CrossRef]
- Amer, Y.A.; Hegazy, U.H. Resonance behavior of a rotor-active magnetic bearing with time-varying stiffness. Chaos Solitons Fractals 2007, 34, 1328–1345. [Google Scholar] [CrossRef]
- Inayat-Hussain, J.I. Geometric coupling effects on the bifurcations of a flexible rotor response in active magnetic bearings. Chaos Solitons Fractals 2009, 41, 2664–2671. [Google Scholar] [CrossRef]
- Eissa, M.; Kamel, M.; Bauomy, H.S. Dynamics of an AMB-rotor with time varying stiffness and mixed excitations. Meccanica 2012, 47, 585–601. [Google Scholar] [CrossRef]
- Luo, H.Y.; Wang, Y.F. Nonlinear vibration of a continuum rotor with transverse electromagnetic and bearing excitations. Shock Vib. 2012, 19, 1297–1314. [Google Scholar] [CrossRef]
- Saeed, N.A.; Eissa, M.; El-Ganini, W.A. Nonlinear oscillations of rotor active magnetic bearings system. Nonlinear Dyn. 2013, 74, 1–20. [Google Scholar] [CrossRef]
- Zhang, W.; Wu, R.Q.; Siriguleng, B. Nonlinear vibrations of a rotor-active magnetic bearings system with 16-pole legs and two degrees of freedom. Shock Vib. 2020, 10, 1–29. [Google Scholar] [CrossRef]
- Wu, R.Q.; Zhang, W.; Yao, M.H. Nonlinear dynamics near resonances of a rotor-active magnetic bearings system with 16-pole legs and time varying stiffness. Mech. Syst. Signal Process. 2018, 100, 113–134. [Google Scholar] [CrossRef]
- Saeed, N.A.; El-Shourbagy, S.M.; Kamel, M.; Raslan, K.R.; Aboudaif, M.K. Nonlinear dynamics and static bifurcations control of the 12-pole magnetic bearings system utilizing the integral resonant control strategy. J. Low Freq. Noise Vib. Act. Control 2022, 41, 1532–1560. [Google Scholar] [CrossRef]
- Ji, J.C.; Leung, A.Y.T. Non-linear oscillations of a rotor-magnetic bearing system under superharmonic resonance conditions. Int. J. Non-Linear Mech. 2003, 38, 829–835. [Google Scholar] [CrossRef]
- Kamel, M.; Bauomy, H.S. Nonlinear behavior of a rotor-AMB system under multi-parametric excitations. Meccanica 2009, 45, 7–22. [Google Scholar] [CrossRef]
- Inoue, T.; Sugawara, Y. Nonlinear vibration analysis of a rigid rotating shaft supported by the magnetic bearing (influence of the integral feedback in the PID control of the vertical shaft). J. Syst. Des. Dyn. 2010, 4, 471–483. [Google Scholar] [CrossRef]
- Sung, H.C.; Park, J.B.; Joo, Y.H. Robust Fuzzy Controller for Active Magnetic Bearing System with 6-DOF. J. Korean Inst. Intell. Syst. 2012, 22, 267–272. [Google Scholar]
- Zhang, G.; Xi, G. Vibration control of a time-delayed rotor-active magnetic bearing system by time-varying stiffness. Int. J. Appl. Mech. 2022, 14, 2250007. [Google Scholar] [CrossRef]
- Wu, H.C.; Zhang, L.; Zhou, J.; Hu, Y.F. Dynamic analysis and vibration control of a rotor-active magnetic bearings system with base motion. J. Vib. Control 2023, 30, 2697–2708. [Google Scholar] [CrossRef]
- Xu, X.; Liu, Y.; Han, Q. A universal dynamic model and solution scheme for the electrical rotor system with wide range of eccentricity. Int. J. Non-Linear Mech. 2023, 152, 104402. [Google Scholar] [CrossRef]
- Chang, C.W.; Chu, L.M.; Chen, T.C.; Yau, H.T. Nonlinear dynamic of turbulent bearing-rotor system under quadratic damping with HSFD and active control. J. Braz. Soc. Mech. Sci. Eng. 2024, 26, 123. [Google Scholar] [CrossRef]
- Wang, C.; Liu, C.C.; Cao, S.K.; Sun, L. Nonlinear vibration control of magnetic bearing system considering positive and negative stiffness. J. Vib. Control 2024, 1–11. [Google Scholar] [CrossRef]
- Yeh, T.; Chung, Y.; Wu, W. Sliding Control of Magnetic Bearing Systems. J. Dyn. Syst. Meas. Control 2001, 123, 353–362. [Google Scholar] [CrossRef]
- Kaya, I. A PI-PD controller design for control of unstable and integrating processes. Isa Trans. 2003, 42, 111–121. [Google Scholar] [CrossRef]
- Jawaid, I.I.H. Bifurcations in the response of a rigid rotor supported by load sharing between magnetic and auxiliary bearings. Meccanica 2011, 46, 1341–1351. [Google Scholar]
- Wu, R.Q.; Yao, M.H. Analysis of Nonlinear Dynamics of a Rotor-Active Magnetic Bearing System with 16-Pole Legs. In Proceedings of the ASME 2017 International Design Engineering Technical Conferences and Computers and Information in Engineering Conference, Cleveland, OH, USA, 6–9 August 2017; Volume 6, p. 8. [Google Scholar]
