Abstract
We define a new quantile regression model based on a reparameterized exponentiated odd log-logistic Weibull distribution, and obtain some of its structural properties. It includes as sub-models some known regression models that can be utilized in many areas. The maximum likelihood method is adopted to estimate the parameters, and several simulations are performed to study the finite sample properties of the maximum likelihood estimators. The applicability of the proposed regression model is well justified by means of a gastric carcinoma dataset.
Keywords:
censored data; hazard function; odd log-logistic Weibull; statistical reparameterization; survival function MSC:
62G08; 62N02; 62E15
1. Introduction
For survival data, the outcome variable is usually the time until the occurrence of an event of interest. A common characteristic of this type of data is the presence of censoring, that is, when the event of interest is not observed for some subjects before the study is finished. Furthermore, this variable depends on one or more explanatory variables (covariables), which have characteristics of the sample under study. Cox’s proportional hazards and accelerated failure time (AFT) models are two common tools in time-to-event modeling. The first class of models has the strong assumption of proportional risks, which is often invalid, so the effects of the covariables on the risk function are examined which can lead to difficult interpretations. The second class assumes that an association exists between the predictors and the survival time, permitting a direct interpretation of the effects of the covariables on lifetimes.
Nevertheless, these methods can fail to capture the heterogeneity of the effects of the covariables. In this respect, the quantile regression (QR) (Koenker and Bassett [1]) can be an alternative to these models, enabling evaluation of the heterogeneous effects of the predictors via analysis of different quantiles. This method involves modeling the quantiles of the survival time and links them to the covariables, providing some advantages, such as:
- Possible identification and inference under the heterogeneous effects of the covariables for different quantiles, thus supplying more complete information about the covariables and more flexibly controlling for the heterogeneity caused by them;
- Flexibility regarding the assumption of proportional risks;
- Provision of a direct interpretation of the results, that is, between the survival time and the covariables of interest;
- Possible analysis of different quantiles, allowing identification of the different effects of the covariables on individuals with different risks; and
- Robustness with respect to outliers in the regression models.
Originally, the QR methods are based on minimizing weighted absolute residuals [1] without any probability distribution, and the estimation of the parameters occurs by means of linear programming algorithms.
Although this approach is very flexible, some challenges such as: (i) the quantile crossing, that is, when two or more estimated quantile curves cross or overlap, causing difficulty in interpretability; and (ii) the drawback of the inability to apply parametric inference tools led to the search for other methods. Regarding the quantile crossing problem, we can verify alternative methods, such as: semiparametric models [2], the support vector (SV) regression approach [3], and a joint quantile estimation approach [4,5]. The weighted absolute residuals estimators coincide with the maximum likelihood estimators (MLEs), when the response follows a skewed Laplace distribution, so the initial association of a continuous distribution to the QR models was based on it (Koenker and Machado [6]).
In the context of censored data, an extensive bibliography can be mentioned, for example: Peng and Huang [7] developed a QR approach for survival data subject to conditionally independent censoring, Wang and Wang [8] proposed a locally weighted censored QR approach following the redistribution-of-mass idea and employed a local reweighing scheme. Zarean et al. [9] used the censored QR for determining overall survival and risk factors in esophageal cancer. Yang [10] presented a new approach for censored QR estimation, and Du et al. [11] developed estimation procedures for partially linear QR models, where some of the responses were censored by another random variable. Further, Xue et al. [12] addressed these limitations by using both simulated examples and data from National Wilms Tumor clinical trials to illustrate proper interpretation of the censored QR model and the differences and advantages of the model compared to the Cox proportional hazard model. Hong et al. [13] provided a practical guide for using QR for right-censored outcome data with covariates of low or high dimensionality, and De Backer et al. [14] studied a novel approach for the estimation of quantiles when facing potential right-censoring of the responses. Recently, De Backer et al. [15] investigated a new procedure for estimating a linear QR with possibly right-censored responses; Qiu et al. [16] considered the QR model for survival data with missing censoring indicators; Yazdani et al. [17] introduced the QR approach for modelling failure time and investigated the covariate effects for different quantiles; Peng [18] provided a comprehensive review of statistical methods for performing QR with different types of survival data; Hsu et al. [19] studied regression models for interval censored data using quantile coefficient functions via a set of parametric basis functions; He et al. [20] provided a unified analysis of the smoothed sequential estimator and its penalized counterpart for increasing dimensions in censored QR; and Wei [21] introduced a discussion about QR for censored data in haematopoietic cell transplant research. Note that all these articles cited in the QR with censored data did not use parametric models or use the skewed Laplace distribution (see [17]), whose estimators coincide.
Subsequently, other distributions were proposed by re-parameterizing them in terms of the quantile function (qf). Recent papers involving models for non-censored data based on other distributions can be mentioned: log-extended exponential-geometric [22]; Birnbaum–Saunders [23,24]; discrete generalized half-normal [25]; transmuted unit-Rayleigh [26]; unit-Burr-XII [27]; unit-Chen [28]; log-symmetric [29]; arcsecant hyperbolic Weibull [30]; and Dagum and Singh–Maddala [31] distributions. However, there is a relative lack in the literature of models for censored data in the parametric context: generalized Gompertz [32] and skew-t [33].
