Analysis of a Two-Stage Tandem Queuing System with Priority and Clearing Service in the Second Stage
Abstract
1. Introduction
- 1.
- We propose a novel tandem queuing model consisting of a single service at stage one and a clearing service at stage two that is commonly found in real life. In the model, we also consider customers with priority to bypass stage one and directly access stage two for service, which is more in line with the practical situation.
- 2.
- We formulate the studied system as a two-dimensional Markov chain and derive the stationary distribution using the matrix-analytic and spectral expansion methods. Our theoretical results may be useful for solving problems in similar service systems.
- 3.
- We conduct sensitivity analysis of various parameters on system performance characteristics, providing a theoretical foundation and practical guidance for service system design and optimization.
2. Queuing Model and Its Formulation
- The capacity of queue 1 is infinite, while queue 2 has N spots.
- Ordinary and priority customers arrive at the system according to two independent Poisson processes with arrival rates and , respectively.
- Upon the arrival of a priority customer, if the number of customers in the second stage reaches the threshold N, the customer will balk (leaves without joining the system), i.e., a priority customer enters the system only when the number of customers at stage two is fewer than N upon his/her arrival.
- Ordinary customers are served individually (single service) in the first stage based on the First-Come-First-Served (FCFS) discipline. All customers are served together (clearing service) in the second stage. There are N customers who are being served in the second stage at most. The single service time and clearing service time are independent and exponentially distributed with parameters and , respectively.
