Abstract
Urban road networks have promoted high-quality travel for residents by increasing connectivity and intelligence. But road congestion has not been effectively alleviated, causing a loss of time and energy. At present, the recovery of urban road networks mainly considers removing the failed edges. Considering the recovery cost and time, it is important to take active maintenance behavior to restore these networks. One of the key problems is dispatching traffic workers reasonably to achieve timely maintenance. In this paper, a flow-distribution-based process and execution (FD-PE) model is established for solving congestion. The maintenance centers (MC) study the reasons for and spread of congestion by edge flow. Based on the genetic algorithm (GA), two models of maintenance for urban road networks are developed, which include a single MC-centered dispatching plan and the co-scheduling of MCs. Both models aim at minimizing recovery time and allocating maintenance resources. The road network in Zhengzhou is borrowed as a case to explain the feasibility of the proposed models. The results show that on the premise of dividing network regions, it is reasonable to take a single MC to recover congestion. Compared with a single MC, the co-scheduling of MCs may save more time.
MSC:
90B25
1. Introduction
1.1. Background
With the acceleration of urbanization in recent years, urban road congestion becomes one of the most important factors hindering people’s daily travel and economic development []. Traffic congestion causes damages to urban road networks. Road congestion is mainly attributed to natural hazards, weather conditions, and traffic accidents [], which have an impact on road capacity and are regarded as damage to the networks. Therefore, there is a need to develop methods to recover urban road networks by optimally tackling traffic congestion.
Much research work has been conducted on different aspects to avoid road congestion, such as traffic flow propagation [,,], traffic congestion prediction [,,,], and the correlation of traffic congestion [,]. But it is inevitable that road congestion can propagate to adjacent nodes in an urban road network []. When a failure in a network causes cascading failures on a large scale, a maintenance-centered recovery plan would be the most effective way to clear congestion.
Identifying congested roads is a premise to solve congestion. The primary task of developing a maintenance model should be studying the formation process of congestion. Considering the complexity of the reasons for congestion, sending a traffic worker with a skill to the road needing the skill would be a key problem in the maintenance. The partition maintenance method would be useful to restore each failed road on a timely basis by matching mastered and needed skills.
1.2. Relevant Work
Many scholars have studied the recovery model of a road network. Dui et al. [] gave the recovery analysis and maintenance priority of metro networks based on importance measure. Morozov et al. [] modeled the operation of signal-controlled intersections with different lane occupancy to recover from road network failure. Zhang et al. [] developed an optimization model of recovery scheduling for bridges as key links in the “road-bridge” transportation network system. Almeida et al. [] summarized the literature on road network repair and restoration. Considering that different models solve different problems, the author analyzes the existing models from the aspects of network structure, disaster types, and model target.
Zhang et al. [] constructed a stochastic discrete event simulation model considering the time-variability of road network under the disaster background. Then, a new algorithm was developed to minimize the transportation time to obtain the optimal resource allocation strategy. Hamed Moghadam et al. [] proposed the percolation-based dynamic perimeter control for mitigating congestion propagation in urban road networks. Chen et al. [] studied the quasi-contagion process modeling and characteristic analysis for real-world urban traffic network congestion patterns to recovery.
The maintenance model is the most effective way to restore urban road networks. Mohammed et al. [] used the floating car data method to repair traffic congestion. Chowdhury et al. [] developed the congestion-aware heterogeneous connected automated vehicles’ cooperative maintenance problems at intersections. Chellapilla et al. [] proposed a multi-objective optimization model considering System Optimal and user equilibrium to alleviate congestion and improve network performance. This model can achieve better management of congestion. Alkhatib et al. [] proposed to use intelligent traffic management system to optimize traffic management. Intelligent traffic lights are used to realize dynamic control of traffic flow.
