Next Article in Journal
Development of Bi-Objective Fuzzy Data Envelopment Analysis Model to Measure the Efficiencies of Decision-Making Units
Previous Article in Journal
Quantum Advantages of Teleportation and Dense Coding Protocols in an Open System
 
 
Font Type:
Arial Georgia Verdana
Font Size:
Aa Aa Aa
Line Spacing:
Column Width:
Background:
Article

Phase-Space Analysis of an Einstein–Gauss–Bonnet Scalar Field Cosmology

by
Alfredo D. Millano
1,
Genly Leon
1,2,* and
Andronikos Paliathanasis
1,2
1
Departamento de Matemáticas, Universidad Católica del Norte, Avda. Angamos 0610, Casilla 1280, Antofagasta 1270709, Chile
2
Institute of Systems Science, Durban University of Technology, P.O. Box 1334, Durban 4000, South Africa
*
Author to whom correspondence should be addressed.
Mathematics 2023, 11(6), 1408; https://doi.org/10.3390/math11061408
Submission received: 18 February 2023 / Revised: 10 March 2023 / Accepted: 13 March 2023 / Published: 14 March 2023
(This article belongs to the Special Issue Applied Mathematics for Cosmology and Gravitation)

Abstract

We perform a detailed study of the phase-space of the field equations of an Einstein–Gauss–Bonnet scalar field cosmology for a spatially flat Friedmann–Lemaître–Robertson–Walker spacetime. For the scalar field potential, we consider the exponential function. In contrast, we assume two cases for the coupling function of the scalar field with the Gauss–Bonnet term: the exponential function and the power–law function. We write the field equations in dimensionless variables and study the equilibrium points using normalized and compactified variables. We recover previous results, but also find new asymptotic solutions not previously studied. Finally, these couplings provide a rich cosmological phenomenology.

1. Introduction

The analysis of the cosmological observations suggests that our Universe, on large scales, is isotropic and homogeneous, as described by the four-dimensional Friedmann–Lemaître–Robertson–Walker (FLRW) geometry. The primary theoretical mechanism proposed to explain the observations is the so-called cosmic inflation [1,2], which solves the flatness and homogeneity problems [3,4].
In the context of Einstein’s General Relativity, inflation is described by a scalar field, known as “inflaton”. Specifically, the inflationary mechanism introduces a scalar field in the cosmic fluid, and the cosmic expansion appears when the scalar field potential dominates to drive the dynamics [5,6,7,8,9]. The additional degrees of freedom the scalar field provides can describe higher-order geometric invariants introduced in the Einstein–Hilbert Action. Indeed, in the Starobinsky model for inflation [10] inspired by field theory, a quadratic term of the Ricci scalar has been introduced to modify the Einstein–Hilbert Action. The higher-order derivatives are attributed by a scalar field which can provide an inflationary epoch, see also the recent studies [11,12].
Furthermore, at present, the Universe is under a second acceleration phase [13], attributed to an exotic matter source with negative pressure known as dark energy. The nature of the dark energy is unknown. The two acceleration phases of the Universe challenge the theory of General Relativity, and cosmologists have proposed various modified and alternative theories of gravity in the last decades [14,15,16,17,18], including stringy inspired theories [19,20,21,22,23].
General Relativity’s main characteristic is a second-order theory of gravity. Moreover, according to Lovelock’s theorem, General Relativity is the unique second-order gravitational theory in the four dimensions where the field equations are generated from an Action Integral [24]. However, General Relativity is only a case of Lovelock gravity in higher dimensions. The latter is a second-order theory of gravity in higher dimensions where higher-order invariants are introduced in the gravitational Action Integral [25,26]. The Gauss–Bonnet invariant is the only invariant derived by the Riemann tensor quadratic products that does not introduce any terms with higher-order derivatives into the field equations [25]. Conversely, in the case of four dimensions, the Gauss–Bonnet invariant is a topological invariant, a total derivative that, when introduced in the gravitational Lagrangian, does not affect the field equations. The Einstein–Gauss–Bonnet theory is the most straightforward extension of Einstein’s General Relativity and belongs to Lovelock’s theories.
The Einstein Gauss-Bonnet terms have been widely studied in higher-order theories of gravity (see, for instance [27,28,29,30,31,32,33,34,35,36,37,38,39,40,41,42,43,44,45,46,47,48,49] and references therein). In particular, quintessence in five-dimensional Einstein–Gauss–Bonnet black holes was examined in [28], anisotropic stars in Einstein–Gauss–Bonnet theory were examined in [29,30,31,32,33,34], wormholes in 4D Einstein–Gauss–Bonnet in [35], black holes in 4D Einstein–Gauss–Bonnet gravity, and the thermodynamics were considered in [36,37,38]. Quasinormal modes of the Dirac field in the consistent 4D Einstein–Gauss–Bonnet gravity were studied in [39]. Furthermore, the Gauss–Bonnet term can describe the quantum corrections to gravity, mainly related to the heterotic string [50]. An essential property of the Einstein–Gauss–Bonnet theory is that it is a ghost-free theory of gravity [51].
In the case of four dimensions, because the Gauss–Bonnet is a topological invariant, it can be introduced in gravitational Action Integral only with modifications. Indeed, there is a family of theories known as f G theories of gravity, where nonlinear functions of the Gauss–Bonnet invariant are introduced in the Gravitational Integral [52,53,54]. Another attempt is to introduce a scalar field coupled to the Gauss–Bonnet invariant. In that case, an a coupling function exists between the Gauss–Bonnet term and the scalar field. The cosmological scenario we deal with in this work is the Einstein–Gauss–Bonnet scalar field theory [55]. The properties of astrophysical objects in this theory were the subject of various studies [16,56,57,58,59,60].
In cosmological studies, the four-dimensional Einstein–Gauss–Bonnet scalar field theory has been applied to describe various epochs of cosmological evolution. It has been found that the Gauss–Bonnet invariant and the coupling function introduce non-trivial effects on the early inflationary stage of the universe [61], and that a small transition exists to Einstein’s General Relativity at the end of the inflationary epoch. Some exact solutions describing cosmic inflation were derived in [62]. On the other hand, inflationary models with a Gauss–Bonnet term were constrained in the view of the GW170817 event in a series of studies [63,64,65,66], and the GW 190814 event [66,67,68,69]. In the presence of a nonzero spatial curvature for the background space, exact solutions in Einstein–Gauss–Bonnet scalar field theory were derived before in [70]. It was found that the quadratic coupling function of the scalar field to the Gauss–Bonnet term is essential because the singularity-free theory provides inflationary solutions.
In [71], the dynamics of the cosmological field equations were investigated for the four-dimensional Einstein–Gauss–Bonnet scalar field theory, where the authors have assumed that the Hubble function is that of a scaling solution; however, in [72], the most general case was studied, and the equilibrium points of the field equations were investigated. The analysis in [72] shows that the only equilibrium points where the Gauss–Bonnet term contributes to the cosmological fluids are that of the de Sitter universe. However, as we shall show in this research, additional equilibrium points exist that describe scaling solutions to which the Gauss–Bonnet term contributes. These points have the equation of state p = ρ / 3 , interpreted as the equation of state of cosmic strings ( ρ string ( a ) a / a 3 = a 2 ), where ρ string = i N λ L i / V , N is the number of strings in our cosmic horizon, λ is the linear density of the strings, and L i is the length of each string). Cosmic strings have the effect that they do not contribute to the “non-inertial” expansion of the Universe. Similarly, for other topological defects such as domain walls, ρ = i N σ A i / V , where the surface tension of the wall is σ , with superficial area A i a 2 , we have p = 2 / 3 ρ , which leads to an accelerated expansion of the Universe [73,74]. In particular, we perform a detailed analysis of the phase for the cosmological field equations in the Einstein–Gauss–Bonnet scalar field theory to understand the evolution of the cosmological parameters. Such analysis provides essential information about the significant cosmological eras provided by the theory. Simultaneously, important conclusions about the viability of the theory can be made. It is desirable to have complete cosmological dynamics [75]; namely, it should describe an early radiation-dominated era, later entering into an epoch of mater domination, and finally reproducing the present speed-up of the Universe. In the dynamical systems language, complete cosmological dynamics can be understood as an orbit connecting a past attractor, also called a source, with a late-time attractor, also called a sink, that passes through some saddle points, such that radiation precedes matter domination. These are often the extreme points of the orbits; therefore, they describe asymptotic behavior. Some solutions interpolating between critical points can provide information on the intermediate stages of the evolution, with interest in orbits corresponding to a specific cosmological history [76,77,78,79].
The paper is organized as follows. In Section 2, we present the gravitational Action integral for the Einstein–Gauss–Bonnet scalar field theory in a four-dimensional, spatially flat FLRW geometry. We present the field equations where we observe that they depend on two functions, the scalar field potential V ( ϕ ) , selected as the exponential function V ϕ = V 0 e λ ϕ , and the coupling function f ( ϕ ) of the scalar field with the Gauss–Bonnet scalar. Moreover, the scalar field can be a quintessence or a phantom field. We perform a global analysis of the field equations’ phase space to reconstruct the cosmological parameters’ evolution. In Section 3, we study the equilibrium points for linear function f ( ϕ ) = f 0 ϕ , while in Section 4, we perform the same analysis for the exponential function f ( ϕ ) = f 0 e ζ ϕ . In Section 3.1 and Section 3.2 for the linear case, and in Section 4.1 and Section 4.2 for the exponential one, we obtain additional equilibrium points in the finite region as compared with the analysis in [72]. Those new points describe scaling solutions to which the Gauss–Bonnet term contributes, which differ from de Sitter points. Section 3.3 and Section 4.3 are devoted to the analysis at infinity for the linear and exponential functions, respectively, where the equilibrium points dominated by Gauss–Bonnet terms are also present. Finally, Section 5 discusses our results and presents our conclusions.