It is well known that the hazard rate function can assume different forms, which has led to the proposal of a large number of new distributions with the purpose of obtaining greater flexibility of data modeling, for example, Ref. [34]. In this sense, we introduce a QR regression model based on a reparameterized, exponentiated, odd log-logistic Weibull (EOLLW) distribution. It has two extra shape parameters, thus enabling the modeling of different forms of hazard rate functions, as well as data with positive or negative symmetric or asymmetric bimodal shapes, making it an alternative to the mixture models commonly used in the presence of bimodality. Another important feature of the new QR model is that it has as special cases: the exponentiated Weibull and odd log-logistic Weibull QR models. A detailed discussion of the theoretical foundations is given in analysis of survival data with concrete applications. The maximum likelihood method is adopted, and several simulations evaluate the behavior of these estimators under some scenarios. Additionally, we show that the model can establish functional relations of the covariables with other parameters, including scale and kurtosis, besides the quantile parameter.
The paper is structured as follows. Section 2 introduces a reparametrization of the EOLLW distribution based on quantiles. Section 3 addresses some mathematical properties. The proposed QR regression model, and some classic inference methods to estimate the parameters are addressed in Section 4. Some simulations are reported in Section 5. Section 6 provides a real application for the new regression model. Section 7 ends with a brief conclusion.
2. The Reparameterized EOLLW Distribution
Let be a parent cumulative distribution function (cdf) and be its associated probability density function (pdf), both functions of a parameter vector . The cdf of the exponentiated odd log-logistic (EOLL-G) family is given by (Alizadeh et al. [35]) (for )
where and are two extra shape parameters.
The pdf corresponding to Equation (1) has the form
Henceforth, let be a random variable with density function (2).
The EOLL-G family reduces to the OLL-G class when (Gleaton and Lynch [36]), and to the exponentiated (Exp-G) family (Mudholkar et al., [37]) when . Clearly, it becomes the parent when .
The EOLLW distribution is defined from (2) by taking the parent Weibull
respectively, where , is a scale parameter, and is a shape parameter.
The hazard rate function corresponding to (5) is .
Thus, we rewrite the th quantile (6) as
We can easily obtain the quartiles: first quartile (Q(0.25)), median (Q(0.5)), and third quartile (Q(0.75)).
We define a reparametrization of the pdf (5) as a function of the th quantile (6), where the scale becomes
is the location, and th is the quantile of X (assumed known).
By simple differentiation, the reparameterized pdf of X has the form
Henceforth, we redefine as a random variable with pdf (11), where is fixed. Figure 1 displays plots of the pdf of X for some values, thus showing its asymmetry and bimodality.
Figure 1.
Plots of the pdf of X for some values: (a) = 2, = 0.4, = 5, = 4, (b) = 0.4, = 0.90, = 1.2, = 3, (c) = 0.4, = 1.5, = 1.2, = 2.9.
3. Structural Properties
Some known properties of the reparameterized EOLLW distribution are given below:
- (A)
- (B)
- The point is called a critical point of f if x is in the domain of f, and either or do not exist. Since f in (11) is differentiable, always exists in its domain. Differentiating in (11) and setting it equal to zero, its critical points are the roots of (Rodrigues et al. [38])where , , , and and are given in (3). Every critical point where f reaches a maximum (resp., minimum) value is called the mode (resp., minimum point). Using the intermediate value theorem, it is simple to verify that, for , Equation (13) has at least one root in (see Appendix A).
- (C)
- If and is an integer, the pdf of X is (Rodrigues et al. [38])
- decreasing or decreasing–increasing–decreasing for ;
- unimodal for .
- (D)
- For , the pdf of X is (Rodrigues et al. [38])
- decreasing or decreasing–increasing–decreasing for ;
- decreasing or uni/bimodal or decreasing–increasing–decreasing for .
- (E)
- If and , the pdf of X is uni- or bimodal for (Rodrigues et al. [38]).
- (F)
- Consequently,is a stochastic representation for X.
- (G)
- The cdf (10) satisfies the identitywhere , and is as given in Item (B).
- (H)
- We write (see Rodrigues et al. [38]).
- If and , the hrf of X is increasing.
- Let , , and be an integer. For example, take the integer and .
- (a)
- If there exists such that , the hrf of X has a bathtub (BT) shape.
- (b)
- If there does not exist such that , the hrf of X is increasing.
- Let , , and be an integer. For example, take and . Under the conditions of Item (a) [Item (b)], the hrf of X has a BT (increasing) shape.
- (I)
- The EOLLW density transitions from heavy-tailed to light-tailed (Rodrigues et al. [38]).
3.1. Other Properties
3.1.1. Existence of Moments
Hence,
Having an upper bound on the tail of the distribution, we proceed to bound the moments of X. This will prove its existence.
Based on the known formula (for and ), the inequality holds:
where .