Stupin et al. [] proposed to improve roundabout by using modern methods. This model can improve intersections’ throughput, increase road capacity, and reduce traffic congestion. Lin et al. [] gave the model of spatiotemporal congestion-aware maintenance toward intelligent transportation systems in a software-defined smart city. Nguyen et al. [] studied controllable path planning and traffic maintenance for emergency services on the Internet of vehicles. This model proposes a variety of scheduling schemes to assign the fastest routes for vehicles. At the same time, it can quickly clear traffic congestion and ensure the smooth running of vehicles.
The urban road recovery and maintenance models have been constructed based on Bayesian networks. Kammouh et al. [] proposed a resilience evaluation framework based on the Dynamic Bayesian network, considering the time-varying performance of transportation systems after encountering emergencies. When data is scarce, the framework can be used to quantify the resilience of any engineering system. Jiang et al. [] drew on the Dynamic Bayesian network to establish a framework for assessing the network for the time-varying resilience. This framework can evaluate resilience under different attack scenarios and recovery scenarios.
1.3. Novelty and Contribution
Considering how to optimize failed roads under different skill constraints, this paper presents a flow-distribution-based process and execution (FD-PE) model to solve the problem. In this paper, the reasons for and spread of congestion by edge flow are called “process” research, which makes for the development of a flow-distribution model. Based on the genetic algorithm (GA), two maintenance models, namely a single MC-centered dispatching plan and the co-scheduling of MCs, are proposed to optimize recovery time; this is called “execution” research. The road network in Zhengzhou is borrowed to explain the feasibility of the sub-regional maintenance plan. The results have reference significance for the road networks of other cities. The contribution is as follows.
- Considering the complex characteristics of the traffic network, this paper studies intra-regional congestion by means of partition management. This behavior helps to timely identify congested roads so that traffic managers can make decisions.
- For the diversity of road congestion, this paper establishes a maintenance model to match multi-skilled workers and multi-demand roads.
- For different forms of congestion, this paper develops both a single MC scheduling and MCs’ joint scheduling to adapt to single-area and multi-area congestion.
The following assumptions are made for the proposed model. (1) Assume that an urban road network is divided into different regions, each of which has an MC for studying the spread of congestion and dispatching traffic workers for repairing. (2) Assume that traffic workers have expertise in the traffic system and maintenance skills. (3) Work cannot be interrupted when a traffic worker restores a failed road. (4) A case study is conducted as a mathematical example.
1.4. Structure
The rest of this paper’s structure is as follows. In Section 2, a recovery model based on flow distribution and a maintenance optimization based on region division are studied to repair congested roads. Section 3 verifies the validity of the proposed model through a mathematical example. Section 4 summarizes the paper and puts forward future work.
2. Methods
Figure 1 illustrates the realized process of the proposed FD-PE model in an urban road network, which is developed for recovering a congested road network. In Figure 1, the congestion model analyzes the road failed types and a flow distribution process to identify congestion, as shown in Section 2.1. The recovery model is developed to repair failed roads by Scheme 1 and Scheme 2 with the genetic algorithm (GA), as shown in Section 2.2.

Figure 1.
The realized process of the proposed PE-FD model in an urban road network.
2.1. Congestion Model
An urban road network is established. V is the nodes set. E is the edges set. is the edge from node v to node w. is the degree value of node . is the weight of edge .
According to [,], road failed types and corresponding maintenance skills are summarized as follows.
- An intelligent car suddenly broke down on the road causing traffic jams. Maintenance skill: Promptly handle faulty vehicles and drag them off the road.
- With the increase in the number of uses and the passage of time, intelligent vehicles cannot accurately perceive the surrounding environment and collide with other vehicles. Maintenance skill: Handle accidents and evacuate congestion caused by accidents in time.
- Insufficient road capacity or insufficient design leads to road congestion. Maintenance skill: Arrange vehicles to leave orderly to ease congestion.
All road failed types result in beyond traffic capacity on the road and congestion initially formed. According to [], the initial flow of an edge is obtained by the degree value.
