A Comparative Evaluation between Convolutional Neural Networks and Vision Transformers for COVID-19 Detection
Abstract
1. Introduction
- -
- An automated COVID-19 detection system using state-of-the-art CNN models and transformer models is proposed.
- -
- The performances using the CNN models and the transformer models are compared in the COVID-19 detection system with lung CXR images.
- -
- Visualization in CXR images is provided to boost the doctor’s decision. Normally, doctors do not rely on the output accuracy of a system; rather, they mainly focus on the radiographic images themselves. Therefore, if the system can produce a colorful visual representation of an image to indicate which area to focus on or to give more attention to, it will be a great help to the doctors. The proposed system outputs this colorful image.
- -
- The study compares the performances between balanced and unbalanced cases of the proposed system.
2. Related Work
2.1. State-of-the-Art DL in Medical Imaging
2.1.1. CNN-Based Transfer Learning
2.1.2. Transformer-Based Vision Backbones
3. Methodology
3.1. Dataset
3.2. Data Augmentation
3.3. UNet-Based Segmentation
3.4. Visualization
3.5. CNN Processing
3.6. ViT Processing
4. Results and Discussion
4.1. Experimental Setup
4.2. Performance Metrics
- Accuracy
- Recall
- Precision
- F1-score
- Kappa value
- Model Accuracy vs. epoch
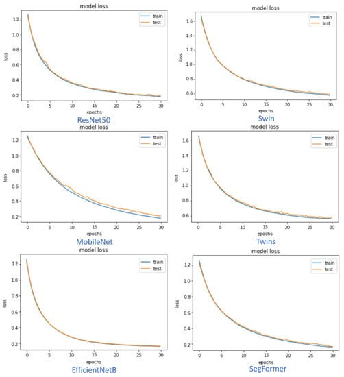
- Model Loss vs. epoch
- The area under the curve (AUC)-receiver operating characteristics (ROC)
- t-SNE
- grad-CAM
5. Conclusions
Author Contributions
Funding
Data Availability Statement
Acknowledgments
Conflicts of Interest
References
- Fan, E.; Beitler, J.R.; Brochard, L.; Calfee, C.S.; Ferguson, N.D.; Slutsky, A.S.; Brodie, D. COVID-19-associated acute respiratory distress syndrome: Is a different approach to management warranted? Lancet Respir. Med. 2020, 8, 816–821. [Google Scholar] [CrossRef] [PubMed]
- World Health Organization. Antibiotic Resistance: Key Facts. WHO. 2018. Available online: https://www.who.int/news-room/fact-sheets/detail/antibiotic-resistance (accessed on 10 November 2022).
- Masud, M.; Gaba, G.S.; Alqahtani, S.; Muhammad, G.; Gupta, B.B.; Kumar, P.; Ghoneim, A. A Lightweight and Robust Secure Key Establishment Protocol for Internet of Medical Things in COVID-19 Patients Care. IEEE Internet Things J. 2021, 8, 15694–15703. [Google Scholar] [CrossRef] [PubMed]
- Gaur, L.; Bhatia, U.; Jhanjhi, N.Z.; Muhammad, G.; Masud, M. Medical image-based detection of COVID-19 using Deep Convolution Neural Networks. Multimedia Syst. 2021, 1–10. [Google Scholar] [CrossRef]
- van der Pol, S.; Garcia, P.R.; Postma, M.J.; Villar, F.A.; van Asselt, A.D.I. Economic Analyses of Respiratory Tract Infection Diagnostics: A Systematic Review. Pharmacoeconomics 2021, 39, 1411–1427. [Google Scholar] [CrossRef]
- Muhammad, G.; Alqahtani, S.; Alelaiwi, A. Pandemic Management for Diseases Similar to COVID-19 Using Deep Learning and 5G Communications. IEEE Netw. 2021, 35, 21–26. [Google Scholar] [CrossRef]