2. Einstein–Gauss–Bonnet Scalar Field 4D Cosmology

The gravitational Action Integral for the Einstein–Gauss–Bonnet scalar field theory of gravity in a four-dimensional Riemannian manifold with the metric tensor g μ ν is defined as follows
S = d 4 x g R 2 ε 2 g μ ν ϕ ; μ ϕ ; ν V ϕ f ϕ G ,
where R is the Ricci scalar of the metric tensor, ϕ is the scalar field, V ϕ the scalar field potential, and G is the Gauss–Bonnet term
G = R 2 4 R μ ν R μ ν + R μ ν κ λ R μ ν κ λ .
Function f ϕ is the coupling function between the scalar field and the Gauss–Bonnet term, and ε = ± 1 indicates if the scalar field ϕ is quintessence ε = + 1 or phantom ε = 1 . In the case where f ϕ is a constant function, the gravitational Action Integral (1) reduces to that of General Relativity with a minimally coupled scalar field.
On very large scales, the universe is considered isotropic and homogeneous. The FLRW metric tensor describes the physical space with line element
d s 2 = d t 2 + a 2 t d r 2 + r 2 d θ 2 + sin 2 θ d φ 2 .
The three-dimensional surface is a maximally symmetric space and admits six isometries. Moreover, we assume that the scalar field inherits the symmetries of the background space, which means that ϕ = ϕ t .
For the line element (3), the Ricci scalar is derived
R = 6 2 H 2 + H ˙ ,
where a dot means derivative with respect to t, H ˙ = d H d t and H = d d t ln a is the Hubble function. Moreover, the Gauss–Bonnet term is calculated as
G = 24 H 2 H ˙ + H 2 .
By replacing the latter in the Action Integral (1) and by integrating by parts, we end with the point-like Lagrangian function
L a , a ˙ , ϕ , ϕ ˙ = 3 a a ˙ 2 + ε 2 a 3 ϕ ˙ 2 + 8 a ˙ 3 f , ϕ ϕ ˙ a 3 V ϕ ,
while the field equations are
48 H 3 ϕ ˙ f ( ϕ ) + 6 H 2 2 V ( ϕ ) ϵ ϕ ˙ 2 = 0 ,
16 H H ˙ ϕ ˙ f ( ϕ ) 16 H 3 ϕ ˙ f ( ϕ ) V ( ϕ ) + 1 2 ϵ ϕ ˙ 2 + H 2 8 ϕ ˙ 2 f ( ϕ ) 8 ϕ ¨ f ( ϕ ) + 3 + 2 H ˙ = 0 ,
3 H 8 H H ˙ + H 2 f ( ϕ ) ϵ ϕ ˙ V ( ϕ ) ϵ ϕ ¨ = 0 ,
where the comma means derivative with respect to the argument of the function.
The effective density and pressure of the scalar field are given by
ρ ϕ = 1 2 ϕ ˙ 48 H 3 f ( ϕ ) + ϵ ϕ ˙ + V ( ϕ ) , p ϕ = 8 H 2 f ( ϕ ) V ( ϕ ) 8 ϵ H ϕ ˙ f ( ϕ ) + 96 H 4 f ( ϕ ) 2 + ϵ ϵ V ( ϕ ) 8 ϵ H ϕ ˙ f ( ϕ ) + 96 H 4 f ( ϕ ) 2 + ϵ
+ 192 H 6 f ( ϕ ) 2 + ϵ ϕ ˙ 16 H 2 ϕ ˙ f ( ϕ ) 4 H f ( ϕ ) ϵ ϕ ˙ 16 ϵ H ϕ ˙ f ( ϕ ) 2 96 H 4 f ( ϕ ) 2 + ϵ .
And we also define the effective equation of state (EoS)
ω ϕ = p ϕ ρ ϕ .
In the following, we shall perform a detailed analysis of the phase-space for the exponential scalar field potential V ϕ = V 0 e λ ϕ and for two coupling functions f ϕ , the linear f ϕ = f 0 ϕ and the exponential f , ϕ ϕ = ζ f , ϕ , where f 0 and ζ are constants.

3. Phase-Space Analysis for Linear f : f ( ϕ ) = f 0 ϕ

The field equations for the linear coupling function f ( ϕ ) = f 0 ϕ read
48 f 0 H 3 ϕ ˙ + 6 H 2 2 V ( ϕ ) ϵ ϕ ˙ 2 = 0
16 f 0 H H ˙ ϕ ˙ + H 2 3 8 f 0 ϕ ¨ 16 f 0 H 3 ϕ ˙ + 2 H ˙ V ( ϕ ) + 1 2 ϵ ϕ ˙ 2 = 0
3 H 8 f 0 H H ˙ + H 2 + ϵ ϕ ˙ V ( ϕ ) ϵ ϕ ¨ = 0
In order to study the phase space, we introduce the following normalized variables
x = ϕ ˙ 1 + H 2 , y = V ( ϕ ) 1 + H 2 , η = H 1 + H 2 .
With these definitions, the first modified Friedmann equation is written in the algebraic form
48 f 0 η 3 x + ϵ η 2 1 x 2 + 2 η 2 1 y 2 3 η 2 = 0 .
Moreover, the rest of the field equations are described by the following system of first-order ordinary differential equations
d x d τ = 1 K ( x , y , η , f 0 , ϵ ) [ 6 x η 64 f 0 2 + ϵ η 6 4 ϵ η 4 + 5 ϵ η 2 2 ϵ 48 f 0 η 4 η 2 1 8 f 0 ϵ η 2 2 η 4 + 13 η 2 15 x 2 + η 2 1 2 x 3 η 2 η 2 1 y 2 2 ( λ 12 f 0 ) η 2 + η x 16 f 0 λ + η 2 ( 8 f 0 λ + ϵ ) ϵ 2 λ ] ,
d y d τ = y K ( x , y , η , f 0 , ϵ ) [ 6 η 3 64 f 0 2 + ϵ η 4 2 ϵ η 2 + ϵ 16 f 0 ϵ η 2 1 η 4 x 2 η η 2 1 y 2 η 2 ( 8 f 0 λ + ϵ ) ϵ + η η 2 1 2 x 2 + 2 λ x ] ,
d η d τ = 1 K ( x , y , η , f 0 , ϵ ) [ 6 η 2 η 2 1 64 f 0 2 + ϵ η 4 2 ϵ η 2 + ϵ 16 f 0 ϵ η 2 1 2 η 3 x 2 η 2 1 2 y 2 η 2 ( 8 f 0 λ + ϵ ) ϵ + η 2 1 3 x 2 ] .
We define the function K ( x , y , η , f 0 , ϵ ) = 4 96 f 0 2 + ϵ η 4 + 8 f 0 ϵ η 2 1 η x 2 ϵ η 2 + ϵ , and introduce the time derivative d f / d τ = 1 / 1 + H 2 d f / d t .
Since y > 0 , we can solve Equation (16) for y and reduce the dimension of the system; the expression for y is
y = η 2 1 x 2 ϵ 6 η 2 8 f 0 η x + η 2 1 2 ( 1 η 2 ) ,
The dynamics of the model with linear f and ϵ = ± 1 is given by
d x d τ = 1 K ( x , y , η , f 0 , ϵ ) [ 384 f 0 2 η 2 + 3 η 5 x + 96 f 0 η 2 1 η 4 16 f 0 4 η 4 + 5 η 2 9 η 2 x 2 ϵ + η 2 1 2 x 3 ϵ 2 + 1 η 12 η 2 1 2 x η ϵ 2 λ 4 f 0 η 2 + 2 η x + η 2 1 48 f 0 η 3 x + 6 η 4 η 2 x 2 ϵ + 6 + x 2 ϵ ] , d η d τ = 1 K ( x , y , η , f 0 , ϵ ) [ 48 f 0 η 2 1 η 4 η 2 ( 8 f 0 λ ) + λ + η 2 1 2 x 2 8 f 0 η 2 λ ϵ + η 2 1 ϵ 2 + 1
64 f 0 η 2 1 η 3 x 6 f 0 η 2 λ + η 2 1 ϵ ] .
The effective equation of state parameter (10) can be expressed in terms of x and η as
ω ϕ = η 4 ( 8 f 0 ( 4 f 0 + λ ) + ϵ ) 96 f 0 2 + ϵ η 4 + 8 f 0 ϵ η 2 1 η x 2 ϵ η 2 + ϵ + 8 f 0 η x η 2 ( 24 f 0 λ + 7 ϵ ) 7 ϵ + 6 η 2 ( 4 f 0 λ + ϵ ) 3 ϵ 3 96 f 0 2 + ϵ η 4 + 8 f 0 ϵ η 2 1 η x 2 ϵ η 2 + ϵ + ϵ η 2 1 x 2 η 2 ( 4 f 0 λ + ϵ ) ϵ 3 η 2 96 f 0 2 + ϵ η 4 + 8 f 0 ϵ η 2 1 η x 2 ϵ η 2 + ϵ ,
whereas the deceleration parameter, q = 1 H ˙ / H 2 , can be expressed as
q = ϵ η 2 1 x 2 48 f 0 η 3 x η 2 ( 4 f 0 λ + ϵ ) ϵ 2 η 2 96 f 0 2 + ϵ η 4 + 8 f 0 ϵ η 2 1 η x 2 ϵ η 2 + ϵ η 2 1 η 2 ( 12 f 0 λ + ϵ ) ϵ 96 f 0 2 + ϵ η 4 + 8 f 0 ϵ η 2 1 η x 2 ϵ η 2 + ϵ .