- If the number of customers in the second stage is fewer than N, any ordinary customer who finished their service at stage one will immediately move to stage two and receive a clearing service. However, if the queue length of the second stage reaches the capacity threshold N, the first stage and ordinary customers in the first stage will be blocked. In this case, the first stage stops providing service even if there are some customers in the first stage. The service in the first stage will be resumed only when some spots are available in the second stage.
3. Stability Condition
4. Steady-State Analysis
4.1. Stationary Probability Distribution
| Algorithm 1: Pseudo code for deriving the rate matrix . |
Input: Tolerance , , matrix , , and . Output: Rate matrix . Step 1: Set . Step 2: . Step 3: While
do ; . End while Step 4: . |
4.2. Sojourn Time of a Customer in the System
5. Performance Measures
6. Numerical Examples
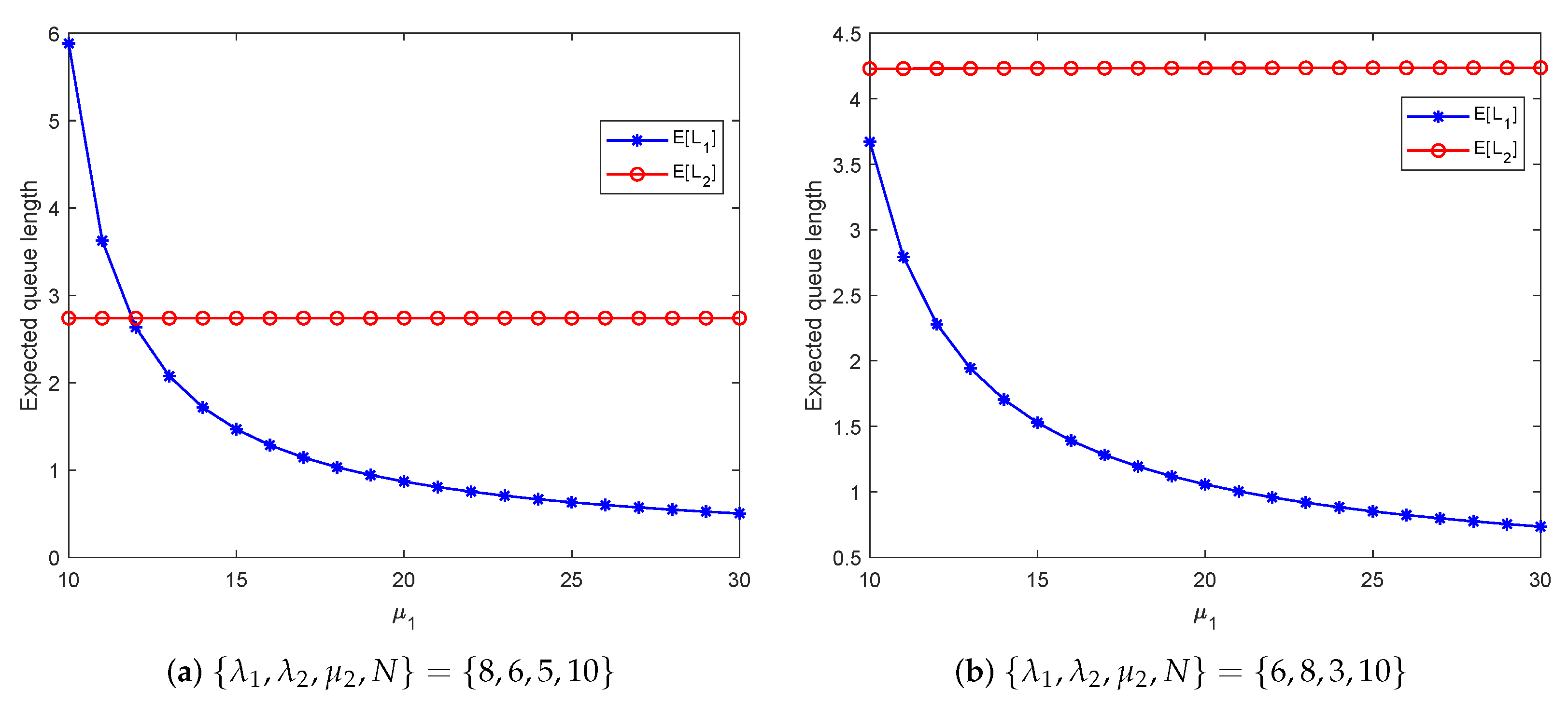
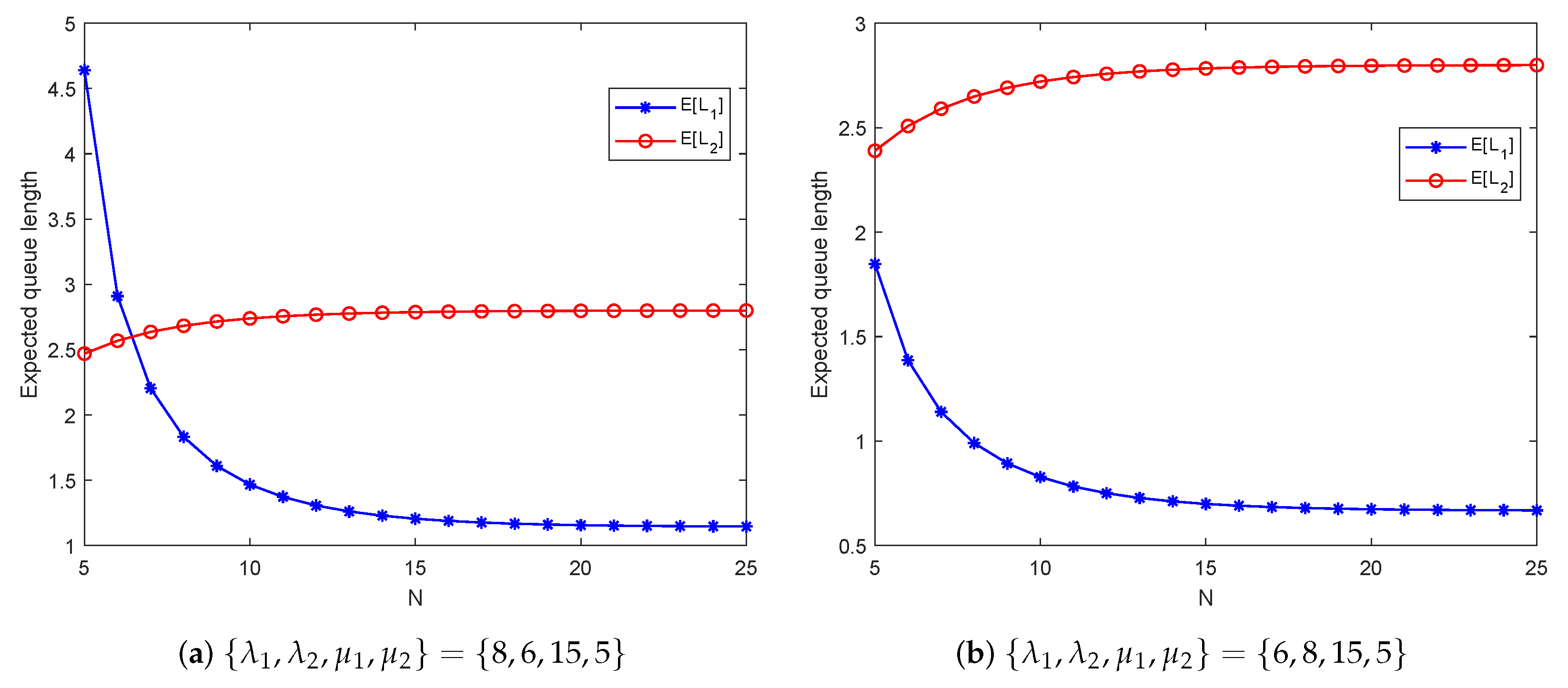
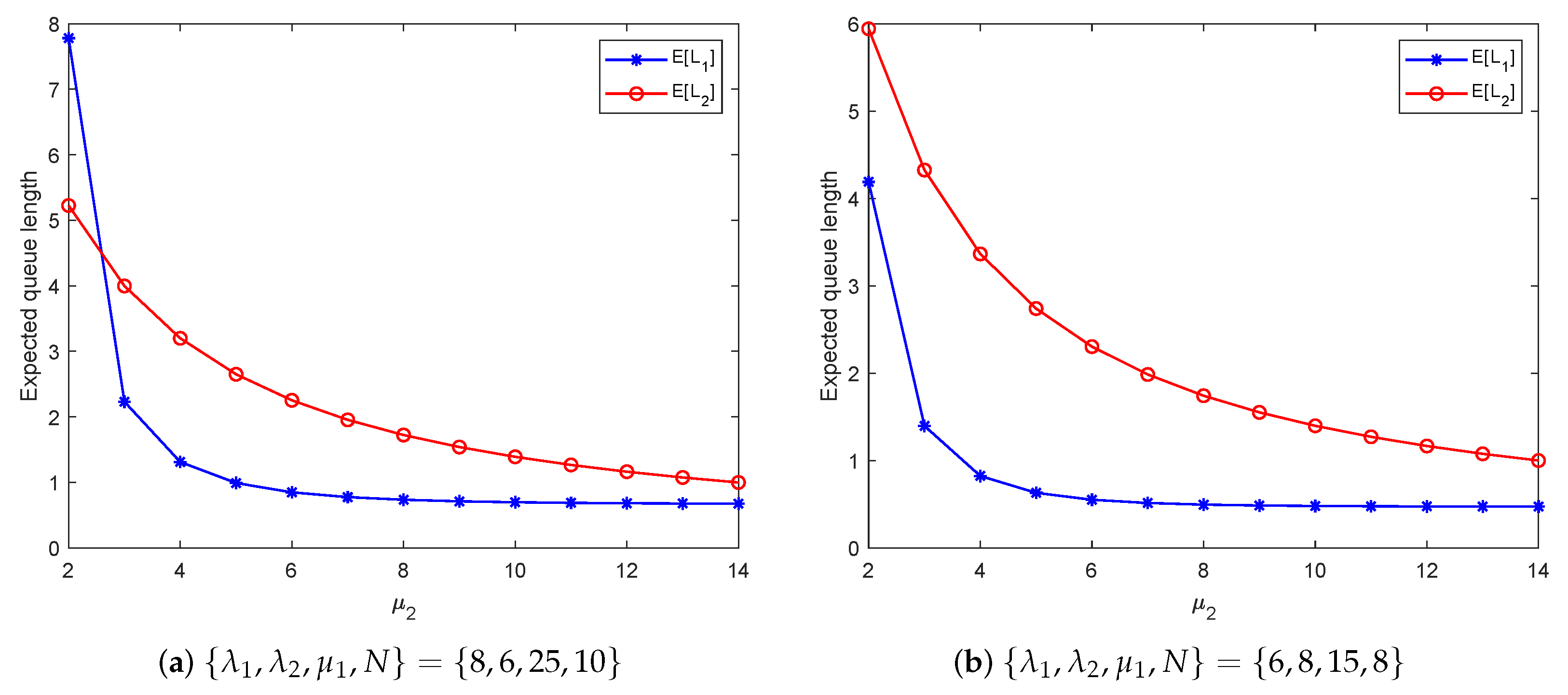
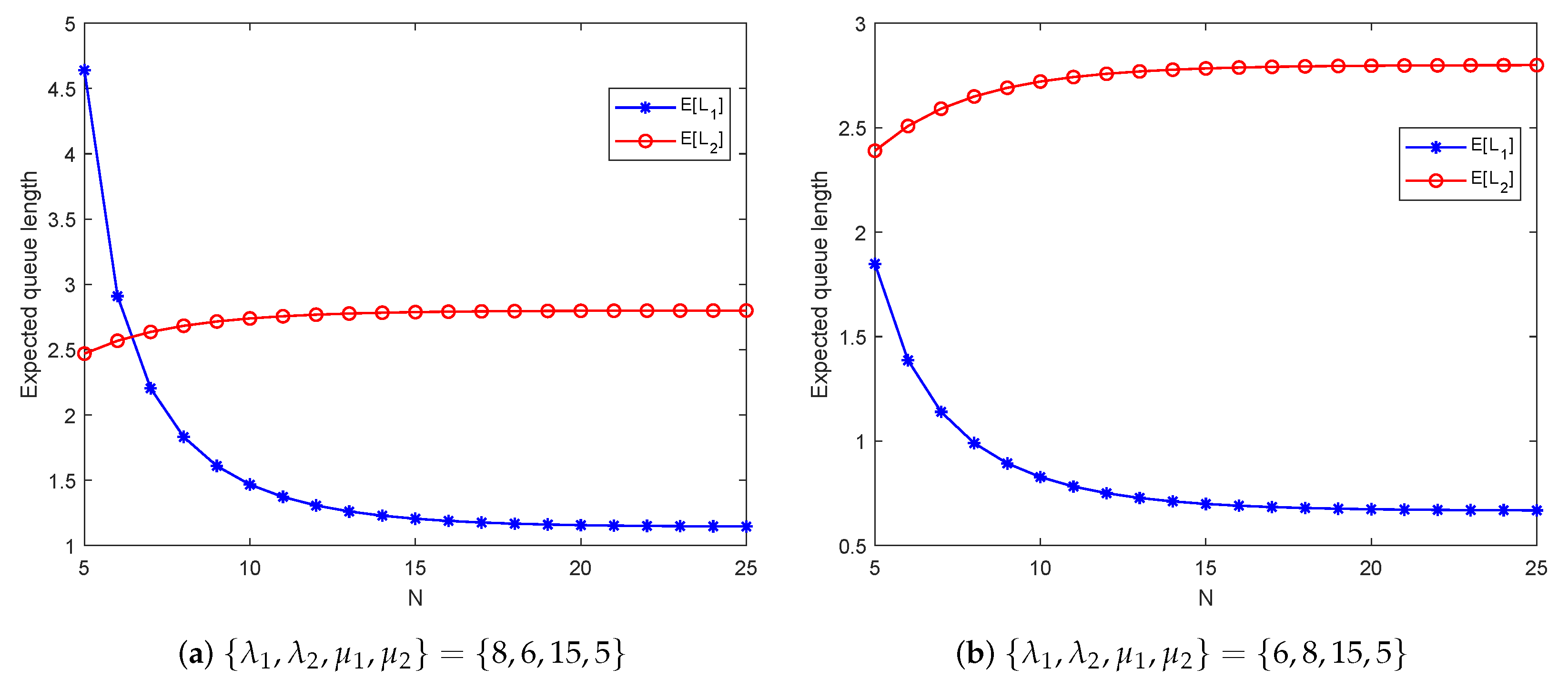
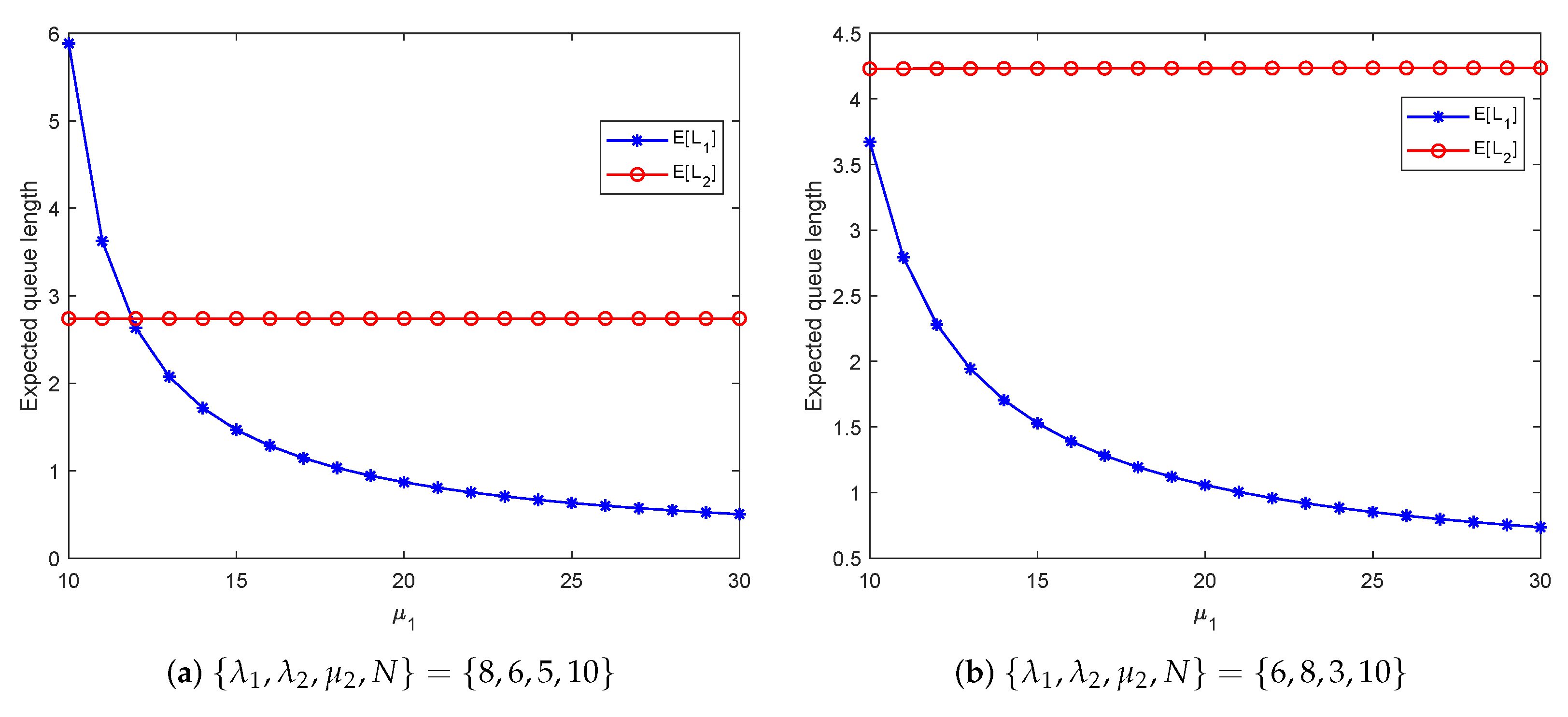
6.1. Sensitivity Analysis of System Parameters on Expected Queue Length
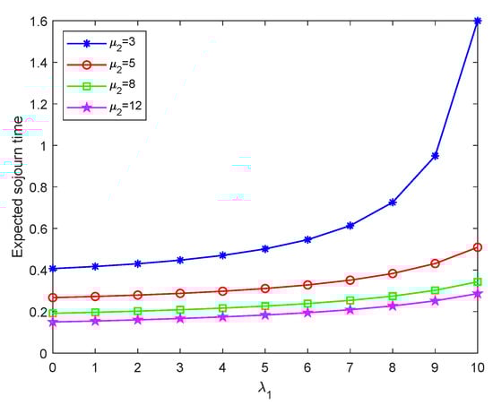
6.2. Sensitivity Analysis of System Parameters on Expected Sojourn Time of an Ordinary Customer
6.3. Sensitivity Analysis of System Parameters on Performance Measures
7. Conclusions
Author Contributions
Funding
Data Availability Statement
