Next Article in Journal
Financial Volatility Modeling with the GARCH-MIDAS-LSTM Approach: The Effects of Economic Expectations, Geopolitical Risks and Industrial Production during COVID-19
Previous Article in Journal
Cloud-Assisted Private Set Intersection via Multi-Key Fully Homomorphic Encryption
 
 
Font Type:
Arial Georgia Verdana
Font Size:
Aa Aa Aa
Line Spacing:
Column Width:
Background:
Article

Dual Jitter Suppression Mechanism-Based Cooperation Control for Multiple High-Speed Trains with Parametric Uncertainty

1
College of Automation and Electronic Engineering, Qingdao University of Science and Technology, Qingdao 260061, China
2
School of Artificial Intelligence, Hebei Univeristy of Technology, Tianjin 300401, China
*
Author to whom correspondence should be addressed.
Mathematics 2023, 11(8), 1786; https://doi.org/10.3390/math11081786
Submission received: 4 March 2023 / Revised: 6 April 2023 / Accepted: 8 April 2023 / Published: 9 April 2023

Abstract

Parameter uncertainty is one of the key factors that affect the performance of train systems. In order to obtain good tracking and cooperation performances and to improve line utilization, this paper proposes a sliding mode surface-based cooperation control scheme for multiple high-speed trains subject to parameter uncertainty. Based on the single-mass point model, multiple high-speed trains can be modeled as a quasi-multi-agent system with the leader–follower model. Considering the parameter uncertainty of the system, the non-singular terminal sliding mode surface is applied and adaptive control laws are designed to estimate the unknown parameters and external disturbances. A dual jitter suppression mechanism-based cooperation control drive strategy is presented in order to achieve the following objectives: (1) the leading train can track the desired trajectory very well; (2) one train can follow the adjacent train in front at the desired safe interval; and (3) the cooperation performances can be obtained for the quasi multi-agent system. Lyapunov functions are defined to prove the stability of the system, and simulation experiments show that the proposed cooperation control scheme is feasible and effective. According to the presented control scheme applied for multiple high-speed trains, the line utilization rate can be greatly improved.

1. Introduction

High-speed railway is the common trend of railway transportation development in the world, and is the main symbol of railway technology modernization [1,2,3,4]. Rapid economic development and increasing urbanization rate have put forward higher requirements for the operational efficiency of high-speed railways. Improving the line utilization rate is one of the key technologies that can improve train operation efficiency, and puts forward higher requirements and challenges for the driving strategy of high-speed trains.
With the continuous improvement of train control automation, the driver’s subjectivity in the process of train running is decreasing, and the driving mode is undergoing transformation between manual driving, semi-automatic driving, automatic driving, and fully automatic driving. The automatic driving technique is a hot research topic for trains both at home and abroad [5,6,7,8,9,10]. In [6], based on the Cerebellar Model Articulation Controller (CMAC) adaptive control law, a train optimization control algorithm is proposed which can overcome the overkill phenomenon and poor convergence problems of the conventional PID while to a certain extent reducing the influence of parameter uncertainty and external interferences. In [7], an intelligent driving algorithm was put forward to compensate for nonlinear disturbances, relying on fractional-order sliding mode adaptive control and neural networks. In [8], a neural adaptive driving strategy was proposed for high-speed trains subject to unknown parameters and bounded disturbances. The above research is based on the single-mass point model. In [9,10], high-speed trains were modeled as a multiple-mass point model. For the sake of obtaining good position tracking performances and velocity tracking performance, the composite driving strategy and the neural adaptive driving strategy have been proposed. In the former, the tracking control problem of high-speed trains with the base running resistances and the external wind is transformed into a stabilization problem of linear systems with the modeled disturbance and the norm-bounded disturbance. In the latter, the tracking control problem of high-speed trains with the base running resistances and the external additional resistances is transformed into the arrival problem of sliding mode surfaces with time-varying coefficients.
In modern society, high-speed trains have the characteristics of high running density and long driving cycles. The automation driving control of a certain train is determined both by its own running conditions and the relationship that it has with adjacent trains on the same line. If the train can obtain the information of adjacent vehicles, it can achieve better performance. As a consequence, cooperative control for multiple high-speed trains is becoming a research trend [11,12,13,14,15,16,17,18,19]. Based on comparison of the minimum tracking interval time under fixed automatic block, quasi-moving block, and moving block conditions, Hill and Bond established the moving block railway signal system model, then analyzed the advantages of moving block for multiple high-speed trains [12]. However, it is obvious that cooperation control for multiple high-speed trains with fixed automatic block or quasi-moving block has certain limitations; a cooperation driving scheme with moving block can effectively improve the cooperation performances between trains while ensuring a safe interval between adjacent trains. Moreover, the utilization rate and operation efficiency of the line can be improved without sacrificing safety. In [14], the authors discuss the cooperation control problem for multiple high-speed trains with moving block. In [15], the limitation problem between the running speed and the traction/braking force is addressed for multiple high-speed trains with bounded disturbances. The saturation truncation function is applied to deal with the constraint of the traction/braking force, and the speed constraint function is introduced to deal with the constraint of velocity. Then, a fuzzy logic adaptive cooperation control algorithm is proposed to realize the cooperative operation of multiple high-speed trains. Virtual coupling (see Figure 1a) is a new moving block technology which relies on information exchange between trains. In [16], Dong et al. proposed a cooperation driving strategy based on information between adjacent trains. In [17], Cao et al. presented a cooperation control scheme with an anti-collision mechanism for multiple high-speed trains, taking the Beijing–Shanghai high-speed railway as an example. Their approach is based on the time-varying parameter artificial potential field function, and they verified the feasibility and effectiveness of the proposed cooperation driving strategy. In [19], Tian and Lin proposed a cooperative driving algorithm for multiple high-speed trains with moving block. To reduce the cost of operation adjustment and communication between trains, a switching mechanism and acceleration zone were applied.
Based on the above analysis, higher requirements and challenges can be put forward for cooperative driving strategies with moving block. In most existing research on multiple high-speed trains, each train follows its own curve of displacement and speed (see Figure 1b). It is obvious that there is no real-time communication between the trains. Consequently, in this paper the cooperation control problem for multiple high-speed trains with moving block is addressed, as shown in Figure 1a. Unlike the existing train cooperation operations shown as Figure 1b, the controller in this paper ensures that the position and velocity of the first train can track the given displacement and velocity curves well. Meanwhile, for the other trains, their desired velocity curves are viewed as the real-time speed of the adjacent front train, and the ideal safety interval between the adjacent trains can be maintained; in this way, a good line utilization rate can be obtained by the cooperation controller presented in this paper. First, multiple high-speed trains can be modeled as a quasi multi-agent system with parametric uncertainty. Then, the non-singular terminal sliding mode surfaces are introduced to transform the tracking control problem into the arrival problem. Next, the adaptive laws are designed to estimate the unknown parameters and the bounded disturbance. Following sliding mode surfaces and adaptive laws, a dual jitter suppression mechanism can be achieved. Finally, Lyapunov stability theory is applied to prove the stability of the system, and simulation results show that the proposed cooperation control strategy is effective and feasible. Meanwhile, in order to enrich the proposed control algorithm, the adaptive laws are rewritten without leakage terms. Moreover, the case of multiple high-speed trains with known parameters is discussed. Generally speaking, compared with existing research results, the main contributions of this paper can be summed up as follows:
  • Real-time communication is carried out between the rear train and the adjacent front train. The real-time displacement and speed of the front train are taken as the reference to adjust its own running state in real time. Under this operation mode, multiple high-speed trains can be modeled as a quasi-multi-agent system using the leader–follower model.
  • A novel cooperation control scheme is applied to multiple high-speed trains with parametric uncertainty and multiple disturbances, which is effective and feasible for improving the line utilization rate.
  • The dual jitter suppression mechanism is designed, which relies on the non-singular terminal sliding mode control and the adaptive control. The adaptive laws with leakage terms is designed to compensate the unknown parameters, parametric uncertainty, and bounded disturbances.
The rest of this paper is organized as follows. Based on Section 2, which describes the dynamic model of multiple high-speed trains subject to multiple disturbances, in Section 3 the adaptive laws are applied to estimate the unknown parameters and unknown bounded disturbances and the stability of the system is proven by reference to Lyapunov theory. In addition, two corollaries are proposed for multiple high-speed trains. The effectiveness and feasibility of the proposed terminal sliding mode cooperation control scheme is verified by simulation results in Section 4. Finally, in Section 5 the paper is summarized and our conclusions are provided.