3.1. Dynamical System Analysis of 2D System for ϵ = 1

In this section, we perform the stability analysis for the equilibrium points of system (21) and (22) taking ϵ = 1 . The stability results and physical observables are summarized in Table 1.
The equilibrium points in the coordinates ( x , η ) are the following:
  • M = ( 0 , 0 ) , with eigenvalues { 0 , 0 } . The asymptotic solution is that of the Minkowski spacetime.
  • P 1 = ( 0 , 1 ) , with eigenvalues { 2 , 4 } . The asymptotic solution describes a universe dominated by the Gauss–Bonnet term with deceleration parameter q ( P 1 ) = 0 . This equilibrium point is a source.
  • P 2 = ( 0 , 1 ) , with eigenvalues { 2 , 4 } . This equilibrium point is a sink. The asymptotic solution is similar to that of point P 1 .
  • P 3 = ( 4 3 λ , 1 ) , with eigenvalues { 4 , 2 3 } . This equilibrium point is a sink. We derive that q ( P 3 ) = 0 . The asymptotic solution is similar to that of point P 1 .
  • P 4 = ( 4 3 λ , 1 ) , with eigenvalues { 4 , 2 3 } . This equilibrium point is a source. Moreover, for the deceleration parameter, it follows q ( P 4 ) = 0 . The asymptotic solution is similar to that of point P 1 .
  • P 5 = ( 0 , λ λ 8 f 0 ) , with eigenvalues λ 3 3 λ 2 + 2 51 λ 2 + 18 2 3 λ 2 + 2 λ 8 f 0 , λ 3 3 λ 2 + 2 + 51 λ 2 + 18 2 3 λ 2 + 2 λ 8 f 0 . The deceleration parameter is calculated q ( P 5 ) = 1 ; hence, the asymptotic solution describes the de Sitter universe. This equilibrium point is a saddle that exists for λ < 0 , λ 8 < f 0 or λ > 0 , f 0 < λ 8 .
  • P 6 = ( 0 , λ λ 8 f 0 ) , with eigenvalues λ 3 3 λ 2 + 2 + 51 λ 2 + 18 2 3 λ 2 + 2 λ 8 f 0 , λ 51 λ 2 + 18 3 3 λ 2 + 2 2 3 λ 2 + 2 λ 8 f 0 . Point P 6 describes a de Sitter universe, i.e., q ( P 6 ) = 1 . This equilibrium point is a saddle that exists for λ < 0 , λ 8 < f 0 or λ > 0 , 0 < f 0 < λ 8 .
Phase-space diagrams for the dynamical system (21) and (22) where the scalar field is a quintessence are presented in Figure 1.
Figure 2 depicts ω ϕ ( τ ) , x ( τ ) , and η ( τ ) evaluated at the solution of system (21) and (22) for ϵ = 1 and initial conditions x ( 0 ) = 0.001 , η ( 0 ) = 1 5 (i.e., near the saddle point P 5 ).
The solution is past asymptotic phantom regime ω ϕ < 1 , and then remains near the de Sitter point P 5 approaching the phantom solution ω ϕ = 2 (whence x ), then crosses from below of ω ϕ = 1 / 3 (zero acceleration), decelerating ω ϕ > 1 / 3 and tending asymptotically to ω ϕ = 1 / 3 from above. This evolution, in which the equation of state parameter of the scalar field interpolates between 1 (saddle point, de Sitter solution) and 1 / 3 (attractor dominated by the Gauss–Bonnet term), corresponds to an inflationary solution, which does not eliminate the topological defect of the cosmic string. This behavior is due to the linear coupling between the scalar field and the Gauss–Bonnet term.

3.2. Dynamical System Analysis of 2D System for ϵ = 1

In this section, we perform the stability analysis for the equilibrium points of system (21) and (22), taking ϵ = 1 .
The stability results and physical observable results for system (21) and (22) are summarized in Table 2.
The equilibrium points in the coordinates ( x , η ) are the following.
  • M = ( 0 , 0 ) , with eigenvalues { 0 , 0 } . The asymptotic solution corresponds to the Minkowski spacetime.
  • P 1 = ( 0 , 1 ) , with eigenvalues { 2 , 4 } . The deceleration parameter is q ( P 1 ) = 0 . That means the asymptotic solution describes a universe dominated by the Gauss–Bonnet term. This equilibrium point is a source.
  • P 2 = ( 0 , 1 ) , with eigenvalues { 2 , 4 } with q ( P 2 ) = 0 . This equilibrium point is a sink. The asymptotic solution is similar to that of point P 1 .
  • P 3 = 4 3 λ , 1 , with eigenvalues { 4 , 2 3 } . This equilibrium point is a sink. Moreover, q ( P 3 ) = 0 means that the asymptotic behavior is similar to that of P 1 .
  • P 4 = 4 3 λ , 1 , with eigenvalues { 4 , 2 3 } , while the deceleration parameter is calculated q ( P 4 ) = 0 . This equilibrium point is a source. As before, the asymptotic solution is similar to point P 1 .
  • P 5 = 0 , λ λ 8 f 0 , with eigenvalues λ 3 3 λ 2 2 51 λ 2 18 2 3 λ 2 2 λ 8 f 0 , λ 3 3 λ 2 2 + 51 λ 2 18 2 3 λ 2 2 λ 8 f 0 . This equilibrium point corresponds to a de Sitter solution, i.e., q ( P 5 ) = 1 . This equilibrium point exists for λ < 0 , λ 8 < f 0 , or λ > 0 , f 0 < λ 8 and is a saddle.
  • P 6 = 0 , λ λ 8 f 0 with eigenvalues λ 3 3 λ 2 2 + 51 λ 2 18 2 3 λ 2 2 λ 8 f 0 , λ 51 λ 2 18 3 3 λ 2 2 2 3 λ 2 2 λ 8 f 0 , is a de Sitter point that is q ( P 6 ) = 1 . This equilibrium point exists for λ < 0 , λ 8 < f 0 or λ > 0 , f 0 < λ 8 , and is a saddle.
  • P 7 = 3 2 5 4 30 f 0 + 3 , 3 4 30 f 0 + 3 . This equilibrium point exists for f 0 0 , has eigenvalues { λ 1 ( λ , f 0 ) , λ 2 ( λ , f 0 ) } and is a sink for λ < 0 , a saddle for λ > 0 or nonhyperbolic for λ = 0 . Moreover, q ( P 7 ) = 1 is from where we infer that the asymptotic solution is that of the de Sitter universe. The numerical analysis of the real part of the eigenvalues for P 7 is presented in Figure 3.
  • P 8 = 3 2 5 4 30 f 0 + 3 , 1 4 10 3 f 0 + 1 describes a de Sitter solution because q ( P 8 ) = 1 . This equilibrium point exists for f 0 0 , has eigenvalues { λ 3 ( λ , f 0 ) , λ 4 ( λ , f 0 ) } , and is a source for λ < 0 , a saddle for λ > 0 or nonhyperbolic for λ = 0 . As before, the numerical analysis of the real part of the eigenvalues for P 8 is presented in Figure 3.
  • P 9 = 3 2 5 3 4 30 f 0 , 1 1 4 10 3 f 0 . This equilibrium point exists for f 0 0 , it describes a de Sitter solution because q ( P 9 ) = 1 , has eigenvalues { λ 5 ( λ , f 0 ) , λ 6 ( λ , f 0 ) } and is a source for λ > 0 , a saddle for λ < 0 or nonhyperbolic for λ = 0 . The numerical analysis of the real part of λ 5 and λ 6 for P 9 is presented in Figure 3.
  • Finally, the de Sitter point P 10 = 3 2 5 3 4 30 f 0 , 1 1 4 10 3 f 0 . This equilibrium point exists for f 0 0 , has eigenvalues { λ 7 ( λ , f 0 ) , λ 8 ( λ , f 0 ) } and is a sink for λ > 0 , a saddle for λ < 0 or nonhyperbolic for λ = 0 . As before, the numerical analysis of the real part of λ 7 and λ 8 for P 10 is presented in Figure 3.
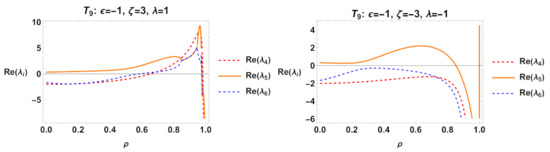
Figure 3. Real part of the eigenvalues λ i where i = 1 , 8 . for points P 7 , P 8 , P 9 , P 10 .
Figure 3. Real part of the eigenvalues λ i where i = 1 , 8 . for points P 7 , P 8 , P 9 , P 10 .
Mathematics 11 01408 g003aMathematics 11 01408 g003b
Phase-space diagrams for the dynamical system (21) and (22) where the scalar field is a phantom field, that is, ϵ = 1 are presented in Figure 4 for various values of the free parameters.
Figure 5 depicts ω ϕ ( τ ) , x ( τ ) , and η ( τ ) evaluated at the solution of system (21) and (22) for ϵ = 1 and initial conditions x ( 0 ) = 0.001 , η ( 0 ) = 1 5 (i.e., near the saddle point P 6 ).
The solution is past asymptotic to ω ϕ = 1 / 3 (zero acceleration), then remains near the de Sitter point P 6 approaching a quintessence solution 1 < ω ϕ < 1 / 3 , and then tending asymptotically to ω ϕ = 1 (de Sitter point P 7 ) from above. The past attractor is dominated by the Gauss–Bonnet term, and then the saddle point P 6 corresponds to an inflationary solution, eliminating the topological defect of the cosmic string. The late-time attractor is a de Sitter solution. Therefore, this solution connects inflation with late-time acceleration. This behavior is due to the linear coupling between the scalar field and the Gauss–Bonnet term.