From the Riemann zeta function , where is the gamma function, we obtain
Thus, for and , the existence of the pth moment of X (for any ) is guaranteed.
3.1.2. Gini’s Mean Difference
Given the random variables , the Gini mean difference (GMD) is defined as
provided the involved expectations exist. The GMD is a very useful measure of variability in the presence of non-normality.
- (a)
- If is a sequence of independent and identically distributed (iid) random variables, the classical GMD (La Haye and Zizler [40]) isFrom Proposition 3 of Vila et al. [41], the GMD for a random sample of the EOLLW model iswhereNote that analytically, the GMD (17) for the OELLW model is difficult to obtain. Vila et al. [41] provided the following upper bound for the GMD.
- (b)
- If , and is a sample not necessarily independent nor identically distributed, the following inequality for the GMD (16) follows from Vila et al. [41]where and , for .
Under constraints and , the moments of () always exist (see Section 3.1.1). Then, the mean , variance , and correlations (for ) also exist. Hence, for both cases (a) and (b), we can deduce non-trivial upper bounds (then its existence) of the GMD for the EOLLW model.
4. The EOLLW QR Model for Censored Data
A new regression model is defined from the reparametrized EOLLW density (11), and two systematic components for the parameters and (for )
where and are unknown parameter vectors, and is the explanatory variable vector. Thus, the heteroscedasticity is modeled via .
The EOLLW QR model is defined by Equations (11) and (18), where and are unknown constants, and it has as special models:
- Rhe exponentiated Weibull (EW) QR model for ;
- the odd log-logistic Weibull (OLLW) QR model for ;
- and the Weibull QR model for .
Consider a sample of independent observations, where each random response is defined by , (censoring indicator), where denotes the indicator function. We consider non-informative censoring and the observed lifetimes and censoring times are independent given . Let F and C be the sets of individuals for which is the lifetime or censoring time, respectively. Conventional likelihood estimation techniques can be applied here. The log-likelihood function for the vector from model (18) has the form
where , , is the density (11), is the survival function, and is the cdf (10) of . The total log-likelihood function for can be expressed as
where
and is the number of uncensored observations (failures).
The gamlss package in R [42] is used to find the maximum likelihood estimate of . This package comes from the general class of generalized additive models for location, scale and shape (GAMLSS) (Rigby and Stasinopoulos [43]). These models allow all parameters of a distribution to be modeled as a function of covariates, such as non-parametric, parametric and/or additive smooth functions. Furthermore, they do not have the restriction that the response distribution belongs to a given family such as the exponential family. The package basically has two algorithms: CG (Cole and Green [44]) and RS (Rigby and Stasinopoulos [43]), whose acronyms come from the names of the authors. These algorithms are stable and do not require precise initial values to guarantee convergence. For this reason, we work with the RS algorithm with initial values for and obtained from the fitted Weibull QR model (). Compared to the CG algorithm, RS is faster for larger datasets and does not use the expected value of cross derivatives, which can be useful when these values are equal to zero. For more details of the algorithms, see [43].
The codes for the reparametric EOLLW distribution in the GAMLSS framework are available at https://github.com/gabrielamrodrigues/EOLLW_quantiles (accessed on 10 February 2023). Following this approach, different regression models can be constructed by incorporating non-parametric smoothing functions, random effects, or other additive terms to the predictors.
Under conditions that are fulfilled for the parameter vector in the interior of the parameter space but not on the boundary, the asymptotic distribution of is multivariate normal , where is the information matrix. The asymptotic covariance matrix of can be approximated by the inverse of the observed information matrix . The approximate multivariate normal distribution for can be used in the classical way to construct approximate confidence regions for some parameters in .
We can use the likelihood ratio (LR) statistic for comparing some sub-models with the EOLLW QR model. We consider the partition , where is the subset of parameters of interest and is the subset of remaining parameters. The LR statistic for testing the null hypothesis versus the alternative hypothesis is given by , where and are the estimates under the null and alternative hypotheses, respectively. The statistic w is asymptotically (as ) distributed as , where k is the dimension of the subset of parameters of interest.
The standard maximum likelihood techniques can be adopted for the proposed regression, such as the quantile residuals () (Dunn and Smyth [45]), namely
where
and is the inverse cumulative standard normal distribution.
5. Simulation Study
A simulation study is carried out to verify the accuracy of the MLEs in the EOLLW QR model for the quartiles , and , and approximate censoring percentages 0%, 10% and 50%. Just one covariate Binomial is included in the systematic components:
For each combination, replicas of sizes , 300 and 500 are generated. The true values used are: , , , , and .
The inverse transformation method is used to generate the lifetimes from the EOLLW distribution, and the censoring times are determined from a uniform distribution , where k controls the censoring percentages. For each scenario, the Average Estimates (AEs), Biases and Mean Square Errors (MSEs) of the MLEs are calculated from:
where . The software is used and Algorithm 1 presents the simulation steps.
| Algorithm 1: Simulation study |
![]() |
Table 1, Table 2 and Table 3 report the findings. For all scenarios, the AEs converge to the true parameter values, and the biases and MSEs decrease when n increases. These facts indicate that the consistency of the estimators hold. In addition, this behavior is verified even for high censoring percentages. We also found the empirical coverage probabilities (CPs) corresponding to the 95% confidence intervals calculated from the simulations. Table 4 reports CPs values which approach to the nominal level.