2. Dynamics Modeling

Based on the single-point mass model [20,21,22], the following dynamical model for multiple high-speed trains subject to multiple disturbances is designed:
s ˙ i ( t ) = v i ( t ) Δ m i v ˙ i ( t ) = u i ( t ) d 1 i ( t ) d 2 i ( t )
where s 1 ( t ) , , s n ( t ) and v 1 ( t ) , , v n ( t ) are the position and velocity, respectively; Δ m 1 , , Δ m n denote the total mass and satisfy Δ m 1 = m 1 + Δ m 1 , , Δ m n = m n + Δ m n ; Δ m 1 , , Δ m n are bounded and imply the uncertainty of the dynamics model; m 1 , , m n are positive parameters; u 1 ( t ) , , u n ( t ) represent the control input, i.e., the traction force or the braking force; and d 11 ( t ) , , d 1 n ( t ) and d 21 ( t ) , , d 2 n ( t ) are the base running resistances and external additional resistances, respectively. The former can be viewed as the modeled disturbance, and can be formulated as d 1 i ( t ) = Δ a i + Δ b i v i ( t ) + Δ c i v i 2 ( t ) ; Davis’ coefficients Δ a 1 , , Δ a n , Δ b 1 , , Δ b n , and Δ c 1 , , Δ c n are unknown uncertain parameters, and satisfy Δ a i = a i + Δ a i , Δ b i = b i + Δ b i , and Δ c i = c i + Δ c i , where a 1 , , a n , b 1 , , b n , c 1 , , c n are positive constants; and Δ a 1 , , Δ a n , Δ b 1 , , Δ b n , Δ c 1 , , Δ c n reflect the uncertainty of Davis’ coefficients. The latter can be viewed as the bounded disturbances, and consist of the ramp resistance, the tunnel resistances, the curve resistance, etc.
Remark 1. 
As shown in Equation (1), the single-point mass model, with the advantages of simple structure and easy implementation, is applied to describe the dynamical model for multiple high-speed trains. Hence, it can be widely used in the problem of the dynamical model and cooperation controller design for multiple high-speed trains. However, the multiple-point mass model has the disadvantages of complex structure and large amount of calculation; nonetheless, it can better reflect the force and operation of the train and is closer to the actual train model.
Remark 2. 
In this paper, the dynamic model of multiple high-speed trains subject to the base running resistances and the external additional resistances is designed. Meanwhile, the relevant parameters, i.e., the total mass and Davis’ coefficients are unknown and uncertain, which is more in line with the actual operation of multiple high-speed trains.
Moreover, Equation (1) can be rearranged as
s ˙ i ( t ) = v i ( t ) m i v ˙ i ( t ) = u i ( t ) a i + b i v i ( t ) + c i v i 2 ( t ) d i ( t )
where d i ( t ) = d 2 i ( t ) + Δ a i + Δ b i v i ( t ) + Δ c i v i 2 ( t ) + Δ m i v ˙ i ( t ) . Without loss of generality, the functions d 1 ( t ) , , d n ( t ) are bounded. Then, there exist positive constants d 01 , , d 0 n which satisfy the inequalities | d i ( t ) | d 0 i .
Remark 3. 
In Equation (1), the bounded parameters Δ m 1 , , Δ m n , Δ a 1 , , Δ a n , Δ b 1 , , Δ b n , Δ c 1 , , Δ c n imply the parameter uncertainty. Consequently, there exist positive parameters ι 1 , , ι n satisfying 0 | Δ a i + Δ b i v i ( t ) + Δ c i v i 2 ( t ) + Δ m i v ˙ i ( t ) | ι i . Through combination with the boundedness of d 2 i ( t ) , we can find the parameters d 01 , , d 0 n to ensure that the inequation | d i ( t ) | d 0 i is true, that is to say, that the assumptions | d 1 ( t ) | d 01 , , | d n ( t ) | d 0 n are reasonable.
Based on virtual coupling, i = 1 is designed to be the leading train. Then, the leader–follower model can be designed between train i and train i−1. When i = 1, the leader–follower model can be designed between the leading train and its desired tracking curves. In this paper, the major objective is to design a cooperation control scheme that can ensure good tracking and cooperation performance for multiple high-speed trains subject to parametric uncertainty. In order to achieve the above objective, the following errors are designed:
e i ( t ) = s i ( t ) s i 1 ( t ) + L i e ˙ i ( t ) = v i ( t ) v i 1 ( t )
where L i is the safe interval between the adjacent trains, e i ( t ) and e ˙ i ( t ) are the position tracking errors and velocity tracking errors, respectively, and s 0 ( t ) and v 0 ( t ) are the desired position curve and velocity curve of the leading train, respectively.
Remark 4. 
Based on Figure 1, the safe interval between the adjacent trains L i in this paper is superior, and can improve the utilization rate of the line to an extent. However, the ideal safe interval is defined as a constant, which is a drawback of the presented control algorithm. In our future research, we intend to solve this problem.
Assumption 1. 
The desired position s 0 ( t ) of the leading train i = 1 is assumed to be a known smooth function, i.e., s 0 ( t ) , v 0 ( t ) , and v ˙ 0 ( t ) can be viewed as bounded functions.
Combining Equations (2) and (3), we have
m i e ¨ i ( t ) = u i ( t ) a i + b i v i ( t ) + c i v i 2 ( t ) d i ( t ) m i v ˙ i 1 ( t )
where v ˙ 0 is the desired acceleration of the leading train and v ˙ i 1 represents the acceleration of train i 1 ( i = 2 , 3 , , n ).