In Equation (1), is the initial flow of edges. and denote the zoom factors. is a positive integer. The scope of is [0, 1].
According to the principle of capacity on demand [], the capacity of an edge is proportional to the initial flow. The capacity of an edge is obtained by the following:
In Equation (2), is the capacity of edges. is the tolerance parameter. The scope of is [0, 1]. The flow spread by edge to the adjacent edge is obtained by the following:
In Equation (3), is the transfer flow from to is the spare capacity of edges.
2.2. Recovery Model
The recovery model is an effective method to repair failed edges. Figure 2 shows the flowchart for recovering a failed road network subject to constraints. It corresponds to the scheduling model of an MC in Section 2.2.1 and the co-scheduling model of MCs in Section 2.2.2.

Figure 2.
The flowchart for recovering a road network subject to constraints.
2.2.1. Model for Scheme 1
An urban road network is divided into n regions. The set of MCs in n regions is . Scheme 1 is the recovery process of the single MC scheduling modeled for congestion in its region. The road network in region is the research object in Scheme 1. The set of traffic workers in region is . The set of failed edges in region is .
The decision matrix of recovery time in a region is obtained by the following:
In Equation (4), represents the time that a traffic worker used skills to repair the failed edge . represents the recovery time in a region. According to Figure 2, the recovery process from two dimensions of skill constraints and time constraints is formulated as follows.
- Skill constraints
Traffic workers have different maintenance skills. Failed edges require different maintenance skills to clear congestion. Traffic workers use one maintenance skill on one failed road within a certain time. The diversity of road failed types causes the total number of skills, , required by the failed edges, , to not be the same. Skill constraints are as follows.
In Equations (5)–(8), represents the traffic worker w in region . represents a failed road in region . B denotes the degree of skills used by the traffic worker. The degree is divided into three levels. The high level costs more time. denotes the skills that the traffic worker has mastered. denotes failed nodes that the traffic worker recovers. denotes the skills used by the traffic worker in the failed nodes.
- 2.
- Time constraints
In Equation (9), denotes the time required to repair to the failed road . denotes the start time to clear the failed edge . denotes the time when traffic workers arrive at the failed edges. represents the time that a traffic worker uses the skill to recover the failed road in region . Considering the worker may use two or more skills in this failed road, his stay on this failed road is the sum of his time using multiple skills. is the collection of the kind of skills.
In Equation (10), represents the time that a traffic worker recovers the last failed road arranged by the MC.
- 3.
- Constraints model
Through the above skills and time constraints, the constraints model of Scheme 1 is as follows. The objective function is:
In Equation (11), represents the recovery time in a region. represents the time that the last traffic worker completes his recovery task.
This is subject to:
Equations (12)–(14) are the skill constraints. Equation (12) indicates the traffic workers to use one skill at a certain time. Equation (13) indicates the skills required for failed edges to be satisfied. Equation (14) indicates that the skills used by the traffic workers at the failed edges cannot exceed the number of skills they have mastered.
Equations (15)–(23) are time constraints. Equation (15) indicates time spent on failed edges by traffic workers. The traffic workers leave the failed edges. Equation (16) indicates the traffic workers to be on one failed edge at a certain time. Equation (17) indicates the task starting time to be the time when all traffic workers arrive. Equation (18) indicates the recovery time of a failed edge to be the time to complete all skills. Equation (19) indicates the recovery time of the failed edge 𝑓 to be the sum of the traffic workers’ arrival time and the recovery time of the edge. Equation (20) indicates that if traffic workers leave edge 𝑓 that has been recovered and visit edge 𝑗, the starting time of the edge 𝑗 cannot be earlier than the sum of the recovery time of edge 𝑓 and the time from edge 𝑓 to edge 𝑗. Equation (21) indicates the total recovery time of all edges. Equation (22) indicates the recovery time of a certain MC. Equation (23) is used to eliminate the sub-loop constraint. |Ω| is a set composed of all subsets of the failed edges set, thus eliminating the solution that satisfies other constraints but does not constitute a complete path.