Table 1.
Simulation results from the fitted EOLLW QR model for .
Table 2.
Simulation results from the fitted EOLLW QR model for .
Table 3.
Simulation results from the fitted EOLLW QR model for .
Table 4.
CPs for the 95% nominal level from the fitted EOLLW QR regression model when , and and approximate censoring percentages 0%, 10% and 50%.
6. Application to Gastric Cancer Data
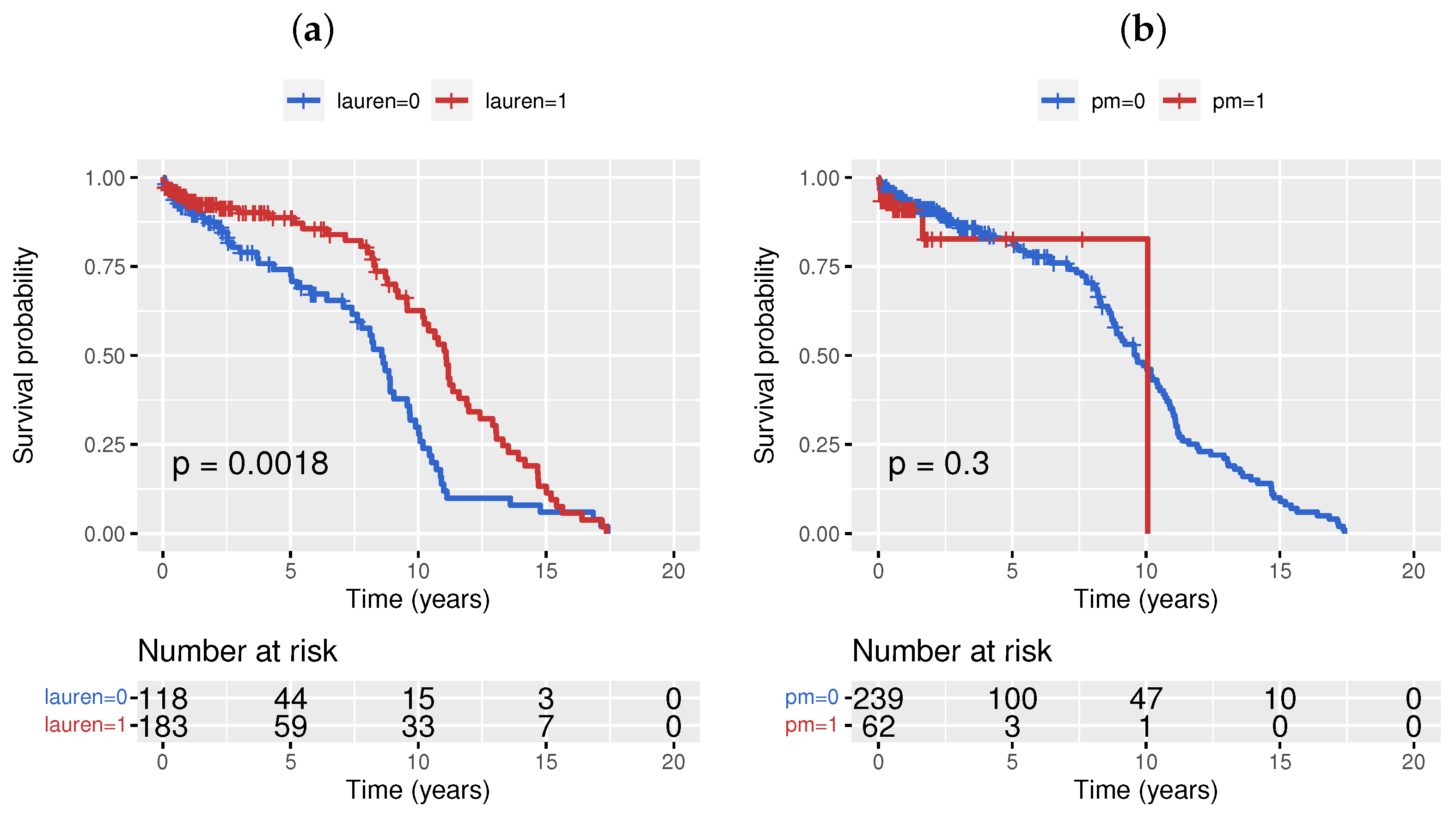
Gastric cancer is the 5th most common cancer worldwide. There are more than one million new cases of this cancer every year, and it ranked as the 2nd leading cause of mortality from cancer in the world. We consider a survival dataset of patients suffering from gastric adenocarcinoma treated by surgery at Helsinki University Hospital in Finland [46] (available at https://doi.org/10.5061/dryad.hb62394, accessed on 29 November 2022 [47]), which contains 301 individuals with approximate censoring of 60%. Here we consider two covariables. The first corresponds to the classification of Lauren (Figure 2a). Various pathological classifications of the disease exist, but that of Lauren is the most common. Originally developed in the 1960s, the classification system adopted cell structural components to separate the patients in three types: well differentiated (non-cardia/intestinal), poorly differentiated (cardia/diffuse), and mixed disease [48]. Based on histology, the two leading types of gastric cancer are diffuse and intestinal [49]. These two types are reflected in the dataset. The second covariable corresponds to the presence of distant metastasis (M1 disease) (Figure 2b). Many patients diagnosed with gastric cancer present distant metastasis, implying a very poor prognosis, generally indicating prophylactic rather than curative treatment ([50,51]). The objective here is to verify the effects of the covariables in different quantiles, so as to obtain a more complete view of this dataset. Table 5 gives a descriptive summary, which includes the mean times, median times and times for the first and third quartiles. We can observe differences for the Lauren classification covariate: between the quantiles, the average time, and the Lauren 1 and Lauren 2 levels. However, we note subtle differences for the presence of distant metastases covariate. Then, the variables considered are ():
Figure 2.
