Acquiring the High-Precision Spectrum of Track Irregularity by Integrating Inclination in Chord Methods: Mathematics, Simulation, and a Case Study
Abstract
1. Introduction
2. Methodologies
2.1. Measuring Method
- (i)
- Take the -th segment as an example. As Figure 3a shows, the green line indicates the uneven surface of the track beam. Then, the track irregularity at point is the distance between the green curve and the real baseline (unknown), denoted by .
- (ii)
- The inclination of the level bar is obtained by the inclinometer, while the gaps between the level bar and the track surface are measured by the feeler gauge, as shown in Figure 3b. With the inclination and the known total length of the level bar (), the distance between the calculated baseline and the track baseline () is constant and, hence, we have Equation (1):where denotes the -th point in the segment and is the measurable data, given by . Based on sign rules, is positive when the surface elevation is over the baseline; otherwise, it is negative (e.g., in Figure 3). is positive when the calculated baseline is obtained by rotating the ruler counterclockwise (e.g., in Figure 3); otherwise, it is negative.
- (iii)
- Equation (1) relates the track irregularity of the first point to the others in each segment. For the end point in the segment , we have using Equation (1). Since the true value of track irregularity at each point depends only on the track condition, we have . Repeatedly, using Equation (1), the values in segment can be determined by . Then, the entire data can be obtained by using Equation (2).where means the end point.
2.2. Relationship between ICM and CMMs
2.3. Trend Extraction Method
3. Simulation and Case Study
3.1. Computer Simulation
3.2. Measurement in an MTTS Project
3.3. Numerical Simulation Using Multi-Body Dynamics
4. Conclusions
- The proposed ICM is derived from general chord-based methods and can maintain the initial baseline by utilizing inclination data, thereby obtaining an authentic waveform of track irregularity. Hence, it has advantages in waveform fidelity, recoverable range of wavelength, and resistance to interference parametric selection. In addition, it has the potential to be integrated into current chord-based systems conveniently.
- All the measurement and signal processing methods were successfully validated by computer simulations. Simulations of using ICM at predetermined errors demonstrated its accuracy and robustness both qualitatively and quantitatively. The RMS values of the ICM measurement differences were 3.58 × 10−4, 0.31, 0.59, and 0.856 mm (under an actual, 1, 3, and 5 times the nominal error), respectively, compared with an averaged value of 1.27 mm for CMM.
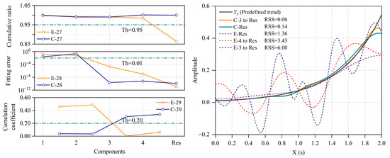
- An adaptive method for trend extraction was summarized as follows: decomposing signals by CEEMDAN and identifying trend components based on HMS. Calculation proved that such a combination improves the performance of signal decomposition, thereby enhancing the quality of trend identification and subsequent spectral estimation, especially for those nonstationary signals with trend items of high amplitude.
- The longitudinal level irregularity of an MTTS project was successfully measured and a high-precision spectrum was obtained. Comparison of results further proves ICM in obtaining the actual value and corresponding high-precision PSD of track irregularity. Results show that more attention should be paid to LLI with a wavelength smaller than 12.5 m when adopting the Japanese spectrum. A more recommended spectrum is provided by .
- The results of the numerical simulation indicate that both the amplitude and the frequency features are essential for the evaluation of the dynamic responses of MTTS. Under the excitation of track irregularity, the fluctuation amplitude of the simulated vertical displacement and the maximum acceleration response can even reach two to three times the original amplitude.