2.2.2. Model for Scheme 2
Differing from Scheme 1, Scheme 2 is that the co-scheduling of MCs is modeled for congestion in regions. The set of traffic workers is . The set of failed edges is . The decision matrix of maintenance time in regions is obtained by the following:
In Equation (24), represents the time that traffic workers in regions repair failed edges in these regions.
The objective function is:
In Equation (25), represents the recovery time in regions. represents the time that the last traffic worker completes his recovery task.
This is subject to:
The explanation of Equations (26)–(37) is in Section 2.2.1.
2.3. Algorithm for Maintenance Optimization
To recover failed edges, the GA is used to solve Schemes 1 and 2. GA is an adaptive global search algorithm proposed by J. H. Holland et al. and formed by simulating natural selection and natural evolution processes in nature []. In GA, two groups exchange the genetic information carried by excellent individuals, breaking the balance within the groups and achieving a higher balance []. It is conducive to obtaining the optimal solution. Considering the recovery sequence of failed edges and the road failed types, GA takes multi-skilled traffic workers as the research object and seeks an optimal maintenance plan. The steps of GA in the network are as follows.
- Initialize the populationThe proposed model initializes the number of failed edges, traffic workers, types of skills, and road failed types. Set the maximum evolution algebra to G. An initial population has NP individuals. The feasible solution in the single MC scheduling is obtained by the following:In Equation (38), the -dimensional decision vector consists of genes. represents the recovery time in a region. A gene represents the time for a traffic worker to repair failed roads, which includes [,……].
- Crossover and mutationThe proposed model adopts the sequential crossover method. GA pairs individuals from the population NP (t). Exchange genes between individuals with crossover probability Pc. For the sequence of traffic workers and skill types, the exchange mutation method is adopted. Select two gene positions in the parent chromosomes and exchange their gene values. For example, exchanging and , the gene becomes [,……].
- Fitness function and selectionThe recovery time of repairing failed edges is used as the fitness of the chromosome. . The binary trophy selection method is used to choose the operator. The probability of the individual being chosen is:In Equation (39), denotes the fitness of individual . NP is the population size.
- Algorithm termination conditionIf , . Turn to Step 2. G is set to 50, 100, 150, and 500 in models. If , the feasible solution with the maximum fitness obtained in the evolution process is output as the optimal recovery time. The calculation is terminated.
3. Case Study
This section verifies the proposed model by analyzing the Zhengzhou Road network in China. Section 3.1 gets the failed edges in Zhengzhou. Section 3.2 and Section 3.3 obtained the maintenance plans under Schemes 1 and 2.
3.1. Congestion Analysis
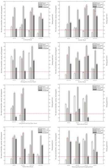
The road network includes 19 intersections and 24 sub-roads. Figure 3 shows the network structure of these edges. Table 1 shows their node coordinates, which come from the website https://lbs.amap.com (accessed on 20 April 2023). Figure 4 shows the values of the passing speed, initial flow, capacity, and propagation of 24 sub-roads. The left y-axis measures the initial flow value, capacity value, and received flow value of each road. When the initial flow value plus the received flow value is greater than the capacity value, the road satisfies the first condition of becoming a congested road. The right y-axis measures the passing speed of the road. When the speed is below 20 m/s as shown in the red dotted line, the road meets the second condition of becoming a congested road. When a road meets the above two conditions, it is a congested road. The failed edges are e (8, 13), e (8, 4), e (9, 14), e (9, 10), e (9, 8), e (14, 15), e (14, 18), e (14, 13), e (15, 19), e (15, 16), e (15, 10), and e (18, 19). The values of these failed roads are represented in red in Figure 4.

Figure 3.
The network structure in the city of Zhengzhou.

Table 1.
Node position coordinates.