- Aiyegbusi, O.L.; Hughes, S.E.; Turner, G.; Rivera, S.C.; McMullan, C.; Chandan, J.S.; Haroon, S.; Price, G.; Davies, E.H.; Nirantharakumar, K.; et al. Supplemental material for Symptoms, complications and management of long COVID: A review. J. R. Soc. Med. 2021, 114, 428–442. [Google Scholar] [CrossRef]
- Raveendran, A.V.; Jayadevan, R.; Sashidharan, S. Diabetes & metabolic syndrome: Clinical research & reviews long COVID: An overview. Diabetes Metab. Syndr. Clin. Res. Rev. 2021, 15, 869–875. [Google Scholar]
- Brunese, L.; Mercaldo, F.; Reginelli, A.; Santone, A. Explainable Deep Learning for Pulmonary Disease and Coronavirus COVID-19 Detection from X-rays. Comput. Methods Programs Biomed. 2020, 196, 105608. [Google Scholar] [CrossRef] [PubMed]
- Hussain, E.; Hasan, M.; Rahman, A.; Lee, I.; Tamanna, T.; Parvez, M.Z. CoroDet: A deep learning based classification for COVID-19 detection using chest X-ray images. Chaos Solitons Fractals 2020, 142, 110495. [Google Scholar] [CrossRef]
- Horry, M.J.; Chakraborty, S.; Paul, M.; Ulhaq, A.; Pradhan, B.; Saha, M.; Shukla, N. COVID-19 Detection Through Transfer Learning Using Multimodal Imaging Data. IEEE Access 2020, 8, 149808–149824. [Google Scholar] [CrossRef]
- Khan, A.I.; Shah, J.L.; Bhat, M.M. CoroNet: A deep neural network for detection and diagnosis of COVID-19 from chest x-ray images. Comput. Methods Programs Biomed. 2020, 196, 105581. [Google Scholar] [CrossRef] [PubMed]
- Nafisah, S.I.; Muhammad, G. Tuberculosis detection in chest radiograph using convolutional neural network architecture and explainable artificial intelligence. Neural Comput. Appl. 2022, 1–21. [Google Scholar] [CrossRef] [PubMed]
- Vaid, S.; Kalantar, R.; Bhandari, M. Deep learning COVID-19 detection bias: Accuracy through artificial intelligence. Int. Orthop. 2020, 44, 1539–1542. [Google Scholar] [CrossRef]
- Bakare, O.O.; Fadaka, A.O.; Klein, A.; Keyster, M.; Pretorius, A. Diagnostic approaches of pneumonia for commercial-scale biomedical applications: An overview. All Life 2020, 13, 532–547. [Google Scholar] [CrossRef]
- Albahli, S. Efficient GAN-based Chest Radiographs (CXR) augmentation to diagnose coronavirus disease pneumonia. Int. J. Med. Sci. 2020, 17, 1439–1448. [Google Scholar] [CrossRef] [PubMed]
- Alshehri, F.; Muhammad, G. A Comprehensive Survey of the Internet of Things (IoT) and AI-Based Smart Healthcare. IEEE Access 2020, 9, 3660–3678. [Google Scholar] [CrossRef]
- Virkki, R.; Juven, T.; Rikalainen, H.; Svedström, E.; Mertsola, J.; Ruuskanen, O. Differentiation of bacterial and viral pneumonia in children. Thorax 2002, 57, 438–441. [Google Scholar] [CrossRef]
- Garg, M.; Prabhakar, N.; Gulati, A.; Agarwal, R.; Dhooria, S. Spectrum of imaging findings in pulmonary infections. Part 1: Bacterial and viral. Pol. J. Radiol. 2019, 84, e205–e213. [Google Scholar] [CrossRef]
- Muhammad, G.; Alshehri, F.; Karray, F.; El Saddik, A.; Alsulaiman, M.; Falk, T.H. A comprehensive survey on multimodal medical signals fusion for smart healthcare systems. Inf. Fusion 2021, 76, 355–375. [Google Scholar] [CrossRef]