Conflicts of Interest
References
- Balsamo, S.; Persone, V.D.N.; Inverardi, P. A review on queuing network models with finite capacity queues for software architectures performance prediction. Perform. Eval. 2003, 51, 269–288. [Google Scholar] [CrossRef]
- Balsamo, S. Queueing networks with blocking: Analysis, solution algorithms and properties. In Network Performance Engineering: A Handbook on Convergent Multi-Service Networks and Next Generation Internet; Springer: Berlin/Heidelberg, Germany, 2011; pp. 233–257. [Google Scholar]
- Wang, J.; Abouee-Mehrizi, H.; Baron, O.; Berman, O. Tandem queues with impatient customers. Perform. Eval. 2019, 135, 102011. [Google Scholar] [CrossRef]
- Do, T.V. A closed-form solution for a tollbooth tandem queue with two heterogeneous servers and exponential service times. Eur. J. Oper. Res. 2015, 247, 672–675. [Google Scholar] [CrossRef]
- Jackson, J.R. Networks of waiting lines. Oper. Res. 1957, 5, 518–521. [Google Scholar] [CrossRef]
- VanOyen, M.P.; Teneketzis, D. Optimal stochastic scheduling of forest networks with switching penalties. Adva. Appl. Probab. 1994, 26, 474–497. [Google Scholar] [CrossRef]
- Katayama, T. Performance analysis and optimization of a cyclic service tandem queueing system with multi-class customers. Comput. Math. Appl. 1992, 4, 25–33. [Google Scholar] [CrossRef][Green Version]
- Chang, K.-H.; Chen, W.-F. Admission control policies for two-stage tandem queues with no waiting spaces. Comput. Oper. Res. 2003, 30, 589–601. [Google Scholar] [CrossRef]
- Neuts, M.F. Two queues in series with a finite, intermediate waiting room. J. Appl. Probab. 1968, 5, 123–142. [Google Scholar] [CrossRef]