Figure 4.
The values of speed, initial flow, capacity, and propagation of 24 sub-roads.
3.2. Scheme 1
In the region of MC1, the failed edges are e (13, 14), e (8, 9), e (8, 13), e (8, 4), e (9, 10), and e (9, 14). Table 2 shows the maintenance skills required for failed roads.

Table 2.
The maintenance skills required for failed roads under Scheme 1.
Table 3 shows the skills that traffic workers have. The traffic workers of MC1 are traffic workers 1, 2, and 3. The rest are the traffic workers of MC2.

Table 3.
Traffic workers skills.
The operating parameters are set under Scheme 1 as follows. The population size is NP = 50. The crossover probability is Pc = 0.9. The mutation probability is Pm = 0.5. The number of iterations is 50, 100, 150, and 500. Figure 5 shows the GA evolution curves under Scheme 1. Table 4 shows the maintenance sequence under Scheme 1. The maintenance time is 13.15 min.

Figure 5.
Genetic algorithm evolution curves under Scheme 1 (MC1).

Table 4.
Maintenance sequences under Scheme 1 (MC1).
In order to verify that using the resources in MC1 to repair congestion in its area takes a shorter time, MC2 performs the same maintenance tasks in region MC1. Other parameters are the same as those for MC1. The population size is NP = 50. The crossover probability is Pc = 0.9. The mutation probability is Pm = 0.5. Figure 6 shows the GA evolution curves in MC2 under Scheme 1. In Figure 6, the optimal completion time obtained by iteration 50 times, 100 times, 150 times, and 500 times is 13.35 min. The completion time is greater than that in MC1. Table 5 shows the maintenance sequences of MC2 under Scheme 1. The result shows that it is reasonable to adopt a single MC for repairing failed edges in its region.

Figure 6.
Genetic algorithm evolution curves under Scheme 1 (MC2).

Table 5.
Maintenance sequences under Scheme 1 (MC2).
It takes 13.15 min for MC1 to repair the failed edges. While MC2 takes 13.35 min. If the traffic failure in the region where MC1 manages is repaired by MC1, the optimal maintenance sequence can be obtained. The results show that modeling the process of a single MC scheduling plan in a single region is reasonable.
3.3. Scheme 2
In the region of MC1 and MC2, failed edges are e (8, 13), e (8, 4), e (9, 14), e (9, 10), e (9, 8), e (14, 15), e (14, 18), e (14, 13), e (14, 9), e (15, 19), e (15, 16), e (15, 14), e (15, 10), and e (18, 19). Table 6 shows the maintenance skills required for failed edges.

Table 6.
The maintenance skills required for failed edges under Scheme 2.
MC1 and MC2 formulate the maintenance plan together and dispatch their traffic workers to execute the plan. The algorithm is iterated 150 times. Then, the solution result tends to be stable. In Figure 7, the evolution curve of the GA is shown in the algorithm search process. Table 7 shows the maintenance sequences under Scheme 2. The maintenance time is 31.43 min.

Figure 7.
Genetic algorithm curve under Scheme 2 (MC1 and MC2).

Table 7.
Maintenance sequences under Scheme 2 (MC1 and MC2).
When road congestion occurs in the regions, the MCs conduct co-scheduling to obtain the optimal maintenance sequences. The situation of failed edges is different. The maintenance skills are different. In this case, the two MCs cooperate to complete the maintenance tasks, and the ability to repair failed edges is enhanced with more traffic workers. The maintenance time is shortened. In addition, MC1 repairs 14 failed edges under Scheme 2. Due to the reduction in the number of traffic workers, the maintenance time is increased to 32.57 min, which is longer than the time that MC1 and MC2 cooperate to complete the task. Therefore, it is assumed that the number of traffic workers in an MC is the same, and the types of maintenance skills they master are fixed. Under the condition of cross-regional propagation of congested roads, joint scheduling usually saves time than individual scheduling. This is because the former has more traffic workers than the latter.