- Siddiqui, S.; Arifeen, M.; Hopgood, A.; Good, A.; Gegov, A.; Hossain, E.; Rahman, W.; Hossain, S.; Al Jannat, S.; Ferdous, R.; et al. Deep Learning Models for the Diagnosis and Screening of COVID-19: A Systematic Review. SN Comput. Sci. 2022, 3, 1–22. [Google Scholar] [CrossRef]
- Vaswani, A.; Shazeer, N.; Parmar, N.; Uszkoreit, J.; Jones, L.; Gomez, A.N.; Kaiser, Ł.; Polosukhin, I. Attention Is All You Need. Adv. Neural Inf. Process. Syst. 2017, 30, 1–15. [Google Scholar]
- Cuenat, S.; Couturier, R. Convolutional Neural Network (CNN) vs Vision Transformer (ViT) for Digital Holography. In Proceedings of the 2022 2nd International Conference on Computer, Control and Robotics (ICCCR), Shanghai, China, 18–20 March 2022; pp. 235–240. [Google Scholar] [CrossRef]
- Lu, K.; Xu, Y.; Yang, Y. Comparison of the potential between transformer and CNN in image classification. In Proceedings of the ICMLCA 2021 2nd International Conference on Machine Learning and Computer Application, Shenyang, China, 17–19 December 2021. [Google Scholar]
- Dosovitskiy, A.; Beyer, L.; Kolesnikov, A.; Weissenborn, D.; Zhai, X.; Unterthiner, T.; Dehghani, M.; Minderer, M.; Heigold, G.; Gelly, S. An Image is Worth 16x16 Words: Transformers for Image Recognition at Scale. arXiv 2021, arXiv:2010.11929v2. [Google Scholar]
- Russakovsky, O.; Deng, J.; Su, H.; Krause, J.; Satheesh, S.; Ma, S.; Huang, Z.; Karpathy, A.; Khosla, A.; Bernstein, M.; et al. ImageNet Large Scale Visual Recognition Challenge. Int. J. Comput. Vis. 2015, 115, 211–252. [Google Scholar] [CrossRef]
- Xie, J.; Zeng, R.; Wang, Q.; Zhou, Z.; Li, P. SoT: Delving Deeper into Classification Head for Transformer. arXiv 2021, arXiv:2104.10935. [Google Scholar]
- Deng, J.; Dong, W.; Socher, R.; Li, L.J.; Li, K.; Fei-Fei, L. ImageNet: A large-scale hierarchical image database. In Proceedings of the 2009 IEEE Conference on Computer Vision and Pattern Recognition, Miami, FL, USA, 20–25 June 2009. [Google Scholar]
- Barragán-Montero, A.; Javaid, U.; Valdés, G.; Nguyen, D.; Desbordes, P.; Macq, B.; Willems, S.; Vandewinckele, L.; Holmström, M.; Löfman, F. Artificial intelligence and machine learning for medical imaging: A technology review. Phys. Med. 2021, 83, 242–256. [Google Scholar] [CrossRef] [PubMed]
- Samuel, A.L. Some Studies in Machine Learning Using the Game of Checkers. IBM J. Res. Dev. 1959, 3, 210–229. [Google Scholar] [CrossRef]
- Sedik, A.; Iliyasu, A.M.; Abd El-Rahiem, B.; Abdel Samea, M.E.; Abdel-Raheem, A.; Hammad, M.; Peng, J.; Abd El-Samie, F.E.; Abd El-Latif, A.A. Deploying Machine and Deep Learning Models for Efficient Data-Augmented Detection of COVID-19 Infections. Viruses 2020, 12, 769. [Google Scholar] [CrossRef]
- Alam, N.A.; Ahsan, M.; Based, A.; Haider, J.; Kowalski, M. COVID-19 Detection from Chest X-Ray Images Using Feature Fusion and Deep Learning. Sensors 2021, 21, 1480. [Google Scholar] [CrossRef]
- Xie, E.; Wang, W.; Yu, Z.; Anandkumar, A.; Alvarez, J.M.; Luo, P. SegFormer: Simple and Efficient Design for Semantic Segmentation with Transformers. In Proceedings of the 35th Conference on Neural Information Processing Systems (NeurIPS 2021), Virtual, 6–14 December 2021. [Google Scholar]
