Next Article in Journal
Scale Mixture of Exponential Distribution with an Application
Next Article in Special Issue
Synchronization for Reaction–Diffusion Switched Delayed Feedback Epidemic Systems via Impulsive Control
Previous Article in Journal
On the Bessel Solution of Kepler’s Equation
Previous Article in Special Issue
Optimal Control of SLBRS with Recovery Rates
 
 
Font Type:
Arial Georgia Verdana
Font Size:
Aa Aa Aa
Line Spacing:
Column Width:
Background:
Article

Generalized Halanay Inequalities and Asymptotic Behavior of Nonautonomous Neural Networks with Infinite Delays

School of Mathematics and Systems Science, Guangdong Polytechnic Normal University, Guangzhou 510665, China
*
Author to whom correspondence should be addressed.
Mathematics 2024, 12(1), 155; https://doi.org/10.3390/math12010155
Submission received: 2 December 2023 / Revised: 26 December 2023 / Accepted: 30 December 2023 / Published: 3 January 2024

Abstract

This paper focuses on the asymptotic behavior of nonautonomous neural networks with delays. We establish criteria for analyzing the asymptotic behavior of nonautonomous recurrent neural networks with delays by means of constructing some new generalized Halanay inequalities. We do not require to constructi any complicated Lyapunov function and our results improve some existing works. Lastly, we provide some illustrative examples to demonstrate the effectiveness of the obtained results.

1. Introduction

Recently, neural networks (NNs) have garnered significant attention and have found extensive applications across various domains, including image restoration [1], pattern recognition [2] and associative memory [3]. In practical applications, time delays are an unavoidable factor stemming from the finite switching speed of amplifiers. It’s well-established that time delays can potentially induce oscillations and instability in systems. Consequently, the asymptotic behavior of NNs with delays has been a focal point of research for numerous authors.
The study of asymptotic behavior such as dissipativity [4,5,6,7] attracting sets [8], stabilization [9,10,11] and stability offers potent tools for addressing the problem of controlling dynamics systems. In the asymptotic behavior analysis, one powerful tool is Lyapunov function or functional. Wang and Zhu [12] used a novel Lyapunov–Krasovskill functional to consider the stability of discrete-time semi-Markov jump linear systems with time delay. Fan et al. [13] using multiple Lyapunov-Krasovskii functionals to investigate the stability of switched stochastic nonlinear systems. Xu et al. [14] used the improved Lyapunov Razumikhin method to consider exponential stability of stochastic nonlinear delay systems. Zhu and Zhu [15] constructed the Lyapunov-Krasovskii functional to the stability of stochastic Highly Nonlinear Systems.
Especially, Cao and Zhou [16], Cao [17], Mohanmad and Gopalsamy [18], Sun et al. [19], Zeng et al. [7], Zeng et al. [20], Zhang et al. [21], Zhang et al. [22], Zhao and Cao [23], Zheng and Zhang [24], and Zhou and Zhang [25] used the Lypunov functional to investigate the stability of delayed cellular NNs with constant coefficient, respectively. Jiang and Cao [26], Jiang and Teng [27,28], Long et al. [29], Rehim et al. [30], Song and Zhao [6], Yu et al. [31], Zhang et al. [32], Zhang et al. [33] investigated the stability of recurrent NNs with variable coefficient by constructing Lyapunov function or functional, respectively. Through the construction of Lyapunov functions or functionals, one can find some interesting results. Nevertheless, constructing an appropriate Lyapunov function or functional can be a challenging task, particularly in the context of nonautonomous NNs with unbounded delays [34].
On the other hand, Halanay inequalities can be also used to consider the asymptotic behavior of NNs [5,29,34,35,36,37,38]. It should be noted that only [5,35,38] considered the unbounded coefficient functions, and unbounded delay functions. Hien et al. [35] considered the generalized exponential stability of one-dimensional Halalay inequalities and gave application to nonautonomous NNs. Later, Lu et al. [38] studied the global generalized exponential stability of nonautonomous NNs by multi-dimensional generalized Halanay inequalities which extended the results in [35]. However, when the coefficient functions are constants and the delay functions are infinite the works in [35,38] do not work. Hien et al. [5] considered the global dissipativity of nonautonomous NNs with delays. Howerer, their delay functions are required to be proportional.
Inspired by the preceding discussion, in this paper, we propose some generalized Halanay inequalities to investigate the asymptotic behaviour of neural networks with unbounded variable coefficients and infinite delay, and our assumptions are less restrictive than most of existing works. Our results not only enhance but also extend the results initially presented in [5,35,38].
The structure of this paper unfolds as follows. Section 2 provides an introduction to some preliminaries, definitions and model descriptions. Section 3 investigates the asymptotic behavior of NNs with delays by means of constructing some generalized Halanay inequalities. Section 4 offers some examples and simulations to exemplify the practical utility of our theoretical results. Finally, this paper concludes in the Section 5.
Notations: let N n = { 1 , 2 , , n } and A T denotes the transpose of matrix A. R n is the n-dimensional Euclidean space equipped with the norm q = max i N n { | q i | } for q = ( q 1 , q 2 , , q n ) T R n . For t 0 0 , B C ( ( , t 0 ] , R n ) stands for the space of all bounded and continuous functions ψ : ( , t 0 ] R n equipped with the norm ψ : = sup θ t 0 ψ ( θ ) . For any sets D and E, define D E : = { x | x D , x E } . b + = max { 0 , b } .

2. Preliminaries and Model Description

This paper investigates the following NNs with delays
d q i ( t ) d t = α i ( t ) q i ( t ) + j = 1 n [ β i j ( t ) f j ( q j ( t ) ) + γ i j ( t ) g j ( q j ( t τ i j ( t ) ) ) ] + h i ( t ) , t t 0 , q i ( t ) = ψ i ( t ) , t ( , t 0 ] , i N n ,
where q i ( t ) is the neuron state variable of the neural network, ψ ( t ) = ( ψ 1 ( t ) , , ψ n ( t ) ) is the initial value, q ( t , ψ ) = ( q 1 ( t ) , , q n ( t ) ) T B C ( ( , t 0 ] denotes the solution (1) with initial value ψ , sometimes we write q ( t ) for short. α i ( t ) stands for self-feedback coefficient, β i j ( t ) and γ i j ( t ) stand for neuron connect weight. τ i j ( t ) 0 represents the transmission delay. h i ( t ) is the external bias, f j and g j stand for the activation functions. If the initial value of q j ( t ) defined on [ min t t 0 { t τ i j ( t ) } , t 0 ] , define q j ( t ) = q j ( min t t 0 { t τ i j ( t ) } ) for t < min t t 0 { t τ i j ( t ) } , then (1) is clearly defined.
Now, we introduce four definitions of asymptotic behavior.
Definition 1
([5]). A compact set Ω R n is called to be a global attracting set of (1), provided lim sup t + d ( q ( t , ψ ) , Ω ) = 0 , where d ( q , Ω ) : = inf x Ω q x represents the distance between q and Ω.
Definition 2
([5]). A compact set Ω R n is called to be a global generalized exponential attracting set of (1), provided there exists a ρ ( ψ ) 0 satisfies that
d ( q ( t , ψ ) , Ω ) ρ ( ψ ) e λ ( t ) , t t 0 ,
where λ ( t ) 0 is a nondecreasing function satisfies that lim t + λ ( t ) = + .
Remark 1.
Substituting λ ( t ) with λ ( t t 0 ) , λ ln ( t t 0 + 1 ) , and λ ln ( ln ( t t 0 + e ) ) , ( λ > 0 ), respectively, results in Ω becoming a global exponential, polynomial as well as logarithmic attracting set of system (1), correspondingly.
Definition 3
([5]). System (1) is called to be globally dissipative, provided there is a bounded set B R n satisfies that for any bounded set Ψ R n , there exists a time t B = t B ( Ψ ) satisfies that for any initial value ψ Ψ , q ( t ) = q ( t , ψ ) B for t t B ( Ψ ) . Then B is called an absorbing set of (1).
Remark 2.
If Ω is a global generalized exponential attracting set of (1), this implies (1) is globally dissipative. For any bounded set Ψ R n , there exists an absorbing set of (1) such that B ε = { x R n : d ( x , Ω ) ε } .
Definition 4
([38]). System (1) is called to be globally generalized exponential stable, provided for any two solutions q ( 1 ) ( t ) = ( q 1 ( 1 ) ( t ) , , q n ( 1 ) ( t ) ) T and q ( 2 ) ( t ) = ( q 1 ( 2 ) ( t ) , , q n ( 2 ) ( t ) ) T , each having distinct initial values ψ ( 1 ) , ψ ( 2 ) B C ( ( , t 0 ] , R n ) , there exists a non-negative function ϱ ( ψ ( 1 ) ψ ( 2 ) ) and a non-decreasing function λ ( t ) 0 with property lim t + λ ( t ) = + such that
| q ( 1 ) ( t ) q ( 2 ) ( t ) | ϱ ( ψ ( 1 ) ψ ( 2 ) ) e λ ( t ) , t t 0 ,
where λ ( t ) represents the decay rate.

