Nonlinear Constitutive and Mechanical Properties of an Auxetic Honeycomb Structure
Abstract
1. Introduction
2. Equivalent Parameters
3. Finite Element Verification
4. Parametric Analysis
4.1. Comparison of Linear and Nonlinear Equivalent Parameters
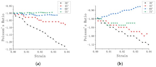
4.2. Effect of Honeycomb Cell Angle on Mechanical Parameters
4.3. Effect of Thickness-to-Length Ratio t/l on Mechanical Parameters
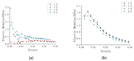
4.4. Effect of the Ratio of Straight Wall to Inclined Wall h/l on Mechanical Parameters
5. Conclusions
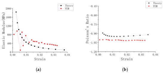
- The elliptic integral was used to represent the nonlinear bending deformation of the honeycomb wall and the Almansi strain was used to represent the nonlinear strain. The nonlinear constitutive relationship of the negative Poisson’s ratio honeycomb was obtained. Based on this, the equivalent mechanical parameters were calculated to compare with the mechanical parameters of the honeycomb cell calculated by the finite element model established by the solid element. The two were consistent, which verifies the correctness of the theoretical formula.
- By comparing the theoretical results calculated in this paper with the linear elastic equivalent mechanical parameters in the literature, it was found that when the strain is about 0.02, the equivalent Young’s modulus and Poisson’s ratio calculated by the two methods were very close. At the same time, it can be concluded that when considering the nonlinear deformation of honeycomb, the mechanical properties of honeycomb under load can be described more accurately.
- The variations in Young’s modulus and Poisson’s ratio was studied when the parameters of the honeycomb cell changed, including the cell angle of honeycomb cell, the thickness-length ratio of honeycomb wall and the ratio of straight wall to inclined wall.
Author Contributions
Funding
Data Availability Statement
Conflicts of Interest
References
- Ma, N.; Deng, Q.; Li, X. Deformation behaviors and energy absorption of composite re-entrant honeycomb cylindrical shells under axial load. Materials 2021, 14, 7129. [Google Scholar] [CrossRef] [PubMed]
- Gong, X.B.; Ren, C.W.; Liu, Y.H.; Sun, J.; Xie, F. Impact response of the honeycomb sandwich structure with different Poisson’s ratios. Materials 2022, 15, 6982. [Google Scholar] [CrossRef] [PubMed]
- Wu, W.J.; Liu, P.; Kang, Z. A novel mechanical metamaterial with simultaneous stretching- and compression-expanding property. Mater. Des. 2021, 208, 109930. [Google Scholar] [CrossRef]
- Shah, I.A.; Khan, R.; Koloor, S.S.R.; Petru, M.; Badshah, S.; Ahmad, S.; Amjad, M. Finite element analysis of the ballistic impact on auxetic sandwich composite human body armor. Materials 2022, 15, 2064. [Google Scholar] [CrossRef] [PubMed]
- Gibson, L.J.; Ashby, M.F. Cellular Solids: Structure and Properties; Cambridge University Press: Cambridge, MA, USA, 1997. [Google Scholar]
- Zhang, Z.W.; Tian, R.L.; Zhang, X.L.; Wei, F.Y.; Yang, X.W. A novel butterfly-shaped auxetic structure with negative Poisson’s ratio and enhanced stiffness. J. Mater. Sci. 2021, 56, 14139–14156. [Google Scholar] [CrossRef]
