Abstract
In this paper, the distributed interval estimation problem for networked Cyber-Physical systems suffering from both disturbances and noise is investigated. In the distributed interval observers, there are some connected interval observers built for the corresponding subsystems. Then, due to the communication burden in Cyber-Physical systems, we consider the case where the communication among distributed interval observers is switching topology. A novel approach that combines methodology with reachable set analysis is proposed to design distributed interval observers. Finally, the performance of the proposed distributed interval observers with switching topology is verified through a simulation example.
Keywords:
cyber-physical systems; distributed interval observers; reachable set analysis; switching topology; L∞ technique MSC:
93D05
1. Introduction
Cyber-Physical Systems (CPSs) are the combinations of physical procedures, high-efficiency computation, communication, and effective control defined by []. Architecturally, from [], a typical CPS can be divided into three layers, which are composed of the sensing layer, the network layer, and the control layer. The development of distributed sensing and networking technologies such as [,] has enabled omnipresent sensing and computing capabilities. This has led to the implementation of CPSs in large-scale networks. CPSs are widely used in industrial informatics [] manufacturing [], healthcare [], electrical grids [], and so on. State estimation and observer design are crucial research areas in CPSs. Ref. [] used a sliding mode observer and integrated the event-triggered mechanism to estimate the state of CPSs from sensor measurements. Ref. [] introduced a security estimator combined with a Kalman filter to improve the practical performance of state estimation for CPSs. Ref. [] accomplished state estimation and resilient control of CPSs using finite time observer techniques and switching schemes. It should be noted that the state estimation for CPSs with bounded disturbance and noise has not been investigated sufficiently.
On the other hand, disturbances and noise always exist in real systems, and the interval observer serves as a powerful estimator of upper and lower bounds for uncertain systems with disturbances and noise. In [], the concept, as well as the framework of interval observer, were presented. Using the monotone system theory, Refs. [,] proposed the approach of coordinate transformation that serves as an efficient strategy to reduce the strict conditions for interval observer design. In recent years, the set-membership estimation method was applied effectively in interval observer design. A two-step interval observer design methodology that combines reachability analysis with robust observer was first presented in []. In [], the method and reachable set analysis are combined to design interval observers that eliminate the effects of perturbations and noise on the system. At the same time, the (or ) method is also a powerful, robust property, and it is widely used in control and observation fields, such as [,,]. It has been recently shown by [,,] that the reachability analysis estimation method can not only enhance the accuracy of estimation but also increase the design freedom. Concurrently, in the context of distributed systems, several recent studies have been conducted on distributed interval observers, such as [,,]. Ref. [] designed distributed interval observers based on the monotone system approach for multiagent systems. Ref. [] considered a distributed interval observers design problem for a class of linear time-invariant systems with uncertainty. At the same time, Ref. [] improved distributed interval observers by using a set-membership estimation approach. However, the topology of interval observer in the aforementioned work [,,] is fixed, and it is usually switching with respect to time in practice.
In light of the above discussion, for the problem of state estimation for uncertain CPSs, we apply distributed interval observers to such systems. Since the state estimation of CPSs with bounded disturbances and noise has not been investigated sufficiently, it is meaningful to study the state estimation problem for uncertain CPSs. Each interval observer has two types of observer gain: one is obtained by using the traditional observer design method, and the other one is determined by employing neighborhood information. Considering the practical communication problem of the network layer in CPSs, we suppose that the communication among distributed interval observers is described by switching topology. There are three main challenges: one is to design observers with optimal performance for networked CPSs, another is to construct a reachable set analysis framework for CPSs, which then gives upper and lower bounds on the state of the system, and the last is to solve the switching topology problem among the observers. The contributions of this paper are summarized in aspects below.
- (1)
- A distributed interval observer methodology for CPSs is proposed. Compared with the monotone system method, the estimation accuracy is greatly improved by using the two-step method. The technique is used to deal with the effects of uncertainty in observer design.
- (2)
- The switching topology with average dwell time (ADT) among distributed interval observers is taken into account and is more closely aligned with the actual system. It can also reduce the communication burden of CPSs.
