Abstract
In this paper, we propose a useful method without adding any extra parameters to obtain new probability distributions. The proposed family is a combination of the two existing families of distributions and is called a weighted sine-G family. A two-parameter special member of the weighted sine-G family, using the Weibull distribution as a baseline model, is considered and investigated in detail. Some distributional properties of the weighted sine-G family are derived. Different estimation methods are considered to estimate the parameters of the special model of the weighted sine-G family. Furthermore, simulation studies based on these different methods are also provided. Finally, the applicability and usefulness of the weighted sine-G family are demonstrated by analyzing two data sets taken from the engineering sector.
Keywords:
Weibull model; trigonometric function; family of distributions; simulation; statistical modeling; engineering data MSC:
62N01; 62N02
1. Introduction
A challenging work for researchers is to look for flexible probability models to cater to the analysis of various types of data that possess extreme observations, such as (i) Reliability data [1], (ii) healthcare data [2], (iii) financial data [3], (iv) hydrological data [4], (v) time-to-event data [5,6,7], and (vi) lifetime data analysis [8,9], etc. However, the traditional distribution does not provide the best fit for the data sets, as it has extreme observations. Based on the available literature, we know that the heavy-tailed (HT) distributions have proven to be substantial for the data sets that possess extreme observations. Unfortunately, there are only a few probability models that possess HT characteristics. Therefore, researchers are always in search of new probability distributions that possess HT characteristics.
To improve the flexibility of the existing models, new methods have been suggested; see the truncated burr family [10], Fréchet Topp Leone-G family [11], shifted Gompertz-G family [12], Teissier-G family [13], and Gudermannian-generated family [14], among others. Thanks to these methods, they have significantly improved the fitting power of the existing distributions. However, there are certain deficiencies/problems associated with these methods, for instance, these methods involve from one to five or more additional parameters. This fact leads to estimation difficulties and re-parametrization problems. To avoid the re-parametrization problem, researchers are focusing on generating new methods without adding extra parameters. In this regard, Kumar et al. [15] suggested a useful method using a trigonometric function, namely, a sine-G family. Let X have a sine-G family with a cumulative distribution function (CDF) , if it is given by
where is a parameter vector and is a baseline CDF with respect to Equation (1). Since is a baseline CDF, it must obey the following properties:
- is a non-decreasing function.
- The maximum of is when
- The minimum of is when
For more contributed work using the sine function, we refer interested readers to [16,17,18,19,20,21,22,23]. Ahmad et al. [24] produced further efforts by proposing another method without any additional parameters. They used the T-X method to generate a weighted T-X (WT-X) family. For detailed information about the T-X method, we refer to [25]. The CDF of the WT-X method is
where is a baseline CDF with respect to Equation (2).
To bring further flexibility to the sine-G and WT-X methods, we propose another useful approach that possesses the HT characteristics. The proposed approach is obtained by following the spirit of the WT-X method along with the sine-G family. The proposed method may be called a weighted sine-G (WS-G) family of distributions. The key features of the WS-G method are (i) it has no extra parameters and (ii) it provides a useful alternative to the sine-G and WT-X methods, with possible different aims in terms of modeling.
Suppose X has the WS-G distributions with parameter vector , then, the CDF of X is
with PDF
where
Furthermore, the survival function (SF) , hazard function (HF) , and cumulative HF (CHF) are, respectively, given by
and
The WS-G method has certain advantages while implementing it in practice. The advantages of the WS-G method are given by
- Since the WS-G method has no additional parameters, it may reduce the estimation problems.
- Due to no additional parameters, the WS-G method avoids the re-parametrization problems.
- The WS-G method possesses heavy-tailed (HT) characteristics; see Section 3.
Besides the above advantages, the WS-G method also has certain limitations. The limitations of the WS-G method are
- Due to the complicated form of the PDF of the WS-G method, more computational efforts are required to derive its distributional properties.
- Since the quantile function of the WS-G method is not in an explicit form, the computer software must be implemented to generate random numbers from the WS-G distributions.