3.3. Analysis of System (21) and (22) at Infinity

The numerical results in Figure 1 and Figure 4 suggest non-trivial dynamics when x ± . For that reason, we introduce the compactified variable
u = x 1 + x 2 ,
and the new time variable
f = 1 u 2 d f d τ ,
we obtain the compactified dynamical system
u = 1 L 1 u 2 ( u 3 ( η 5 576 f 0 2 + 4 f 0 λ ( ϵ + 18 ) + ϵ ( ϵ + 6 ) + 24 f 0 ( λ 8 f 0 ) η 7 2 η 3 ( ϵ ( ϵ + 6 ) 2 f 0 λ ( ϵ 24 ) ) + ϵ η ( 8 f 0 λ + ϵ + 6 ) ) + 1 u 2 u 2 ( η 4 384 f 0 2 λ + 8 f 0 ( 6 5 ϵ ) + λ ( ϵ 12 ) 2 η 6 ( 8 f 0 ( 12 f 0 λ + 2 ϵ + 3 ) 3 λ ) + η 2 ( 72 f 0 ϵ 2 λ ( ϵ 3 ) ) + λ ϵ ) 6 η 2 η 2 1 1 u 2 ( λ 8 f 0 ) η 2 λ 6 η u 4 f 0 ( λ 8 f 0 ) η 6 + η 4 ( 12 f 0 ( λ 8 f 0 ) + ϵ ) 2 η 2 ( 8 f 0 λ + ϵ ) + ϵ ) ,
η = 1 L η 2 1 ( 24 f 0 η 4 ( 8 f 0 λ ) η 2 + λ 32 f 0 η 3 u 1 u 2 η 2 ( 6 f 0 λ + ϵ ) ϵ + u 2 24 f 0 ( λ 8 f 0 ) η 6 + η 4 ( 4 f 0 λ ( ϵ 6 ) + 1 ) 2 ϵ η 2 ( 2 f 0 λ + ϵ ) + 1 ) ,
where L = 2 1 u 2 96 f 0 2 + ϵ η 4 2 ϵ η 2 + ϵ + 8 f 0 ϵ η η 2 1 u . The limit u ± 1 corresponds to x ± .
The equilibrium points of system (27) and (28) at the finite region are the same as (21) and (22) by the rescaling x x / 1 + x 2 .
Table 3 summarizes the equilibrium points of system (27) and (28) for ϵ = ± 1 with their stability conditions.
The equilibrium points at infinity are those satisfying u = ± 1 , say
  • Q 1 = ( 1 , 1 ) , with eigenvalues { 2 λ , 6 λ } . This equilibrium point is a saddle or nonhyperbolic for λ = 0 . The value of the deceleration parameter is q ( Q 1 ) = 0 . That means the asymptotic solution describes a universe dominated by the Gauss–Bonnet term.
  • Q 2 = ( 1 , 1 ) , with eigenvalues { 2 λ , 6 λ } . This equilibrium point is a saddle or nonhyperbolic for λ = 0 . The value of the deceleration parameter is q ( Q 2 ) = 0 . The asymptotic behavior is the same as Q 1 .
  • Q 3 = ( 1 , 1 ) , with eigenvalues { 2 λ , 6 λ } . This equilibrium point is a saddle or nonhyperbolic for λ = 0 . The value of the deceleration parameter is q ( Q 3 ) = 0 . The asymptotic behavior is the same as Q 1 .
  • Q 4 = ( 1 , 1 ) , with eigenvalues { 2 λ , 6 λ } . This equilibrium point is a saddle or nonhyperbolic for λ = 0 . The value of the deceleration parameter is q ( Q 4 ) = 0 . The asymptotic behavior is the same as Q 1 .
  • Q 5 = ( 1 , 1 4 f 0 λ ϵ + 1 ) , with eigenvalues λ , λ 2 . This equilibrium point is a source for λ 0 , a sink for λ 0 or nonhyperbolic for λ = 0 . Note that for
    (a)
    ϵ = 1 , the equilibrium point has η = 1 4 f 0 λ + 1 . This equilibrium point exists for λ < 0 , f 0 0 or λ = 0 or λ > 0 , f 0 0 .
    (b)
    ϵ = 1 , the equilibrium point has η = 1 4 f 0 λ + 1 . This equilibrium point exists for λ < 0 , f 0 0 or λ = 0 or λ > 0 , f 0 0 .
    The value of the deceleration parameter is q ( Q 5 ) = 1 . The asymptotic solution is a de Sitter universe.
  • Q 6 = ( 1 , 1 4 f 0 λ ϵ + 1 ) , with eigenvalues λ , λ 2 . This equilibrium point is a sink for λ 0 , a source for λ 0 or nonhyperbolic for λ = 0 . The existence conditions for ϵ = ± 1 are the same as Q 5 . The value of the deceleration parameter is q ( Q 6 ) = 1 . The asymptotic behavior is the same as Q 5 .
  • Q 7 = ( 1 , 1 4 f 0 λ ϵ + 1 ) , with eigenvalues λ , λ 2 . This equilibrium point is a source for λ 0 , a sink for λ 0 ; or nonhyperbolic for λ = 0 . The existence conditions for ϵ = ± 1 are the same as Q 5 . The value of the deceleration parameter is q ( Q 7 ) = 1 . The asymptotic behavior is the same as Q 5 .
  • Q 8 = ( 1 , 1 4 f 0 λ ϵ + 1 ) , with eigenvalues λ , λ 2 . This equilibrium point is a sink for λ 0 , a source for λ 0 or nonhyperbolic for λ = 0 . The existence conditions for ϵ = ± 1 are the same as Q 5 . The value of the deceleration parameter is q ( Q 8 ) = 1 . The asymptotic behavior is the same as Q 5 .
The phase-space of the field equations at the new compactified variables is presented in Figure 6 and Figure 7 for different values of the free parameters. As far as the physical properties of the asymptotic solutions are concerned, we find that Q 1 , Q 2 , Q 3 , and Q 4 are Gauss–Bonnet points with deceleration parameter q = 0 , while points Q 5 , Q 6 , Q 7 , and Q 8 are de Sitter points with q = 1 .
Figure 8 depicts ω ϕ ( τ ) , u ( τ ) , and η ( τ ) evaluated at the solution of system (27) and (28) for initial conditions u ( 0 ) = 0.001 / 1 + ( 0.001 ) 2 , η ( 0 ) = 1 5 (i.e., near the saddle point P 5 ).
The solution is past asymptotic to a phantom regime ω ϕ < 1 , then remains near the de Sitter point P 5 approaching the phantom solution ω ϕ = 2 (whence x , u 1 ), then it crosses from below ω ϕ = 1 / 3 (zero acceleration), decelerating ω ϕ > 1 / 3 and tending asymptotically to ω ϕ = 1 / 3 from above. As before, this evolution corresponds to an inflationary solution, which does not eliminate the topological defect of the cosmic string. This behavior is due to the linear coupling between the scalar field and the Gauss–Bonnet term.
Figure 9 depicts ω ϕ ( τ ) , u ( τ ) , and η ( τ ) evaluated at the solution of system (27) and (28) for ϵ = 1 and initial conditions u ( 0 ) = 0.001 / 1 + ( 0.001 ) 2 , η ( 0 ) = 1 5 (i.e., near the saddle point P 6 ).
The solution is past asymptotic to ω ϕ = 1 / 3 (zero acceleration), then remains near the de Sitter point P 6 approaching a quintessence solution 1 < ω ϕ < 1 / 3 , and then tending asymptotically to ω ϕ = 1 (de Sitter point P 7 ) from above. The past attractor is dominated by the Gauss–Bonnet term, and then the saddle point P 6 corresponds to an inflationary solution, eliminating the topological defect of the cosmic string. The late-time attractor is a de Sitter solution. Therefore, this solution connects inflation with late-time acceleration. This behavior is due to the linear coupling between the scalar field and the Gauss–Bonnet term.