- Neuts, M. Matrix-Geometric Solutions in Stochastic Models; The Johns Hopkins University Press: Baltimore, MD, USA, 1981. [Google Scholar]
- Yang, W.-S.; Kim, T.; Park, H.; Lim, D. Analysis of a two-stage queue with a single server and N-policy. Am. J. Math. Manag. Sci. 2016, 35, 261–270. [Google Scholar] [CrossRef]
- Nazarov, A.; Phung-Duc, T.; Paul, S.; Morozova, M. Scaling limits of a tandem queue with two infinite orbits. Mathematics 2023, 11, 2454. [Google Scholar] [CrossRef]
- Dudin, S.A.; Dudina, O.S.; Dudin, A.N. Analysis of tandem queue with multi-server stages and group service at the second stage. Axioms 2024, 13, 214. [Google Scholar] [CrossRef]
- Choi, B.D.; Chang, Y. Single server retrial queues with priority calls. Math. Comput. Modell. 1999, 30, 27–32. [Google Scholar] [CrossRef]
- Gómez-Corral, A. Analysis of a single-server retrial queue with quasi-random input and non-preemptive priority. Comput. Math. Appl. 2020, 43, 767–782. [Google Scholar] [CrossRef][Green Version]
- Walraevens, J.; Steyaert, B.; Bruneel, H. A preemptive repeat priority queue with resampling: Performance analysis. Ann. Oper. Res. 2006, 146, 189–202. [Google Scholar] [CrossRef]
- Artalejo, J.R.; Dudin, A.N.; Klimenok, V.I. Stationary analysis of a retrial queue with preemptive repeated attempts. Oper. Res. Lett. 2001, 28, 173–180. [Google Scholar] [CrossRef]
- Kim, C.; Klimenok, V.I.; Dudin, A.N. Priority tandem queueing system with retrials and reservation of channels as a model of call center. Comput. Ind. Eng. 2016, 96, 61–71. [Google Scholar] [CrossRef]
- Liu, B.; Zhao, Y.Q. Tail asymptotics for the M1, M2/G1, G2/1 retrial queue with non-preemptive priority. Queueing Syst. 2020, 96, 169–199. [Google Scholar] [CrossRef]