3. Cooperation Controller Design and Stability Analysis

In this section, for sake of transforming the tracking control problem and cooperation control problem into the arrival problem of the sliding mode surfaces, the following terminal sliding mode surfaces are proposed for multiple high-speed trains subject to parametric uncertainty:
ξ i ( t ) = e i ( t ) + β i e ˙ i p i q i ( t )
where β i > 0 and p i and q i are positive odd constants, and satisfy 1 < p i q i < 2 . Hence, we have
ξ ˙ i ( t ) = e ˙ i ( t ) + β i e ˙ i p i q i 1 ( t ) e ¨ ( t )
On the basis of (2), (3), and (6), the following cooperation control strategy is presented to obtain the desired performance:
u i ( t ) = a ^ i + b ^ i v i ( t ) + c ^ i v i 2 ( t ) + u d i ( t ) k ξ i ξ i ( t ) e ˙ i q i p i q i ( t ) m ^ i [ e ˙ i ( t ) β i e ˙ i p i q i q i ( t ) v ˙ i 1 ( t ) ] 1 β i e ˙ i q i p i q i ( t )
where k ξ i > 0 represents the controller gains, which can be obtained from empirical values; d ^ 0 i , a ^ i , b ^ i , c ^ i and m ^ i are the estimates of d 0 i , a i , b i , c i , and m i ; and the disturbance compensation can be designed as u d i ( t ) = d ^ 0 i sign ( ξ i ( t ) ) sign ( e ˙ i p i q i q i ( t ) ) .
Based on the above analysis, we can draw the following theorem:
Theorem 1. 
Given the dynamical model (2) and the sliding mode surfaces (5), if the adaptive laws of unknown parameters a i , b i , c i , d 0 i , and m i are designed as
a ^ ˙ i = k a i { β i ξ i ( t ) e ˙ i p i q i q i ( t ) + σ a i a ^ i } b ^ ˙ i = k b i { β i ξ i ( t ) e ˙ i p i q i q i ( t ) v i ( t ) + σ b i b ^ i } c ^ ˙ i = k c i { β i ξ i ( t ) e ˙ i p i q i q i ( t ) v i 2 ( t ) + σ c i c ^ i } d ^ ˙ 0 i = k d 0 i { β i | ξ i ( t ) e ˙ i p i q i q i ( t ) | σ d 0 i d ^ 0 i } m ^ ˙ i = k m i { ξ i ( t ) ( e ˙ i ( t ) β i e ˙ i p i q i q i ( t ) v ˙ i 1 ( t ) ) σ m i m ^ i }
where k a i > 0 , k b i > 0 , k c i > 0 , k d 0 i > 0 , and k m i > 0 denote the adaptive parameters, and σ a i > 0 , σ b i > 0 , σ c i > 0 , σ d 0 i > 0 , and σ m i > 0 denote the leakage parameters, then the system with the controller in Equation (7) is exponentially stable. Thus, the desired safe interval between adjacent trains can be maintained, and the cooperation performances for multiple high-speed trains can be obtained.
Proof. 
To ensure the desired performance of multiple high-speed trains subject to parametric uncertainty, we construct the following Lyapunov function:
V ( t ) = i = 1 n V i ( t )
with
V i ( t ) = m i 2 ξ i ( t ) + 1 2 k a i a ˜ i 2 + 1 2 k b i b ˜ i 2 + 1 2 k c i c ˜ i 2 + 1 2 k d 0 i d ˜ 0 i 2 + 1 2 k m i m ˜ i 2
where a ˜ i , b ˜ i , c ˜ i , d ˜ 0 i , and m ˜ i are the error terms of the unknown parameters, and satisfy
d ˜ 0 i = d 0 i d ^ 0 i ; m ˜ = m m ^ i ; a ˜ i = a i a ^ i ; b ˜ i = b i b ^ i ; c ˜ i = c i c ^ i .
Then, we have
V ˙ i ( t ) = m i ξ i ( t ) ξ ˙ i ( t ) 1 k a i a ˜ i a ^ ˙ i 1 k b i b ˜ i b ^ ˙ i 1 k c i c ˜ i c ^ ˙ i 1 k d 0 i d ˜ 0 i d ^ ˙ 0 i 1 k m i m ˜ i m ^ ˙ i
By substituting Equations (4) and (6) into the above formula (11), we have
V ˙ i ( t ) = ξ i ( t ) { m i e ˙ i ( t ) + β i e ˙ i p i q i 1 ( t ) [ u i ( t ) ( a i + b i v i ( t ) + c i v i 2 ( t ) ) d i ( t ) m i v ˙ i 1 ( t ) ] } 1 k a i a ˜ i a ^ ˙ i 1 k b i b ˜ i b ^ ˙ i 1 k c i c ˜ i c ^ ˙ i 1 k d 0 i d ˜ 0 i d ^ ˙ 0 i 1 k m i m ˜ i m ^ ˙ i
By combining this with the controller in Equation (7) and the adaptive laws in Equation (8), Equation (12) can be further arranged as
V ˙ i ( t ) = ξ i ( t ) { m i e ˙ i ( t ) + β i e ˙ i p i q i 1 ( t ) [ a ^ i + b ^ i v i ( t ) + c ^ i v i 2 ( t ) k ξ i ξ i ( t ) e ˙ i q i p i q i ( t ) m ^ i ( e ˙ i ( t ) d ^ 0 i sign ( ξ i ( t ) ) sign ( e ˙ i p i q i q i ( t ) ) β i e ˙ i p i q i q i ( t ) v ˙ i 1 ( t ) ) 1 β i e ˙ i q i p i q i ( t ) ( a i + b i v i ( t ) + c i v i 2 ( t ) ) d i ( t ) m i v ˙ i 1 ( t ) ] } + a ˜ i { β i ξ i ( t ) e ˙ i p i q i q i ( t ) + σ a i a ^ i } + b ˜ i { β i ξ i ( t ) e ˙ i p i q i q i ( t ) v i ( t ) + σ b i b ^ i } + c ˜ i { β i ξ i ( t ) e ˙ i p i q i q i ( t ) v i 2 ( t ) + σ c i c ^ i } d ˜ 0 i { β i | ξ i ( t ) e ˙ i p i q i q i ( t ) | σ d 0 i d ^ 0 i } m ˜ i { ξ i ( t ) ( e ˙ i ( t ) β i e ˙ i p i q i q i ( t ) v ˙ i 1 ( t ) ) σ m i m ^ i }
Moreover, Equation (13) can be rewritten as
V ˙ i ( t ) = ξ i ( t ) β i e ˙ i p i q i q i ( t ) [ k ξ i ξ i ( t ) e ˙ i q i p i q i ( t ) d ^ 0 i sign ( ξ i ( t ) ) sign ( e ˙ i p i q i q i ( t ) ) d i ( t ) ] + σ a i a ˜ i a ^ i + σ b i b ˜ i b ^ i + σ c i c ˜ i c ^ i + m ˜ i σ m i m ^ i d ˜ 0 i { β i | ξ i ( t ) e ˙ i p i q i q i ( t ) | σ d 0 i d ^ 0 i } k ξ i β i ξ i 2 ( t ) + σ a i a ˜ i a ^ i + σ b i b ˜ i b ^ i + σ c i c ˜ i c ^ i + m ˜ i σ m i m ^ i + σ d 0 i d ˜ 0 i d ^ 0 i β i | ξ i ( t ) | | e ˙ i p i q i q i ( t ) | ( d ^ 0 i d 0 i ) β i d ˜ 0 i | ξ i ( t ) | | e ˙ i p i q i q i ( t ) | k ξ i β i ξ i 2 ( t ) + σ a i a ˜ i a ^ i + σ b i b ˜ i b ^ i + σ c i c ˜ i c ^ i + σ m i m ˜ i m ^ i + σ d 0 i d ˜ 0 i d ^ 0 i