Through the analysis of Schemes 1 and 2, congestion and recovery of urban roads are realized. In the case of Scheme 1, the solution obtained by 500 iterations is selected for both the MC1 and the MC2 as the approximate optimal solution for completing the maintenance tasks. In the case of Scheme 2, the solution obtained by 150 iterations is selected as the approximate optimal solution for completing the maintenance tasks. The results show that partition maintenance is reasonable. Under certain conditions, Co-scheduling of MCs takes less time than alone.
4. Conclusions
Urban road congestion becomes one of the most important factors hindering people’s daily travel and economic development. The proposed FD-PE model is conducive to repairing failed roads in an urban road network. Scheme 1 is the process of the single MC scheduling modeled for congestion in a single region. The solution obtained by 500 iterations is selected for both the MC1 and the MC2 for completing the maintenance tasks. Scheme 2 is that the co-scheduling of MCs is modeled for congestion in many regions. The solution obtained by 150 iterations is selected for completing the maintenance tasks. According to the “China Major Urban Traffic Analysis Report”, the number of cars in Zhengzhou is more than 4 million, ranking fifth. The city’s congestion delay index is 1.531. In the proposed Schemes 1 and 2, the times taken to clear 6 and 14 congested edges are 13.15 min and 31.43 min, respectively. Compared with the report, the proposed method helps to restore the road network.
Road conditions are often unexpected. Non-motor vehicles and pedestrians may have an impact on the transport network, which affect the robustness of the road network. Considering that the road networks of different cities have different characteristics, the robustness of the models and evaluation model will be verified by multi-city simulation in the future.
Author Contributions
Conceptualization, H.D. and Y.Z.; methodology, H.D.; software, Y.Z.; validation, S.Z.; formal analysis, Y.Z.; investigation, H.D.; resources, Y.-A.Z.; data curation, Y.Z.; writing—original draft preparation, Y.Z. and S.Z.; writing—review and editing, H.D. and Y.-A.Z.; supervision, Y.-A.Z.; funding acquisition, H.D. All authors have read and agreed to the published version of the manuscript.
Funding
This research was funded by the Key Science and Technology Program of Henan Province (No. 222102520019), the Program for Science & Technology Innovation Talents in Universities of Henan Province (No. 22HASTIT022).
Data Availability Statement
The authors confirm that the data supporting the findings of this study are available within the article.
Conflicts of Interest
The authors declare no conflict of interest.
References
- Olayode, I.O.; Tartibu, L.K.; Okwu, M.O.; Uchechi, U.F. Intelligent transportation systems, un-signalized road intersections and traffic congestion in Johannesburg: A systematic review. Procedia CIRP 2020, 91, 844–850. [Google Scholar] [CrossRef]
- Zheng, Z.J.; Wang, Z.L.; Zhu, L.Y.; Jiang, H. Determinants of the congestion caused by a traffic accident in urban road networks. Accid. Anal. Prev. 2020, 136, 105327. [Google Scholar] [CrossRef] [PubMed]
- Shen, Y.; Song, G.H.; Song, H.L.; Xie, Y.C. Model of node traffic recovery behavior and cascading congestion analysis in networks. Phys. A Stat. Mech. Appl. 2020, 545, 123422. [Google Scholar] [CrossRef]