- Wu, X.; Li, Y.G.; Cai, W.; Guo, K.L.; Zhu, L. Dynamic responses and energy absorption of sandwich panel with aluminium honeycomb core under ice wedge impact. Int. J. Impact Eng. 2022, 162, 104137. [Google Scholar] [CrossRef]
- Lakes, R. Deformation mechanisms in negative Poisson’s ratio materials: Structural aspects. J. Mater. Sci. 1991, 26, 2287–2292. [Google Scholar] [CrossRef]
- Zhou, Y.; Li, H.; Li, X.P.; Gao, L. Design of multiphase auxetic metamaterials by a parametric color level set method. Compos. Struct. 2022, 287, 115385. [Google Scholar] [CrossRef]
- Wang, W.W.; Dai, S.J.; Zhao, W.Z.; Wang, C.Y.; Zhang, Z.Y. Topology design and equivalent mechanical properties of a three-dimensional star-shaped auxetic structure. Proc. Inst. Mech. Eng. Part L J. Mater. Des. Appl. 2022, 236, 1108–1121. [Google Scholar] [CrossRef]
- Pagliocca, N.; Uddin, K.Z.; Anni, I.A.; Shen, C.; Youssef, G.; Koohbor, B. Flexible planar metamaterials with tunable Poisson’s ratios. Mater. Des. 2022, 215, 110446. [Google Scholar] [CrossRef]
- Xue, Y.Y.; Gao, P.X.; Zhou, L.; Han, F.S. An enhanced three-dimensional auxetic lattice structure with improved property. Materials 2020, 13, 1008. [Google Scholar] [CrossRef]
- Hou, X.H.; Deng, Z.C.; Zhang, K. Dynamic crushing strength analysis of auxetic honeycombs. Acta Mech. Solida Sin. 2016, 29, 490–501. [Google Scholar] [CrossRef]
- Chen, M.M.; Fu, M.H.; Lan, L.H.; Sheshenin, S.V. A novel 3D structure with tunable Poisson’s ratio and tailorable coefficient of thermal expansion based on a tri-material triangle unit. Compos. Struct. 2020, 253, 112803. [Google Scholar] [CrossRef]
- Chen, Y.; Zheng, B.B.; Fu, M.H.; Lan, L.H.; Zhang, W.Z. Doubly unusual 3D lattice honeycomb displaying simultaneous negative and zero Poisson’s ratio properties. Smart Mater. Struct. 2018, 27, 045003. [Google Scholar] [CrossRef]
- Şerban, D.A.; Qian, G. Variation of Poisson’s ratio with axial strain for three-dimensional reentrant auxetic structures. J. Mater. Process. Technol. 2022, 2022, 2623601. [Google Scholar] [CrossRef]
- Valle, R.; Pincheira, G.; Tuninetti, V.; Fernandez, E.; Uribe, L.E. Design and characterization of asymmetric cell structure of auxetic material for predictable directional mechanical response. Materials 2022, 15, 1841. [Google Scholar] [CrossRef]
- Harkati, E.; Daoudi, N.; Bezazi, A.; Haddad, A.; Scarpa, F. In-plane elasticity of a multi re-entrant auxetic honeycomb. Compos. Struct. 2017, 180, 130–139. [Google Scholar] [CrossRef]
- Han, D.; Ren, X.; Zhang, Y.; Yu, Z.X.; Gang, Z.X.; Luo, C.; Min, X.Y. Lightweight auxetic metamaterials: Design and characteristic study. Compos. Struct. 2022, 293, 115706. [Google Scholar] [CrossRef]
- Ciepielewski, R.; Gieleta, R.; Miedzinska, D. Experimental study on static and dynamic response of aluminum honeycomb sandwich structures. Materials 2022, 15, 1793. [Google Scholar] [CrossRef]
- Qi, D.X.; Zhang, P.; Wu, W.W.; Xin, K.H.; Liao, H.T.; Li, Y.; Xiao, D.B.; Xia, R. Innovative 3D chiral metamaterials under large deformation: Theoretical and experimental analysis. Int. J. Solids Struct. 2020, 202, 787–797. [Google Scholar] [CrossRef]
- Farrugia, P.S.; Gatt, R.; Mizzi, L.; Grima, J.N. Auxetic behavior obtained through the large deformations of variants of the rectangular grid. Mech. Adv. Mater. Struct. 2021, 30, 262–271. [Google Scholar] [CrossRef]