Given a ˜ i = a i a ^ i , b ˜ i = b i b ^ i , c ˜ i = c i c ^ i , d ˜ 0 i = d 0 i d ^ 0 i , and m ˜ = m m ^ i , we have 2 m ^ i m ˜ i = m i 2 m ^ i 2 m ˜ i 2 , 2 a ^ i a ˜ i = a i 2 a ^ i 2 a ˜ i 2 , 2 b ^ i b ˜ i = b i 2 b ^ i 2 b ˜ i 2 , 2 c ^ i c ˜ i = c i 2 c ^ i 2 c ˜ i 2 , 2 d ^ 0 i d ˜ 0 i = d 0 i 2 d ^ 0 i 2 d ˜ 0 i 2 , which together imply the following inequalities:
m ^ i m ˜ i 1 2 m i 2 1 2 m ˜ i 2 a ^ i a ˜ i 1 2 a i 2 1 2 a ˜ i 2 b ^ i b ˜ i 1 2 b i 2 1 2 b ˜ i 2 c ^ i c ˜ i 1 2 c i 2 1 2 c ˜ i 2 d ^ 0 i d ˜ 0 i 1 2 d 0 i 2 1 2 d ˜ 0 i 2
Consequently, Equation (14) can be rewritten as
V ˙ i ( t ) = k ξ i β i ξ i 2 ( t ) σ a i 2 a ˜ i 2 σ b i 2 b ˜ i 2 σ c i 2 c ˜ i 2 σ m i 2 m ˜ i 2 σ d 0 i 2 d ˜ 0 i 2 + σ a i 2 a i 2 + σ b i 2 b i 2 + σ c i 2 c i 2 + σ m i 2 m i 2 + σ d 0 i 2 d 0 i 2
Furthermore, through Equations (9), (10), and (16), we can derive
V ˙ ( t ) = i = 1 n V ˙ i ( t ) i = 1 n { k ξ i β i ξ i 2 ( t ) σ a i 2 a ˜ i 2 σ b i 2 b ˜ i 2 σ c i 2 c ˜ i 2 σ m i 2 m ˜ i 2 σ d 0 i 2 d ˜ 0 i 2 + σ a i 2 a i 2 + σ b i 2 b i 2 + σ c i 2 c i 2 + σ m i 2 m i 2 + σ d 0 i 2 d 0 i 2 } i = 1 n λ 1 i V i ( t ) + Ω i
where Ω i = σ a i 2 a i 2 + σ b i 2 b i 2 + σ c i 2 c i 2 + σ m i 2 m i 2 + σ d 0 i 2 d 0 i 2 . The parameters d 0 i , a i , b i , c i , and m i and the leakage coefficients σ a i , σ b i , σ c i , σ d 0 i , and σ m i are bounded; thus, Ω i is a bounded function. Therefore, a parameter Ω 0 i exists which satisfies | Ω i | Ω 0 i ; the parameter λ 1 i can be designed to satisfy the following equations: k ξ i β i λ 1 i m i 2 , σ a i 2 λ 1 i 2 k a i , σ b i 2 λ 1 i 2 k b i , σ c i 2 λ 1 i 2 k c i , σ m i 2 λ 1 i 2 k m i , σ d 0 i 2 λ 1 i 2 k d 0 i . Consequently, we have
λ 1 i = min 2 k ξ i β i m i , σ a i k a i , σ b i k b i , σ c i k c i , σ m i k m i , σ d 0 i k d 0 i
Furthermore, through Equations (9), (10), and (16), we can derive
V ˙ ( t ) λ V ( t ) + Ω
where λ = i = 1 n λ 1 i > 0 ; Ω = i = 1 n Ω 0 i > 0 . Combining this with Equations (9), (10), and (17), we have [23]
0 V ( t ) Ω λ + e λ t V ( 0 ) Ω λ
where V ( 0 ) = i = 1 n V i ( 0 ) , V i ( 0 ) = V i ( t ) | t = 0 . Then, the boundary of the sliding mode surface ξ i ( t ) and the parameter errors a ˜ i , b ˜ i , c ˜ i , d ˜ 0 i , m ˜ i can be obtained:
| ξ i ( t ) | = 2 m i Ω λ + e λ t V ( 0 ) Ω λ , | a ˜ i | = 2 k a i Ω λ + e λ t V ( 0 ) Ω λ
| b ˜ i | = 2 k b i Ω λ + e λ t V ( 0 ) Ω λ , | c ˜ i | = 2 k c i Ω λ + e λ t V ( 0 ) Ω λ
| d ˜ 0 i | = 2 k d 0 i Ω λ + e λ t V ( 0 ) Ω λ , | m ˜ i | = 2 k m i Ω λ + e λ t V ( 0 ) Ω λ
Based on this analysis, it is readily obtained that ξ i ( t ) , a ˜ i , b ˜ i , c ˜ i , d ˜ 0 i , and m ˜ i can converge to a very small area near zero. Thus, the system is exponentially stable for multiple high-speed trains with the proposed cooperation control scheme. The proposed control algorithm is proven to be feasible and efficient, and can ensure the desired tracking and cooperation performance. □
However, it is difficult to solve the convergence time under the terminal sliding mode surfaces-based cooperative control strategy [24]. By means of Equations (5), (9), (10), (16), and (17), when the following inequality is assumed
m i ξ i ( t ) ξ ˙ i ( t ) 1 k a i a ˜ i a ^ ˙ i 1 k b i b ˜ i b ^ ˙ i 1 k c i c ˜ i c ^ ˙ i 1 k d 0 i d ˜ 0 i d ^ ˙ 0 i 1 k m i m ˜ i m ^ ˙ i ϖ i | ξ i ( t ) |
we obtain
ξ i ( 0 ) ξ i ( t r i ) d ξ i ξ i ( t r i ) 0 ϖ i m i d t
where ξ i ( 0 ) 0 and t r i is the time to reach the sliding mode surface from the initial state for the system, and satisfies
t r i m i | ξ i ( 0 ) | ϖ i
Through Equation (5), the time t ξ i to reach the origin along the sliding mode surface for the system can be calculated as
t ξ i = q i β i ( q i p i ) e ˙ i ( t r i ) q i p i q i
Consequently, we can obtain the convergence time of the system as i = 1 n { t r i + t ξ i } .
Remark 5. 
Based on the cooperation control scheme proposed in this paper, the arrival time t r i is subject to the above assumption.
Remark 6. 
In this paper paper, train i asymptotically tracks the speed of train i-1 by means of the proposed cooperation control schemes, allowing a safe interval to be maintained between two adjacent trains. However, when i=1, the leading train follows a given displacement and velocity curve.
Remark 7. 
The cooperation control problem of multiple high-speed trains subject to parameter uncertainty is investigated in Theorem 1. The unknown and uncertain parameters are divided into the unknown positive constant and the uncertainty. The latter is viewed as the unknown bounded term. Combined with the base running resistances and the extra additional resistances, the latter can be compensated for by the adaptive control. Based on the adaptive control, the cooperation control scheme is proposed.