- Lee, S.; Dudin, S.; Dudina, O.; Kim, C.; Klimenok, V. A priority queue with many customer types, correlated arrivals and changing priorities. Mathematics 2020, 8, 1292. [Google Scholar] [CrossRef]
- Kim, C.; Dudin, S. Priority tandem queueing model with admission control. Comput. Ind. Eng. 2011, 61, 131–140. [Google Scholar] [CrossRef]
- Atencia, I. A Geo/G/1 retrial queueing system with priority services. Eur. J. Oper. Res. 2017, 256, 178–186. [Google Scholar] [CrossRef]
- Xie, J.; Zhu, T.; Chao, A.K.; Wang, S. Performance analysis of service systems with priority upgrades. Ann. Oper. Res. 2017, 253, 683–705. [Google Scholar] [CrossRef]
- Xu, J.; Liu, L.; Wu, K. Analysis of a retrial queueing system with priority service and modified multiple vacations. Comm. Stat. Theory Methods 2023, 52, 6207–6231. [Google Scholar] [CrossRef]
- Chamberlain, J.; Starobinski, D. Social welfare and price of anarchy in preemptive priority queues. Oper. Res. Lett. 2020, 48, 530–533. [Google Scholar] [CrossRef]
- Mitrani, I.; Chakka, R. Spectral expansion solution for a class of Markov models: Application and comparison with the matrix-geometric method. Perform. Eval. 1995, 23, 241–260. [Google Scholar] [CrossRef]
- Haverkort, B.R.; Ost, A. Steady-state analysis of infinite stochastic Petri nets: Comparing the spectral expansion and the matrix-geometric method. In Proceedings of the Seventh International Workshop on Petri Nets and Performance Models, Saint Malo, France, 3–6 June 1997; pp. 36–45. [Google Scholar]












| 1 | 0.9323 | 0.4164 | 0.3885 | 0.0667 | 0.5836 | 0.0046 |