3. Main Results

In this section, the asymptotic behavior of (1) is discussed by means of generalized Halanay inequalities.
Theorem 1.
Let the following conditions hold
(C.1)
For i , j N n and t t 0 , α i ( t ) 0 , β i j ( t ) , γ i j ( t ) , h i ( t ) are all integrable functions.
(C.2)
For j N n and q 1 , q 2 R , there exist constants F j , G j such that
| f j ( q 1 ) f j ( q 2 ) | F j | q 1 q 2 | , | g j ( q 1 ) g j ( q 2 ) | G j | q 1 q 2 | .
(C.3)
For each i N n , there exist positive constants η 1 , η 2 , , η n , ( max { η 1 , η 2 , , η n } = 1 ) and non-negative constants μ i such that
η i α i ( t ) j = 1 n ( | β i j ( t ) | F j + | γ i j ( t ) | G j ) η j 0 , t t 0 ,
and
sup { t | t t 0 } D j = 1 n ( | β i j ( t ) f j ( 0 ) | + | γ i j ( t ) g j ( 0 ) | ) + | h i ( t ) | η i α i ( t ) j = 1 n ( | β i j ( t ) | F j + | γ i j ( t ) | G j ) η j : = μ i ,
where
D = t | η i α i ( t ) j = 1 n ( | β i j ( t ) | F j + | γ i j ( t ) | G j ) η j = j = 1 n ( | β i j ( t ) f j ( 0 ) | + | γ i j ( t ) g j ( 0 ) | ) + | h i ( t ) | = 0 ,
j = 1 n ( | β i j ( t ) f j ( 0 ) | + | γ i j ( t ) g j ( 0 ) | ) + | h i ( t ) | : = μ i ( t ) .
Then systems (1) is globally dissipative and max k N n sup t t 0 | ψ k ( θ ) | η k , μ k is an absorbing set of (1).
Remark 3.
Conditions ( C . 1 ) ( C . 3 ) imply the local Lipschitz condition and local linear growth condition. So the existence and uniqueness of solution can be guaranteed.
Proof. 
Assume q ( t ) = ( q 1 ( t ) , , q n ( t ) ) T is the solution of (1) with initial value ψ = ( ψ 1 , , ψ n ) T . Let
z ( t ) = ( z 1 ( t ) , , z n ( t ) ) T = ( η 1 1 q 1 ( t ) , , η n 1 q n ( t ) ) T ,
then
d z i ( t ) d t = α i ( t ) z i ( t ) + η i 1 j = 1 n [ β i j ( t ) f j ( q j ( t ) ) + γ i j ( t ) g j ( q j ( t τ i j ( t ) ) ) ] + η i 1 h i ( t ) , t t 0 , z i ( t ) = η i 1 ψ i ( t ) , t ( , t 0 ] .
For each i N n and t t 0 , from ( C . 2 ) , (3) and (4), we have
D + | z i ( t ) | α i ( t ) | z i ( t ) | + η i 1 j = 1 n | β i j ( t ) | ( F j η j | z j ( t ) | + | f j ( 0 ) | ) + η i 1 j = 1 n | γ i j ( t ) | ( sup t τ i j ( t ) s t ( G j η j | z j ( s ) | + | g j ( 0 ) | ) + η i 1 | h i ( t ) | = α i ( t ) | z i ( t ) | + η i 1 j = 1 n | β i j ( t ) | F j η j | z j ( t ) | + η i 1 j = 1 n | γ i j ( t ) | G j η j sup t τ i j ( t ) s t | z j ( s ) | + η i 1 j = 1 n ( | β i j ( t ) f j ( 0 ) | + | γ i j ( t ) g j ( 0 ) | ) + | h i ( t ) | ,
where D + is the upper-right Dini derivative. Define M : = max k N n sup t t 0 | ψ k ( θ ) | η k , μ k . It is clear that | z i ( t ) | M for t t 0 and i N n . Suppose there exist i 1 N n , ϵ 1 > 0 and t 1 > t 0 such that | z i 1 ( t 1 ) | = M + ϵ 1 , and | z j ( t ) | M + ϵ 1 for t t 1 and j N n . Then we get D + | z i 1 ( t ) | | t = t 1 > 0 . In contrast
D + | z i 1 ( t ) | | t = t 1 α i 1 ( t 1 ) | z i 1 ( t 1 ) | + η i 1 1 j = 1 n | β i 1 j ( t 1 ) | F j η j | z j ( t 1 ) | + η i 1 1 j = 1 n | γ i 1 j ( t 1 ) | G j η j sup t 1 τ i 1 j ( t 1 ) s t 1 | z j ( s ) | + η i 1 μ i 1 ( t 1 ) α i 1 ( t 1 ) ( M + ϵ 1 ) + η i 1 1 j = 1 n | β i 1 j ( t 1 ) | F j η j ( M + ϵ 1 ) + η i 1 j = 1 n | γ i 1 j ( t 1 ) | G j η j ( M + ϵ 1 ) + μ i 1 α i 1 ( t 1 ) η i 1 j = 1 n | β i 1 j ( t 1 ) | F j η j η i 1 j = 1 n | γ i 1 j ( t 1 ) | G j η j = α i 1 ( t 1 ) η i 1 1 j = 1 n | β i 1 j ( t 1 ) | F j η j η i 1 j = 1 n | γ i 1 j ( t 1 ) | G j η j ( M μ i 1 + ϵ 1 ) 0 .
This signifies a contradiction, implying that
| z i ( t ) | max k N n sup t t 0 | ψ k ( θ ) | η k , μ k , t t 0 , i N n .
So we get
| q i ( t ) | max k N n sup t t 0 | ψ k ( θ ) | η k , μ k η i , t t 0 , i N n .
Then
q ( t ) max k N n sup t t 0 | ψ k ( θ ) | η k , μ k , t t 0 .
This completes the proof. □
Remark 4.
Condition ( max { η 1 , η 2 , , η n } = 1 ) can be omitted, but in order to see our main results clearly, so we reserve it.
Theorem 2.
Assume ( C . 1 ) ( C . 3 ) and the following conditions hold:
(C.4)
For i , j N n , there exist constants α i > 0 and α ( t ) such that
0 α i α ( t ) α i ( t ) for t t 0 , lim t + t 0 t α ( s ) d s + , sup t t 0 t τ i j ( t ) t α * ( s ) d s : = τ i j < + ,
where
α * ( t ) : = α ( t ) , t t 0 , 0 , t < t 0 .
(C.5)
For i , j N n ,
sup { t | t t 0 } { t | α i ( t ) = | β i j ( t ) | F j = 0 } | β i j ( t ) | F j α i ( t ) : = ρ i j ( 1 ) , sup { t | t t 0 } { t | α i ( t ) = | γ i j ( t ) | G j = 0 } | γ i j ( t ) | G j α i ( t ) : = ρ i j ( 2 ) ,
and
η i + j = 1 n ( ρ i j ( 1 ) + ρ i j ( 2 ) ) η j < 0 ,
where, η 1 , η 2 , , η n were introduced in Theorem 1.
      Then we have the following assertions:
(1)
For i N n ,
| q i ( t ) | max k N n sup t t 0 | ψ k ( θ ) | η k max k N n { μ k } + e λ * t 0 t α ( s ) d s + max k N n { μ k } η i , t t 0 .
where λ * represents the smallest solution to the following equations
λ α i + i = 1 n ( ρ i j ( 1 ) + ρ i j ( 2 ) e λ τ i j ) η j η i 1 = 0 , i N n .
(2)
The set
Ω : = u R n : u max k N n { μ k }
is a global generalized exponential attracting set of (1).
(3)
System (1) is globally dissipative.
Proof. 
When max k N n sup t t 0 | ψ k ( θ ) | η k max k N n { μ k } , the proof is deduce from Theorem (1). Now, suppose max k N n sup t t 0 | ψ k ( θ ) | η k > max k N n { μ k } and define
K i ( λ ) : = λ α i + η i 1 j = 1 n ( ρ i j ( 1 ) + ρ i j ( 2 ) e λ τ i j ) η j 1 , λ [ 0 , + ) .
Note that, for each i N n , K i ( λ ) is continuous on [ 0 , + ) , K i ( 0 ) = η i 1 j = 1 n ( ρ i j ( 1 ) + ρ i j ( 2 ) ) η j 1 < 0 ,
K i ( λ ) = 1 α i + η i 1 j = 1 n τ i j η j ρ i j ( 2 ) e λ τ i j > 0 ,
and lim λ + K i ( λ ) = + . So for i N n , equation K i ( λ ) = 0 has an unique solution λ i ( 0 , + ) . Define λ * : = min k N n { λ k } , then
λ * α i + η i 1 j = 1 n ( ρ i j ( 1 ) + ρ i j ( 2 ) e λ * τ i j ) η j 1 0 , i N n .
Multiply both sides of (6) by α i ( t ) , we get
λ * α i ( t ) α i + η i 1 j = 1 n ( ρ i j ( 1 ) + ρ i j ( 2 ) e λ * τ i j ) η j α i ( t ) α i ( t ) 0 , t t 0 , i N n .