4. Phase-Space Analysis for Exponential f : f ( ϕ ) = f 0 e ζ ϕ

The field equations for the exponential coupling f ( ϕ ) = f 0 e ζ ϕ are given by the following expressions:
48 H 3 ϕ ˙ f ( ϕ ) + 6 H 2 2 V ( ϕ ) ϵ ϕ ˙ 2 = 0 ,
16 H H ˙ ϕ ˙ f ( ϕ ) 16 H 3 ϕ ˙ f ( ϕ ) + H 2 8 ϕ ˙ 2 f ( ϕ ) 8 ϕ ¨ f ( ϕ ) + 3 + 2 H ˙ V ( ϕ ) + 1 2 ϵ ϕ ˙ 2 = 0 ,
3 H 8 H H ˙ + H 2 f ( ϕ ) ϵ ϕ ˙ V ( ϕ ) ϵ ϕ ¨ = 0 ,
where the dot means derivative with respect to t, and the comma means derivative with respect to the function’s argument.
Defining the normalized variables
x = ϕ ˙ 1 + H 2 , y = V ( ϕ ) 1 + H 2 , η = H 1 + H 2 , z = H 3 f ( ϕ ) H 2 + 1 ,
we can write the Friedmann equation as
6 η 2 x ( x + 48 z ) 2 y 2 = 0 .
Using Equation (33) we define z as
z = 6 η 2 + x 2 2 y 2 48 x ,
and the dynamical system is given by
d x d τ = 2 x K ˜ ( x , y , η , ζ , ϵ ) { ζ 2 η 2 1 x 5 + 5 η η 2 3 x 4 4 x 9 ζ η 4 + y 4 ζ + 2 λ + λ η 2 3 y 2 2 ζ η 2 + λ η 4 + 2 ϵ x 3 6 ζ η 4 + 6 ζ η 2 + y 2 ( 2 ζ λ ) η 2 2 ( ζ + λ ) + 12 ϵ η x 2 3 η 4 + η 2 η 2 + 2 y 2 + 4 η y 2 3 η 2 η 2 + 3 y 2 3 η 4 + η 2 } ,
d y d τ = y K ˜ ( x , y , η , ζ , ϵ ) { 72 η 7 + 12 η 4 x λ 2 y 2 + 3 2 ζ ϵ x 2 + 4 η 2 x ϵ x 2 + 2 y 2 ζ ϵ x 2 λ y 2 + 3 + 24 η 5 3 ϵ x 2 2 y 2 + 2 η 3 12 ϵ x 2 y 2 + 5 x 4 + 4 y 4 + λ x ϵ x 2 + 2 y 2 5 ϵ x 2 + 2 y 2 } ,
d η d τ = 2 η η 2 1 K ˜ ( x , y , η , ζ , ϵ ) { 2 ζ x 5 + 5 η x 4 4 λ x y 2 y 2 3 η 2 + 2 ϵ x 3 ( 2 ζ λ ) y 2 6 ζ η 2 12 ϵ η x 2 y 2 3 η 2 + 4 η y 2 3 η 2 2 } .
where K ˜ = 24 ϵ x 2 y 2 η 2 + 10 x 4 + 8 y 2 3 η 2 2 .
In addition, the deceleration and EoS parameters are given by
q = 2 x ϵ x 2 + 2 y 2 ζ ϵ x 2 λ y 2 η 12 ϵ x 2 y 2 η 2 + 5 ϵ 2 x 4 + 4 y 2 3 η 2 2 + 12 η x λ y 2 ζ ϵ x 2 12 ϵ x 2 y 2 η 2 + 5 ϵ 2 x 4 + 4 y 2 3 η 2 2 + 2 x 24 ϵ η 3 x 12 ϵ η x y 2 η 12 ϵ x 2 y 2 η 2 + 5 ϵ 2 x 4 + 4 y 2 3 η 2 2 ,
and
ω ϕ = 4 ϵ x 3 6 ζ η 2 + ( λ 2 ζ ) y 2 3 η 12 ϵ x 2 y 2 η 2 + 5 ϵ 2 x 4 + 4 y 2 3 η 2 2 4 ζ ϵ 2 x 5 + 5 ϵ 2 η x 4 + 4 η y 2 3 η 2 2 3 η 12 ϵ x 2 y 2 η 2 + 5 ϵ 2 x 4 + 4 y 2 3 η 2 2 8 λ x y 2 y 2 3 η 2 3 η 12 ϵ x 2 y 2 η 2 + 5 ϵ 2 x 4 + 4 y 2 3 η 2 2 4 ϵ x 2 5 y 2 9 η 2 12 ϵ x 2 y 2 η 2 + 5 ϵ 2 x 4 + 4 y 2 3 η 2 2 .