| 2 | 0.8637 | 0.3840 | 0.3322 | 0.1333 | 0.6160 | 0.0078 |
| 3 | 0.7939 | 0.3559 | 0.2835 | 0.2000 | 0.6441 | 0.0122 |
| 4 | 0.7229 | 0.3313 | 0.2410 | 0.2667 | 0.6687 | 0.0176 |
| 5 | 0.6504 | 0.3096 | 0.2033 | 0.3333 | 0.6904 | 0.0243 |
| 6 | 0.5766 | 0.2901 | 0.1696 | 0.4000 | 0.7099 | 0.0320 |
| 7 | 0.5013 | 0.2726 | 0.1392 | 0.4667 | 0.7274 | 0.0408 |
| 8 | 0.4245 | 0.2568 | 0.1117 | 0.5333 | 0.7432 | 0.0507 |
| 9 | 0.3463 | 0.2423 | 0.0866 | 0.6000 | 0.7577 | 0.0616 |
| 1 | 0.4563 | 0.3545 | 0.1630 | 0.5333 | 0.6455 | 0.0125 |
| 2 | 0.4517 | 0.3299 | 0.1506 | 0.5333 | 0.6701 | 0.0182 |
| 3 | 0.4461 | 0.3083 | 0.1394 | 0.5333 | 0.6917 | 0.0249 |
| 4 | 0.4397 | 0.2892 | 0.1293 | 0.5333 | 0.7108 | 0.0326 |
| 5 | 0.4324 | 0.2721 | 0.1201 | 0.5333 | 0.7279 | 0.0413 |
| 6 | 0.4245 | 0.2568 | 0.1117 | 0.5333 | 0.7432 | 0.0507 |
| 7 | 0.4159 | 0.2430 | 0.1040 | 0.5333 | 0.7570 | 0.0608 |
| 8 | 0.4069 | 0.2305 | 0.0969 | 0.5333 | 0.7695 | 0.0715 |
| 9 | 0.3973 | 0.2191 | 0.0903 | 0.5333 | 0.7809 | 0.0827 |
| N | |||||||
|---|---|---|---|---|---|---|---|
| 10 | 0.0493 | 0.3115 | 0.0164 | 0.8000 | 0.6885 | 0.1545 | |
| 15 | 0.3388 | 0.3105 | 0.1129 | 0.5333 | 0.6895 | 0.1537 | |
| 5 | 20 | 0.4836 | 0.3098 | 0.1612 | 0.4000 | 0.6902 | 0.1532 |
| 25 | 0.5705 | 0.3093 | 0.1902 | 0.3200 | 0.6907 | 0.1529 | |
| 30 | 0.6284 | 0.3089 | 0.2095 | 0.2667 | 0.6911 | 0.1526 | |
| 10 | 0.1836 | 0.3310 | 0.0612 | 0.8000 | 0.6690 | 0.0179 | |
| 15 | 0.4526 | 0.3308 | 0.1509 | 0.5333 | 0.6692 | 0.0179 | |
| 10 | 20 | 0.5871 | 0.3307 | 0.1957 | 0.4000 | 0.6693 | 0.0179 |
| 25 | 0.6678 | 0.3307 | 0.2226 | 0.3200 | 0.6693 | 0.0178 | |
| 30 | 0.7216 | 0.3306 | 0.2405 | 0.2667 | 0.6694 | 0.0178 | |