Supplementary Materials
Author Contributions
Funding
Data Availability Statement
Acknowledgments
Conflicts of Interest
Abbreviations
| CEEMDAN: | complete ensemble empirical mode decomposition with adaptive noise |
| CMM: | chord measuring method |
| EMD: | empirical mode decomposition |
| FEM: | finite element method |
| FIR: | finite impulse response |
| FPOM: | four-point offset method |
| HMS: | Hilbert marginal spectrum |
| IMF: | intrinsic mode function |
| IRM: | inertial reference method |
| LLI: | longitudinal level irregularity |
| MBD: | multi-body dynamics |
| MTTS: | monorail tour-transit systems |
| PSD: | power spectral density |
| RMS: | root-mean-square |
| RSS: | residual sum of squares |
| SZL: | San-zhao-lun (city name) |
| TPOM: | three-point offset method |
References
- Hettiarachchi, C.; Yuan, J.; Amirkhanian, S.; Xiao, F. Measurement of pavement unevenness and evaluation through the IRI parameter—An overview. Measurement 2023, 206, 112284. [Google Scholar] [CrossRef]
- Munoz, S.; Urda, P.; Yu, X.; Mikkola, A.; Escalona, J.L. Real-Time Measurement of Track Irregularities Using an Instrumented Axle and Kalman Filtering Techniques. J. Comput. Nonlinear Dyn. 2023, 18, 111005. [Google Scholar] [CrossRef]
- Matsuoka, K.; Tanaka, H. Drive-by deflection estimation method for simple support bridges based on track irregularities measured on a traveling train. Mech. Syst. Signal Process. 2023, 182, 109549. [Google Scholar] [CrossRef]
- Zhang, T. APM and Monorail for urban applications. In Proceedings of the Automated People Movers and Automated Transit Systems, Toronto, ON, Canada, 17–20 April 2016; pp. 222–239. [Google Scholar]
- Timan, P.E. Why monorail systems provide a great solution for metropolitan areas. Urban Rail Transit 2015, 1, 13–25. [Google Scholar] [CrossRef]
- Cantero, D.; Karoumi, R. Numerical evaluation of the mid-span assumption in the calculation of total load effects in railway bridges. Eng. Struct. 2016, 107, 1–8. [Google Scholar] [CrossRef]
- Naeimi, M.; Zakeri, J.A.; Esmaeili, M.; Mehrali, M. Dynamic response of sleepers in a track with uneven rail irregularities using a 3D vehicle–track model with sleeper beams. Arch. Appl. Mech. 2015, 85, 1679–1699. [Google Scholar] [CrossRef]
- Zhou, J.; Du, Z.; Yang, Z.; Xu, Z. Dynamic parameters optimization of straddle-type monorail vehicles based multiobjective collaborative optimization algorithm. Veh. Syst. Dyn. 2019, 3, 357–376. [Google Scholar] [CrossRef]
- Tsai, H.C.; Wang, C.Y.; Huang, N.E.; Kuo, T.W.; Chieng, W.H. Railway track inspection based on the vibration response to a scheduled train and the Hilbert–Huang transform. Proc. Inst. Mech. Eng. Part F J. Rail Rapid Transit 2015, 229, 815–829. [Google Scholar] [CrossRef]
- Tanaka, H.; Shimizu, A. Practical application of portable trolley for the continuous measurement of rail surface roughness for rail corrugation maintenance. Q. Rep. RTRI 2016, 57, 118–124. [Google Scholar] [CrossRef]
- Jeong, W. Spectral Characteristics of Rail Surface by Measuring the Growth of Rail Corrugation. Appl. Sci. 2021, 11, 9568. [Google Scholar] [CrossRef]
- Peng, L.; Zheng, S.; Li, P.; Wang, Y.; Zhong, Q. A comprehensive detection system for track geometry using fused vision and inertia. IEEE Trans. Instrum. Meas. 2020, 70, 1–15. [Google Scholar] [CrossRef]