4.1. Dynamical System Analysis of 3D System for ϵ = 1

This section presents a dynamical system analysis of 3D system (35)–(37) for ϵ = 1 .
Table 4 summarizes the equilibrium points of this system with their stability conditions. It also includes the value of ω ϕ and q .
The equilibrium points in the coordinates ( x , y , η ) for system (35)–(37) and ϵ = 1 are the following.
  • Z 1 = ( 0 , y , 0 ) , with eigenvalues { 0 , 0 , 0 } . This set of equilibrium points exists for y > 0 and is nonhyperbolic. The asymptotic solution at the equilibrium point describes the Minkowski spacetime.
  • Z 2 = ( 0 , 0 , 1 ) , with eigenvalues { 2 , 2 , 1 } . This equilibrium point is a source. For the deceleration parameter, we derive q ( Z 2 ) = 0 . The asymptotic solution describes a universe dominated by the Gauss–Bonnet term.
  • Z 3 = ( 0 , 0 , 1 ) , with eigenvalues { 2 , 2 , 1 } . This equilibrium point is a sink. Since q ( Z 3 ) = 0 , the physical properties are similar to point Z 2 .
  • Z 4 = ( 6 , 0 , 1 ) with eigenvalues 6 , 6 ζ 6 , 3 2 λ + 3 . Moreover, q ( Z 4 ) = 2 means that the asymptotic solution describes a stiff fluid solution. This equilibrium point is a
    (a)
    source for λ > 6 , ζ > 6 ;
    (b)
    saddle for λ < 6 or ζ < 6 ;
    (c)
    nonhyperbolic for λ = 6 or ζ = 6 .
  • Z 5 = ( 6 , 0 , 1 ) , with eigenvalues 6 , 6 ζ + 6 , 3 2 λ 3 and q ( Z 5 ) = 2 , represents a stiff fluid solution. This equilibrium point is a
    (a)
    sink for λ < 6 , ζ < 6 ;
    (b)
    saddle for λ > 6 or ζ > 6 ;
    (c)
    nonhyperbolic for λ = 6 or ζ = 6 .
  • Z 6 = ( 6 , 0 , 1 ) , with eigenvalues 6 , 6 ζ 6 , 3 3 2 λ and q ( Z 6 ) = 2 , represents a stiff fluid solution. This equilibrium point is a
    (a)
    source for λ < 6 , ζ < 6 ;
    (b)
    saddle for λ > 6 or ζ > 6 ;
    (c)
    nonhyperbolic for λ = 6 or ζ = 6 .
  • Z 7 = ( 6 , 0 , 1 ) , with eigenvalues 6 , 6 6 ζ , 3 2 λ 3 and q ( Z 7 ) = 2 , represents a stiff fluid solution. This equilibrium point is
    (a)
    sink for λ > 6 , ζ > 6 ;
    (b)
    saddle for λ < 6 or ζ < 6 ;
    (c)
    nonhyperbolic for λ = 6 or ζ = 6 .
  • Z 8 = ( λ , 3 λ 2 2 , 1 ) , with eigenvalues λ 2 , 1 2 λ 2 6 , λ ( ζ + λ ) . This equilibrium point exists for 6 λ 6 and is
    (a)
    a saddle for
    i.
    6 < λ < 0 , ζ < λ or
    ii.
    0 < λ < 6 , ζ > λ or
    iii.
    6 < λ < 0 , ζ > λ or
    iv.
    0 < λ < 6 , ζ < λ and
    (b)
    nonhyperbolic for
    i.
    λ = 0 or
    ii.
    ζ + λ = 0 or
    iii.
    λ = 6 or
    iv.
    λ = 6 .
    As before, we calculate q ( Z 8 ) = 1 2 λ 2 2 from where we infer that acceleration occurs for λ 2 < 2 .
  • Z 9 = ( λ , 3 λ 2 2 , 1 ) , with eigenvalues λ 2 , 1 2 λ 2 6 , λ ( ζ + λ ) . This equilibrium point exists for 6 λ 6 and is
    (a)
    a saddle for
    i.
    6 < λ < 0 , ζ < λ or
    ii.
    0 < λ < 6 , ζ > λ or
    iii.
    6 < λ < 0 , ζ > λ or
    iv.
    0 < λ < 6 , ζ < λ and
    (b)
    nonhyperbolic for
    i.
    λ = 0 or
    ii.
    ζ + λ = 0 or
    iii.
    λ = 6 or
    iv.
    λ = 6 .
    Furthermore, for the asymptotic solution at the equilibrium point, we derive q ( Z 9 ) = 1 2 λ 2 2 from where we infer that acceleration occurs for λ 2 < 2 .
  • Z 10 = x 10 , 0 , 1 , where
    x 10 = 2 2 / 3 50 9 ζ 2 9 ζ 2 r 6 ζ + 500 3 + 2 3 9 ζ 2 r 6 ζ + 500 3 + 10 3 ζ ,
    where r = 9 ζ 4 132 ζ 2 + 500 . This equilibrium point exists for ζ R but ζ 0 . For Z 10 , we have
    ω ϕ = 2 6 ζ 9 ζ 2 r 6 ζ + 500 2 / 3 3 2 ζ + r 50 9 ζ 2 2 + 250 2 2 / 3 9 ζ 2 r 6 ζ + 500 2 / 3 9 50 9 ζ 2 2 + 1 9 2 3 9 ζ 2 r 6 ζ + 500 3 + 1 ,
    q = 3 2 6 ζ 9 ζ 2 r 6 ζ + 500 2 / 3 3 2 ζ + r 2 50 9 ζ 2 2 + 250 2 2 / 3 9 ζ 2 r 6 ζ + 500 2 / 3 6 50 9 ζ 2 2 + 1 6 2 3 9 ζ 2 r 6 ζ + 500 3 + 4 .
    The eigenvalues of Z 12 are δ i ( ζ , λ ) for i = 1 , 2 , 3 . Given the complexity of the expressions, we perform numerical analysis to conclude that this equilibrium point is a source or saddle (see Figure 10).
    Figure 10. Real part of the eigenvalues of Z 10 for ζ < 0 and ζ > 0 . The equilibrium point has a source or saddle behavior.
    Figure 10. Real part of the eigenvalues of Z 10 for ζ < 0 and ζ > 0 . The equilibrium point has a source or saddle behavior.
    Mathematics 11 01408 g010
    The physical parameters ω ϕ ( Z 10 ) and q ( Z 10 ) are presented in Figure 11.
    Figure 11. Plot of q ( Z 10 ) and ω ϕ ( Z 10 ) . We see that if ζ ± , then q 0 and ω ϕ 1 / 3 .
    Figure 11. Plot of q ( Z 10 ) and ω ϕ ( Z 10 ) . We see that if ζ ± , then q 0 and ω ϕ 1 / 3 .
    Mathematics 11 01408 g011
    The equilibrium points can describe dust-like and radiation-like cosmological eras; however, q ( Z 10 ) 0 , the solution, cannot describe an accelerated universe. For large and small values of ζ we have that q 0 and ω ϕ 1 / 3 .
  • Z 11 = x 11 , 0 , 1 , where
    x 11 = 2 2 / 3 50 9 ζ 2 9 ζ 6 ζ + 2 r 500 3 + 2 3 9 ζ 6 ζ + 2 r 500 3 10 3 ζ ,
    where r = 9 ζ 4 132 ζ 2 + 500 . This equilibrium point exists for ζ < 5 2 3 and ζ > 5 2 3 . For this equilibrium point, we have
    ω ϕ = 2 6 ζ 9 ζ 6 ζ + 2 r 500 2 / 3 r 3 2 ζ 50 9 ζ 2 2 + 250 2 2 / 3 9 ζ 6 ζ + 2 r 500 2 / 3 9 50 9 ζ 2 2 + 1 9 2 3 9 ζ 6 ζ + 2 r 500 3 + 1 ,
    q = 3 2 6 ζ 9 ζ 6 ζ + 2 r 500 2 / 3 r 3 2 ζ 2 50 9 ζ 2 2 + 250 2 2 / 3 9 ζ 6 ζ + 2 r 500 2 / 3 6 50 9 ζ 2 2 + 1 6 2 3 9 ζ 6 ζ + 2 r 500 3 + 4 .
    The eigenvalues of Z 11 are λ i ( ζ , λ ) for i = 1 , 2 , 3 . Given the complexity of the expressions, we perform numerical analysis to conclude that this equilibrium point is a saddle (see Figure 12).
    Figure 12. Real part of the eigenvalues of Z 11 . This equilibrium point is a saddle.
    Figure 12. Real part of the eigenvalues of Z 11 . This equilibrium point is a saddle.
    Mathematics 11 01408 g012
    We have presented plots for the case ζ > 5 2 3 because the other interval produces similar (symmetric) results. In Figure 13, we give the evolution of the physical parameters ω ϕ ( Z 11 ) and q ( Z 11 ) in terms of the free parameter ζ .
    Figure 13. Plot of q ( Z 11 ) and ω ϕ ( Z 11 ) . For large ζ we have that q 0 and ω ϕ 1 / 3 .
    Figure 13. Plot of q ( Z 11 ) and ω ϕ ( Z 11 ) . For large ζ we have that q 0 and ω ϕ 1 / 3 .
    Mathematics 11 01408 g013
    Thus, the asymptotic solution describes ideal gas solutions, but an accelerated universe cannot be described. However, dust-like and radiation-like epochs are provided by the equilibrium points. For large ζ , we have that q 0 and ω ϕ 1 / 3 .
  • Z 12 = x 12 , 0 , 1 , where
    x 12 = 4 1 3 2 2 / 3 9 ζ 2 50 54 ζ 2 + 9 2 ζ 2 r 500 3 + 4 ( 1 ) 2 / 3 2 3 54 ζ 2 + 9 2 ζ 2 r 500 3 40 12 ζ ,
    where r = 9 ζ 4 132 ζ 2 + 500 . This equilibrium point exists for 5 2 3 < ζ < 5 2 3 . The eigenvalues for Z 12 are γ i ( ζ , λ ) ; given the complexity of the expressions, we perform numerical analysis to conclude that this equilibrium point is a sink or saddle (see Figure 14).
    Figure 14. Real part of the eigenvalues of Z 12 . This equilibrium point has sink or saddle behavior.
    Figure 14. Real part of the eigenvalues of Z 12 . This equilibrium point has sink or saddle behavior.
    Mathematics 11 01408 g014
    For Z 14 , we have ω ϕ = f 1 ( ζ ) and q = f 2 ( ζ ) ; given that these are long expressions, we write them as f i ( ζ ) , but we verify that for ζ ± 5 2 3 , ω ϕ 1.142 and q 2.213 , see Figure 15.
Figure 15. Plot of q ( Z 12 ) and ω ϕ ( Z 12 ) . We verify that ζ ± 5 2 3 , ω ϕ 1.142 and q 2.213 .
Figure 15. Plot of q ( Z 12 ) and ω ϕ ( Z 12 ) . We verify that ζ ± 5 2 3 , ω ϕ 1.142 and q 2.213 .
Mathematics 11 01408 g015
Phase-space diagrams for a 2D projection setting ϵ = 1 , η = 1 , λ = 1 , and different values of ζ are presented in Figure 16. We also present similar diagrams for the other 2D projection setting η = 1 in Figure 17. The existence of the equilibrium points Z 10 , Z 11 , and Z 12 is discussed in Appendix A.
Three-dimensional phase-space diagrams are presented in Figure 18 setting ϵ = 1 , λ = 1 , and different values of ζ .  Figure 18 depicts a three–dimensional phase plot of of system (35)–(37) setting ϵ = 1 , λ = 1 with different values of ζ . Here, the saddle points W 1 = ( 0 , 3 , 1 ) and W 2 = ( 0 , 3 , 1 ) are singularities in which both the numerator and denominator of the y equation vanish.
Figure 19 depicts ω ϕ ( τ ) evaluated at the solution of system (35)–(37) for ϵ = 1 and initial conditions x ( 0 ) = 0.001 , y ( 0 ) = 0.001 , η ( 0 ) = 1 .
The solution is past asymptotic to ω ϕ = 1 / 3 (zero acceleration, cosmic string fluid), then crosses the line ω > 1 (superluminal evolution) twice, remaining near the de Sitter point ω ϕ = 1 (de Sitter point, inflation) from above, following an era where ω ϕ = 2 / 3 (domain wall), before an accelerated de Sitter solution ω ϕ = 1 (late-time acceleration). The the past attractor is dominated by the Gauss–Bonnet term. Then, the saddle point corresponds to an inflationary solution with ω = 1 , eliminating the topological defect of the cosmic string. At the latter stage, the solution has ω = 2 / 3 corresponding to a domain wall. The late-time attractor is a de Sitter solution that allows the latter cosmological defect to exit. Therefore, this solution connects inflation with late-time acceleration. This behavior is due to the exponential coupling between the scalar field and the Gauss–Bonnet term.