This paper is structured as follows, with the rest of the paper starting with the graph theory, system model, and some basics presented in Section 2. In Section 3, the optimal robust observer is designed using the technique. In order to complete the interval estimation, a reachability analysis methodology is used to design the distributed interval observer. In Section 4, the paper simulates a networked CPS with four Unmanned Aerial Vehicles (UAV) models to illustrate the effectiveness of the distributed interval observer. Finally, Section 5 concludes the paper.
Notation: For a matrix of real symmetry demonstrates that E is positive definite, while demonstrates that E is negative and . The maximal (minimum) eigenvalue of the matrix Q is denoted by . The norm of the vector v is represented by . In other words, . Similarly, the norm of the vector v is denoted by . The symbol * means the term that can arise due to symmetry in the symmetric matrices.
2. Preliminaries
2.1. Graph Theory
For a digraph G which has N vertices, is called the adjacency matrix. The weight associated with the edge that connects node i to node j is called , and is provided by . The length path from vertex i to vertex j is made up of distinct vertices with consecutive vertices adjacent to each other. If there is a path connecting any two vertices of the graph , the graph is considered connected. is defined as Laplacian matrix of a graph . is referred to as a degree matrix of . The Laplacian matrix of a connected graph has a single zero eigenvalue, and is the associated eigenvector. Furthermore, if is connected, where is the eigenvalue of a Laplacian matrix .
Lemma 1
([]). For a strongly connected graph , denote as the left eigenvector with a 0 eigenvalue, and , then, we can obtain .
Lemma 2
([]). Suppose that graph is a strongly connected and balanced graph, and the algebraic connectivity of is defined by where . Then, we can obtain .
2.2. System Model
For a networked CPS, consider a network with N subsystems. The following is the ith subsystem with disturbances and noise:
where is the state, is the control input, is the output, is the disturbance, is the noise. , and are constant matrices.
In the following, it is supposed that the communication topology of the subsystem is strongly connected. The global dynamic system of (1) can be given:
where , , , , , , and .
Since the information can be received by a single subsystem from its neighborhood, we consider the case of switching topology of the observer system and then present , a stepwise constant function that takes values from the finite collection . The observer dynamics of ith subsystem are:
where is the coupled gain that needs to be designed and and are observer gains of the ith subsystem, and represents the connectivity weight from subsystem i to subsystem j at moment k.
Then we can obtain the dynamic system of the global observer
with and .
Definition 1
Definition 2
([]). Let be the switching times of across the range . If
for given and , is the average dwell time (ADT) of the switching signal . In this paper, we let .
Definition 3
([]). The definition of an α-dimensional zonotope is as follow
where represents a given vector, represents a given matrix, is a unitary box made up of α unitary intervals and is a unitary interval. In the sequel, the zonotope Ω is represented as for the sake of simplicity.
Lemma 3
([]). The following equation is satisfied for a zonotope defined in (10):
where and represent the shape matrices of each of the zonotopes, and and are their centers. means a diagonal matrix with .
Remark 1.
can be expressed in the form shown below:
If , then is applied to reduce the order of high order zonotopes.
Remark 2.
For zonotopes , the Minkowski sum of them is
Definition 4
([]). For an α-order zonotope, there is an interval hull Ω that could contain Ω in its entirety:
with , and stands for the interval hull. For any zonotope, the interval hull is the smallest interval vector.
Lemma 4
([]). If , the components of its interval hull are
Lemma 5
([]). Given zonotopes ,
Lemma 6
([]). For the given symmetric matrix , the following inequalities are equivalent:
Assumption 1.
The initial state of the ith subsystem satisfies the following condition
Assumption 2.
Assumption 3.
The initial state, disturbance and noise, and initial error are represented by , and , which can be wrapped as in the equations below:
where is given matrix and .
3. Main Results
In this part, we provide sufficient conditions for the observer with property for CPS. Then, a reachability analysis methodology is used to design the distributed interval observer.
Theorem 1.
Proof.