- Liu, Z.; Lin, Y.; Cao, Y.; Hu, H.; Wei, Y.; Zhang, Z.; Lin, S.; Guo, B. Swin Transformer: Hierarchical Vision Transformer Using Shifted Windows. In Proceedings of the IEEE/CVF International Conference on Computer Vision, Montreal, QC, Canada, 10–17 October 2021. [Google Scholar]
- Chu, X.; Tian, Z.; Wang, Y.; Zhang, B.; Ren, H.; Wei, X.; Xia, H.; Shen, C. Twins: Revisiting the Design of Spatial Attention in Vision Transformers. In Proceedings of the Thirty-Fifth Conference on Neural Information Processing Systems (NeurIPS 2021), Virtual, 7 December 2021. [Google Scholar]
- Tahir, A.M.; Chowdhury, M.E.; Khandakar, A.; Rahman, T.; Qiblawey, Y.; Khurshid, U.; Kiranyaz, S.; Ibtehaz, N.; Rahman, M.S.; Al-Maadeed, S.; et al. COVID-19 infection localization and severity grading from chest X-ray images. Comput. Biol. Med. 2021, 139, 105002. [Google Scholar] [CrossRef]
- Sakib, S.; Tazrin, T.; Fouda, M.M.; Fadlullah, Z.M.; Guizani, M. DL-CRC: Deep Learning-Based Chest Radiograph Classification for COVID-19 Detection: A Novel Approach. IEEE Access 2020, 8, 171575–171589. [Google Scholar] [CrossRef]
- Sahoo, P.; Saha, S.; Mondal, S.; Gowda, S. Vision Transformer Based COVID-19 Detection Using Chest CT-scan images. In Proceedings of the 2022 IEEE-EMBS International Conference on Biomedical and Health Informatics (BHI), Ioannina, Greece, 27–30 September 2022. [Google Scholar]
- Ronneberger, O.; Fischer, P.; Brox, T. U-Net: Convolutional Networks for Biomedical Image Segmentation. In Medical Image Computing and Computer-Assisted Intervention (MICCAI); Springer: Berlin/Heidelberg, Germany, 2015; Volume 9351, pp. 234–241. [Google Scholar]
- Van der Maaten, L.; Hinton, G. Visualizing Data using t-SNE. J. Mach. Learn. Res. 2008, 9, 2579–2605. [Google Scholar]
- Oliveira, F.H.M.; Machado, A.R.P.; Andrade, A.O. On the Use of t-Distributed Stochastic Neighbor Embedding for Data Visualization and Classification of Individuals with Parkinson’s Disease. Comput. Math. Methods Med. 2018, 2018, 1–17. [Google Scholar] [CrossRef] [PubMed]
- Selvaraju, R.R.; Cogswell, M.; Das, A.; Vedantam, R.; Parikh, D.; Batra, D. Grad-CAM: Visual Explanations from Deep Networks via Gradient-Based Localization. In Proceedings of the 2017 IEEE International Conference on Computer Vision (ICCV), Venice, Italy, 22–29 October 2017. [Google Scholar]
- He, K.; Zhang, X.; Ren, S.; Sun, J. Deep residual learning for image recognition. arXiv 2015, arXiv:1512.03385. [Google Scholar]
- Howard, A.G.; Zhu, M.; Chen, B.; Kalenichenko, D.; Wang, W.; Weyand, T.; Andreetto, M.; Adam, H. MobileNets: Efficient Convolutional Neural Networks for Mobile Vision Applications. arXiv 2017, arXiv:1704.04861. [Google Scholar]
- Tan, M.; Le, Q. EfficientNet: Rethinking Model Scaling for Convolutional Neural Networks. In Proceedings of the 36th International Conference on Machine Learning, PMLR, Long Beach, CA, USA, 9–15 June 2019. [Google Scholar]
- El-Dahshan, E.S.A.; Bassiouni, M.M.; Hagag, A.; Chakrabortty, R.K.; Loh, H.; Acharya, U.R. RESCOVIDTCNnet: A residual neural network-based framework for COVID-19 detection using TCN and EWT with chest X-ray images. Expert Syst. Appl. 2022, 204, 117410. [Google Scholar] [CrossRef]