Based on the WS-G method, we study an updated form of the Weibull distribution, namely, a weighted sine-Weibull (WS-Weibull) distribution. Some basic functions of the WS-Weibull model are obtained in Section 2. Visual behaviors of the PDF of the WS-Weibull distribution are also presented. Some distributional properties of the WS-G method are discussed in Section 3. Section 4 is devoted to estimate the parameters of the WS-Weibull distribution using different estimation methods. The applicability of the WS-Weibull distribution is shown in Section 5. Some concluding remarks are presented in Section 6.
2. Special Model
This section offers some basic functions of a special member (i.e., WS-Weibull distribution) of the WS-G method with support Furthermore, the behaviors of the WS-Weibull distribution are also presented.
2.1. The WS-Weibull Distribution
Suppose X has the Weibull model with support ; then, its CDF is given by
with PDF
where . Using in Equation (3), we define the CDF of the WS-Weibull model. Suppose X has the WS-Weibull model, then, its CDF is
with PDF
For different values of and , Figure 1 offers different plots: (WS-Weibull), (Weibull), and (sin-Weibull) distributions. Figure 1 shows that the shapes of and have different forms such as right-skewed, symmetrical, left-skewed, and decreasing.
Figure 1.
Plots of of the WS-Weibull distribution for different values of and .
Table 1 shows the summation formula exact values for the PDFs of the WS-Weibull, Weibull, and sin-Weibull distributions for different values of x, , and at truncated N terms. From Table 1 and Figure 1, it can be concluded that the PDF value of the WS-Weibull distribution is less than the PDF values of the Weibull and sin-Weibull distributions for the same x, and . These results are calculated by using software (version 4.2.2).
Table 1.
The summation formula and the exact value for the PDFs of WS-Weibull, Weibull, and sin-Weibull distributions for different values of x, , and at truncated N terms.
Furthermore, the SF, CHF, and HF of the WS-Weibull distribution are
and
respectively.
Figure 2 displays HF plots for the WS-Weibull distribution for various and values; it can be observed that the HF shapes of the WS-Weibull distribution can be increasing, decreasing, and unimodal.
Figure 2.
Plots of of the WS-Weibull distribution for different values of and .
2.2. The Behaviors of the PDF and HF of the WS-Weibull Model
Here, we discuss the behaviors of the PDF and HF of the WS-Weibull distribution. The behaviors of the PDF of the WS-Weibull distribution when and are, respectively, given by
and
Similarly, the behavior of the HF defined in Equation (13) when and are, respectively, given by
and
Now, we compare the behaviors of the HF of the Weibull, sin-Weibull (as a special case from the family in Equation (1)), and WS-Weibull distributions. The behavior of the HF of the Weibull distribution when and are, respectively, given by
and
Now, the behavior of the HF of the sin-Weibull distribution when and are, respectively, given by
and
From the above results, we can conclude that the HF behaviors of these distributions are roughly similar.
Table 2 displays the summary of the HF limits for the WS-Weibull, Weibull, and sin-Weibull distributions. From the above mathematical results and numerical illustration in Table 2, we can conclude that the HF behaviors of these distributions are roughly similar.
Table 2.
The summary of the HF limits for the WS-Weibull, Weibull, and sin-Weibull distributions.
3. Distributional Properties
Here, we give some distributional properties associated with the proposed method.
3.1. Expansion for the CDF
Using the power series representation for and , we can write the CDF as
3.2. Expansion for the PDF
Using the power series representation for , , and we can write the PDF as
3.3. Quantile Function
We solve for in the following, where ,
After some algebraic manipulations, we arrive at
where is the negative branch of the Lambert function.
3.4. Moment-Generating Function
The moment-generating function is defined as
For the given family of distributions, we have
3.5. Incomplete Moments
The incomplete moments are defined by
For the given distribution, we have
3.6. The Non-Central Moment
The non-central moment is defined as
For the proposed family, we have
Now, we compute the above integral numerically. Table 3 displays the summation formula and the numerical integration (NI) values for the non-central moments of the WS-Weibull, Weibull, and sin-Weibull distributions for different values of r, , and at truncated N terms. From the given results in Table 3, it can be concluded that the non-central moments of the WS-Weibull distribution is less than the non-central moments of the Weibull and sin-Weibull distributions for the same r, , and .