Please see the Appendix A. □
Remark 3.
In Theorem 1, the parameter depends on . The algebraic connectivity of a graph tends to increase with graph stability. As the stability of the graph increases, there will be a greater range of options for .
Remark 4.
In practice, the ADT and the disturbance attenuation level stand for the performance of the observer. Owing to the fact that the ADT depends on η and θ, it is necessary to select suitable values for η and θ to minimize the ADT .
After completing the design of the optimal observer, we need to construct the interval observer by designing the interval hull that can completely wrap the system disturbances, noise, and errors. The real-time error from (5) can be wrapped by the zonotope as
Then, we add the reachability analysis methodology to the distributed observer designed in Theorem 1 and then give the following interval observer:
where and are the upper and lower bounds of .
Theorem 2.
An interval estimate of the system state is provided by (22), if Assumption 3 holds, then the error has the following upper and lower bounds:
where .
Proof.
Based on Assumption 3, we can obtain
When , then we can obtain
Iterating the above process yields
Then the interval hull below describes the set
□
The proof of Theorem 2 is now completed.
Based on Theorems 1 and 2, the design of a distributed interval observer with switching topology can be implemented by Algorithm 1.
Remark 5.
According to Theorem 1, the robust observer is designed to reduce the effect of outside disturbance and output noise. It is obvious that a bounded interval hull exists based on the result of Theorem 1, which can include errors and disturbances. Then, using the given interval hull as a starting point, Theorem 2 gives the interval hull . We propose a reachable set analysis technique by combining Theorem 1 with Theorem 2.
Algorithm 1: Algorithm for designing the distributed interval observer with switching topology. |
|
Remark 6.
If the modeling uncertainty is taken into consideration, the new model of this paper is as follows:
where and represent the uncertainty of the system, respectively. Then, we may use the norm-bounded condition on and to design the interval observer. However, it is not an easy task to construct the interval hull of the corresponding error system since the time-varying terms are contained. In the near future, we will deal with systems with model uncertainty with the method proposed in this paper.
Remark 7.
In Theorems 1 and 2, limited by the current knowledge of authors, this paper only gives sufficient conditions for observer design. In the future, we will study the necessary conditions for the design of interval observers, and in conjunction with this paper, we will give the necessary and sufficient conditions for the design of interval observers.
4. Simulation
Among CPSs, UAVs have recently achieved widespread application. In this section, we simulate through a networked CPSs with four UAVs.
Referring to [], the dynamical system of each UAV is as follows
where the pitch rate and angle of attack of each UAV are indicated by and . The schematic of each UAV is shown in Figure 1, and the detailed derivation of the dynamics model is omitted here.

Figure 1.
Longitudinal axis system of UAV.
Table 1 displays the output noise and the external disturbance borrowed from [], and the partial matrix values are as follows:

Table 1.
The output noise and the external disturbance.
For illustrative purposes, Figure 2 shows a switching communication topology , and with four UAVs. Figure 3 displays the change in the switching signal . Then, from Figure 2, we can give the corresponding matrix :

Figure 2.
Three switching communication topology of UAVs.

Figure 3.
The change in the switching signal of distributed interval observers.