Theorem 1 is presented for multiple high-speed trains with unknown parameters and leakage terms. In addition, the following conclusions can be obtained.
Corollary 1. 
Considering the dynamical model (2) and the sliding mode surfaces (5), if the adaptive laws of unknown parameters a i , b i , c i , d 0 i , and m i are designed as
a ^ ˙ i = k a i β i ξ i ( t ) e ˙ i p i q i q i ( t ) b ^ ˙ i = k b i β i ξ i ( t ) e ˙ i p i q i q i ( t ) v i ( t ) c ^ ˙ i = k c i β i ξ i ( t ) e ˙ i p i q i q i ( t ) v i 2 ( t ) d ^ ˙ 0 i = k d 0 i β i | ξ i ( t ) e ˙ i p i q i q i ( t ) | m ^ ˙ i = k m i ξ i ( t ) e ˙ i ( t ) β i e ˙ i p i q i q i ( t ) v ˙ i 1 ( t )
where k a i > 0 , k b i > 0 , k c i > 0 , k d 0 i > 0 , and k m i > 0 denote the adaptive parameters, then the proposed controller in Equation (7) is effective and feasible. Moreover, multiple high-speed trains are able to reach the desired cooperation and tracking performance.
Proof. 
Based on the proof of Theorem 1, substituting the proposed controller (7) and the unknown parameter adaptive laws (18) into Equation (12) yields
V ˙ i ( t ) = ξ i ( t ) { m i e ˙ i ( t ) + β i e ˙ i p i q i q i ( t ) [ a ^ i + b ^ i v i ( t ) + c ^ i v i 2 ( t ) d ^ 0 i sign ( ξ i ( t ) ) sign ( e ˙ i p i q i q i ( t ) ) k ξ i ξ i ( t ) e ˙ i q i p i q i ( t ) m ^ i ( e ˙ i ( t ) β i e ˙ i p i q i q i ( t ) v ˙ i 1 ( t ) ) 1 β i e ˙ i q i p i q i ( t ) ( a i + b i v i ( t ) + c i v i 2 ( t ) ) d i ( t ) m i v ˙ i 1 ( t ) ] } + a ˜ i β i ξ i ( t ) e ˙ i p i q i q i ( t ) + b ˜ i β i ξ i ( t ) e ˙ i p i q i q i ( t ) v i ( t ) + c ˜ i β i ξ i ( t ) e ˙ i p i q i q i ( t ) v i 2 ( t ) d ˜ 0 i β i | ξ i ( t ) e ˙ i p i q i q i ( t ) | m ˜ i ξ i ( t ) e ˙ i ( t ) β i e ˙ i p i q i q i ( t ) v ˙ i 1 ( t )
Moreover, Equation (19) can be rearranged as
V ˙ i ( t ) = ξ i ( t ) β i e ˙ i p i q i q i ( t ) [ k ξ i ξ i ( t ) e ˙ i q i p i q i ( t ) d ^ 0 i sign ( ξ i ( t ) ) sign ( e ˙ i p i q i q i ( t ) ) d i ( t ) ] d ˜ 0 i { β i | ξ i ( t ) e ˙ i p i q i q i ( t ) | } k ξ i β i ξ i 2 ( t )
Considering k ξ i > 0 , β i > 0 and Equations (9) and (10), we have V ˙ ( t ) = i = 1 n V ˙ i ( t ) 0 . In combination with Lyapunov theory, the presented cooperation control scheme can ensure the desired cooperation and tracking performance. □
Corollary 2. 
Considering the dynamical model (2) with the known parameters a i , b i , c i , d 0 i , and m i , based on the sliding mode surfaces (5), the cooperation controller for multiple high-speed trains can be presented as follows:
u i ( t ) = a i + b i v i ( t ) + c i v i 2 ( t ) + u d i ( t ) k ξ i ξ i ( t ) e ˙ i q i p i q i ( t ) m i [ e ˙ i ( t ) β i e ˙ i p i q i q i ( t ) v ˙ i 1 ( t ) ] 1 β i e ˙ i q i p i q i ( t )
where a i , b i , c i and m i are the known parameters and u d i ( t ) = d 0 i sign ( ξ i ( t ) ) sign ( e ˙ i p i q i q i ( t ) ) . Then, multiple high- speed trains are able to reach the desired cooperation and tracking performance.
Proof. 
To prove the effectiveness and feasibility of the proposed control strategy (20), the following Lyapunov function can be designed:
V ( t ) = i = 1 n V i ( t ) = i = 1 n m i 2 ξ i ( t )
which implies that V ˙ ( t ) = i = 1 n m i ξ i ( t ) ξ ˙ i ( t ) . Combining this with Equations (4), (6) and (20) V ˙ ( t ) can be rearranged as
V ˙ ( t ) i = 1 n { ξ i ( t ) β i e ˙ i p i q i 1 ( t ) d 0 i sign ( ξ i ( t ) ) sign ( e ˙ i p i q i q i ( t ) ) + β i | ξ i ( t ) | | e ˙ i p i q i 1 ( t ) | | d i ( t ) | k ξ i β i ξ i 2 ( t ) } i = 1 n { k ξ i β i ξ i 2 ( t ) }
Then, based on the the proof of Corollary 1, the proposed cooperation control scheme in Corollary 2 is proven to be effective and feasible. Thus, multiple high-speed trains with the proposed control scheme (20) can obtain the desired tracking and cooperation performance. □
Remark 8. 
The difference between Theorem 1 and Corollary 1 lies in the adaptive laws (8) and (18). Meanwhile, the difference between Theorem 1 and Corollary 2 is the dynamical model. To be more specific, the dynamical model with unknown parameters is considered in Theorem 1, and the dynamical model with known parameters is considered in Corollary 2. However, the proofs of Corollary 1 and Corollary 2 can be derived from the proof of Theorem 1. Consequently, we reduced the proofs of Corollary 1 and Corollary 2.
Remark 9. 
As shown in [25,26,27], the stability of the tracking error and its corresponding derivative can be proven. On the basis of the terminal sliding mode surfaces (5), it is obvious that we can obtain the variables of the terminal sliding mode surfaces, which are the tracking error and it corresponding derivative. Combining this with the Assumption 1, we can find the stability of the tracking error and its corresponding derivative.