- Lee, J.S.; Choi, S.; Kim, S.S.; Park, C.; Kim, Y.G. A mixed filtering approach for track condition monitoring using accelerometers on the axle box and bogie. IEEE Trans. Instrum. Meas. 2011, 61, 749–758. [Google Scholar] [CrossRef]
- Lathe, A.S.; Gautam, A. Estimating vertical profile irregularities from vehicle dynamics measurements. IEEE Sens. J. 2019, 20, 377–385. [Google Scholar] [CrossRef]
- Shi, J.; Fang, W.S.; Wang, Y.J.; Zhao, Y. Measurements and analysis of track irregularities on high speed maglev lines. J. Zhejiang Univ. Sci. A 2014, 15, 385–394. [Google Scholar] [CrossRef]
- Salvador, P.; Naranjo, V.; Insa, R.; Teixeira, P. Axlebox accelerations: Their acquisition and time–frequency characterisation for railway track monitoring purposes. Measurement 2016, 82, 301–312. [Google Scholar] [CrossRef]
- Zhang, S.; Kang, X.; Liu, X. Characteristic analysis of the power spectral density (PSD) of track irregularity on Beijing-Tianjin inter-city railway. China Railw. Sci. 2008, 29, 25–30. [Google Scholar]
- Wang, Y.; Tang, H.; Wang, P.; Liu, X.; Chen, R. Multipoint chord reference system for track irregularity: Part I—Theory and methodology. Measurement 2019, 138, 240–255. [Google Scholar] [CrossRef]
- Wang, Y.; Tang, H.; Wang, P.; Liu, X.; Chen, R. Multipoint chord reference system for track irregularity: Part II—Numerical analysis. Measurement 2019, 138, 194–205. [Google Scholar] [CrossRef]
- Guo, F.; Chen, K.; Gu, F.; Wang, H.; Wen, T. Reviews on current situation and development of straddle-type monorail tour transit system in China. J. Cent. South Univ. Sci. Technol. 2021, 52, 4540–4551. [Google Scholar]
- Guo, F.; Wang, P. Measurement and analysis of the longitudinal level irregularity of the track beam in monorail tour-transit systems. Sci. Rep. 2022, 12, 19219. [Google Scholar] [CrossRef]
- Lee, C.H.; Kawatani, M.; Kim, C.W.; Nishimura, N.; Kobayashi, Y. Dynamic response of a monorail steel bridge under a moving train. J. Sound Vib. 2006, 294, 562–579. [Google Scholar] [CrossRef]
- Gou, H.; Zhou, W.; Yang, C.; Bao, Y.; Pu, Q. Dynamic response of a long-span concrete-filled steel tube tied arch bridge and the riding comfort of monorail trains. Appl. Sci. 2018, 8, 650. [Google Scholar] [CrossRef]
- Kim, Y.S.; Lim, T.K.; Park, S.H.; Jeong, R.G. Dynamic model for ride comfort evaluations of the rubber-tired light rail vehicle. Veh. Syst. Dyn. 2008, 46, 1061–1082. [Google Scholar] [CrossRef]
- Yu, Z.W.; Mao, J.F. A stochastic dynamic model of train-track-bridge coupled system based on probability density evolution method. Appl. Math. Model. 2018, 59, 205–232. [Google Scholar] [CrossRef]
- Wu, Z.; Huang, N.E. Ensemble empirical mode decomposition: A noise-assisted data analysis method. Adv. Adapt. Data Anal. 2009, 1, 1–41. [Google Scholar] [CrossRef]
- Zhang, J.; Pan, Z.X.; Zheng, Y.X.; Li, Y. Research on vibration signal trend extraction. Acta Electron. Sin. 2017, 45, 22–28. [Google Scholar]
- Lu, S.; Wang, X.; Yu, H.; Dong, H.; Yang, Z. Trend extraction and identification method of cement burning zone flame temperature based on EMD and least square. Measurement 2017, 111, 208–215. [Google Scholar] [CrossRef]