From ( C . 4 ) , ( C . 5 ) and (7), we have
η i 1 j = 1 n ( ρ i j ( 1 ) + ρ i j ( 2 ) e λ * τ i j ) η j α i ( t ) α i ( t ) λ * α ( t ) , t t 0 , i N n
and
η i 1 j = 1 n ( | β i j ( t ) | F j + | γ i j ( t ) | G j e λ * τ i j ) η j α i ( t ) λ * α ( t ) , t t 0 , i N n .
For t R , define
v ( t ) : = max k N n sup t t 0 | ψ k ( θ ) | η k max k N n { μ k } e λ * t 0 t α * ( s ) d s + max k N n { μ k } .
Then
( v ( s ) max k N n { μ k } ) = ( v ( t ) max k N n { μ k } ) e λ * s t α * ( u ) d u ( v ( t ) max k N n { μ k } ) e λ * t τ i j ( t ) t α * ( u ) d u , i , j N n , s [ t τ i j ( t ) , t ] .
Hence
sup t τ i j ( t ) s t { v ( s ) max k N n { μ k } } ( v ( t ) max k N n { μ k } ) e λ * t τ i j ( t ) t α * ( u ) d u , t t 0 , i , j N n .
By (11) and the definition of τ i j , we get
sup t τ i j ( t ) s t { v ( s ) max k N n { μ k } } ( v ( t ) max k N n { μ k } ) e λ * τ i j , t t 0 , i , j N n .
Thus, for t t 0 and i N n , from ( C . 3 ) ( C . 5 ) , (8)–(10) and (12), we get
d v ( t ) d t = λ * α ( t ) max k N n sup t t 0 | ψ k ( θ ) | η k max k N n { μ k } e λ * t 0 t α * ( s ) d s = λ * α ( t ) ( v ( t ) max k N n { μ k } ) 1 η i 1 j = 1 n ρ i j ( 1 ) + ρ i j ( 2 ) e λ * τ i j η j α i ( t ) ( v ( t ) max k N n { μ k } ) α i ( t ) v ( t ) + η i 1 j = 1 n ρ i j ( 1 ) α i ( t ) η j v ( t ) + η i 1 j = 1 n ρ i j ( 2 ) α i ( t ) ( t ) e λ * τ i j η j v ( t ) + α i ( t ) η i 1 j = 1 n | β i j ( t ) | F j η j + | γ i j ( t ) | G j η j max k N n { μ k } α i ( t ) v ( t ) + η i 1 j = 1 n | β i j ( t ) | F j η j v ( t ) + η i 1 j = 1 n | γ i j ( t ) | G j η j sup t τ i j ( t ) s t v ( s ) + η i 1 μ i ( t ) .
At last, we show when max k N n sup t t 0 | ψ k ( θ ) | η k > max k N n { μ k } , | z i ( t ) | v ( t ) for t t 0 and i N n by reduction to absurdity. Clearly, | z i ( t ) | v ( t ) for t ( , t 0 ] . Suppose there exist i 2 N n , ε 2 > 0 and t 2 > t 0 such that | z i 2 ( t 2 ) | = v ( t 2 ) + ϵ 2 , and | z j ( t ) | v ( t ) + ϵ 2 for t ( , t 2 ] and j N n , then we get D + | z i 2 ( t ) | d v ( t ) d t | t = t 2 > 0 . In contrast, from (5) and (13), we get
D + | z i 2 ( t ) | d v ( t ) d t | t = t 2 α i 2 ( t 2 ) ( | z i 2 ( t 2 ) | v ( t 2 ) ) + η i 2 1 j = 1 n | β i 2 j ( t 2 ) | F j η j ( | z j ( t 2 ) | v ( t 2 ) ) + η i 2 1 j = 1 n | γ i 2 j ( t 2 ) | G j η j sup t 2 τ i 2 j ( t 2 ) s t 2 ( | z j ( s ) | v ( s ) ) = α i 2 ( t 2 ) η i 2 1 j = 1 n | β i 2 j ( t 2 ) | F j η j η i 1 j = 1 n | γ i 2 j ( t 2 ) | G j η j ϵ 2 0 .
This is a contradiction, the proof is completed. So for each i N n , we get
| q i ( t ) | max k N n sup t t 0 | ψ k ( θ ) | η k max k N n { μ k } + e λ * t 0 t α ( s ) d s + max k N n { μ k } η i , t t 0 .
and
q ( t ) max k N n sup t t 0 | ψ k ( θ ) | η k max k N n { μ k } + e λ * t 0 t α ( s ) d s + max k N n { μ k } , t t 0 .
Now, we proof the assertion ( 2 ) . Define
ρ max k N n sup t t 0 | ψ k ( θ ) | η k : = max k N n sup t t 0 | ψ k ( θ ) | η k max k N n { μ k } , max k N n sup t t 0 | ψ k ( θ ) | η k max k N n { μ k } , 0 , max k N n sup t t 0 | ψ k ( θ ) | η k < max k N n { μ k } .
By (14), we get
d ( q ( t ) , Ω ) ρ max k N n sup t t 0 | ψ k ( θ ) | η k e λ * t 0 t α ( s ) d s , t t 0 .
This means that Ω = u R n : u max k N n { μ k } is the global generalized exponential attracting set of (1). Now, we prove the assertion ( 3 ) . Obvious, the ball B ( 0 , max k N n { μ k } + ε ) : = u R n : u max k N n { μ k } + ε is an absorbing set of (1) for any ε > 0 . This completes the proof. □
Remark 5.
Hien et al. [5] investigated the dissipativity of the specific instance of the system (1), namely, the delay functions are proportional. Under condition ( C . 2 ) and the following conditions
(C.4′)
For i , j N n , there exist constants α i > 0 and α ( t ) such that
0 < α i α ( t ) α i ( t ) for t 0 , lim t + 0 t α ( s ) d s + , sup t 0 q i j t t α ( s ) d s < + .
(C.5′)
For i , j N n , there exist constants β ^ i j , γ ^ i j and h ^ i such that
| β i j ( t ) | α i ( t ) β ^ i j , | γ i j ( t ) | α i ( t ) γ ^ i j , | h i ( t ) | α i ( t ) h ^ i , t t 0 .
and for each i N n , there exist positive constants η 1 , η 2 , , η n , ( max { η 1 , η 2 , , η n } = 1 ) such that
η i + j = 1 n ( F j β ^ i j + G j γ ^ i j ) η j < 0 .
They got the following results
| q i ( t ) | ψ min { η 1 , , η n } γ ^ m ^ + e λ * t 0 t α ( s ) d s + γ ^ m ^ ] η i ,
and the global generalized exponential attracting set is
Ω 1 = q R n : q γ ^ m ^ ,
where γ ^ = max k N n h ^ k + j = 1 n ( b ^ k j | f j ( 0 ) | + c ^ k j | g j ( 0 ) | ) and m ^ = min k N n η k j = 1 n ( b ^ k j | f j ( 0 ) | + c ^ k j | g j ( 0 ) | ) η j .
We mention here that our conditions are less restrictive, i.e., α i ( t ) can be zero at some time and the delay functions can be other types of delay functions. Besides our results also improve the results in [5]. Especially when condtions ( C . 4 ) and ( C . 5 ) hold, obvious,
max k N n sup t t 0 | ψ k ( θ ) | η k ψ min { η 1 , , η n } ,
and for each i N n , we get
sup { t | t t 0 } j = 1 n ( | β i j ( t ) f j ( 0 ) | + | γ i j ( t ) g j ( 0 ) | ) + | h i ( t ) | η i α i ( t ) j = 1 n ( | β i j ( t ) | F j + | γ i j ( t ) | G j ) η j = sup { t | t t 0 } j = 1 n | β i j ( t ) f j ( 0 ) | α i ( t ) + | γ i j ( t ) g j ( 0 ) | α i ( t ) + | h i ( t ) | α i ( t ) η i j = 1 n | β i j ( t ) | F j α i ( t ) + | γ i j ( t ) | G j α i ( t ) η j h ^ i + j = 1 n ( β ^ i j | f j ( 0 ) | + γ ^ i j | g j ( 0 ) | ) η i j = 1 n ( b ^ i j | f j ( 0 ) | + γ ^ i j | g j ( 0 ) | ) η j γ ^ m ^ .
So we have max k N n { μ k } γ ^ m ^ , this means that our estimate is sharper than [5]. The above discussion shows that this paper improves and extends the results in [5].
Theorem 3.