- Nagy, A.M.; Simon, V. Traffic congestion propagation identification method in smart cities. Infocommun. J. 2021, 13, 45–57. [Google Scholar] [CrossRef]
- Liu, Q.C.; Liu, T.; Cai, Y.F.; Xiong, X.X.; Jiang, H.B.; Wang, H.; Hu, Z.N. Explanatory prediction of traffic congestion propagation mode: A self-attention-based approach. Phys. A Stat. Mech. Appl. 2021, 573, 125940. [Google Scholar] [CrossRef]
- Chen, B.K.; Sun, D.; Zhou, J.; Wong, W.F.; Ding, Z.J. A future intelligent traffic system with mixed autonomous vehicles and human-driven vehicles. Inf. Sci. 2020, 529, 59–72. [Google Scholar] [CrossRef]
- Tang, W.M.; Yiu, K.F.C.; Chan, K.Y.; Zhang, K. Conjoining congestion speed-cycle patterns and deep learning neural network for short-term traffic speed forecasting. Appl. Soft Comput. 2023, 138, 110154. [Google Scholar] [CrossRef]
- Nagy, A.M.; Simon, V. Improving traffic prediction using congestion propagation patterns in smart cities. Adv. Eng. Inf. 2021, 50, 101343. [Google Scholar] [CrossRef]
- Jafari, S.; Shahbazi, Z.; Byun, Y.C. Improving the road and traffic control prediction based on fuzzy logic approach in multiple intersections. Mathematics 2022, 10, 2832. [Google Scholar] [CrossRef]
- Zhang, J.; Wang, Z.; Wang, S.; Shao, W.; Liu, W. Vulnerability assessments of weighted urban rail transit networks with integrated coupled map lattices. Reliab. Eng. Syst. Saf. 2021, 214, 107707. [Google Scholar] [CrossRef]
- Dui, H.Y.; Chen, S.S.; Wang, J. Failure-oriented maintenance analysis of nodes and edges in network systems. Reliab. Eng. Syst. Saf. 2021, 215, 107879. [Google Scholar] [CrossRef]
- Zhang, C.; Xu, X.; Dui, H.Y. Analysis of network cascading failure based on the cluster aggregation in cyber-physical systems. Reliab. Eng. Syst. Saf. 2020, 202, 106963. [Google Scholar] [CrossRef]
- Dui, H.; Yang, Y.; Zhang, Y.A.; Zhu, Y. Recovery analysis and maintenance priority of metro networks based on importance measure. Mathematics 2022, 10, 3989. [Google Scholar] [CrossRef]
- Morozov, V.; Shepelev, V.; Kostyrchenko, V. Modeling the operation of signal-controlled intersections with different lane occupancy. Mathematics 2022, 10, 4829. [Google Scholar] [CrossRef]
- Zhang, M.Y.; Yang, X.J.; Zhang, J.; Li, G. Post-earthquake resilience optimization of a rural “road-bridge” transportation network system. Reliab. Eng. Syst. Saf. 2022, 225, 108570. [Google Scholar] [CrossRef]
- Almeida, L.S.; Goerlandt, F.; Pelot, R. Trends and gaps in the literature of road network repair and restoration in the context of disaster response operations. Socio-Econ. Plan. Sci. 2022, 84, 101398. [Google Scholar] [CrossRef]
- Chang, K.H.; Chen, T.L.; Yang, F.H.; Chang, T.Y. Simulation optimization for stochastic casualty collection point location and resource allocation problem in a mass casualty incident. Eur. J. Oper. Res. 2023; in press. [Google Scholar] [CrossRef]
- Hamed Moghadam, H.; Zheng, N.; Li, D.Q.; Vu, H.L. Percolation-based dynamic perimeter control for mitigating congestion propagation in urban road networks. Transp. Res. Part C Emerg. Technol. 2022, 145, 103922. [Google Scholar] [CrossRef]
- Chen, Y.T.; Mao, J.N.; Zhang, Z.; Huang, H.; Lu, W.K.; Yan, Q.P.; Liu, L. A quasi-contagion process modeling and characteristic analysis for real-world urban traffic network congestion patterns. Phys. A Stat. Mech. Appl. 2022, 603, 127729. [Google Scholar] [CrossRef]