4. Simulation Results

In this section, a simulation experiment for multiple high-speed trains with n = 3 is carried out. The train parameters are designed as follows: m i = 5 × 10 5 kg , a i = m i × 0.01176 N / kg , b i = m i × 0.00077616 N · s / ( m · kg ) , c i = m i × 0.000016 N · s 2 / ( m 2 · kg ) , g i = 9.8 N / kg .
The external additional resistances d 2 i are defined as
d 2 i = 10.5 α i m i g 1 1000 ι 1 i + 0.00013 ι 2 i m i g 1 1000 + m i g sin ς i
where ι 1 i and ι 2 i are the bend length and the rail length, respectively; the center corner of the bend is α i = 2 π 3 ; the ramp angle is ς i = rand × π 180 ; and the parameter uncertainty is chosen as Δ m i = 1200 × rand , Δ a i = 250 × rand , Δ b i = 32 × rand , Δ a i = 0.4 × rand , where rand represents a random number between 0 and 1.
We design the safe interval between the adjacent trains as L i = 1000 m . The sliding mode surface coefficients, cooperation controller coefficients, adaptive law coefficients, and leakage coefficients are chosen by means of the empirical values: β 1 = 32 , β 2 = 37 , β 3 = 40 , p 1 = p 2 = p 3 = 23 , q 1 = q 2 = q 3 = 25 , k ξ 1 = 1.2 , k ξ 2 = 2 , k ξ 3 = 1.8 , k a 1 = 10 , k a 2 = 12 , k a 3 = 16 , k b 1 = 1 , k b 2 = 1 , k b 3 = 1 , k c 1 = 4 , k c 2 = 4 , k c 3 = 3 , k d 01 = 2 , k d 02 = 2.4 , k d 03 = 3 , k m 1 = 10 , k m 2 = 11 , k m 3 = 8 , σ a 1 = σ a 2 = σ a 3 = 0.001 , σ b 1 = σ b 2 = σ b 3 = 0.002 , σ c 1 = σ c 2 = σ c 3 = 0.001 , σ d 01 = σ d 02 = σ d 03 = 0.001 , σ m 1 = σ m 2 = σ m 3 = 0.003 .
Based on the above conditions, the simulation results are shown in Figure 2, Figure 3, Figure 4, Figure 5, Figure 6 and Figure 7, where Figure 2, Figure 4 and Figure 6 show the actual position curves s i ( t ) , the desired position curves s i 1 ( t ) , and the position tracking error curves e i ( t ) for trains i = 1 , 2 , 3 and Figure 3, Figure 5, and Figure 7 show the actual position curves v i ( t ) , the desired position curves v i 1 ( t ) , and the position tracking error curves e ˙ i ( t ) for trains i = 1 , 2 , 3 . Because of the chattering phenomenon resulting from the sign function, Equation (7) is replaced with the following conditions in the simulation process:
u i ( t ) = a ^ i + b ^ i v i ( t ) + c ^ i v i 2 ( t ) k ξ i ξ i ( t ) e ˙ i q i p i q i ( t ) d ^ 0 i sat ( ξ i ( t ) ) sat ( e ˙ i p i q i q i ( t ) ) m ^ i [ e ˙ i ( t ) β i e ˙ i p i q i q i ( t ) v ˙ i 1 ( t ) ] 1 β i e ˙ i q i p i q i ( t )
where sat ( ) = sign ( ) if | ( ) | > 0.25 , sat ( ) = ( ) 0.25 if | | 0.25 , and ∗ denotes the function ξ i ( t ) or the function e ˙ i p i q i q i ( t ) .
Remark 10. 
To reduce the effects of the chattering phenomenon resulting from the sign function, we replace the saturation functions with it by means of [24].
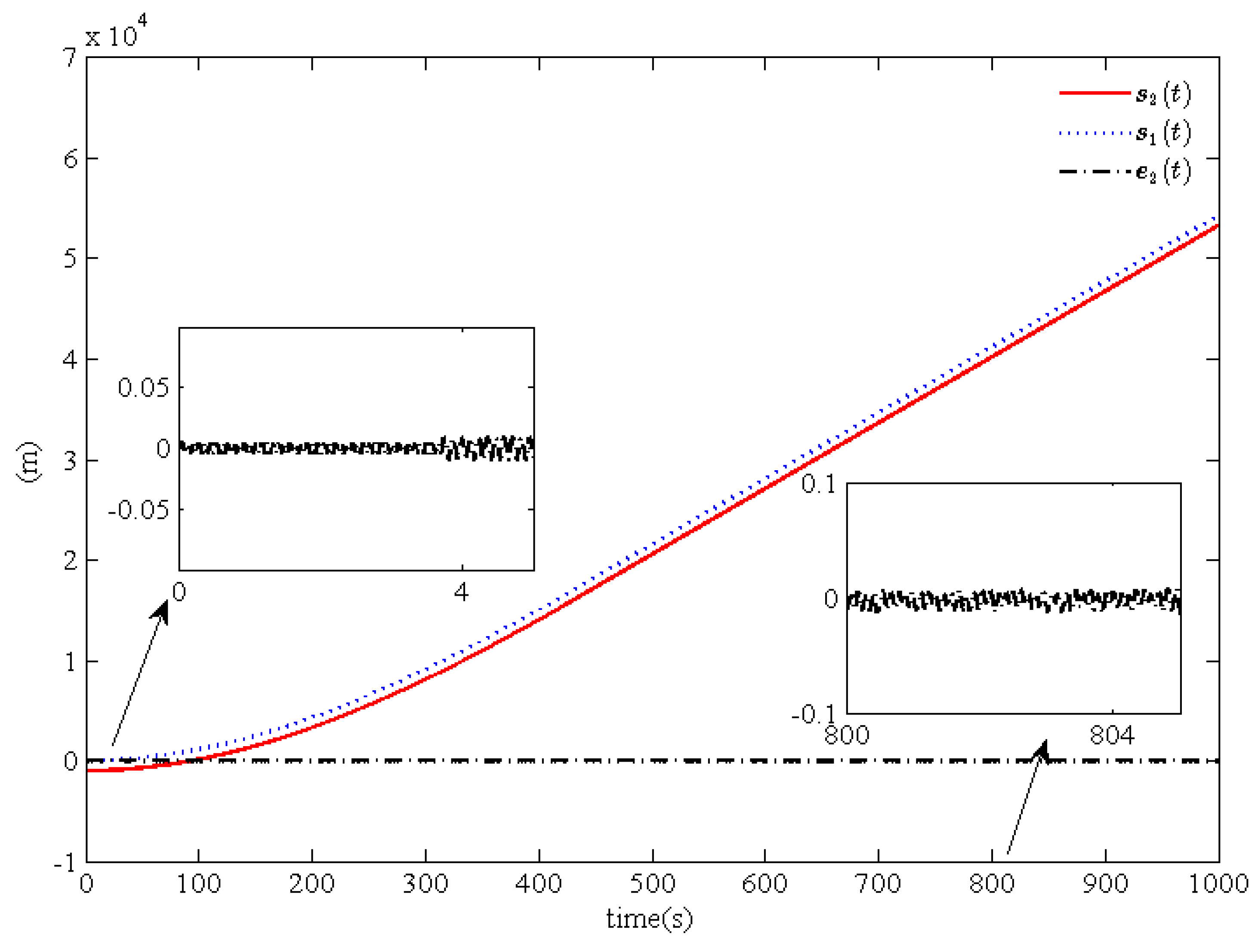
According to Figure 2, we can find that the position tracking error e 1 ( t ) of train i = 1 converges asymptotically to a small neighborhood near zero, which implies that a good desired position can be ensured for the leading train i = 1 . Similarly, good tracking performance for train i = 2 , 3 can be obtained. By comparing Figure 2, Figure 4, and Figure 6, we can draw a conclusion that good position tracking performance for trains i = 1 , 2 , 3 can be obtained and that the convergence performance for train i = 1 is better than for trains i = 2 , 3 . According to Figure 4 and Figure 6, we can guarantee a safe disturbance L i between the adjacent trains. At the same time, from Figure 3, Figure 5 and Figure 7 we can draw the conclusion that the tracking performance of train i = 1 is better than train i = 2 or train i = 3 , which results from the convergence domain. In addition, the velocity tracking errors e 2 ( t ) and e 3 ( t ) converge asymptotically in a very small neighborhood near zero.
Based on the above analysis, by comparing the position tracking errors e 1 ( t ) , e 2 ( t ) , e 3 ( t ) and the velocity tracking errors e ˙ 1 ( t ) , e ˙ 2 ( t ) , e ˙ 3 ( t ) we can draw the conclusion that the tracking and cooperation performance for trains i = 1 , 2 are better than for train i = 3 . Meanwhile, it is obvious that the position tracking errors e 1 ( t ) , e 2 ( t ) , e 3 ( t ) and velocity tracking errors e ˙ 1 ( t ) , e ˙ 2 ( t ) , e ˙ 3 ( t ) asymptotically converge to a very small neighborhood near zero, which is matched by the presence of the leakage terms. Moreover, through a comparison of Figure 2, Figure 3, Figure 4, Figure 5, Figure 6 and Figure 7, it can be seen that the proposed cooperation control scheme is feasible and effective and that the desired tracking and cooperation performance can be obtained for multiple high-speed trains.