- Yang, Z.; Ling, B.W.K.; Bingham, C. Trend extraction based on separations of consecutive empirical mode decomposition components in Hilbert marginal spectrum. Measurement 2013, 46, 2481–2491. [Google Scholar] [CrossRef]
- Colominas, M.A.; Schlotthauer, G.; Torres, M.E. Improved complete ensemble EMD: A suitable tool for biomedical signal processing. Biomed. Signal Process. Control. 2014, 14, 19–29. [Google Scholar] [CrossRef]
- Yoshimura, A. Theory and practice for restoring an original waveform of a railway track irregularity. Railw. Tech. Res. Inst. Q. Rep. 1995, 36, 85–94. [Google Scholar]
- Bosso, N.; Zampieri, N. Long train simulation using a multibody code. Veh. Syst. Dyn. 2017, 55, 552–570. [Google Scholar] [CrossRef]
- Lovisa, A.C.; Garack, O.; Clarke, J.; Michael, M. A workflow for the dynamic analysis of freight cars using Simpack. In Dynamics of Vehicles on Roads and Tracks; CRC Press: Boca Raton, FL, USA, 2017; Volume 2, pp. 1297–1302. [Google Scholar]
- Li, Y.; Xu, X.; Zhou, Y.; Cai, C.S.; Qin, J. An interactive method for the analysis of the simulation of vehicle–bridge coupling vibration using ANSYS and SIMPACK. Proc. Inst. Mech. Eng. Part F J. Rail Rapid Transit 2018, 232, 663–679. [Google Scholar] [CrossRef]





















| Method | Transfer Function | Parametric Value (mm) | Recoverable Wavelength (mm) |
|---|---|---|---|
| TPOM | a = 200, b = 800, l = 1000 | 208–5535 | |
| a = 300, b = 700, l = 1000 | 102–6369 | ||
| a = 400, b = 600, l = 1000 | 207–6821 | ||
| FPOM | m =200, n =150, k = 650 | 51–4979 | |
| m = 300, n = 50, k = 650 | 51–6134 | ||
| m = 400, n = 50, k = 550 | 51–6526 |
Disclaimer/Publisher’s Note: The statements, opinions and data contained in all publications are solely those of the individual author(s) and contributor(s) and not of MDPI and/or the editor(s). MDPI and/or the editor(s) disclaim responsibility for any injury to people or property resulting from any ideas, methods, instructions or products referred to in the content. |
© 2024 by the authors. Licensee MDPI, Basel, Switzerland. This article is an open access article distributed under the terms and conditions of the Creative Commons Attribution (CC BY) license (https://creativecommons.org/licenses/by/4.0/).
Share and Cite
Wang, P.; Guo, F.; Zhang, H.; Jin, J.; Liao, Q.; Yan, Y. Acquiring the High-Precision Spectrum of Track Irregularity by Integrating Inclination in Chord Methods: Mathematics, Simulation, and a Case Study. Mathematics 2024, 12, 2197. https://doi.org/10.3390/math12142197
Wang P, Guo F, Zhang H, Jin J, Liao Q, Yan Y. Acquiring the High-Precision Spectrum of Track Irregularity by Integrating Inclination in Chord Methods: Mathematics, Simulation, and a Case Study. Mathematics. 2024; 12(14):2197. https://doi.org/10.3390/math12142197
Chicago/Turabian StyleWang, Pengjiao, Fengqi Guo, Hong Zhang, Junhui Jin, Qiaoyun Liao, and Yongfeng Yan. 2024. "Acquiring the High-Precision Spectrum of Track Irregularity by Integrating Inclination in Chord Methods: Mathematics, Simulation, and a Case Study" Mathematics 12, no. 14: 2197. https://doi.org/10.3390/math12142197
APA StyleWang, P., Guo, F., Zhang, H., Jin, J., Liao, Q., & Yan, Y. (2024). Acquiring the High-Precision Spectrum of Track Irregularity by Integrating Inclination in Chord Methods: Mathematics, Simulation, and a Case Study. Mathematics, 12(14), 2197. https://doi.org/10.3390/math12142197