- Mohammed Almatar, K. Traffic congestion patterns in the urban road network: (Dammam metropolitan region). Ain Shams Eng. J. 2023, 14, 101886. [Google Scholar] [CrossRef]
- Chowdhury, F.R.; Wang, P.R.; Li, P.F. Congestion-aware heterogeneous connected automated vehicles cooperative scheduling problems at intersections. J. Intell. Transp. Syst. Technol. Plann. Oper. 2023, 27, 111–126. [Google Scholar] [CrossRef]
- Chellapilla, H.; Sivanandan, R.; Chilukuri, B.R.; Rajendran, C. A trade-off between user-equilibrium and system optimal traffic assignments for congestion mitigation in city networks. Transp. Res. Procedia 2023, 69, 384–391. [Google Scholar] [CrossRef]
- Alkhatib, A.A.A.; Maria, K.A.; AlZu’bi, S.; Maria, E.A. Smart traffic scheduling for crowded cities road networks. Egypt. Inform. J. 2022, 23, 163–176. [Google Scholar] [CrossRef]
- Stupin, A.; Kazakovtsev, L.; Stupina, A. Control of traffic congestion by improving the rings and optimizing the phase lengths of traffic lights with the help of any logic. Transp. Res. Procedia 2022, 63, 1104–1113. [Google Scholar] [CrossRef]
- Lin, C.; Han, G.J.; Du, J.X.; Xu, T.T.; Shu, L.; Lv, Z.H. Spatiotemporal congestion-aware path planning toward intelligent transportation systems in software-defined smart city IoT. IEEE Internet Things J. 2020, 7, 8012–8024. [Google Scholar] [CrossRef]
- Nguyen, V.L.; Hwang, R.H.; Lin, P.C. Controllable path planning and traffic scheduling for emergency services in the Internet of vehicles. IEEE Trans. Intell. Transp. Syst. 2022, 23, 12399–12413. [Google Scholar] [CrossRef]
- Kammouh, O.; Gardoni, P.; Cimellaro, G.P. Probabilistic framework to evaluate the resilience of engineering systems using Bayesian and dynamic Bayesian networks. Reliab. Eng. Syst. Saf. 2020, 198, 106813. [Google Scholar] [CrossRef]
- Jiang, S.; Yang, L.; Cheng, G.; Gao, X.; Feng, T.; Zhou, Y. A quantitative framework for network resilience evaluation using Dynamic Bayesian Network. Comput. Commun. 2022, 194, 387–398. [Google Scholar] [CrossRef]
- Dui, H.Y.; Chen, S.; Zhou, Y.J.; Wu, S.M. Maintenance analysis of transportation networks by the traffic transfer principle considering node idle capacity. Reliab. Eng. Syst. Saf. 2022, 221, 108386. [Google Scholar] [CrossRef]
- Motter, A.E.; Lai, Y.C. Cascade-based attacks on complex networks. Phys. Rev. E Stat. Nonlinear Soft Matter Phys. 2002, 66, 065102. [Google Scholar] [CrossRef]
- Bowly, S. A genetic algorithm hybridization scheme for effective use of parallel workers. In Proceedings of the 2019 Genetic and Evolutionary Computation Conference, GECCO 2019, Prague, Czech Republic, 13–17 July 2019; pp. 745–752. [Google Scholar]
- Wang, C.L.; Shi, H.Y.; Zuo, X.Q. A multi-objective genetic algorithm-based approach for dynamical bus vehicles scheduling under traffic congestion. Swarm Evol. Comput. 2020, 54, 100667. [Google Scholar] [CrossRef]
Disclaimer/Publisher’s Note: The statements, opinions and data contained in all publications are solely those of the individual author(s) and contributor(s) and not of MDPI and/or the editor(s). MDPI and/or the editor(s) disclaim responsibility for any injury to people or property resulting from any ideas, methods, instructions or products referred to in the content. |
© 2023 by the authors. Licensee MDPI, Basel, Switzerland. This article is an open access article distributed under the terms and conditions of the Creative Commons Attribution (CC BY) license (https://creativecommons.org/licenses/by/4.0/).