From Lemmas 1 and 2, we can obtain , then we have . In this simulation, are chosen. We can determine and by solving (19), the observer gains for 1th subsystem are listed below
The peak estimation error of Angle of Attack and Pitch Rate of 1th subsystem are and , respectively. The disturbance attenuation level and ADT are as follows
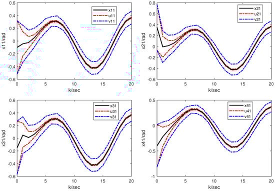
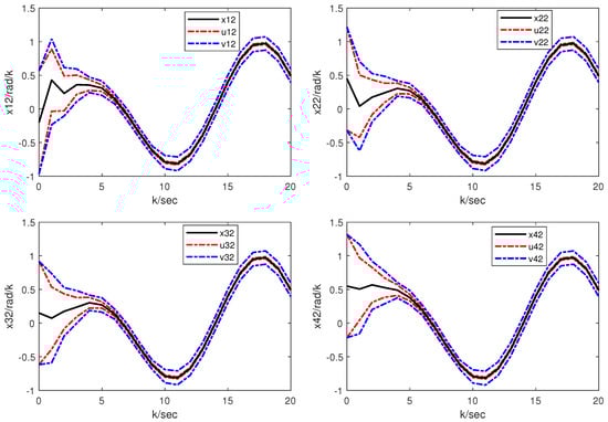
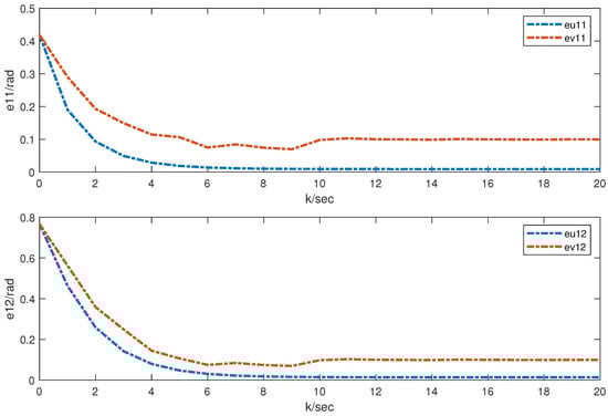
Below are the results of the numerical simulation. The states of the original systems and the upper and lower observers are depicted in Figure 4 and Figure 5. are the original states of the subsystems. and reflect the bounds produced via the interval hull technique used in this paper and the monotone system method in [], where i denotes the ith subsystem and j denotes the jth state. Figure 6 shows the error system for a single subsystem, , and reflect the observation error through the method used in this paper and the monotone system method in [].

Figure 4.
Angle of attack and interval estimates of UAVs.

Figure 5.
Pitch rate and interval estimates of UAVs.

Figure 6.
Observation error of angle of attack and pitch rate of UAVs.
It is evident that the states of CPS are completely surrounded by those of the upper and lower observers. From Figure 4, Figure 5 and Figure 6, it can be seen that the distributed interval observer designed in this paper has higher estimation accuracy compared to the traditional monotone system approach in []. We design the optimal robust observer using the technique, which reduces the design requirements of the observer, unlike the technique applied in []. Different from [] and most of the work, we consider for the first time the case of switching topology among distributed interval observers. Thus, the proposed distributed interval observers design method for CPSs is effective and feasible.
Remark 8.
For networked CPSs with perturbations and noise, we propose a class of distributed interval observer design methods with switching topology that combine the design of observers with interval hulls. This class of methods eliminates the need to consider the error system to be Schur and, therefore, eliminates the need to use coordinate transformation methods, significantly reducing the conservatism of the estimation. It can be seen from the observer form (3), sufficient conditions (19), and the proof of Theorem 1. In addition, the estimation accuracy is better than that in [], as it can also be seen from (22).
5. Conclusions
In this paper, a distributed interval estimation method for uncertain CPSs is investigated. Due to the communication burden of networked CPSs, we consider the case of switching topology among distributed interval observers. To improve the accuracy of the estimation, a reachability analysis is introduced in conjunction with the technique. Finally, the validity of the main results of this paper is verified by one example. In the future, we may focus our research on the distributed interval estimation of the attacked CPSs.
Author Contributions
Methodology, J.Z.; validation, C.L.; writing—original draft preparation, J.Z.; writing—review and editing, J.H.; supervision, J.H. All authors have read and agreed to the published version of the manuscript.
Funding
This research received no external funding.
Data Availability Statement
Data are contained within the article.
Conflicts of Interest
The authors declare no conflict of interest.
Appendix A
Proof.