Kaplan-Meier survival curves for gastric cancer data: (a) Lauren classification; (b) Presence of distant metastases.
Table 5.
Descriptive analysis of gastric cancer data.
- survival time (in years);
- : censoring indicator (0 = censored, 1 = observed);
- : Lauren classification (1 = intestinal, 2 = diffuse), defined by a dummy variable (0 = intestinal, 1 = diffuse);
- : Presence of distant metastases (pm) (1 = yes, 0 = no)
Regression Model
We compare the EOLLW QR model with the nested OLLW, Exp-W and Weibull models under three systematic components:
We consider the following quantiles: , , , and . Table 6 reports the Akaike information criterion (AIC) values for the fitted QR regression models. The EOLLW QR model under structure gives the lowest values for these quantiles.
Table 6.
AIC values for some fitted QR models to gastric cancer data.
Table 7 gives three likelihood ratio (LR) statistics (p-values in parentheses), thus indicating that the EOLLW QR model under structure is better than the others. Thus, we can consider this model as the predictive model.
Table 7.
LR statistics for the ELLOW QR model under structure and some values for the gastric cancer data.
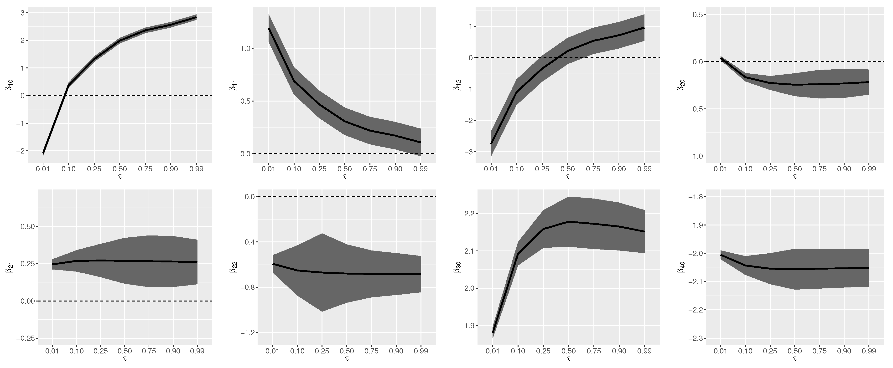
Figure 3 displays the MLEs and the corresponding confidence intervals along with the interval , and Table 8 gives the MLEs and their standard errors (SEs) for the quantiles , , , and at the significance level of 5%. The following facts can be mentioned:
Figure 3.
Point estimates and 95% confidence intervals for the parameters versus from the fitted ELLOW QR model under structure for the gastric cancer data.
Table 8.
Estimation findings from the ELLOW QR model under structure and = , , , and for the current data.
- The effect of the Lauren classification 2 in comparison with 1 is decreasing along the quantiles and its confidence interval shows significant estimates for all quantiles. These results corroborate with those point quantiles reported in Table 8.
- The effect of the presence of distant metastasis is rising along the quantiles. Its confidence interval includes zero in the interval , thus indicating that the covariable is not significant for these quantiles. These results can be noted by the non-significant p-values for and .
- For the parameters and , the estimates are significant for both quantiles, thus indicating that those covariables influence the variability of the survival times.
- The estimates corresponding to the shape parameters and are also significant for all quantiles.
Residual Analysis
Figure 4, Figure 5, Figure 6, Figure 7 and Figure 8 provide the normal probability plots of the ’s in Equation (20) under structure for some quantiles. They reveal that the EOLLW QR model is the best among the fitted models. Further, they approximately follow a standard normal distribution, thus indicating adequate fits. Figure 9 shows the index plot of the ’s for the EOLLW QR model under structure . There are few points outside the interval for both quantiles, and a random pattern around zero which show that these models are very adequate to the current data.
Figure 4.
QQ plots for ’s from some fitted regression models under structure and .