5. Conclusions

For multiple high-speed trains subject to the base running resistance, extra additional resistances can be modeled as a multidimensional nonlinear system with parametric uncertainty. Based on virtual coupling, the terminal sliding mode surfaces are designed in order to convert the convergence problem of position tracking errors and velocity tracking errors to the arrival problem of the sliding mode surfaces. Adaptive laws with leakage terms are designed to estimate the unknown parameters and the bounded disturbances. A cooperation control scheme is presented, and its effectiveness and feasibility are proven using Lyapunov stability theory. Simulation experiments verify that good tracking and cooperation performance can be obtained with the proposed cooperation control strategy. Moreover, The line utilization rate can be greatly improved by applying the proposed cooperation control scheme.

Author Contributions

Conceptualization, X.L. and Q.W.; methodology, X.L.; software, C.M.; writing—original draft preparation, X.L.; writing—review and editing, Q.W.; funding acquisition, Q.W. All authors have read and agreed to the published version of the manuscript.

Funding

This work was supported by the National Natural Science Foundation of China under Grants 62203246 and 62003127, the Natural Science Foundation of Hebei Province under Grant A2020202034, and the Youth Foundation of the Hebei Education Department under Grant No. QN2020195.

Institutional Review Board Statement

Not applicable.

Informed Consent Statement

Not applicable.

Data Availability Statement

The data are available from the corresponding author of this paper. Data sharing is not applicable.

Conflicts of Interest

The authors declare no conflict of interest.