- Jiang, J.; Lin, S. COVID-19 Detection in Chest X-ray Images Using Swin-Transformer and Transformer in Transformer. arXiv 2021, arXiv:2110.08427. [Google Scholar]
- Laouarem, A.; Kara-Mohamed, C.; Bourenane, E.B.; Hamdi-Cherif, A. A deep learning model for CXR-based COVID-19 detection. In Proceedings of the 2021 International Conference on Engineering and Emerging Technologies (ICEET), Istanbul, Turkey, 27–28 October 2021. [Google Scholar]
- Toğaçar, M.; Ergen, B.; Cömert, Z. COVID-19 detection using deep learning models to exploit Social Mimic Optimization and structured chest X-ray images using fuzzy color and stacking approaches. Comput. Biol. Med. 2020, 121, 103805. [Google Scholar] [CrossRef]
- Salman, F.M.; Abu-Naser, S.S.; Alajrami, E.; Abu-Nasser, B.S.; Alashqar, B.A. COVID-19 Detection using Artificial Intelligence. Int. J. Acad. Eng. Res. 2020, 4, 18–25. [Google Scholar]
- Wang, X.; Deng, X.; Fu, Q.; Zhou, Q.; Feng, J.; Ma, H.; Liu, W.; Zheng, C. A Weakly-Supervised Framework for COVID-19 Classification and Lesion Localization from Chest CT. IEEE Trans. Med. Imaging 2020, 39, 2615–2625. [Google Scholar] [CrossRef] [PubMed]









| Case | COVID-19 | Viral Pneumonia | Normal |
|---|---|---|---|
| Unbalanced | 3616 | 7357 | 10,192 |
| Balanced | 3616 | 3616 | 3616 |
| Information | ResNet-50 | MobileNet | EfficientNetB7 |
|---|---|---|---|
| Input size | 224 × 224 | 224 × 224 | 224 × 224 |
| Parameters | 60.4 M | 4.3 M | 66.7 M |
| Year published | 2015 | 2017 | 2019 |
| Size (MB) | 232 | 16 | 256 |
| Depth | 311 | 55 | 438 |
| Layers number | 150 | 28 | 813 |
| Information | Twins [35] | Swin [34] | Segformer [33] |
|---|---|---|---|
| Input size | 800 × 800 | 800 × 800 | 512 × 512 |
| Year published | Aug-2021 | Sep-2021 | Oct-2021 |
| Input Channel | Any | 3-RBG | Any |
| Patch Size | Based on Function | 4 × 4 | 7 × 7 |
| Block Name | LSA and GSA blocks | Swin Transformer block | Transformer block |
| Number of Block | 4 | 4 | 4 |
| Windows | Shifted local | Non-overlapping | Multi-size |
| # | Information | Values/Method |
|---|---|---|
| 1 | Training images | 400 |
| 2 | Testing Images | 18,479 |
| 3 | Input Image size | 512 × 512 |
| 4 | Optimizer | Adam |
| 5 | Training time | 05:13:15 |
| 6 | Learning rate | 0.001 |
| 7 | Epochs | 5 |
| 8 | Epochs per step | 400 |
| 9 | Testing time | 02:18:12 |
| 10 | Training accuracy | 96.17% |
| 11 | Loss | 0.1245 |
| 12 | Total params | 30,789,145 |
| 13 | Trainable params | 30,777,522 |
| 14 | Non-trainable params | 11,623 |
| # | Information | Detail | Notes |
|---|---|---|---|
| 1 | Number of images | 21,165 | 3 Classes |
| 2 | Number of cropped images | 21,165 | After applying ROI |
| 3 | Augmentation | Rotation | 9 different angles |
| 4 | Normalized | Yes | (Dataset)/255 |
| 5 | Dropout | Yes | 0.25 |
| 6 | Number of Epochs | 300 | 300 iterations. |
| 7 | Optimizer | Adam | |
| 8 | Learning Rate | 0.0001 | |
| 9 | COVID-19 | 3616 | |
| 10 | Pneumonia | 7357 | |
| 11 | Healthy | 10,192 | |
| 12 | Unbalanced Case | Total Images | 21,165 |