Figure 5.
QQ plots for the ’s from some fitted regression models under structure and .
Figure 6.
QQ plots for the ’s from some fitted regression models under structure and .
Figure 7.
QQ plots for the ’s from some regression models under structure and .
Figure 8.
QQ plots for the ’s from some regression models under structure and .
Figure 9.
Index plots for the ’s from some regression models under structure : (a) ; (b) ; (c) ; (d) ; (e) .
7. Concluding Remarks
We introduced a new quantile regression model for censored data based on the reparametrization of the exponentiated log-logistic odd Weibull (EOLLW) distribution in terms of quantiles with two systematic components. We presented some mathematical properties of the reparametrized EOLLW distribution. The proposed quantile regression model is an important extension of other regression models and can be a valuable addition to the survival analysis area. The new regression model also serves as a good alternative for the analysis of lifetime data and may be more flexible than the exponentiated Weibull, odd log-logistic Weibull and Weibull models. Several simulations were performed for different parameter settings, sample sizes and censoring percentages, to assess the accuracy of the maximum likelihood estimators. The usefulness of the new model was also proved by means of a gastric cancer dataset.
Author Contributions
Conceptualization, G.M.R., E.M.M.O., G.M.C., R.V.; methodology, G.M.R., E.M.M.O., G.M.C., R.V.; software, G.M.R., E.M.M.O., G.M.C., R.V.; validation, G.M.R., E.M.M.O., G.M.C., R.V.; formal analysis, G.M.R., E.M.M.O., G.M.C., R.V.; investigation, G.M.R., E.M.M.O., G.M.C., R.V.; data curation, G.M.R., E.M.M.O., G.M.C., R.V.; writing—original draft preparation, G.M.R., E.M.M.O., G.M.C., R.V.; writing—review and editing, G.M.R., E.M.M.O., G.M.C., R.V.; visualization, G.M.R., E.M.M.O., G.M.C., R.V.; supervision, G.M.R., E.M.M.O., G.M.C., R.V. All authors have read and agreed to the current version of the manuscript.
Funding
This study was financed in part by the Coordenação de Aperfeiçoamento de Pessoal de Nível Superior–Brasil (CAPES) (Finance Code 001).
Informed Consent Statement
Not applicable.
Data Availability Statement
The dataset was obtained from https://doi.org/10.5061/dryad.hb62394. We also made the data available at https://github.com/gabrielamrodrigues/EOLLW_quantiles.
Conflicts of Interest
The authors declare no conflict of interest.
References
- Koenker, R.; Bassett, G., Jr. Regression quantiles. Econometrica 1978, 46, 33–50. [Google Scholar] [CrossRef]
- Gijbels, I.; Karim, R.; Verhasselt, A. Semiparametric quantile regression using family of quantile-based asymmetric densities. Comput. Stat. Data Anal. 2021, 157, 107–129. [Google Scholar] [CrossRef]
- Takeuchi, I.; Furuhashi, T. Non-crossing quantile regressions by SVM. Int. Jt. Conf. Neural Netw. 2004, 1, 401–406. [Google Scholar]
- Das, K.; Krzywinski, M.; Altman, N. Quantile regression. Nat. Methods 2019, 16, 451–452. [Google Scholar] [CrossRef] [PubMed]
- Liu, Y.; Wu, Y. Simultaneous multiple non-crossing quantile regression estimation using kernel constraints. J. Non Parametr. Stat. 2011, 23, 415–437. [Google Scholar] [CrossRef]
- Koenker, R.; Machado, J.A.F. Goodness of fit and related inference processes for quantile regression. J. Am. Stat. Assoc. 1999, 94, 1296–1310. [Google Scholar] [CrossRef]
- Peng, L.; Huang, Y. Survival analysis with quantile regression models. J. Am. Stat. Assoc. 2008, 103, 637–649. [Google Scholar] [CrossRef]
- Wang, H.J.; Wang, L. Locally weighted censored quantile regression. J. Am. Stat. Assoc. 2009, 104, 1117–1128. [Google Scholar] [CrossRef]
- Zarean, E.; Mahmoudi, M.; Azimi, T.; Amini, P. Determining overall survival and risk factors in esophageal cancer using censored quantile regression. Asian Pac. J. Cancer Prev. 2018, 19, 3081–3086. [Google Scholar] [CrossRef]
- Yang, X.; Narisetty, N.N.; He, X. A new approach to censored quantile regression estimation. J. Comput. Graph. Stat. 2018, 27, 417–425. [Google Scholar] [CrossRef]
- Du, J.; Zhang, Z.; Xu, D. Estimation for the censored partially linear quantile regression models. Commun. Stat. Simul. Comput. 2018, 47, 2393–2408. [Google Scholar] [CrossRef]