References

  1. Ghazzai, H.; Bouchoucha, T.; Alsharoa, A.; Yaacoub, E.; Alouini, M.S.; Al-Naffouri, T.Y. Transmit power minimization and base station planning for high-speed trains with multiple moving relays in OFDMA systems. IEEE Trans. Veh. Technol. 2017, 66, 175–187. [Google Scholar] [CrossRef]
  2. Song, X.; Fu, Y.; Chen, Z.; Liu, H. Environmental impact evaluation for high-speed railway. J. Cent. South Univ. 2014, 21, 2366–2371. [Google Scholar] [CrossRef]
  3. Wang, X.; Yang, J.; Yang, F.; Wang, Y.; Liu, F. Multilevel residual prophet network time series model for prediction of irregularities on high-speed railway track. J. Transp. Eng. Part A-Syst. 2023, 149, 04023012. [Google Scholar] [CrossRef]
  4. Zhang, J.; Hu, F.; Wang, S.; Dai, Y.; Wang, Y. Structural vulnerability and intervention of high speed railway networks. Phys. A-Stat. Mech. Appl. 2016, 462, 743–751. [Google Scholar] [CrossRef]
  5. Wang, Q.; Jin, S.; Hou, Z. Event-triggered cooperative model-free adaptive iterative learning control for multiple subway trains with actuator faults. IEEE Trans. Cybern. 2023, 1–12. [Google Scholar] [CrossRef] [PubMed]
  6. Xu, W.; Xiao, B. Train control simulation based on CMAC-PID algorithm. In Proceedings of the 25th Chinese Control and Decision Conference (CCDC), Guiyang, China, 25–27 May 2013; pp. 4476–4480. [Google Scholar]
  7. Zhang, W.; Cao, B.; Liu, R.; Yue, Q.; Xu, H. Operation control method for medium-speed maglev trains based on fractional order sliding mode adaptive neural network. China Railw. Sci. 2022, 43, 152–160. [Google Scholar]
  8. Lin, X.; Dong, H.; Yao, X.; Bai, W. Neural adaptive fault-tolerant control for high-speed trains with input saturation and unknown disturbance. Neurocomputing 2017, 260, 32–42. [Google Scholar] [CrossRef]
  9. Dong, H.; Lin, X.; Yao, X.; Bai, W.; Bin, N. Composite disturbance-observer-based control and H control for high speed trains with actuator faults. Asian J. Control 2018, 20, 735–745. [Google Scholar] [CrossRef]
  10. Dong, H.; Lin, X.; Gao, S.; Cai, B.; Bin, N. Neural networks-based sliding mode fault-tolerant control for high-speed trains with bounded parameters and actuator faults. IEEE Trans. Veh. Technol. 2020, 69, 1353–1362. [Google Scholar] [CrossRef]
  11. Su, S.; Tang, T.; Roberts, C. A cooperative train control model for energy saving. IEEE Trans. Intell. Transp. Syst. 2015, 16, 622–631. [Google Scholar] [CrossRef]
  12. Hill, R.J.; Bond, L.J. Modelling moving-block railway signalling systems using discrete-event simulation. In Proceedings of the 1995 IEEE/ASME Joint Railroad Conference, Baltimore, MD, USA, 4–6 April 1995; pp. 105–111. [Google Scholar]
  13. Lin, P.; Tian, Y.; Gui, G.; Yang, C. Cooperative control for multiple train systems: Self-adjusting zones, collision avoidance and constraints. Automatica 2022, 144, 110470. [Google Scholar] [CrossRef]
  14. Gao, S.; Dong, H.; Ning, B.; Zhang, Q. Cooperative prescribed performance tracking control for multiple high-speed trains in moving block signaling system. IEEE Trans. Intell. Transp. Syst. 2019, 20, 2740–2749. [Google Scholar] [CrossRef]
  15. Guo, X.; Ahn, C.K. Adaptive fault-tolerant pseudo-PID sliding-mode control for high-speed train with integral quadratic constraints and actuator saturation. IEEE Trans. Intell. Transp. Syst. 2021, 22, 7421–7431. [Google Scholar] [CrossRef]
  16. Dong, H.; Gao, S.; Bin, N. Cooperative control synthesis and stability analysis of multiple trains under moving signaling systems. IEEE Trans. Intell. Transp. Syst. 2016, 17, 2730–2738. [Google Scholar] [CrossRef]
  17. Cao, Y.; Yang, Y.; Ma, L.; Wen, J. Research on virtual coupled train control method based on GPC&VAPF. Chin. J. Electron. 2022, 31, 897–905. [Google Scholar]
  18. Liu, H.; Yang, L.; Yang, H. Cooperative optimal control of the following operation of high-speed trains. IEEE Trans. Intell. Transp. Syst. 2022, 23, 17744–17755. [Google Scholar] [CrossRef]
  19. Tian, Y.; Lin, P. Cooperative control for multiple high-speed trains with constraints and acceleration zone under moving block system. Int. J. Robust Nonlinear Control 2022, 32, 3662–3673. [Google Scholar] [CrossRef]
  20. Cao, X.; Ge, Q.; Zhu, J.; Kong, G.; Zhang, B.; Wang, X. Improved sliding mode traction control combined sliding mode disturbance observer strategy for high-speed maglev train. IEEE Trans. Power Electron. 2023, 38, 827–838. [Google Scholar] [CrossRef]
  21. Lu, H.; Xu, F.; Wang, Q.; Chen, Z.; Qiang, Z. For safer approach landing of the aircraft: Measuring the electromagnetic interference of high-speed train to ILS and giving protection recommendations. IEEE Instrum. Meas. Mag. 2022, 25, 26–31. [Google Scholar] [CrossRef]
  22. Dong, H.; Ning, B.; Cai, B.; Hou, Z. Automatic train control system development and simulation for high-speed railways. IEEE Circuits Syst. Mag. 2010, 10, 6–18. [Google Scholar] [CrossRef]
  23. Lin, X.; Dong, H.; Yao, X. Tuning function-based adaptive backstepping fault-tolerant control for nonlinear systems with actuator faults and multiple disturbances. Nonlinear Dyn. 2018, 91, 2227–2239. [Google Scholar] [CrossRef]
  24. Yao, X.; Park, J.H.; Dong, H.; Guo, L.; Lin, X. Robust adaptive nonsingular terminal sliding mode control for automatic train operation. IEEE Trans. Syst. Man-Cybern.-Syst. 2019, 49, 2406–2415. [Google Scholar] [CrossRef]
  25. Li, S.; Yang, L.; Gao, Z. Adaptive coordinated control of multiple high-speed trains with input saturation. Nonlinear Dyn. 2016, 83, 2157–2169. [Google Scholar] [CrossRef]
  26. Mao, Z.; Tao, G.; Jiang, B.; Yan, X. Adaptive compensation of traction system actuator failures for high-speed trains. IEEE Trans. Intell. Transp. Syst. 2017, 18, 2950–2963. [Google Scholar] [CrossRef]
  27. Song, Q.; Song, Y.; Cai, W. Adaptive backstepping control of train systems with traction/braking dynamics and uncertain resistive forces. Veh. Syst. Dyn. 2011, 49, 1441–1454. [Google Scholar] [CrossRef]
Figure 1. Diagram comparing the two modes of operation for multiple high-speed trains. (a) Cooperation operation architecture diagram with virtual coupling for multiple high-speed trains. (b) Cooperation operation architecture diagram without virtual coupling for multiple high-speed trains.
Figure 1. Diagram comparing the two modes of operation for multiple high-speed trains. (a) Cooperation operation architecture diagram with virtual coupling for multiple high-speed trains. (b) Cooperation operation architecture diagram without virtual coupling for multiple high-speed trains.
Mathematics 11 01786 g001
Figure 2. The actual position s 1 ( t ) , desired position s 0 ( t ) , and tracking error e 1 ( t ) for train i = 1 .
Figure 2. The actual position s 1 ( t ) , desired position s 0 ( t ) , and tracking error e 1 ( t ) for train i = 1 .
Mathematics 11 01786 g002
Figure 3. The actual velocity v 1 ( t ) , desired velocity s 0 ( t ) , and tracking error e ˙ 1 ( t ) for train i = 1 .
Figure 3. The actual velocity v 1 ( t ) , desired velocity s 0 ( t ) , and tracking error e ˙ 1 ( t ) for train i = 1 .
Mathematics 11 01786 g003
Figure 4. The actual position s 2 ( t ) , desired position s 1 ( t ) , and tracking error e 2 ( t ) for train i = 2 .
Figure 4. The actual position s 2 ( t ) , desired position s 1 ( t ) , and tracking error e 2 ( t ) for train i = 2 .
Mathematics 11 01786 g004
Figure 5. The actual velocity v 2 ( t ) , desired velocity v 1 ( t ) , and tracking error e ˙ 2 ( t ) for train i = 2 .
Figure 5. The actual velocity v 2 ( t ) , desired velocity v 1 ( t ) , and tracking error e ˙ 2 ( t ) for train i = 2 .
Mathematics 11 01786 g005
Figure 6. The actual position s 3 ( t ) , desired position s 2 ( t ) , and tracking error e 3 ( t ) for train i = 3 .
Figure 6. The actual position s 3 ( t ) , desired position s 2 ( t ) , and tracking error e 3 ( t ) for train i = 3 .
Mathematics 11 01786 g006
Figure 7. The actual velocity v 3 ( t ) , desired velocity v 2 ( t ) , and tracking error e ˙ 3 ( t ) for train i = 3 .
Figure 7. The actual velocity v 3 ( t ) , desired velocity v 2 ( t ) , and tracking error e ˙ 3 ( t ) for train i = 3 .
Mathematics 11 01786 g007
Disclaimer/Publisher’s Note: The statements, opinions and data contained in all publications are solely those of the individual author(s) and contributor(s) and not of MDPI and/or the editor(s). MDPI and/or the editor(s) disclaim responsibility for any injury to people or property resulting from any ideas, methods, instructions or products referred to in the content.

Share and Cite

MDPI and ACS Style

Lin, X.; Ma, C.; Wang, Q. Dual Jitter Suppression Mechanism-Based Cooperation Control for Multiple High-Speed Trains with Parametric Uncertainty. Mathematics 2023, 11, 1786. https://doi.org/10.3390/math11081786

AMA Style

Lin X, Ma C, Wang Q. Dual Jitter Suppression Mechanism-Based Cooperation Control for Multiple High-Speed Trains with Parametric Uncertainty. Mathematics. 2023; 11(8):1786. https://doi.org/10.3390/math11081786

Chicago/Turabian Style

Lin, Xue, Caiqing Ma, and Qianling Wang. 2023. "Dual Jitter Suppression Mechanism-Based Cooperation Control for Multiple High-Speed Trains with Parametric Uncertainty" Mathematics 11, no. 8: 1786. https://doi.org/10.3390/math11081786

APA Style

Lin, X., Ma, C., & Wang, Q. (2023). Dual Jitter Suppression Mechanism-Based Cooperation Control for Multiple High-Speed Trains with Parametric Uncertainty. Mathematics, 11(8), 1786. https://doi.org/10.3390/math11081786

Note that from the first issue of 2016, this journal uses article numbers instead of page numbers. See further details here.

Article Metrics

Back to TopTop