| 13 | 80% Training | 16,932 | |
| 14 | 20% Testing | 4233 | |
| 15 | COVID-19 | 3616 | |
| 16 | Pneumonia | 3616 | |
| 17 | Balanced Case | Healthy | 3616 |
| 18 | Total Images | 10,848 | |
| 19 | 80% Training | 8679 | |
| 20 | 20% Testing | 2169, Each class 723 | |
| 21 | Data Shuffle | True | activate |
| Schema | Case | Models | Average (%) | |||||
|---|---|---|---|---|---|---|---|---|
| Accuracy | Recall | Precision | F1-Score | Specificity | Kappa Value | |||
| Without Segmentation Without Augmentation | Unbalanced CNN | ResNet50 | 78.87 | 84.61 | 78.57 | 81.48 | 71.87 | 56.96 |
| MobileNet | 81.10 | 85.94 | 78.57 | 82.09 | 76.19 | 62.17 | ||
| EfficientNetB | 87.00 | 92.80 | 82.85 | 87.54 | 81.39 | 74.10 | ||
| Unbalanced ViT | Swin | 64.56 | 72.22 | 56.52 | 63.41 | 58.89 | 30.03 | |
| Twins | 78.73 | 82.09 | 78.57 | 80.29 | 75.00 | 57.00 | ||
| SegFormer | 86.53 | 90.62 | 83.93 | 87.15 | 82.38 | 73.05 | ||
| Balanced CNN | ResNet50 | 82.98 | 89.02 | 89.07 | 89.05 | 61.98 | 50.96 | |
| MobileNet | 85.38 | 90.00 | 91.07 | 90.53 | 69.32 | 58.47 | ||
| EfficientNetB | 93.13 | 96.87 | 93.82 | 95.33 | 83.33 | 82.37 | ||
| Balanced ViT | Swin | 84.55 | 89.02 | 90.90 | 89.95 | 69.00 | 56.57 | |
| Twins | 87.13 | 94.96 | 88.16 | 91.44 | 66.67 | 65.72 | ||
| SegFormer | 94.51 | 97.50 | 95.00 | 9623 | 86.89 | 86.15 | ||
| Schema | Case | Models | Average (%) | |||||
|---|---|---|---|---|---|---|---|---|
| Accuracy | Recall | Precision | F1-Score | Specificity | Kappa Value | |||
| With Segmentation With Augmentation | Unbalanced CNN | ResNet50 | 92.91 | 95.65 | 91.66 | 93.62 | 89.65 | 85.66 |
| MobileNet | 95.27 | 95.04 | 96.64 | 95.83 | 95.59 | 90.38 | ||
| EfficientNetB | 98.11 | 99.19 | 97.61 | 98.40 | 96.60 | 96.10 | ||
| Unbalanced ViT | Swin | 92.60 | 95.62 | 91.04 | 93.28 | 88.96 | 84.99 | |
| Twins | 95.98 | 96.28 | 96.68 | 96.48 | 95.59 | 91.80 | ||
| SegFormer | 97.64 | 99.12 | 96.82 | 97.97 | 95.51 | 95.13 | ||
| Balanced CNN | ResNet50 | 98.94 | 98.90 | 97.95 | 98.42 | 98.96 | 97.63 | |
| MobileNet | 99.20 | 99.20 | 98.34 | 98.75 | 99.17 | 98.13 | ||
| EfficientNetB | 99.82 | 99.72 | 99.72 | 99.72 | 99.86 | 99.59 | ||
| Balanced ViT | Swin | 98.20 | 97.43 | 97.30 | 97.36 | 98.60 | 96.00 | |
| Twins | 99.63 | 99.72 | 99.17 | 99.45 | 99.59 | 99.17 | ||
| SegFormer | 99.81 | 99.86 | 99.58 | 99.72 | 99.79 | 99.58 | ||
| Work | Year | Image Number | Dataset | Method | Results |
|---|---|---|---|---|---|
| Mesut, et al. [49] | 2020 | 458: Three classes. | University of Montreal and Joseph Paul Cohen dataset accessible publicly. CXR | (CNNs): MobileNetV2 | Overall Accuracy 99.27%. |
| Fatima, et al. [50] | 2020 | 260: Two classes. | University of Montreal and Kaggle repository accessible publicly. CXR | (CNNs): VGG16 ResNet50 InceptionV3 | Accuracy, Sensitivity 100% |
| Sadman et al. [37] | 2020 | 33,231: Three classes. | GitHub for COVID-19 X-rays, Stanford ML group, accessible publicly. CXR and CT. | (CNNs): proposed DL-CRC InceptionV3 ResNet DenseNet | Accuracy 98.83% |
| Xinggang, et al. [51] | 2020 | Two classes. | CT | (CNNs): DeCoVNet | Accuracy 90.80% |