4.2. Dynamical System Analysis of 3D System for ϵ = 1

This section presents a dynamical system analysis of 3D system (35)–(37) for ϵ = 1 .
Table 5 summarizes the equilibrium points of this system with their stability conditions. It also includes the value of ω ϕ and q .
The equilibrium points in the coordinates ( x , y , η ) for system (35)–(37) and ϵ = 1 are the following.
  • Z 1 = ( 0 , y , 0 ) , with eigenvalues { 0 , 0 , 0 } . This is a nonhyperbolic set of points for y > 0 . The asymptotic solution at the equilibrium point describes the Minkowski spacetime.
  • Z 2 = ( 0 , 0 , 1 ) , with eigenvalues { 2 , 2 , 1 } . This equilibrium point is a source and we verify that q ( Z 2 ) = 0 . The asymptotic solution describes a universe dominated by the Gauss–Bonnet term.
  • Z 3 = ( 0 , 0 , 1 ) , with eigenvalues { 2 , 2 , 1 } . This equilibrium point is a sink, and we also have that q ( Z 3 ) = 0 . The asymptotic behavior is similar to that of Z 2 .
  • Z 13 = ( λ , 3 + λ 2 2 , 1 ) , with eigenvalues λ 2 , 1 2 λ 2 + 6 , λ ( ζ + λ ) . For this equilibrium point, we have q ( Z 13 ) = 1 2 ( λ 2 + 2 ) ; this means that acceleration occurs for λ R . The equilibrium points are
    (a)
    sinks for
    i.
    λ < 0 and ζ > λ or
    ii.
    λ > 0 and ζ < λ and
    (b)
    saddle for
    i.
    λ < 0 and ζ < λ or
    ii.
    λ > 0 and ζ > λ .
    (c)
    nonhyperbolic for λ = 0 or ζ = λ .
  • Z 14 = ( λ , 3 + λ 2 2 , 1 ) , with eigenvalues λ 2 , 1 2 λ 2 + 6 , λ ( ζ + λ ) . For this equilibrium point, we have q ( Z 14 ) = 1 2 ( λ 2 + 2 ) ; this means that acceleration occurs for λ R . The equilibrium points are
    (a)
    sources for
    i.
    λ < 0 and ζ > λ or
    ii.
    λ > 0 and ζ < λ and
    (b)
    saddle for
    i.
    λ < 0 and ζ < λ or
    ii.
    λ > 0 and ζ > λ .
    (c)
    nonhyperbolic for λ = 0 or ζ = λ .
  • Z 15 = x 15 , 0 , 1 , where r ˜ = 9 ζ 4 + 132 ζ 2 + 500 and
    x 15 = 2 2 2 / 3 9 ζ 2 + 50 54 ζ 2 + 9 2 ζ 2 ( r ˜ ) + 500 3 + 2 2 3 54 ζ 2 + 9 2 ζ 2 ( r ˜ ) + 500 3 + 20 6 ζ .
    This equilibrium point exists for ζ R but ζ 0 . We verify that
    ω ϕ = 2 6 ζ 2 r ˜ 9 2 ζ 2 r ˜ + 54 ζ 2 + 500 2 / 3 9 ζ 2 + 50 2 + 2 2 / 3 9 2 ζ 2 r ˜ + 54 ζ 2 + 500 2 / 3 3 9 ζ 2 + 50 + 100 2 2 / 3 9 2 ζ 2 r ˜ + 54 ζ 2 + 500 2 / 3 9 9 ζ 2 + 50 2 + 1 9 2 3 9 2 ζ 2 r ˜ + 54 ζ 2 + 500 3 + 1 9 ,
    q = 3 ζ 2 r ˜ 9 2 ζ 2 r ˜ + 54 ζ 2 + 500 2 / 3 2 5 / 6 9 ζ 2 + 50 2 + 9 2 ζ 2 r ˜ + 54 ζ 2 + 500 2 / 3 2 3 9 ζ 2 + 50 + 50 2 2 / 3 9 2 ζ 2 r ˜ + 54 ζ 2 + 500 2 / 3 3 9 ζ 2 + 50 2 + 9 2 ζ 2 r ˜ + 54 ζ 2 + 500 3 3 2 2 / 3 + 2 3 .
    The eigenvalues for Z 15 are λ i ( ζ , λ ) , with i = 1 , 2 , 3 . Given the complexity of these expressions, we perform the analysis numerically and present it in Figure 20.
    We conclude that the equilibrium point has a source or saddle behavior. In Figure 21, we show that q ( Z 15 ) and ω ϕ ( Z 15 ) are always positive and they go to infinity as ζ ± .
  • Z 16 = x 16 , 0 , 1 , where r ˜ = 9 ζ 4 + 132 ζ 2 + 500 and
    x 16 = 4 1 3 2 2 / 3 9 ζ 2 + 50 9 2 ζ 2 r ˜ + 54 ζ 2 + 500 3 + 4 ( 1 ) 2 / 3 2 3 9 2 ζ 2 r ˜ + 54 ζ 2 + 500 3 + 40 12 ζ .
    This equilibrium point exists for ζ R but ζ 0 . For Z 16 , we have ω ϕ = f 1 ( ζ ) and q = f 2 ( ζ ) . The eigenvalues for Z 16 are λ i ( ζ , λ ) , with i = 4 , 5 , 6 ; given the complexity of the expressions, we perform numerical analysis to conclude that this equilibrium point is a sink or saddle, see Figure 22. Since the expressions for the EoS and deceleration parameters are lengthy and complicated, we write them as f i ( ζ ) . However, we verify that they are both negative and for ζ ± , we have that q and see ω ϕ , see Figure 23.
  • Z 17 = x 17 , 0 , 1 , where r ˜ = 9 ζ 4 + 132 ζ 2 + 500 and
    x 17 = 4 ( 2 ) 2 / 3 9 ζ 2 + 50 9 2 ζ 2 r ˜ + 54 ζ 2 + 500 3 4 2 3 9 2 ζ 2 r ˜ + 54 ζ 2 + 500 3 + 40 12 ζ .
    This equilibrium point exists for ζ R but ζ 0 . The eigenvalues for this equilibrium point are written symbolically as λ i ( ζ , λ ) where i = 7 , 8 , 9 . In Figure 24, we see that the equilibrium point has saddle behavior. For Z 17 , we have ω ϕ ( Z 17 ) = f 1 ( ζ ) and q ( Z 17 ) = f 2 ( ζ ) . In Figure 25, we show that the EoS and deceleration parameters are always negative and ω ϕ 1 3 , q 0 as ζ ± .
  • Z 18 = x 18 , 0 , 1 , where r ˜ = 9 ζ 4 + 132 ζ 2 + 500 and
    x 18 = 2 2 2 / 3 9 ζ 2 + 50 9 2 ζ 2 r ˜ 54 ζ 2 500 3 + 2 2 3 9 2 ζ 2 r ˜ 54 ζ 2 500 3 20 6 ζ
    .
    This equilibrium point exists for ζ R but ζ 0 . For this equilibrium point, we have
    ω ϕ = 2 6 ζ 2 r ˜ 9 2 ζ 2 r ˜ 54 ζ 2 500 2 / 3 9 ζ 2 + 50 2 + 2 2 / 3 9 2 ζ 2 r ˜ 54 ζ 2 500 2 / 3 3 9 ζ 2 + 50 + 100 2 2 / 3 9 2 ζ 2 r ˜ 54 ζ 2 500 2 / 3 9 9 ζ 2 + 50 2 1 9 2 3 9 2 ζ 2 r ˜ 54 ζ 2 500 3 + 1 9 ,
    q = 3 ζ 2 r ˜ 9 2 ζ 2 r ˜ 54 ζ 2 500 2 / 3 2 5 / 6 9 ζ 2 + 50 2 + 9 2 ζ 2 r ˜ 54 ζ 2 500 2 / 3 2 3 9 ζ 2 + 50 + 50 2 2 / 3 9 2 ζ 2 r ˜ 54 ζ 2 500 2 / 3 3 9 ζ 2 + 50 2 9 2 ζ 2 r ˜ 54 ζ 2 500 3 3 2 2 / 3 + 2 3 .
    and the eigenvalues are δ i ( ζ , λ ) for i = 1 , 2 , 3 . In Figure 26, we show the real part of the eigenvalues and conclude that Z 18 is a source. We verified that the EoS and deceleration parameters are negative and go to minus infinity as ζ ± , see Figure 27.
  • Z 19 = x 19 , 0 , 1 , where r ˜ = 9 ζ 4 + 132 ζ 2 + 500 and
    x 19 = 4 1 3 2 2 / 3 9 ζ 2 + 50 9 2 ζ 2 r ˜ 54 ζ 2 500 3 + 4 ( 1 ) 2 / 3 2 3 9 2 ζ 2 r ˜ 54 ζ 2 500 3 40 12 ζ .
    This equilibrium point exists for ζ R but ζ 0 . The eigenvalues are δ i ( ζ , λ ) for i = 4 , 5 , 6 . The stability analysis is performed numerically in Figure 28 where we see that Z 19 has sink or saddle behavior. For Z 19 , we have that ω ϕ ( Z 19 ) = f 2 ( ζ , λ ) , and q ( Z 19 ) = f 2 ( ζ , λ ) that is, are complicated expressions that depend on ζ and λ ; therefore, we study them in Figure 29 and see that they are always positive and go to as ζ ± .
  • Z 20 = x 20 , 0 , 1 , where r ˜ = 9 ζ 4 + 132 ζ 2 + 500 and
    x 2 = 4 ( 2 ) 2 / 3 9 ζ 2 + 50 9 2 ζ 2 r ˜ 54 ζ 2 500 3 4 2 3 9 2 ζ 2 r ˜ 54 ζ 2 500 3 40 12 ζ .
    This equilibrium point exists for ζ R but ζ 0 . The eigenvalues of Z 20 are δ i ( ζ , λ ) for i = 7 , 8 , 9 . Figure 30 represents the real part of the eigenvalues of Z 20 ; we see that the equilibrium point has saddle behavior.
    For the EoS and deceleration parameters, they can be written as ω ϕ ( Z 20 ) = f 1 ( ζ , λ ) , q ( Z 20 ) = f 2 ( ζ , λ ) and we verify that they are both negative. In Figure 31 are presented plots of q ( Z 20 ) and ω ϕ ( Z 20 ) ; we see that they are both negative but q ( Z 20 ) 0 and ω ϕ ( Z 20 ) 1 3 .
Figure 20. Real part of the eigenvalues of Z 15 . This equilibrium point is a source or a saddle.
Figure 20. Real part of the eigenvalues of Z 15 . This equilibrium point is a source or a saddle.
Mathematics 11 01408 g020
Figure 21. Plot of q ( Z 15 ) and ω ϕ ( Z 15 ) ; they are both positive and go to as ζ ± .
Figure 21. Plot of q ( Z 15 ) and ω ϕ ( Z 15 ) ; they are both positive and go to as ζ ± .
Mathematics 11 01408 g021
Figure 22. Real part of the eigenvalues of Z 16 . This equilibrium point has sink or saddle behavior.
Figure 22. Real part of the eigenvalues of Z 16 . This equilibrium point has sink or saddle behavior.
Mathematics 11 01408 g022
Figure 23. Plot of q ( Z 16 ) and ω ϕ ( Z 16 ) ; they are both negative and go to as ζ ± .
Figure 23. Plot of q ( Z 16 ) and ω ϕ ( Z 16 ) ; they are both negative and go to as ζ ± .
Mathematics 11 01408 g023
Figure 24. Real part of the eigenvalues of Z 17 ; we see that the equilibrium point has saddle behavior.
Figure 24. Real part of the eigenvalues of Z 17 ; we see that the equilibrium point has saddle behavior.
Mathematics 11 01408 g024
Figure 25. Plot of q ( Z 17 ) and ω ϕ ( Z 17 ) . Here we see that q 0 and ω ϕ 1 3 as ζ ± .
Figure 25. Plot of q ( Z 17 ) and ω ϕ ( Z 17 ) . Here we see that q 0 and ω ϕ 1 3 as ζ ± .
Mathematics 11 01408 g025
Figure 26. Real part of the eigenvalues of Z 18 ; we can see that the equilibrium point is a source.
Figure 26. Real part of the eigenvalues of Z 18 ; we can see that the equilibrium point is a source.
Mathematics 11 01408 g026
Figure 27. Plot of q ( Z 18 ) and ω ϕ ( Z 18 ) ; we see that both are negative and go to as ζ ± .
Figure 27. Plot of q ( Z 18 ) and ω ϕ ( Z 18 ) ; we see that both are negative and go to as ζ ± .
Mathematics 11 01408 g027
Figure 28. Real part of the eigenvalues of Z 19 ; we see that the equilibrium point has sink or saddle behavior.
Figure 28. Real part of the eigenvalues of Z 19 ; we see that the equilibrium point has sink or saddle behavior.
Mathematics 11 01408 g028
Figure 29. Plots for q ( Z 19 ) and ω ϕ ( Z 19 ) ; we see that both are positive and go to as ζ ± .
Figure 29. Plots for q ( Z 19 ) and ω ϕ ( Z 19 ) ; we see that both are positive and go to as ζ ± .
Mathematics 11 01408 g029
Figure 30. Real part of the eigenvalues of Z 20 ; we see that the equilibrium point has saddle behavior.
Figure 30. Real part of the eigenvalues of Z 20 ; we see that the equilibrium point has saddle behavior.
Mathematics 11 01408 g030
Figure 31. Plots of q ( Z 20 ) and ω ϕ ( Z 20 ) ; we see that they are both negative but q ( Z 20 ) 0 and ω ϕ ( Z 20 ) 1 3 .
Figure 31. Plots of q ( Z 20 ) and ω ϕ ( Z 20 ) ; we see that they are both negative but q ( Z 20 ) 0 and ω ϕ ( Z 20 ) 1 3 .
Mathematics 11 01408 g031
In Figure 32, we present phase-space diagrams for a 2D projection of system (35)–(37) setting ϵ = 1 , λ = 1 , η = ± 1 and different values of ζ . Also three dimensional phase-space diagrams are presented in Figure 33 for ϵ = 1 , λ = 1 and different values of ζ . The results of this section are summarized in Table 5. The existence of the equilibrium points Z 15 , Z 16 , Z 17 , Z 18 , Z 19 , Z 20 is discussed in Appendix A.
Figure 34 depicts ω ϕ ( τ ) , evaluated at the solution of system (35)–(37) for ϵ = 1 and initial conditions x ( 0 ) = 0.001 , y ( 0 ) = 0.001 , η ( 0 ) = 1 .
The solution is past asymptotic to ω ϕ = 1 / 3 and future asymptotic to a phantom solution with ω ϕ = 2 (late-time acceleration). The late-time attractor is a phantom solution that allows the latter cosmological defect to exit. This behavior is due to the exponential coupling between the scalar field and the Gauss–Bonnet term.