- Xue, X.; Xie, X.; Strickler, H.D. A censored quantile regression approach for the analysis of time to event data. Stat. Methods Med. Res. 2018, 27, 955–965. [Google Scholar] [CrossRef] [PubMed]
- Hong, H.G.; Christiani, D.C.; Li, Y. Quantile regression for survival data in modern cancer research: Expanding statistical tools for precision medicine. Precis. Clin. Med. 2019, 2, 90–99. [Google Scholar] [CrossRef] [PubMed]
- De Backer, M.; Ghouch, A.E.; Van Keilegom, I. An adapted loss function for censored quantile regression. J. Am. Stat. Assoc. 2019, 114, 1126–1137. [Google Scholar] [CrossRef]
- De Backer, M.; El Ghouch, A.; Van Keilegom, I. Linear censored quantile regression: A novel minimum-distance approach. Scand. J. Stat. 2020, 47, 1275–1306. [Google Scholar] [CrossRef]
- Qiu, Z.; Ma, H.; Chen, J.; Dinse, G.E. Quantile regression models for survival data with missing censoring indicators. Stat. Methods Med. Res. 2021, 30, 1320–1331. [Google Scholar] [CrossRef]
- Yazdani, A.; Yaseri, M.; Haghighat, S.; Kaviani, A.; Zeraati, H. The comparison of censored quantile regression methods in prognosis factors of breast cancer survival. Sci. Rep. 2021, 11, 18268. [Google Scholar] [CrossRef]
- Peng, L. Quantile regression for survival data. Annu. Rev. Stat. Appl. 2021, 8, 413–437. [Google Scholar] [CrossRef]
- Hsu, C.Y.; Wen, C.C.; Chen, Y.H. Quantile function regression analysis for interval censored data, with application to salary survey data. Jpn. J. Stat. Data Sci. 2021, 4, 999–1018. [Google Scholar] [CrossRef]
- He, X.; Pan, X.; Tan, K.M.; Zhou, W.X. Scalable estimation and inference for censored quantile regression process. Ann. Stat. 2022, 50, 2899–2924. [Google Scholar] [CrossRef]
- Wei, B. Quantile regression for censored data in haematopoietic cell transplant research. Bone Marrow Transplant. 2022, 57, 853–856. [Google Scholar] [CrossRef] [PubMed]
- Jodrá, P.; Jiménez-Gamero, M.D. A quantile regression model for bounded responses based on the exponential-geometric distribution. Revstat Stat. J. 2020, 18, 415–436. [Google Scholar]
- Sánchez, L.; Leiva, V.; Galea, M.; Saulo, H. Birnbaum-Saunders quantile regression and its diagnostics with application to economic data. Appl. Stoch. Model. Bus. Ind. 2020, 37, 53–73. [Google Scholar] [CrossRef]
- Sánchez, L.; Leiva, V.; Galea, M.; Saulo, H. Birnbaum-Saunders quantile regression models with application to spatial data. Mathematics 2020, 8, 1000. [Google Scholar] [CrossRef]
- Gallardo, D.I.; Gómez-Déniz, E.; Gómez, H.W. Discrete generalized half-normal distribution with applications in quantile regression. SORT 2020, 44, 265–284. [Google Scholar]
- Korkmaz, M.C.; Chesneau, C.; Korkmaz, Z.S. Transmuted unit Rayleigh quantile regression model: Alternative to beta and Kumaraswamy quantile regression models. Sci. Bull. 2021, 83, 149–159. [Google Scholar]
- Korkmaz, M.M.; Chesneau, C. On the unit Burr-XII distribution with the quantile regression modeling and applications. Comput. Appl. Math. 2021, 40, 2–26. [Google Scholar] [CrossRef]
- Korkmaz, M.Ç.; Altun, E.; Chesneau, C.; Yousof, H.M. On the unit-Chen distribution with associated quantile regression and applications. Math. Slovaca 2022, 72, 765–786. [Google Scholar] [CrossRef]
- Saulo, H.; Dasilva, A.; Leiva, V.; de la Fuente-Mella, L.S. Log-symmetric quantile regression models. Stat. Neerl. 2022, 76, 124–163. [Google Scholar] [CrossRef]
- Korkmaz, M.C.; Chesneau, C.; Korkmaz, Z.Z.S. A new alternative quantile regression model for the bounded response with educational measurements applications of OECD countries. J. Appl. Stat. 2023, 50, 131–154. [Google Scholar] [CrossRef]
- Saulo, H.; Vila, R.; Borges, G.V.; Bourguignon, M.; Leiva, V.; Marchant, C. Modeling Income Data via New Parametric Quantile Regressions: Formulation, Computational Statistics, and pplication. Mathematics 2023, 11, 448. [Google Scholar] [CrossRef]
- Rodrigues, A.; Borges, P.; Santos, B. A Defective Cure Rate Quantile Regression Model for Male Breast Cancer Data. 2021. Preprint. Available online: https://arxiv.org/abs/2105.03699 (accessed on 19 December 2022).