Table 3.
The summation formula and the numerical integration values for the non-central moments of the WS-Weibull, Weibull, and sin-Weibull distributions for different values of r, , and at truncated N terms.
3.7. Rényi Entropy
The Rényi entropy of a random variable X is a measure of the variation of uncertainty. It is defined by
Using the WS-Weibull density, we obtain
Then, the Rényi entropy of the WS-Weibull density takes the form
Table 4 displays the summation formula and the NI values for the Rényi entropy of the WS-Weibull, Weibull, and sin-Weibull distributions for different values of , , and at truncated N terms. From Table 4, we can observe that the values of the Rényi entropy for the WS-Weibull distribution is less than the Rényi values of the Weibull and sin-Weibull distributions for the same , , and .
Table 4.
The summation formula and the numerical integration values for the Rényi entropy of WS-Weibull, Weibull, and sin-Weibull distributions for different values of , , and at truncated N terms.
3.8. The HT Characteristics of the WS-G Method
Here, we provide a complete mathematical description to derive the HT characteristics of the WS-G method.
3.8.1. The Regularly Varying Characteristics of the WS-G Method
The regularly varying characteristics (RVC) play an important role in defining HT distributions. This subsection offers the RVC of the WS-G method. Using Karamata’s theorem [26], in terms of SF , we have
Theorem 1.
Suppose represents the SF of a regularly varying function (RVF), then also represents the SF of a RVF.
Proof.
Assume is a finite and nonzero function . Then, by incorporating the expression in Equation (5), we have
Applying on both sides of Equation (14), we obtain
As we mentioned earlier, . Thus, from Equation (15), we obtain
The expression in Equation (16) is finite and nonzero . Therefore, is an RVF. □
3.8.2. The Regular Variational Result
Suppose X possesses the power law behavior, then, we have
By implementing the results of Karamata’s characterization theorem, we can write as
where is a slowly varying function (SVF). Note that
Since , from Equation (17), we obtain
where .
Now, if we demonstrated that is a SVF, the RVC of the WS-G method derived above is true. In order to demonstrate that is a SVF, we must show that
Now, we use
Appling on both sides of Equation (19), we obtain
4. Eight Estimation Methods for the WS-Weibull Parameters
Eight estimation methods have been opted for in this section to estimate the WS-Weibull parameters, namely, the weighted least-squares (WLSE), ordinary least-squares (OLSE), maximum likelihood (MLE), the maximum product of spacing (MPSE), Cramér-von Mises (CVME), Anderson-Darling (ADE), right-tail Anderson-Darling (RADE), and percentile estimator (PCE).
4.1. Maximum Likelihood
Suppose that are given values of a random sample of size n from the WS-Weibull distribution with parameters and . The log-likelihood function for the WS-Weibull model with PDF in (10) is given by
where . The function provided in Equation (20) can be numerically solved by using the Newton–Raphson method (iteration method). The partial derivatives of Equation (9) with respect to the parameters and are
and
By setting and , one can solve them numerically to obtain the MLEs of the parameters and .
4.2. Ordinary and Weighted Least-Squares
The OLSE of the WS-Weibull parameters can be obtained by minimizing the following function with respect to and ,
Further, the OLSE of the WS-Weibull parameters can also be obtained by solving the non-linear equation
where
and
The WLSE of the WS-Weibull parameters are obtained by minimizing the following
with respect to and . Moreover, the WLSE can also be obtained by solving the non-linear equation
where and are, respectively, defined in Equations (21) and (22).
4.3. Maximum Product of Spacing
The MPSE is considered an alternative to the maximum likelihood method. Let , for be the uniform spacing of a random sample from the WS-Weibull model, where , and . The MPSE of the WS-Weibull parameters can be obtained by maximizing the “geometric mean of the spacing”
with respect to and , or by maximizing the “logarithm of the geometric mean” of sample-spacings given by
Moreover, the MPSE can be obtained by solving the following nonlinear expression
where and are defined in Equation (21) and Equation (22), respectively.