Let q ( 1 ) ( t ) = ( q 1 ( 1 ) ( t ) , , q n ( 1 ) ( t ) ) T and q ( 2 ) ( t ) = ( q 1 ( 2 ) ( t ) , , q n ( 2 ) ( t ) ) T denote two solutions of (1) with distinct initial values ψ ( 1 ) , ψ ( 2 ) B C ( ( , t 0 ] , R n ) . Assume that conditions ( C . 1 ) , ( C . 2 ) , and the following conditions are satisfied:
(C.6)
For i N n , there exist positive constants η 1 , η 2 , , η n , ( max { η 1 , η 2 , , η n } = 1 ) such that
j = 1 n ( | β i j ( t ) | F j + | γ i j ( t ) | G j ) η j η i α i ( t ) , t [ t 0 , + ) ,
and there exists T t 0 such that
sup { t | t T } { t | η i α i ( t ) = j = 1 n ( | β i j ( t ) | F j + | γ i j ( t ) | G j ) η j = 0 } j = 1 n ( | β i j ( t ) | F j + | γ i j ( t ) | G j ) η j η i α i ( t ) : = ρ < 1 .
(C.7)
For i , j N n , there exist constants α i > 0 and α ( t ) such that
0 α i α ( t ) α i ( t ) for t T , lim t + T t α ( s ) d s + , sup t τ i j ( t ) T t τ i j ( t ) t α ( s ) d s : = τ i j < + .
Then,
| q i ( 1 ) ( t ) q i ( 2 ) ( t ) | max k N n sup t t 0 | ψ k ( 1 ) ( θ ) ψ k ( 2 ) ( θ ) | η k η i , t [ t 0 , T ] ,
and
| q i ( 1 ) ( t ) q i ( 2 ) ( t ) | max k N n sup t t 0 | ψ k ( 1 ) ( θ ) ψ k ( 2 ) ( θ ) | η k η i e λ * T t α ( s ) d s , t T .
Proof. 
For each i N n and t R , define l i ( t ) : = | q i ( 1 ) ( t ) q i ( 2 ) ( t ) η i | . Then for each i N n and t t 0 , we get
D + l i ( t ) α i ( t ) l i ( t ) + η i 1 j = 1 n | β i j ( t ) | F j η j l j ( t ) + j = 1 n | γ i j ( t ) | G j η j sup t τ i j ( t ) s t l j ( s ) α i ( t ) l i ( t ) + η i 1 j = 1 n ( | β i j ( t ) | F j + | γ i j ( t ) | G j ) η j sup t τ i j ( t ) s t l j ( s ) .
Firstly, we prove
l i ( t ) max k N n sup t t 0 | ψ k ( 1 ) ( θ ) ψ k ( 2 ) ( θ ) | η k , t t 0 , i N n .
Obviously, l i ( t ) max k N n sup t t 0 | ψ k ( 1 ) ( θ ) ψ k ( 2 ) ( θ ) | η k for t t 0 and i N n . Suppose there exist i 3 N n , ϵ 3 > 0 and t 3 > t 0 such that l i 3 ( t 3 ) = max k N n sup t t 0 | ψ k ( 1 ) ( θ ) ψ k ( 2 ) ( θ ) | η k + ϵ 3 , and l j ( t ) max k N n sup t t 0 | ψ k ( 1 ) ( θ ) ψ k ( 2 ) ( θ ) | η k + ϵ 3 for t ( , t 3 ] and j N n , then D + l i 3 ( t ) | t = t 3 > 0 . In contrast
D + l i 3 ( t ) | t = t 3 α i 3 ( t 3 ) l i 3 ( t 3 ) + η i 3 1 j = 1 n | β i 3 j ( t 3 ) | f j η j l j ( t 3 ) + η i 3 1 j = 1 n | γ i 3 j ( t 3 ) | G j η j sup t 3 τ i 3 j ( t 3 ) s t 3 l j ( s ) = α i 3 ( t 3 ) max k N n sup t t 0 | ψ k ( 1 ) ( θ ) ψ k ( 2 ) ( θ ) | η k + ϵ 3 + η i 3 1 j = 1 n | β i 3 j ( t 3 ) | F j η j max k N n sup t t 0 | ψ k ( 1 ) ( θ ) ψ k ( 2 ) ( θ ) | η k + ϵ 3 + η i 3 1 j = 1 n | γ i 3 j ( t 3 ) | G j η j max k N n sup t t 0 | ψ k ( 1 ) ( θ ) ψ k ( 2 ) ( θ ) | η k + ϵ 3 = α i 3 ( t 3 ) η i 3 1 j = 1 n ( | β i 3 j ( t 3 ) | F j + | γ i 3 j ( t 3 ) | G j ) η j max k N n sup t t 0 | ψ k ( 1 ) ( θ ) ψ k ( 2 ) ( θ ) | η k + ϵ 3 0 ,
This is a contradiction. Then we get l i ( t ) max k N n sup t t 0 | ψ k ( 1 ) ( θ ) ψ k ( 2 ) ( θ ) | η k for t t 0 and i N n . Construct the following inequalities:
D + l i ( t ) α i ( t ) l i ( t ) + η i 1 j = 1 n | β i j ( t ) | F j η j l j ( t ) + η i 1 j = 1 n | γ i j ( t ) | G j η j sup t τ i j ( t ) s t l j ( s ) , t T , l i ( t ) = l i ( t ) , t ( , T ] ,
and define
Γ i ( λ ) : = λ α i + j = 1 n ρ e λ τ i j 1 .
Similar to the proof of Theorem 2, one can find a λ > 0 such that
l i ( t ) max k N n sup t t 0 | ψ k ( 1 ) ( θ ) ψ k ( 2 ) ( θ ) | η k e λ T t α ( u ) d u , t [ T , + ) .
then we have following estimates
| q i ( 1 ) ( t ) q i ( 2 ) ( t ) | max k N n sup t t 0 | ψ k ( 1 ) ( θ ) ψ k ( 2 ) ( θ ) | η k η i , t [ t 0 , T ] ,
and
| q i ( 1 ) ( t ) q i ( 2 ) ( t ) | max k N n sup t t 0 | ψ k ( 1 ) ( θ ) ψ k ( 2 ) ( θ ) | η k η i e λ * T t α ( s ) d s , t T .
This completes the proof. □
Remark 6.
Theorem 3 implies system (1) is globally generalized exponential stable. In fact that for t [ t 0 , T ) , from the nonnegativity of α ( u ) , we get
q ( 1 ) ( t ) q ( 2 ) ( t ) max k N n sup t t 0 | ψ k ( 1 ) ( θ ) ψ k ( 2 ) ( θ ) | η k e λ t 0 t α ( u ) d u e λ t 0 t α ( u ) d u = C T max k N n sup t t 0 | ψ k ( 1 ) ( θ ) ψ k ( 2 ) ( θ ) | η k e λ t 0 t α ( u ) d u ,
where C T = e λ * t 0 T α ( s ) d s . For t T , we get
q ( 1 ) ( t ) q ( 2 ) ( t ) max k N n sup t t 0 | ψ k ( 1 ) ( θ ) ψ k ( 2 ) ( θ ) | η k e λ t 0 t α ( u ) d u e λ t 0 T α ( u ) d u = C T max k N n sup t t 0 | ψ k ( 1 ) ( θ ) ψ k ( 2 ) ( θ ) | η k e λ t 0 t α ( u ) d u .
So from the above, we get
q ( 1 ) ( t ) q ( 2 ) ( t ) C T max k N n sup t t 0 | ψ k ( 1 ) ( θ ) ψ k ( 2 ) ( θ ) | η k e λ t 0 t α ( u ) d u , t t 0 .
Then system (1) is globally generalized exponential stable.
Remark 7.
Lu et al. [38] considered the globally generalized exponential stability of (1). Under condition ( C . 2 ) and the following conditions
(C.1′)
For each i , j N n , α i ( s ) > 0 , β i j ( s ) , γ i j ( s ) and I i ( s ) are all continuous functions defined on [ t 0 , + ) .
(C.6′)
For each i N n ,
j = 1 n ( | β i j ( t ) | F j + | γ i j ( t ) | G j ) α i ( t ) , t [ t 0 , + ) ,
and
lim sup t + j = 1 n ( | β i j ( t ) | F j + | γ i j ( t ) | G j ) α i ( t ) < 1 .
(C.7′)
For i , j N n , there exists a l N n such that
lim t + 0 t α l ( s ) d s + , sup t τ i j ( t ) 0 t τ i j ( t ) t α l ( s ) d s < + , and sup t t 0 α l ( s ) α i ( s ) < .
Then, system (1) is globally generalized exponential stable. We mention here that if we choose η 1 = η 2 = = η n = 1 , then our condtions are similar to the conditions in [38], but less conservative, the results in [38] do not work if α i ( t ) = 0 at some time, or sup t τ i j ( t ) t 0 t τ i j ( t ) t α i ( s ) d s = + for all i N n . Besides, sup t τ i j ( t ) t 0 t τ i j ( t ) t α i ( s ) d s = + is quite restrictive. For instance, when α i ( t ) = c > 0 , and the delay functions are infinite, then the condition sup t τ i j ( t ) t 0 t τ i j ( t ) t α i ( s ) d s = + is not satisfied. However, in such cases, we have the flexibility to select a suitable α ( t ) that aligns with our condtions. so this paper enhances and broadens the results in [38].