| Luca, et al. [9] | 2020 | 6523: Three classes. | COVID-19 image data collection, National Institutes of Health Chest X-Ray. CXR accessible publicly | (CNNs): proposed model | Accuracy 98% |
| Micheal, et al. [11] | 2020 | 5840 CXR | From multiple resources. | (CNNs): VGG16 VGG19 ResNet Xception InceptionV3 | positive predictive value of 99% |
| Shashank, et al. [14] | 2020 | 364 CXR | collected from a collection of recently published papers accessible publicly. CXR | (CNNs): Modified VGG-19 | Accuracy 96.3% |
| Ahmed Sedik, et al. [31] | 2020 | Limited number of CXR and CT with rotation | Publicly available datasets. CXR, CT. | (CNNs): proposed model | Accuracy 99% |
| Alam et al. [32] | 2021 | 21165CXR: Three classes. | large X-ray dataset (COVQU) accessible publicly. | (CNNs): Resnet18 Resnet50 ResNet101 DenseNet201 Inceptionresnet V3 | Accuracy 96.29% |
| Jiang, J et al. [47] | 2021 | 21165CXR: Three classes. | large X-ray dataset (COVQU) accessible publicly. | (ViT): Swin | Accuracy 94.48% |
| El-Dahshan et al. [46] | 2021 | 21165CXR: Three classes. | large X-ray dataset (COVQU) accessible publicly. | (CNNs): ResNet with TCN and EWT | Precision 0.984 |
| Laouarem, A, et al. [48] | 2022 | 21165CXR: Three classes. | large X-ray dataset (COVQU) accessible publicly. | (CNNs): Proposed Model | Accuracy 97% |
| This Study | 2021 | 21165CXR: Three classes. | large X-ray dataset (COVQU) accessible publicly. | CNNs 98.94%, 99.20%, 99.82% ViT 98.20% 99.63% 99.81% |
Disclaimer/Publisher’s Note: The statements, opinions and data contained in all publications are solely those of the individual author(s) and contributor(s) and not of MDPI and/or the editor(s). MDPI and/or the editor(s) disclaim responsibility for any injury to people or property resulting from any ideas, methods, instructions or products referred to in the content. |
© 2023 by the authors. Licensee MDPI, Basel, Switzerland. This article is an open access article distributed under the terms and conditions of the Creative Commons Attribution (CC BY) license (https://creativecommons.org/licenses/by/4.0/).
Share and Cite
Nafisah, S.I.; Muhammad, G.; Hossain, M.S.; AlQahtani, S.A. A Comparative Evaluation between Convolutional Neural Networks and Vision Transformers for COVID-19 Detection. Mathematics 2023, 11, 1489. https://doi.org/10.3390/math11061489
Nafisah SI, Muhammad G, Hossain MS, AlQahtani SA. A Comparative Evaluation between Convolutional Neural Networks and Vision Transformers for COVID-19 Detection. Mathematics. 2023; 11(6):1489. https://doi.org/10.3390/math11061489
Chicago/Turabian StyleNafisah, Saad I., Ghulam Muhammad, M. Shamim Hossain, and Salman A. AlQahtani. 2023. "A Comparative Evaluation between Convolutional Neural Networks and Vision Transformers for COVID-19 Detection" Mathematics 11, no. 6: 1489. https://doi.org/10.3390/math11061489
APA StyleNafisah, S. I., Muhammad, G., Hossain, M. S., & AlQahtani, S. A. (2023). A Comparative Evaluation between Convolutional Neural Networks and Vision Transformers for COVID-19 Detection. Mathematics, 11(6), 1489. https://doi.org/10.3390/math11061489