4.4. Cramér-Von Mises Estimation Approach
The CVME of the WS-Weibull parameters is obtained by minimizing
with respect to and . Moreover, the CVME can be numerically obtained by solving the following non-linear equation
where and are, respectively, presented in Equations (21) and (22).
4.5. Anderson–Darling and Right-Tail Anderson-Darling
Suppose that is the ordered random sample from of the WS-Weibull model. The ADE of the WS-Weibull parameters can be obtained by minimizing
or by solving the non-linear equation
Moreover, the RADEs of the WS-Weibull parameters can be obtained by minimizing
with respect to and , which are equivalent by solving the non-linear equations
where and are presented in Equation (21) and Equation (22), respectively.
4.6. Percentile
From (8), the PCE of the parameters of WS-Weibull model can be obtained by minimizing the following function
with respect to and , where .
4.7. Simulation Study
In order to explore the performances of the estimators of the WS-Weibull distribution, we consider some detailed simulation studies. The performances of the estimators are judged by considering several statistical tools. These tools include
- The absolute value of biases given by
- The mean square error of the estimates given by
- The mean relative estimates
The values of the estimators are calculated for different samples of sizes, say taken from the WS-Weibull model. We use R codes throughout the simulations with the nlminb function within the stats package [27].
The simulation studies are carried out for the following parameter combinations: and . For each setting, the process is repeated times and the average values of , , and for and are obtained. To save space, four out of sixteen simulated outcomes are reported in Table 5, Table 6, Table 7 and Table 8. The numbers in each row have superscripts giving the ranks of the estimates of all methods, and the is the partial sum of the ranks. Furthermore, Figure 3, Figure 4, Figure 5 and Figure 6 display the heatmaps of the , , and for the and of the simulation results.
Table 5.
Simulation results for .
Table 6.
Simulation results for .
Table 7.
Simulation results for .
Table 8.
Simulation results for .
Figure 3.
The heatmaps of the simulated biases, MSE and MRE of the eight simulation methods for and .

Figure 4.
The heatmaps of the simulated biases, MSE and MRE of the eight simulation methods for and .
Figure 5.
The heatmaps of the simulated biases, MSE and MRE, of the eight simulation methods for and .
Figure 6.
The heatmaps of the simulated biases, MSE and MRE, of the eight simulation methods for and .
Table 9 gives the partial and overall ranks of the estimates, thus indicating that the MPSEs outperform all other estimates for the WS-Weibull model distribution, with an overall score of 117.5.
Table 9.
Partial and overall ranks of the classical estimation methods for several parametric values.
5. Data Modeling
In this section, we carry out the practical evaluation of the WS-Weibull model. This fact is shown by choosing two data sets from the engineering sector. Both the data sets represent the failure times of the electronic components.
Using the failure time data sets, we compare the results of the WS-Weibull model with three other different well-known variants of the Weibull model. These models are given by the (i) exponentiated Weibull (for short “E-Weibull”), distribution, (ii) new exponential cosine Weibull (for short “NEC-Weibull”) distribution, and (iii) logarithmic Weibull (for short “L-Weibull”) distribution. The CDFs of the above-competing probability modes are expressed, respectively, by
and
The comparison of the WS-Weibull, E-Weibull, NEC-Weibull, and L-Weibull distributions is made using four different selection criteria. The selection criteria are chosen with the aim of figuring out the most suitable model for the failure time data set. The selection criteria are given by
- Akaike information criterion:The Akaike information criterion (AIC) is a useful method for evaluating how close/well a model fits the given data. It provides estimates of the relative amount of information lost by a given probability model. Therefore, a model that loses less information is a mark of the best fitting. It is calculated as
- Consistent Akaike information criterion:The consistent Akaike information criterion (CAIC) is another useful tool for comparing the quality of the model fitting. It is obtained as
- Bayesian information criterion:The Bayesian information criterion (BIC) is another statistical criterion for choosing the best model among a set of competing models. Generally, a model with lower BIC is preferred. The value of the BIC is obtained as
- Hannan Quinn information criterion:Another model-fitting criterion is the Hannan-Quinn information criterion (HQIC). It also measures the goodness of fit of a given probability model. The HQIC is obtained as
The numerical values of the above selection criteria are computed with the help of computer software called - using the method.