- Morales, C.E.G.; Lachos, V.H.; Bourguignon, M. A skew-t quantile regression for censored and missing data. Stat 2021, 10, e379. [Google Scholar]
- Ozel, G.; Alizadeh, M.; Cakmakyapan, S.; Hamedani, G.G.; Ortega, E.M.; Cancho, V.G. The odd log-logistic Lindley Poisson model for lifetime data. Commun. -Stat.-Simul. Comput. 2017, 46, 6513–6537. [Google Scholar] [CrossRef]
- Alizadeh, M.; Tahmasebi, S.; Haghbin, H. The exponentiated odd log-logistic family of distributions: Properties and applications. J. Stat. Model. Theory Appl. 2020, 1, 29–52. [Google Scholar]
- Gleaton, J.U.; Lynch, J.D. Properties of generalized log-logistic families of lifetime distributions. J. Probab. Stat. Sci. 2006, 4, 51–64. [Google Scholar]
- Mudholkar, G.S.; Srivastava, D.K.; Kollia, G. A generalization of the Weibull distribution with application to the analysis of survival data. J. Am. Stat. Assoc. 1996, 91, 1575–1583. [Google Scholar] [CrossRef]
- Rodrigues, G.M.; Vila, R.; Ortega, E.M.M.; Cordeiro, G.M.; Serra, V. New Results and Regression Model for the Exponentiated Odd Log-Logistic Weibull Family of Distributions with Applications. 2022. Preprint. Available online: https://arxiv.org/abs/2203.14189 (accessed on 7 February 2023).
- Dagum, C. A model of income distribution and the conditions of existence of moments of finite order. Bull. Int. Stat. Inst. 1975, 46, 199–205. [Google Scholar]
- La Haye, R.; Zizler, P. The Gini mean difference and variance. Metron 2019, 77, 43–52. [Google Scholar] [CrossRef]
- Vila, R.; Balakrishnan, N.; Saulo, H. An Upper Bound and a Characterization for GINI’s Mean Difference Based on Correlated Random Variables. 2023. Preprint. Available online: https://arxiv.org/abs/2301.07229 (accessed on 7 February 2023).
- R Core Team. R: A Language and Environment for Statistical Computing; R Foundation for Statistical Computing: Vienna, Austria, 2022. [Google Scholar]
- Rigby, R.A.; Stasinopoulos, D.M. Generalized additive models for location, scale and shape. J. R. Stat. Soc. Ser. (Appl. Stat.) 2005, 54, 507–554. [Google Scholar] [CrossRef]
- Cole, T.J.; Green, P.J. Smoothing reference centile curves: The LMS method and penalized likelihood. Stat. Med. 1992, 11, 1305–1319. [Google Scholar] [CrossRef]
- Dunn, P.; Smyth, G. Randomized quantile residuals. J. Comput. Graph. Stat. 1996, 5, 236–244. [Google Scholar]
- Kasurinen, A.; Tervahartiala, T.; Laitinen, A.; Kokkola, A.; Sorsa, T.; Böckelman, C.; Haglund, C. High serum MMP-14 predicts worse survival in gastric cancer. PLoS ONE 2018, 13, e0208800. [Google Scholar] [CrossRef] [PubMed]
- Kasurinen, A.; Tervahartiala, T.; Laitinen, A.; Kokkola, A.; Sorsa, T.; Böckelman, C.; Haglund, C. Data from: High Serum MMP-14 Predicts Worse Survival in Gastric Cancer. Available online: https://doi.org/10.5061/dryad.hb62394 (accessed on 29 November 2022).
- Chen, Y.C.; Fang, W.L.; Wang, R.F.; Liu, C.A.; Yang, M.H.; Lo, S.S.; Wu, C.W.; Li, A.F.; Shyr, Y.M.; Huang, K.H. Clinico pathological variation of Lauren classification in gastric cancer. Pathol. Oncol. Res. 2016, 22, 197–202. [Google Scholar] [CrossRef]
- Lauren, P. The two histologic main types of gastric carcinoma: Diffuse and so-called intestinal type carcinoma. An attempt at a histoclinicalclassification. Acta Parhol. Microbid. Scan. 1965, 64, 31–49. [Google Scholar] [CrossRef] [PubMed]
- Dixon, M.; Mahar, A.L.; Helyer, L.K.; Vasilevska-Ristovska, J.; Law, C.; Coburn, N.G. Prognostic factors in metastatic gastric cancer: Results of a population-based, retrospective cohort study in Ontario. Gastric Cancer 2016, 19, 150–159. [Google Scholar] [CrossRef]
- Kwee, R.M.; Kwee, T.C. Modern imaging techniques for preoperative detection of distant metastases in gastric cancer. World J. Gastroenterol. WJG 2015, 21, 10502–10509. [Google Scholar] [CrossRef]
Disclaimer/Publisher’s Note: The statements, opinions and data contained in all publications are solely those of the individual author(s) and contributor(s) and not of MDPI and/or the editor(s). MDPI and/or the editor(s) disclaim responsibility for any injury to people or property resulting from any ideas, methods, instructions or products referred to in the content. |
© 2023 by the authors. Licensee MDPI, Basel, Switzerland. This article is an open access article distributed under the terms and conditions of the Creative Commons Attribution (CC BY) license (https://creativecommons.org/licenses/by/4.0/).