4. Examples

This section gives four illustrative examples to demonstrate the practical applicability of the theoretical results. To enhance the clarity of the obtained results, we employ a linear representation instead of a nonlinear one.
Example 1.
Consider the following NNs with proportional delays:
d q i ( t ) d t = α i ( t ) q i ( t ) + j = 1 2 β i j ( t ) f j ( q j ( t ) ) + γ i j ( t ) g j ( q j ( 0.5 t ) ) + h i ( t ) , i = 1 , 2 , t [ 0 , + ) ,
where α 1 ( t ) = 6 ( t 2 + 3 t + 1 ) , α 2 ( t ) = 4 ( t 2 + 4 t + 1 ) , β 11 ( t ) = t 2 + 4 t + 1 , β 12 ( t ) = 2 ( t 2 + 2 t + 1 ) , β 21 ( t ) = t 2 + 6 t + 1 , β 22 ( t ) = t 2 + 5 t + 1 , γ 11 ( t ) = 2 ( t 2 + t + 1 ) , γ 12 ( t ) = t 2 + 5 t + 1 , γ 21 ( t ) = t 2 + 3 t + 1 , γ 22 ( t ) = t 2 + 1 , h 1 ( t ) = 60 t , h 2 ( t ) = 60 t , τ 11 ( t ) = τ 21 ( t ) = τ 12 ( t ) = τ 22 ( t ) = 0.5 t , f 1 ( q 1 ) = f 2 ( q 1 ) = g 1 ( q 1 ) = g 2 ( q 1 ) = | q 1 | , ψ ( 0 ) = ( 15 , 15 ) . It can be verified that, F 1 = F 2 = G 1 = G 2 = 1 . Obviously, η 1 = η 2 = 1 , μ 1 = 20 and μ 2 = 20 . we can find conditions ( C . 1 ) ( C . 3 ) are satisfied, from Theorem 1, we get
| q 1 ( t ) | 20 , | q 2 ( t ) | 20 , t 0 .
Then system (16) is dissipative, while the ball B ( 0 , 20 ) serves as both a globally attracting and an absorbing set, as depicted in Figure 1.
Remark 8.
All the coefficient and delay functions of Example (1) are unbounded.
Example 2.
Consider the following NNs with proportional delays:
d q i ( t ) d t = α i ( t ) q i ( t ) + j = 1 2 β i j ( t ) f j ( q j ( t ) ) + γ i j ( t ) g j ( q j ( 0.5 t ) ) + h i ( t ) , i = 1 , 2 , t [ 0 , + ) ,
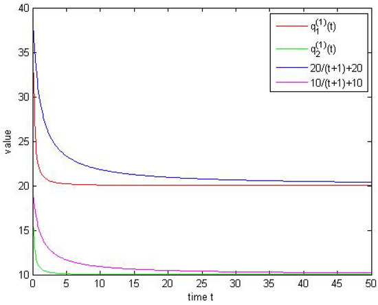
where α 1 ( t ) = 8 ( t + 1 ) , α 2 ( t ) = 6 ( t + 2 ) , β 11 ( t ) = t + 1 , β 12 ( t ) = 4 ( t + 1 ) , β 21 ( t ) = 0.5 ( t + 2 ) , β 22 ( t ) = t + 2 , γ 11 ( t ) = t + 1 , γ 12 ( t ) = 2 ( t + 1 ) , γ 21 ( t ) = 0.25 ( t + 2 ) , γ 22 ( t ) = t + 2 , h 1 ( t ) = 60 ( t + 1 ) , h 2 ( t ) = 25 ( t + 2 ) , τ 11 ( t ) = τ 21 ( t ) = τ 12 ( t ) = τ 22 ( t ) = 0.5 t , f 1 ( q 1 ) = f 2 ( q 1 ) = g 1 ( q 1 ) = g 2 ( q 1 ) = | q 1 | and ψ ( 1 ) ( 0 ) = ( 40 , 20 ) and ψ ( 2 ) ( 0 ) = ( 10 , 10 ) .
It can be verified that, F 1 = F 2 = G 1 = G 2 = 1 , ρ 11 ( 1 ) = 1 8 , ρ 12 ( 1 ) = 1 2 , ρ 21 ( 1 ) = 1 12 , ρ 22 ( 1 ) = 1 6 , ρ 11 ( 2 ) = 1 8 , ρ 12 ( 2 ) = 1 4 , ρ 21 ( 2 ) = 1 24 , ρ 22 ( 2 ) = 1 6 .
Choose η 1 = 1 , η 2 = 0.5 and α ( t ) = 1 t + 1 , then sup t 0 0.5 t t 1 s + 1 d s = ln 2 , α 1 = 8 and α 2 = 6 . One can find λ 1 = λ 2 = 1 , and μ 1 = μ 2 = 20 . Then conditions of ( C . 1 ) ( C . 5 ) are satisfied, for different initial values ψ ( 1 ) and ψ ( 2 ) , from Theorem 2, we get
| q 1 ( 1 ) ( t ) | 20 t + 1 + 20 , | q 2 ( 1 ) ( t ) | 10 t + 1 + 10 , | q 1 ( 2 ) ( t ) | 20 , | q 2 ( 2 ) ( t ) | 10 , | q 1 ( 1 ) ( t ) q 1 ( 2 ) ( t ) | = 30 t + 1 , | q 2 ( 1 ) ( t ) q 2 ( 2 ) ( t ) | = 15 t + 1 ,
which are shown in Figure 2, Figure 3 and Figure 4, respectively.
Remark 9.
All the coefficient, activation and delay functions in Example 2 are unbounded, and sup t 0 0.5 t t α i ( s ) d s = + , for i = 1 , 2 , which means that the results in [22,26,27,32,33,35,36,37,38] can not solve this case.
Example 3.
Consider the following 2-dimensional NNs with time-varying delays:
d q i ( t ) d t = α i ( t ) q i ( t ) + j = 1 2 β i j ( t ) f j ( q j ( t ) ) + γ i j ( t ) g j ( q j ( t τ i j ( t ) ) ) + h i ( t ) , i = 1 , 2 , t [ 0 , + ) ,