5.1. Data 1
The first data set has fifty observations and represents the failure times of 50 (in weeks) components. These data were originally reported by [28]. Later on, numerous authors analyzed this data set; see [29,30,31].
Corresponding to the first failure times data, some basic description measures are skewness = 2.306048, kurtosis = 9.408282, range = 48.092, minimum = 0.013, maximum = 48.105, mean = 7.821, median = 5.320, variance = 84.75597, standard deviation = 9.2063, 1st quartile = 1.390, and 3rd quartile = 10.043; the size of the data, say n, is 50. A visual description of the first failure times data set is presented in Figure 7.
Figure 7.
Visual description of the first failure times data set.
After analyzing the first data set, the values of , and are presented in Table 10. A visual display of the profiles of the LLF of and of the WS-Weibull distribution is presented in Figure 8. The plots in Figure 8 reveal a unique solution of the MLEs of the WS-Weibull distribution.
Table 10.
Using the first failure times data, the values of and of the fitted distributions.
Figure 8.
The profiles of the LLF of and of WS-Weibull using the first failure times data.
Table 11 provides the values of the selection criteria of the WS-Weibull and other competing probability models. From the numerical description of fitted models in Table 11, it can be observed that the WS-Weibull is the best probability model for analyzing the failure data set. The second-best suitable model is the L-Weibull distribution. Whereas, the third-best model is the NEC-Weibull distribution.
Table 11.
For the first failure times data, the values of selection criteria of the competing distributions.
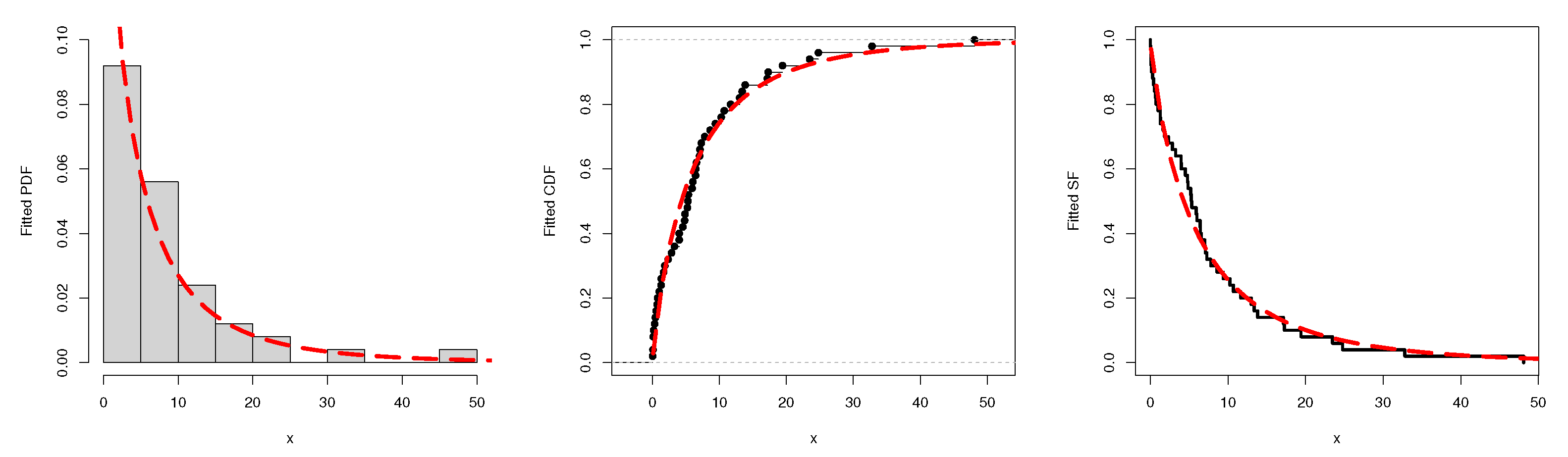
After the numerical comparison of the WS-Weibull distribution and other variants of the Weibull distribution presented in Table 11, we also provide a visual illustration of the WS-Weibull distribution. For the visual comparison using the first failure times data, we select the plots of the fitted CDF, SF, PDF, quantile-quantile (QQ), and probability-probability (PP); see Figure 9. The visual description in Figure 9 reveals that the WS-Weibull distribution closely follows the first failure times data.