Define , , . Using Lemma 6 and the fact that , we can determine that
Substituting into (5), we obtain
where . It follows from (A2) that
Thus, (A3) implies that
We then choose the following Lyapunov function
Thus,
Then consider the interval . Iterating (A8) yields
Suppose that , using , then
Iterating (A10) yields the inequality below
In view of and , we have
Due to , the error in (6) satisfies
By Definition 1, the proof of Theorem 1 is completed. □
References
- Cao, X.; Cheng, P.; Chen, J.; Sun, Y. An online optimization approach for control and communication codesign in networked cyber-physical systems. IEEE Trans. Ind. Inform. 2012, 9, 439–450. [Google Scholar] [CrossRef]
- Gunes, V.; Peter, S.; Givargis, T.; Vahid, F. A survey on concepts, applications, and challenges in cyber-physical systems. KSII Trans. Internet Inf. Syst. 2014, 8, 4242–4268. [Google Scholar]
- Kim, K.D.; Kumar, P.R. Cyber–physical systems: A perspective at the centennial. Proc. IEEE 2012, 100, 1287–1308. [Google Scholar]
- Cai, S.; Lau, V.K. Zero MAC latency sensor networking for cyber-physical systems. IEEE Trans. Signal Process. 2018, 66, 3814–3823. [Google Scholar] [CrossRef]
- Sangaiah, A.K.; Siarry, P. Cognitive Brain-Inspired Cyber-Physical Systems in Industrial Informatics. Front. Neurorobot. 2022, 16, 926538. [Google Scholar] [CrossRef]
- Mitchell, R.; Chen, R. Modeling and analysis of attacks and counter defense mechanisms for cyber physical systems. IEEE Trans. Reliab. 2015, 65, 350–358. [Google Scholar] [CrossRef]
- Verma, R. Smart city healthcare cyber physical system: Characteristics, technologies and challenges. Wirel. Pers. Commun. 2022, 122, 1413–1433. [Google Scholar] [CrossRef]
- Hozdić, E.; Butala, P. Concept of socio-cyber-physical work systems for Industry 4.0. Tehnički Vjesn. 2020, 27, 399–410. [Google Scholar]
- Wu, C.; Hu, Z.; Liu, J.; Wu, L. Secure estimation for cyber-physical systems via sliding mode. IEEE Trans. Cybern. 2018, 48, 3420–3431. [Google Scholar] [CrossRef]
- Chang, Y.H.; Hu, Q.; Tomlin, C.J. Secure estimation based Kalman filter for cyber–physical systems against sensor attacks. Automatica 2018, 95, 399–412. [Google Scholar] [CrossRef]
- Zhang, C.L.; Yang, G.H.; Lu, A.Y. Resilient observer-based control for cyber-physical systems under denial-of-service attacks. Inf. Sci. 2021, 545, 102–117. [Google Scholar] [CrossRef]
- Gouzé, J.L.; Rapaport, A.; Hadj-Sadok, M.Z. Interval observers for uncertain biological systems. Ecol. Model. 2000, 133, 45–56. [Google Scholar] [CrossRef]
- Raïssi, T.; Efimov, D.; Zolghadri, A. Interval state estimation for a class of nonlinear systems. IEEE Trans. Autom. Control 2011, 57, 260–265. [Google Scholar] [CrossRef]
- Mazenc, F.; Dinh, T.N.; Niculescu, S.I. Interval observers for discrete-time systems. Int. J. Robust Nonlinear Control 2014, 24, 2867–2890. [Google Scholar] [CrossRef]
- Tang, W.; Wang, Z.; Wang, Y.; Raïssi, T.; Shen, Y. Interval estimation methods for discrete-time linear time-invariant systems. IEEE Trans. Autom. Control 2019, 64, 4717–4724. [Google Scholar] [CrossRef]
- Zhou, X.; Wang, Z.; Wang, J. Automated Ground Vehicle Path-Following: A Robust Energy-to-Peak Control Approach. IEEE Trans. Intell. Transp. Syst. 2022, 23, 14294–14305. [Google Scholar] [CrossRef]
- Zhang, W.; Chen, Y.; Gao, H. Energy-to-peak control for seismic-excited buildings with actuator faults and parameter uncertainties. J. Sound Vib. 2011, 330, 581–602. [Google Scholar] [CrossRef]