where, α 1 ( t ) = 5 ( 1 sin t ) , α 2 ( t ) = 7 ( 1 sin t ) , β 11 ( t ) = 1 sin t , β 12 ( t ) = 5 ( 1 sin t ) , β 21 ( t ) = 0.4 ( 1 sin t ) , β 22 ( t ) = 2 ( 1 sin t ) , γ 11 ( t ) = ( 1 sin t ) e π 2 , γ 12 ( t ) = 5 ( 1 sin t ) e π 2 , γ 21 ( t ) = 0.4 ( 1 sin t ) e π 2 , γ 22 ( t ) = ( 1 sin t ) e π 2 , h 1 ( t ) = 20 ( 1 sin t ) ( 3 2 e π 2 ) , h 2 ( t ) = 12 ( 1 sin t ) ( 1 e π 2 ) , τ 11 ( t ) = τ 21 ( t ) = τ 12 ( t ) = τ 22 ( t ) = π | cos t | , f 1 ( q 1 ) = f 2 ( q 1 ) = g 1 ( q 1 ) = g 2 ( q 1 ) = | q 1 | , ψ ( 1 ) ( 0 ) = ( 40 , 8 ) and ψ ( 2 ) ( 0 ) = ( 1 , 1 ) .
It can be verified that, F 1 = F 2 = G 1 = G 2 = 1 , ρ 11 ( 1 ) = 1 5 , ρ 12 ( 1 ) = 1 , ρ 21 ( 1 ) = 2 35 , ρ 22 ( 1 ) = 2 7 , ρ 11 ( 2 ) = 1 5 e π + 2 , ρ 12 ( 2 ) = 1 e π + 2 , ρ 21 ( 2 ) = 2 35 e π + 2 , ρ 22 ( 2 ) = 1 7 e π + 2 .
Choose η 1 = 1 , η 2 = 0.2 and α ( t ) = 1 sin t , then sup t 0 t τ i j ( t ) t 1 sin s * d s = π + 2 , α 1 = 5 and α 2 = 7 . We can find λ 1 = λ 2 = 1 , and μ 1 = μ 2 = 20 . Then conditions ( C . 1 ) ( C . 5 ) are satisfied, for different initial values ψ ( 1 ) and ψ ( 2 ) , from Theorem 2, we get
| q 1 ( 1 ) ( t ) | 20 e t + 1 c o s t + 20 , | q 2 ( 1 ) ( t ) | 4 e t + 1 c o s t + 4 , | q 1 ( 2 ) ( t ) | 20 , | q 2 ( 2 ) ( t ) | 4 , | q 1 ( 1 ) ( t ) q 1 ( 2 ) ( t ) | = 39 e t + 1 c o s t , | q 2 ( 1 ) ( t ) q 2 ( 2 ) ( t ) | = 7.8 e t + 1 c o s t ,
which are shown by Figure 5, Figure 6 and Figure 7, respectively.
Remark 10.
It is worth noting that α i ( t ) = 0 , for t = π 2 + 2 k π , k N and i = 1 , 2 as well as the delay functions π | cos t | lack differentiability at points where t = k π + π 2 for k N , which make the results in [22,26,28,32,33,36,37] be invalid.
Example 4.
Consider the following 2-dimensional NNs with proportional delays:
d q i ( t ) d t = α i ( t ) q i ( t ) + j = 1 2 β i j ( t ) f j ( q j ( t ) ) + γ i j ( t ) g j ( q j ( t τ i j ( t ) ) ) + h i ( t ) , i = 1 , 2 , t [ 0 , + ) ,
where α 1 ( t ) = 8 , α 2 ( t ) = 6 , β 11 ( t ) = β 12 ( t ) = β 21 ( t ) = γ 11 ( t ) = γ 12 ( t ) = γ 21 ( t ) = 2 for t [ 0 , 5 ) , β 11 ( t ) = β 12 ( t ) = β 21 ( t ) = γ 11 ( t ) = γ 12 ( t ) = γ 21 ( t ) = 1 for t 5 , β 12 ( t ) = γ 22 ( t ) = 1 for t [ 0 , 5 ) , β 12 ( t ) = γ 22 ( t ) = 0.5 for t 10 , h 1 ( t ) = 5 , h 2 ( t ) = 6 , τ 11 ( t ) = τ 21 ( t ) = τ 12 ( t ) = τ 22 ( t ) = t + 1 , f 1 ( q 1 ) = f 2 ( q 1 ) = g 1 ( q 1 ) = g 2 ( q 1 ) = | q 1 | , ψ ( 1 ) ( t ) = ( 40 , 8 ) and ψ ( 2 ) ( t ) = ( 1 , 1 ) for t [ 1 , 0 ] .
It can be verified that, F 1 = F 2 = G 1 = G 2 = 1 . Obviously, η 1 = η 2 = 1 , then
j = 1 n ( | β i j ( t ) | F j + | γ i j ( t ) | G j ) α i ( t ) , t [ 0 , + ) ,
and
sup { t | t 5 } { t | η i α i ( t ) = j = 1 n ( | β i j ( t ) | F j + | γ i j ( t ) | G j ) η j = 0 } j = 1 n ( | β i j ( t ) | F j + | γ i j ( t ) | G j ) η j η i α i ( t ) = 0.5 < 1 .
Choose α ( t ) = 5 t , t 5 , then α 1 = 8 , α 2 = 6 and sup t t + 1 5 t t + 1 t 5 s = 4 10 10 . We can find λ * 0.245 . Then conditions of ( C . 1 ) , ( C . 2 ) , ( C . 6 ) and ( C . 7 ) are satisfied, from Theorem 3, we get the following estimate
q ( 1 ) ( t ) q ( 2 ) ( t ) e 1 ( t ) : = 20 , t [ 0 , 5 ] , 20 e 0.245 ( 2 5 t 10 ) , t ( 5 , + ) ,
which are illustrated by Figure 8.
Remark 11.
We note that sup t 0 t t + 1 t α i ( s ) d s = + , for i = 1 , 2 , which makes the results in [38] be invalid.