- Hong, N.T.; Pizzarelli, M. Nonlinear static bending and free vibration analysis of bidirectional functionally graded material plates. J. Aerosp Eng. 2020, 2020, 8831366. [Google Scholar] [CrossRef]
- Taherkhani, B.; Anaraki, A.P.; Kadkhodapour, J.; Rezaei, S.; Tu, H. Large deformation of TPU re-entrant auxetic structures designed by TO approach. J. Elastomers Plast. 2020, 53, 347–369. [Google Scholar] [CrossRef]
- Zhu, Y.L.; Jiang, S.H.; Lu, F.C.; Ren, X. A novel enhanced anti-tetra-missing rib auxetic structure with tailorable in-plane mechanical properties. Eng. Struct. 2022, 262, 114399. [Google Scholar] [CrossRef]
- Teng, X.C.; Ren, X.; Zhang, Y.; Jiang, W.; Pan, Y.; Zhang, X.G.; Zhang, X.Y.; Xie, Y.M. A simple 3D re-entrant auxetic metamaterial with enhanced energy absorption. Int. J. Mech. Sci. 2022, 229, 107524. [Google Scholar] [CrossRef]
- Du, L.M.; Luo, S.D.; Xu, Y. Understanding nonlinear behaviors of auxetic foams using X-ray tomography and pore structure analysis. Mech. Mater. 2022, 165, 104196. [Google Scholar] [CrossRef]
- Yin, Y.F.; Zhao, Z.; Li, Y.H. Theoretical and experimental research on anisotropic and nonlinear mechanics of periodic network materials. J. Mech. Phys. Solids 2021, 152, 104458. [Google Scholar] [CrossRef]
- Lan, L.H.; Sun, J.; Hong, F.L.; Wang, D.Y.; Zhang, Y.S.; Fu, M.H. Nonlinear constitutive relations of thin-walled honeycomb structure. Mech. Mater. 2020, 149, 103556. [Google Scholar] [CrossRef]
- Lan, L.H.; Luo, W.L.; Sun, J.; Liu, D.Y.; Fu, M.H. Analytical investigation on elastic–plastic deformation of reentrant honeycomb structures. AIAA J. 2021, 59, 3735–3747. [Google Scholar] [CrossRef]
- Zhang, J.H.; Zhu, X.F.; Yang, X.D.; Zhang, W. Transient nonlinear responses of an auxetic honeycomb sandwich plate under impact loads. Int. J. Impact Eng. 2019, 134, 103383. [Google Scholar] [CrossRef]














Disclaimer/Publisher’s Note: The statements, opinions and data contained in all publications are solely those of the individual author(s) and contributor(s) and not of MDPI and/or the editor(s). MDPI and/or the editor(s) disclaim responsibility for any injury to people or property resulting from any ideas, methods, instructions or products referred to in the content. |
© 2023 by the authors. Licensee MDPI, Basel, Switzerland. This article is an open access article distributed under the terms and conditions of the Creative Commons Attribution (CC BY) license (https://creativecommons.org/licenses/by/4.0/).
Share and Cite
Ma, Q.; Zhang, J. Nonlinear Constitutive and Mechanical Properties of an Auxetic Honeycomb Structure. Mathematics 2023, 11, 2062. https://doi.org/10.3390/math11092062
Ma Q, Zhang J. Nonlinear Constitutive and Mechanical Properties of an Auxetic Honeycomb Structure. Mathematics. 2023; 11(9):2062. https://doi.org/10.3390/math11092062
Chicago/Turabian StyleMa, Qian, and Junhua Zhang. 2023. "Nonlinear Constitutive and Mechanical Properties of an Auxetic Honeycomb Structure" Mathematics 11, no. 9: 2062. https://doi.org/10.3390/math11092062
APA StyleMa, Q., & Zhang, J. (2023). Nonlinear Constitutive and Mechanical Properties of an Auxetic Honeycomb Structure. Mathematics, 11(9), 2062. https://doi.org/10.3390/math11092062