Figure 9.
A visual illustration of the WS-Weibull distribution using the first failure times data.
5.2. Data 2
The second failure times data set also consists of fifty observations and represents the failure times of 50 (per 1000 h) components. These data were also originally reported by [28].
Linked to the second failure times data, the basic description measures are given by skewness = 1.416739, kurtosis = 4.084622, range = 15.044, minimum = 0.0360, maximum = 15.0800 mean = 3.3430, median = 1.4140, variance = 17.48477, standard deviation = 4.181479, 1st quartile = 0.2075, 3rd quartile = 4.4988, and A visual description of the second failure time data set is provided in Figure 10.
Figure 10.
Visual description of the second failure times data set.
Corresponding to the second failure times data set, the numerical values of the MLEs are presented in Table 12. Furthermore, a visual display of the profiles of the LLF of and of the WS-Weibull model is provided in Figure 11. The plots of the profiles of the LLF in Figure 11 confirm a unique solution of and .
Table 12.
Using the second failure times data, the values of and of the fitted distributions.
Figure 11.
The profiles of the LLF of and of WS-Weibull using the second failure times data.
Corresponding to the second failure times data, the values of the selection criteria of the WS-Weibull and other competing probability models are presented in Table 13. From Table 13, again, it can be observed that the WS-Weibull is the best probability model for analyzing the engineering data set.
Table 13.
For the second failure time data, the values of selection criteria of the competing distributions.
In addition to the numerical comparison of the WS-Weibull distribution and other variants of the Weibull distribution, we show the performances of the WS-Weibull distribution visually. For the visual illustration of the WS-Weibull distribution, again we plotted the empirical CDF, SF, PDF, QQ, and PP; see Figure 12. Based on the visual description of the WS-Weibull distribution in Figure 12, we can observe that the WS-Weibull distribution closely fits the second failure times data.
Figure 12.
A visual illustration of the WS-Weibull distribution using the second failure times data.
6. Concluding Remarks
In recent times, the introduction of new families of distributions by using the trigonometric function has received great attention, especially thanks to the distributional flexibility in terms of modeling a wide variety of real data in applied sectors. In this study, we explore a new natural combination of sine-G and WT-X approaches. This combination led to a new method for generating new probability models named a weighted sine-G method. Thanks to the weighted sine-G method, it increases the distributional flexibility of the existing models without adding any new parameters. Certain distributional properties of the WS-G distributions are obtained. Based on the WS-G method, a new probability model, called the weighted sine-Weibull distribution, was studied. Eight different methods were implemented to estimate the parameters of the WS-Weibull distribution. After presenting distributional properties and simulation studies, we checked the practical ability of the WS-Weibull distribution by considering two engineering data sets. The practical applications demonstrate that the WS-Weibull distribution outperforms some well-established variants of the Weibull distribution.
Author Contributions
Conceptualization, H.M.A., Z.A. and C.B.A.; Methodology, H.M.A., Z.A. and C.B.A.; Software, H.M.A., Z.A., H.A.-M. and S.K.K.; Validation, Z.A. and H.A.-M.; Formal analysis, H.M.A., H.A.-M. and S.K.K.; Data curation, H.M.A. and Z.A.; Writing—original draft, H.M.A., Z.A., H.A.-M., C.B.A. and S.K.K.; Visualization, H.A.-M. All authors have read and agreed to the published version of the manuscript.
Funding
This research was funded by Princess Nourah bint Abdulrahman University Researchers Supporting Project number (PNURSP2023R 299), Princess Nourah bint Abdulrahman University, Riyadh, Saudi Arabia.