| 10 | 0.1979 | 0.3330 | 0.0660 | 0.8000 | 0.6670 | 0.0023 | |
| 15 | 0.4649 | 0.3330 | 0.1550 | 0.5333 | 0.6670 | 0.0023 | |
| 15 | 20 | 0.5983 | 0.3330 | 0.1994 | 0.4000 | 0.6670 | 0.0023 |
| 25 | 0.6784 | 0.3330 | 0.2261 | 0.3200 | 0.6670 | 0.0023 | |
| 30 | 0.7318 | 0.3330 | 0.2439 | 0.2667 | 0.6670 | 0.0023 | |
| 10 | 0.1997 | 0.3333 | 0.0666 | 0.8000 | 0.6667 | 0.0003 | |
| 15 | 0.4664 | 0.3333 | 0.1555 | 0.5333 | 0.6667 | 0.0003 | |
| 20 | 20 | 0.5998 | 0.3333 | 0.1999 | 0.4000 | 0.6667 | 0.0003 |
| 25 | 0.6798 | 0.3333 | 0.2266 | 0.3200 | 0.6667 | 0.0003 | |
| 30 | 0.7331 | 0.3333 | 0.2444 | 0.2667 | 0.6667 | 0.0003 |
| N | |||||||
|---|---|---|---|---|---|---|---|
| 3 | 0.0581 | 0.1105 | 0.0103 | 0.4000 | 0.8895 | 0.5535 | |
| 5 | 0.3698 | 0.2241 | 0.0973 | 0.4000 | 0.7759 | 0.2744 | |
| 5 | 8 | 0.5137 | 0.3452 | 0.1868 | 0.4000 | 0.6548 | 0.1181 |
| 10 | 0.5495 | 0.4050 | 0.2290 | 0.4000 | 0.5950 | 0.0735 | |
| 15 | 0.5832 | 0.5130 | 0.3017 | 0.4000 | 0.4870 | 0.0272 | |
| 3 | 0.4521 | 0.1585 | 0.0798 | 0.4000 | 0.8415 | 0.1714 | |
| 5 | 0.5607 | 0.2565 | 0.1476 | 0.4000 | 0.7435 | 0.0505 | |
| 10 | 8 | 0.5922 | 0.3620 | 0.2153 | 0.4000 | 0.6380 | 0.0111 |
| 10 | 0.5969 | 0.4160 | 0.2487 | 0.4000 | 0.5840 | 0.0046 | |
| 15 | 0.5996 | 0.5171 | 0.3101 | 0.4000 | 0.4829 | 0.0007 | |
| 3 | 0.5504 | 0.1704 | 0.0971 | 0.4000 | 0.8296 | 0.0589 | |
| 5 | 0.5920 | 0.2618 | 0.1558 | 0.4000 | 0.7382 | 0.0104 | |
| 15 | 8 | 0.5992 | 0.3635 | 0.2179 | 0.4000 | 0.6365 | 0.0011 |
| 10 | 0.5998 | 0.4166 | 0.2499 | 0.4000 | 0.5834 | 0.0003 | |
| 15 | 0.6000 | 0.5172 | 0.3103 | 0.4000 | 0.4828 | 0.0000 | |
| 3 | 0.5821 | 0.1743 | 0.1027 | 0.4000 | 0.8257 | 0.0213 | |