- Ghazavi, M.R.; Sun, Q. Bifurcation onset delay in magnetic bearing systems by time varying stiffness. Mech. Syst. Signal Process. 2017, 90, 97–109. [Google Scholar] [CrossRef]
- Saeed, N.A.; Kandil, A. Two different control strategies for 16-pole rotor active magnetic bearings system with constant stiffness coefficients. Appl. Math. Model. 2021, 92, 1–22. [Google Scholar] [CrossRef]
- Ma, W.S.; Zhang, W.; Zhang, Y.F. Stability and multi-pulse jumping chaotic vibrations of a rotor-active magnetic bearing system with 16-pole legs under mechanical-electric-electromagnetic excitations. Eur. J. Mech.-A/Solids 2021, 85, 104120. [Google Scholar] [CrossRef]
- Kandil, A.; Sayed, M.; Saeed, N.A. On the nonlinear dynamics of constant stiffness coefficients 16-pole rotor active magnetic bearings system. Eur. J. Mech.-A/Solids 2020, 84, 104051. [Google Scholar] [CrossRef]
- Saeed, N.A.; Awwad, E.M.; El-Meligy, M.A.; Nasr, E.S.A. Radial versus cartesian control strategies to stabilize the nonlinear whirling motion of the six-pole rotor-AMBs. IEEE Access. 2020, 8, 138859–138883. [Google Scholar] [CrossRef]
- Xu, B.Y.; Zhou, J.; Xu, L.X. Adaptive backstepping control of active magnetic bearings with slice rotor. J. Vib. Eng. Technol. 2022, 10, 795–808. [Google Scholar] [CrossRef]
- Wei, S.; Zhou, J.; Han, X.; Zheng, S. A simplified analysis method and suppression of the modalities of a magnetic levitation turbo rotor system. Vacuum 2023, 217, 112452. [Google Scholar] [CrossRef]
- Zhou, Y.; Zhou, J.; Wang, Y.; Zhang, Y.; Xu, Y. Optimal phase compensation for a rotor-AMB system considering interface contact. J. Vib. Control 2023, 30, 2059–2071. [Google Scholar] [CrossRef]
- Kandil, A.; Hou, L.; Sharaf, M.; Arafa, A.A. Configuration angle effect on the control process of an oscillatory rotor in 8-pole active magnetic bearings. Mathematics 2024, 9, 12928–12963. [Google Scholar] [CrossRef]
- El-Shourbagy, S.M.; Saeed, N.A.; Kamel, M.; Raslan, K.R.; Aboudaif, M.K.; Awrejcewicz, J. Control performance, Stability conditions, and bifurcation analysis of the twelve-pole active magnetic bearings system. Appl. Sci. 2021, 11, 10839. [Google Scholar] [CrossRef]
- Nayfeh, A.H. Resolving Controversies in the Application of the Method of Multiple Scales and the Generalized Method of Averaging. Nonlinear Dyn. 2005, 40, 61–102. [Google Scholar] [CrossRef]
- Butcher, J.C. Runge–Kutta Methods for Ordinary Differential Equations. In Numerical Analysis and Optimization; Al-Baali, M., Grandinetti, L., Purnama, A., Eds.; Springer Proceedings in Mathematics & Statistics; Springer: Berlin/Heidelberg, Germany, 2015; Volume 34, pp. 37–58. [Google Scholar]

















Disclaimer/Publisher’s Note: The statements, opinions and data contained in all publications are solely those of the individual author(s) and contributor(s) and not of MDPI and/or the editor(s). MDPI and/or the editor(s) disclaim responsibility for any injury to people or property resulting from any ideas, methods, instructions or products referred to in the content. |
© 2024 by the authors. Licensee MDPI, Basel, Switzerland. This article is an open access article distributed under the terms and conditions of the Creative Commons Attribution (CC BY) license (https://creativecommons.org/licenses/by/4.0/).
Share and Cite
Ren, Y.; Ma, W. Dynamic Analysis and PD Control in a 12-Pole Active Magnetic Bearing System. Mathematics 2024, 12, 2331. https://doi.org/10.3390/math12152331
Ren Y, Ma W. Dynamic Analysis and PD Control in a 12-Pole Active Magnetic Bearing System. Mathematics. 2024; 12(15):2331. https://doi.org/10.3390/math12152331
Chicago/Turabian StyleRen, Yigen, and Wensai Ma. 2024. "Dynamic Analysis and PD Control in a 12-Pole Active Magnetic Bearing System" Mathematics 12, no. 15: 2331. https://doi.org/10.3390/math12152331
APA StyleRen, Y., & Ma, W. (2024). Dynamic Analysis and PD Control in a 12-Pole Active Magnetic Bearing System. Mathematics, 12(15), 2331. https://doi.org/10.3390/math12152331