Data Availability Statement
The data sets are available from the corresponding author upon request.
Conflicts of Interest
The authors declare no conflict of interest.
References
- Sindhu, T.N.; Atangana, A. Reliability analysis incorporating exponentiated inverse Weibull distribution and inverse power law. Qual. Reliab. Eng. Int. 2021, 37, 2399–2422. [Google Scholar] [CrossRef]
- Liu, X.; Ahmad, Z.; Gemeay, A.M.; Abdulrahman, A.T.; Hafez, E.H.; Khalil, N. Modeling the survival times of the COVID-19 patients with a new statistical model: A case study from China. PLoS ONE 2021, 16, e0254999. [Google Scholar] [CrossRef]
- Shen, Z.; Alrumayh, A.; Ahmad, Z.; Abu-Shanab, R.; Al-Mutairi, M.; Aldallal, R. A new generalized rayleigh distribution with analysis to big data of an online community. Alex. Eng. J. 2022, 61, 11523–11535. [Google Scholar] [CrossRef]
- Moccia, B.; Mineo, C.; Ridolfi, E.; Russo, F.; Napolitano, F. Probability distributions of daily rainfall extremes in Lazio and Sicily, Italy, and design rainfall inferences. J. Hydrol. Reg. Stud. 2021, 33, 100771. [Google Scholar] [CrossRef]
- Chen, P.; Ye, Z.S. Estimation of field reliability based on aggregate lifetime data. Technometrics 2017, 59, 115–125. [Google Scholar] [CrossRef]
- Xu, A.; Zhou, S.; Tang, Y. A unified model for system reliability evaluation under dynamic operating conditions. IEEE Trans. Reliab. 2019, 70, 65–72. [Google Scholar] [CrossRef]
- Zhang, L.; Xu, A.; An, L.; Li, M. Bayesian inference of system reliability for multicomponent stress-strength model under Marshall-Olkin Weibull distribution. Systems 2022, 10, 196. [Google Scholar] [CrossRef]
- Luo, C.; Shen, L.; Xu, A. Modelling and estimation of system reliability under dynamic operating environments and lifetime ordering constraints. Reliab. Eng. Syst. Saf. 2022, 218, 108136. [Google Scholar] [CrossRef]
- Zhuang, L.; Xu, A.; Wang, X.L. A prognostic driven predictive maintenance framework based on Bayesian deep learning. Reliab. Eng. Syst. Saf. 2023, 234, 109181. [Google Scholar] [CrossRef]
- Bantan, R.A.; Chesneau, C.; Jamal, F.; Elbatal, I.; Elgarhy, M. The truncated burr XG family of distributions: Properties and applications to actuarial and financial data. Entropy 2021, 23, 1088. [Google Scholar] [CrossRef]
- Reyad, H.; Korkmaz, M.C.; Afify, A.Z.; Hamedani, G.G.; Othman, S. The Fréchet Topp Leone-G family of distributions: Properties, characterizations and applications. Ann. Data Sci. 2021, 8, 345–366. [Google Scholar] [CrossRef]
- Eghwerido, J.T.; Agu, F.I. The shifted Gompertz-G family of distributions: Properties and applications. Math. Slovaca 2021, 71, 1291–1308. [Google Scholar] [CrossRef]
- Eghwerido, J.T.; Nzei, L.C.; Omotoye, A.E.; Agu, F.I. The Teissier-G family of distributions: Properties and applications. Math. Slovaca 2022, 72, 1301–1318. [Google Scholar] [CrossRef]
- Altun, E.; Alizadeh, M.; Yousof, H.M.; Hamedani, G.G. The Gudermannian generated family of distributions with characterizations, regression models and applications. Stud. Sci. Math. Hung. 2022, 59, 93–115. [Google Scholar] [CrossRef]
- Kumar, D.; Singh, U.; Singh, S.K. A new distribution using sine function-its application to bladder cancer patients’ data. J. Stat. Appl. Probab. 2015, 4, 417. [Google Scholar]
- Mahmood, Z.; Chesneau, C.; Tahir, M.H. A new sine-G family of distributions: Properties and applications. Bull. Comput. Appl. Math. 2019, 7, 53–81. [Google Scholar]