5. Conclusions

In this paper, we obtained some criteria on dissipativity and globally generalized exponential stability of a class of NNs with delays by constructing some generalized Halanay inequalities. We mention here that our coefficient functions and delay functions can be all unbounded, and our results improve and generalize some existing works [5,35,38]. At last, four numerical examples have shown the effectiveness of our main results.
Our method has its limitations, when the α i ( t ) is oscillation, such as α i ( t ) = 0.5 + s i n t , our method is invalid in this case. The author will investigate this case in the future.

Author Contributions

D.R.: Writing and original draft. Y.L.: Review and editing. All authors have read and agreed to the published version of the manuscript.

Funding

This research was funded by Talent Special Project of Guangdong Polytechnic Normal University (2021SDKYA053 and 2021SDKYA068), Guangzhou Basic and Applied Basic Research Foundation (2023A04J0031 and 2023A04J0032) and Young Innovative Talents Project of Guangdong Universities (2021KQNCX130).

Data Availability Statement

No data was used for the research described in the article.

Conflicts of Interest

The authors declare that they have no competing interests.

References

  1. Hu, X.; Feng, G.; Duan, S.; Liu, L. Multilayer rtd-memristor-based cellular neural networks for color image processing. Neurocomputing 2015, 162, 150–162. [Google Scholar] [CrossRef]
  2. Suganthan, P.N.; Teoh, E.K.; Mital, D.P. Pattern recognition by homomorphic graph matching using Hopfield neural networks. Image Vis. Comput. 2015, 13, 45–60. [Google Scholar] [CrossRef]
  3. Liu, D.; Michel, A.N. Cellular neural networks for associative memories. IEEE Trans. Circuits Syst. II Analog. Digit. Signal Process. 1993, 40, 119–121. [Google Scholar] [CrossRef]
  4. Feng, Z.; Lam, J. Stability and dissipativity analysis of distributed delay cellular neural networks. IEEE Trans. Neural Netw. 2011, 22, 976–981. [Google Scholar] [CrossRef]
  5. Hien, L.V.; Phat, V.N.; Trinh, H. On global dissipativity of nonautonomous neural networks with multiple proportional delays. IEEE Trans. Neural Netw. Learn. Syst. 2018, 29, 225–231. [Google Scholar] [CrossRef] [PubMed]
  6. Song, Q.; Zhao, Z. Global dissipativity of neural networks with both variable and unbounded delays. Chaos Solitons Fractals 2005, 25, 393–401. [Google Scholar] [CrossRef]
  7. Zeng, H.; He, Y.; Shi, P.; Wu, M.; Xiao, S. Dissipativity analysis of neural networks with time-varying delays. Neurocomputing 2015, 16, 741–746. [Google Scholar] [CrossRef]
  8. Chen, A.; Cao, J. Existence and attractivity of almost periodic solutions for cellular neural networks with distributed delays and variable coefficients. Appl. Math. Comput. 2003, 134, 125–140. [Google Scholar]
  9. Ding, K.; Zhu, Q. Intermittent static output feedback control for stochastic delayed-switched positive systems with only partially measurable information. IEEE Trans. Autom. Control 2023, 68, 8150–8157. [Google Scholar] [CrossRef]
  10. Xiao, Q.; Huang, T.; Zeng, Z. Stabilization of nonautonomous recurrent neural networks with bounded and unbounded delays on time scales. IEEE Trans. Cybern. 2019, 50, 4307–4317. [Google Scholar] [CrossRef]
  11. Zhu, Q. Stabilization of stochastic nonlinear delay systems with exogenous disturbances and the event-triggered feedback control. IEEE Trans. Autom. Control 2019, 64, 3764–3771. [Google Scholar] [CrossRef]
  12. Wang, B.; Zhu, Q. Stability analysis of discrete-time semi-Markov jump linear systems with time delay. IEEE Trans. Autom. Control 2023, 68, 6758–6765. [Google Scholar] [CrossRef]
  13. Fan, L.; Zhu, Q.; Zheng, W. Stability analysis of switched stochastic nonlinear systems with state-dependent delay. IEEE Trans. Autom. Control 2023. [Google Scholar] [CrossRef]
  14. Xu, H.; Zhu, Q.; Zheng, W. Exponential stability of stochastic nonlinear delay systems subject to multiple periodic impulses. IEEE Trans. Autom. Control 2023. [Google Scholar] [CrossRef]
  15. Zhu, Z.; Zhu, Q. Adaptive event-triggered fuzzy control for stochastic highly nonlinear systems with time delay and non-triangular structure interconnections. IEEE Trans. Fuzzy Syst. 2023. [Google Scholar] [CrossRef]
  16. Cao, J.; Zhou, D. Stability analysis of delayed cellular neural networks. Neural Netw. 1998, 11, 1601–1605. [Google Scholar] [CrossRef]
  17. Cao, J. New results concerning exponential stability and periodic solutions of delayed cellular neural networks. Phys. Lett. A 2003, 307, 136–147. [Google Scholar] [CrossRef]
  18. Mohamad, S.; Gopalsamy, K. Exponential stability of continuous-time and discrete-time cellular neural networks with delays. Appl. Math. Comput. 2003, 135, 17–38. [Google Scholar] [CrossRef]
  19. Sun, L.; Tang, Y.; Wang, W.; Shen, S. Stability analysis of time-varying delay neural networks based on new integral inequalities. J. Frankl. Inst. 2020, 357, 10828–10843. [Google Scholar] [CrossRef]
  20. Zeng, Z.; Wang, J.; Liao, X. Global asymptotic stability and global exponential stability of neural networks with unbounded time-varying delays. IEEE Trans. Neural Netw. Learn. Syst. 2005, 52, 168–173. [Google Scholar]
  21. Zhang, B.; Lam, J.; Xu, S. Stability analysis of distributed delay neural networks based on relaxed Lyapunov-Krasovskii functionals. IEEE Trans. Neural Netw. Learn. Syst. 2015, 26, 1480–1492. [Google Scholar] [CrossRef]
  22. Zhang, Q.; Wei, X.; Xu, J. Delay-dependent exponential stability of cellular neural networks with time-varying delays. Chaos Solitons Fractals 2005, 23, 1363–1369. [Google Scholar] [CrossRef]
  23. Zhao, H.; Cao, J. New conditions for global exponential stability of cellular neural networks with delays. Neural Netw. 2005, 18, 1332–1340. [Google Scholar] [CrossRef] [PubMed]