| 5 | 0.5983 | 0.2629 | 0.1574 | 0.4000 | 0.7371 | 0.0022 | |
| 20 | 8 | 0.5999 | 0.3636 | 0.2182 | 0.4000 | 0.6364 | 0.0001 |
| 10 | 0.6000 | 0.4167 | 0.2500 | 0.4000 | 0.5833 | 0.0000 | |
| 15 | 0.6000 | 0.5172 | 0.3103 | 0.4000 | 0.4828 | 0.0000 |
Disclaimer/Publisher’s Note: The statements, opinions and data contained in all publications are solely those of the individual author(s) and contributor(s) and not of MDPI and/or the editor(s). MDPI and/or the editor(s) disclaim responsibility for any injury to people or property resulting from any ideas, methods, instructions or products referred to in the content. |
© 2024 by the authors. Licensee MDPI, Basel, Switzerland. This article is an open access article distributed under the terms and conditions of the Creative Commons Attribution (CC BY) license (https://creativecommons.org/licenses/by/4.0/).
Share and Cite
Xu, J.; Liu, L. Analysis of a Two-Stage Tandem Queuing System with Priority and Clearing Service in the Second Stage. Mathematics 2024, 12, 1500. https://doi.org/10.3390/math12101500
Xu J, Liu L. Analysis of a Two-Stage Tandem Queuing System with Priority and Clearing Service in the Second Stage. Mathematics. 2024; 12(10):1500. https://doi.org/10.3390/math12101500
Chicago/Turabian StyleXu, Jia, and Liwei Liu. 2024. "Analysis of a Two-Stage Tandem Queuing System with Priority and Clearing Service in the Second Stage" Mathematics 12, no. 10: 1500. https://doi.org/10.3390/math12101500
APA StyleXu, J., & Liu, L. (2024). Analysis of a Two-Stage Tandem Queuing System with Priority and Clearing Service in the Second Stage. Mathematics, 12(10), 1500. https://doi.org/10.3390/math12101500