- Al-Babtain, A.A.; Elbatal, I.; Chesneau, C.; Elgarhy, M. Sine Topp-Leone-G family of distributions: Theory and applications. Open Phys. 2020, 18, 574–593. [Google Scholar] [CrossRef]
- Jamal, F.; Chesneau, C.; Aidi, K. The sine extended odd Fréchet-G family of distribution with applications to complete and censored data. Math. Slovaca 2021, 71, 961–982. [Google Scholar] [CrossRef]
- Jamal, F.; Chesneau, C.; Bouali, D.L.; Ul Hassan, M. Beyond the Sin-G family: The transformed Sin-G family. PLoS ONE 2021, 16, e0250790. [Google Scholar] [CrossRef]
- Tomy, L.; Chesneau, C. The Sine Modified Lindley Distribution. Mathematical and Computational. Applications 2021, 26, 81. [Google Scholar]
- Sakthivel, K.M.; Dhivakar, K. Transmuted Sine-Dagum Distribution and its Properties. Reliab. Theory Appl. 2021, 16, 150–166. [Google Scholar]
- Muhammad, M.; Alshanbari, H.M.; Alanzi, A.R.; Liu, L.; Sami, W.; Chesneau, C.; Jamal, F. A new generator of probability models: The exponentiated sine-G family for lifetime studies. Entropy 2021, 23, 1394. [Google Scholar] [CrossRef] [PubMed]
- Rajkumar, J.; Sakthivel, K.M. A New Method of Generating Marshall–Olkin Sine–G Family and Its Applications in Survival Analysis. Lobachevskii J. Math. 2022, 43, 463–472. [Google Scholar] [CrossRef]
- Ahmad, Z.; Mahmoudi, E.; Dey, S.; Khosa, S.K. Modeling vehicle insurance loss data using a new member of TX family of distributions. J. Stat. Theory Appl. 2020, 19, 133–147. [Google Scholar] [CrossRef]
- Alzaatreh, A.; Lee, C.; Famoye, F. A new method for generating families of continuous distributions. Metron 2013, 71, 63–79. [Google Scholar] [CrossRef]
- Seneta, E. Karamata’s characterization theorem, feller and regular variation in probability theory. PUblications L’Institut Math. 2002, 71, 79–89. [Google Scholar] [CrossRef]
- R Core Team. R: A Language and Environment for Statistical Computing; R Foundation for Statistical Computing: Vienna, Austria, 2022; Available online: https://www.R-project.org/ (accessed on 31 October 2022).
- Murthy, D.; Xie, M.; Jiang, R. Weibull Models; Wiley series in probability and statistics; John Wiley and Sons: Trenton, NJ, USA, 2004. [Google Scholar]
- de Andrade, T.A.; Bourguignon, M.; Cordeiro, G.M. The exponentiated generalized extended exponential distribution. J. Data Sci. 2016, 14, 393–413. [Google Scholar] [CrossRef]
- Gomes-Silva, F.; de Andrade, T.A.N.; Bourguignon, M. Ristić-Balakrishnan extended exponential distribution. Acta Scientiarum. Technology 2018, 40, e34963. [Google Scholar]
- Tharshan, R.; Wijekoon, P. A modification of the Quasi Lindley distribution. Open J. Stat. 2021, 11, 369–392. [Google Scholar] [CrossRef]
Disclaimer/Publisher’s Note: The statements, opinions and data contained in all publications are solely those of the individual author(s) and contributor(s) and not of MDPI and/or the editor(s). MDPI and/or the editor(s) disclaim responsibility for any injury to people or property resulting from any ideas, methods, instructions or products referred to in the content. |
© 2023 by the authors. Licensee MDPI, Basel, Switzerland. This article is an open access article distributed under the terms and conditions of the Creative Commons Attribution (CC BY) license (https://creativecommons.org/licenses/by/4.0/).