  24. Zheng, C.; Zhang, H. New delay-dependent global exponential stability criterion for cellular-type neural networks with time-varying delays. IEEE Trans. Neural Netw. Learn. Syst. 2009, 56, 250–254. [Google Scholar]
  25. Zhou, L.; Zhang, Y. Global exponential periodicity and stability of recurrent neural networks with multi-proportional delays. ISA Trans. 2016, 60, 89–95. [Google Scholar] [CrossRef]
  26. Jiang, H.; Cao, J. Global exponential stability of periodic neural networks with time-varying delays. Neurocomputing 2006, 70, 343–350. [Google Scholar] [CrossRef]
  27. Jiang, H.; Teng, Z. Global exponential stability of cellular neural networks with time-varying coefficients and delays. Neural Netw. 2004, 17, 1415–1425. [Google Scholar] [CrossRef]
  28. Jiang, H.; Teng, Z. Boundedness and global stability for nonautonomous recurrent neural networks with distributed delays. Chaos Solitons Fractals 2006, 30, 83–93. [Google Scholar] [CrossRef]
  29. Long, S.; Li, H.; Zhang, Y. Dynamic behavior of nonautonomous cellular neural networks with time-varying delays. Neurocomputing 2015, 168, 846–852. [Google Scholar] [CrossRef]
  30. Rehim, M.; Jiang, H.; Li, Z.; Teng, Z. Boundedness and stability for nonautonomous cellular neural networks with delay. Neural Netw. 2004, 17, 1017–1025. [Google Scholar] [CrossRef]
  31. Yu, T.; Cao, D.; Liu, S.; Chen, H. Stability analysis of neural networks with periodic coefficients and piecewise constant arguments. J. Frankl. Inst. 2016, 353, 409–425. [Google Scholar] [CrossRef]
  32. Zhang, Q.; Wei, X.; Xu, J. Global exponential stability for nonautonomous cellular neural networks with delays. Phys. Lett. A 2006, 351, 153–160. [Google Scholar] [CrossRef]
  33. Zhang, Q.; Wei, X.; Xu, J. Global exponential stability for nonautonomous cellular neural networks with unbounded delays. Phys. Lett. A 2009, 39, 1144–1151. [Google Scholar] [CrossRef]
  34. Li, H.; Zhang, W.; Li, C.; Zhang, W. Global asymptotical stability for a class of non-autonomous impulsive inertial neural networks with unbounded time-varying delay. Neural Comput. Appl. 2019, 31, 6757–6766. [Google Scholar] [CrossRef]
  35. Hien, L.V.; Son, D.T.; Trinh, H. New generalized Halanay inequalities with applications to stability of nonlinear non-autonomous time-delay systems. Nonlinear Dyn. 2015, 82, 563–575. [Google Scholar] [CrossRef]
  36. Jiang, M.; Mu, J.; Huang, D. Globally exponential stability and dissipativity for nonautonomous neural networks with mixed time-varying delays. Neurocomputing 2016, 205, 421–429. [Google Scholar] [CrossRef]
  37. Liu, B.; Lu, W.; Chen, T. Generalized Halanay inequalities and their applications to neural networks with unbounded time-varying delays. IEEE Trans. Neural Netw. 2011, 22, 1508–1513. [Google Scholar] [CrossRef]
  38. Lu, B.; Jiang, H.; Abdurahman, A.; Hu, C. Global generalized exponential stability for a class of nonautonomous cellular neural networks via generalized Halanay inequalities. Neurocomputing 2016, 214, 1046–1052. [Google Scholar] [CrossRef]
Figure 1. q 1 ( t ) and q 2 ( t ) of Example 1.
Figure 1. q 1 ( t ) and q 2 ( t ) of Example 1.
Mathematics 12 00155 g001
Figure 2. q 1 ( 1 ) ( t ) and q 2 ( 1 ) ( t ) of Example 2 and their estimates.
Figure 2. q 1 ( 1 ) ( t ) and q 2 ( 1 ) ( t ) of Example 2 and their estimates.
Mathematics 12 00155 g002
Figure 3. q 1 ( 2 ) ( t ) and q 2 ( 2 ) ( t ) of Example 2.
Figure 3. q 1 ( 2 ) ( t ) and q 2 ( 2 ) ( t ) of Example 2.
Mathematics 12 00155 g003
Figure 4. | q 1 ( 1 ) ( t ) q 1 ( 2 ) ( t ) | and | q 2 ( 1 ) ( t ) q 2 ( 2 ) ( t ) | of Example 2 and their estimates.
Figure 4. | q 1 ( 1 ) ( t ) q 1 ( 2 ) ( t ) | and | q 2 ( 1 ) ( t ) q 2 ( 2 ) ( t ) | of Example 2 and their estimates.
Mathematics 12 00155 g004
Figure 5. q 1 ( 1 ) ( t ) and q 2 ( 1 ) ( t ) of Example 3 and their estimates.
Figure 5. q 1 ( 1 ) ( t ) and q 2 ( 1 ) ( t ) of Example 3 and their estimates.
Mathematics 12 00155 g005
Figure 6. q 1 ( 2 ) ( t ) and q 2 ( 2 ) ( t ) of Example 3.
Figure 6. q 1 ( 2 ) ( t ) and q 2 ( 2 ) ( t ) of Example 3.
Mathematics 12 00155 g006
Figure 7. | q 1 ( 1 ) ( t ) q 1 ( 2 ) ( t ) | and | q 2 ( 1 ) ( t ) q 2 ( 2 ) ( t ) | of Example 3 and their estimates.
Figure 7. | q 1 ( 1 ) ( t ) q 1 ( 2 ) ( t ) | and | q 2 ( 1 ) ( t ) q 2 ( 2 ) ( t ) | of Example 3 and their estimates.
Mathematics 12 00155 g007
Figure 8. q 1 ( t ) and q 2 ( t ) of Example 4 and their estimate.
Figure 8. q 1 ( t ) and q 2 ( t ) of Example 4 and their estimate.
Mathematics 12 00155 g008
Disclaimer/Publisher’s Note: The statements, opinions and data contained in all publications are solely those of the individual author(s) and contributor(s) and not of MDPI and/or the editor(s). MDPI and/or the editor(s) disclaim responsibility for any injury to people or property resulting from any ideas, methods, instructions or products referred to in the content.

Share and Cite

MDPI and ACS Style

Ruan, D.; Lu, Y. Generalized Halanay Inequalities and Asymptotic Behavior of Nonautonomous Neural Networks with Infinite Delays. Mathematics 2024, 12, 155. https://doi.org/10.3390/math12010155

AMA Style

Ruan D, Lu Y. Generalized Halanay Inequalities and Asymptotic Behavior of Nonautonomous Neural Networks with Infinite Delays. Mathematics. 2024; 12(1):155. https://doi.org/10.3390/math12010155

Chicago/Turabian Style

Ruan, Dehao, and Yao Lu. 2024. "Generalized Halanay Inequalities and Asymptotic Behavior of Nonautonomous Neural Networks with Infinite Delays" Mathematics 12, no. 1: 155. https://doi.org/10.3390/math12010155

APA Style

Ruan, D., & Lu, Y. (2024). Generalized Halanay Inequalities and Asymptotic Behavior of Nonautonomous Neural Networks with Infinite Delays. Mathematics, 12(1), 155. https://doi.org/10.3390/math12010155

Note that from the first issue of 2016, this journal uses article numbers instead of page numbers. See further details here.

Article Metrics

Back to TopTop