- Feng, J.; Han, K. Robust full- and reduced-order energy-to-peak filtering for discrete-time uncertain linear systems. Signal Process. 2015, 108, 183–194. [Google Scholar] [CrossRef]
- Huang, J.; Che, H.; Raïssi, T.; Wang, Z. Functional interval observer for discrete-time switched descriptor systems. IEEE Trans. Autom. Control 2021, 67, 2497–2504. [Google Scholar] [CrossRef]
- Guo, S.; Ren, W.; Ahn, C.K.; Wen, C.; Lam, H.K. Reachability analysis-based interval estimation for discrete-time Takagi–Sugeno fuzzy systems. IEEE Trans. Fuzzy Syst. 2021, 30, 1981–1992. [Google Scholar] [CrossRef]
- Ren, W.; Guo, S. State and Faults Interval Estimations for Discrete-time Linear Systems. Int. J. Control Autom. Syst. 2023, 21, 2303–2312. [Google Scholar] [CrossRef]
- Zhang, Z.H.; Yang, G.H. Distributed fault detection and isolation for multiagent systems: An interval observer approach. IEEE Trans. Syst. Man Cybern. Syst. 2018, 50, 2220–2230. [Google Scholar] [CrossRef]
- Li, D.; Chang, J.; Chen, W.; Raïssi, T. IPR-based distributed interval observers design for uncertain LTI systems. ISA Trans. 2022, 121, 147–155. [Google Scholar] [CrossRef] [PubMed]
- Huang, J.; Zhang, H.; Raïssi, T. Distributed interval estimation methods for multiagent systems. IEEE Syst. J. 2022, 17, 1843–1852. [Google Scholar] [CrossRef]
- Yu, W.; Chen, G.; Cao, M.; Kurths, J. Second-order consensus for multiagent systems with directed topologies and nonlinear dynamics. IEEE Trans. Syst. Man Cybern. Part B (Cybern.) 2009, 40, 881–891. [Google Scholar]
- Li, Z.; Liu, X.; Fu, M.; Xie, L. Global H∞ consensus of multi-agent systems with Lipschitz non-linear dynamics. IET Control Theory Appl. 2012, 6, 2041–2048. [Google Scholar] [CrossRef]
- Briat, C. Robust stability and stabilization of uncertain linear positive systems via integral linear constraints: L1-gain and L∞-gain characterization. Int. J. Robust Nonlinear Control 2013, 23, 1932–1954. [Google Scholar] [CrossRef]
- Zhao, X.; Zhang, L.; Shi, P.; Liu, M. Stability of switched positive linear systems with average dwell time switching. Automatica 2012, 48, 1132–1137. [Google Scholar] [CrossRef]
- Alamo, T.; Bravo, J.M.; Camacho, E.F. Guaranteed state estimation by zonotopes. Automatica 2005, 41, 1035–1043. [Google Scholar] [CrossRef]
- Combastel, C. Zonotopes and Kalman observers: Gain optimality under distinct uncertainty paradigms and robust convergence. Automatica 2015, 55, 265–273. [Google Scholar] [CrossRef]
- Boyd, S.; El Ghaoui, L.; Feron, E.; Balakrishnan, V. Linear Matrix Inequalities in System and Control Theory; SIAM: Philadelphia, PA, USA, 1994. [Google Scholar]
- Zhang, H.; Huang, J.; He, S. Fractional-order interval observer for multiagent nonlinear systems. Fractal Fract. 2022, 6, 355. [Google Scholar] [CrossRef]
Disclaimer/Publisher’s Note: The statements, opinions and data contained in all publications are solely those of the individual author(s) and contributor(s) and not of MDPI and/or the editor(s). MDPI and/or the editor(s) disclaim responsibility for any injury to people or property resulting from any ideas, methods, instructions or products referred to in the content. |
© 2024 by the authors. Licensee MDPI, Basel, Switzerland. This article is an open access article distributed under the terms and conditions of the Creative Commons Attribution (CC BY) license (https://creativecommons.org/licenses/by/4.0/).