4.3. Analysis of System (35)–(37) at Infinity: Poincaré Variables

The numerical results presented in Figure 18 and Figure 33 suggest that there are non-trivial dynamics when x ± and y . For that reason, we introduce the Poincaré compactification variables along with the definition of η
x = ρ cos θ 1 ρ 2 , y = ρ sin θ 1 ρ 2 , η = H 1 + H 2 ,
We must find evolution equations for ( ρ , θ , η ) [ 0 , 1 ] × [ 0 , π ] × [ 1 , 1 ] . Note that the limit ρ 1 corresponds to x , y .
Using the Equations (35)–(37) and the variables (49), we obtain the following system
ρ = ρ ( ρ 2 1 ) 16 L ( ρ , θ , η ) { 4608 η 7 ( 1 ρ 2 ) 5 / 2 + 768 η 5 ( 1 ρ 2 ) 3 / 2 6 cos 2 ( θ ) + ρ 2 ( ( 3 ϵ 1 ) cos ( 2 θ ) + 3 ϵ 5 ) 16 η 3 1 ρ 2 ρ 2 ρ 2 ( 39 cos ( 4 θ ) + ( 48 ϵ 4 ) cos ( 2 θ ) + 48 ϵ 75 ) 48 cos 2 ( θ ) ( ( ϵ + 4 ) cos ( 2 θ ) + ϵ 4 ) + 48 η 1 ρ 2 ρ 4 cos 2 ( θ ) ( 36 cos ( 2 θ ) + ( 8 ϵ 1 ) cos ( 4 θ ) 8 ϵ 3 ) + 384 η 4 ρ ρ 2 1 cos ( θ ) 6 ζ 3 λ + cos ( 2 θ ) 6 ζ + 3 λ + ρ 2 ( 2 ζ ( ϵ 3 ) λ ) + ρ 2 ( λ + 2 ζ ( ϵ 3 ) ) + 32 η 2 ρ 3 cos ( θ ) ρ 2 ( 4 cos ( 2 θ ) ( ζ 4 λ 6 ζ ϵ ) + cos ( 4 θ ) ( 13 ζ + 4 λ 8 ζ ϵ 2 λ ϵ ) ( ζ ( 16 ϵ + 9 ) ) + 2 λ ( ϵ + 6 ) ) + 192 η 2 ρ 3 cos ( θ ) ( ( ϵ 2 ) cos ( 2 θ ) + ϵ + 2 ) ( ( 2 ζ + λ ) cos ( 2 θ ) + 2 ζ λ ) + ( ρ 5 ( cos ( θ ) ( ζ ( 40 ϵ + 94 ) + λ ( 4 ϵ + 3 ) ) ) + ρ 5 cos ( 3 θ ) ( 18 ζ + 7 λ + 8 ζ ϵ 28 λ ϵ ) + 3 ρ 5 cos ( 5 θ ) ( 2 ζ + 7 λ + 8 ζ ϵ + 4 λ ϵ ) + ρ 5 ( 4 ϵ 5 ) ( 2 ζ + 5 λ ) cos ( 7 θ ) ) } ,
θ = sin ( 2 θ ) 16 L ( ρ , θ , η ) { 288 η 4 ρ ρ 2 1 2 ( 2 ζ + λ ) cos ( θ ) + 576 η 5 1 ρ 2 5 / 2 48 η 2 ρ 3 ρ 2 1 ( 2 ζ + λ ) cos ( θ ) ( ( ϵ 2 ) cos ( 2 θ ) + ϵ + 2 ) + ρ 5 ( 2 ζ + 5 λ ) cos ( θ ) ( 12 cos ( 2 θ ) + ( 4 ϵ 5 ) cos ( 4 θ ) 4 ϵ 15 ) + 96 η 3 ρ 2 1 ρ 2 3 / 2 ( ( ϵ + 4 ) cos ( 2 θ ) + ϵ 4 ) + 6 η ρ 4 1 ρ 2 ( 36 cos ( 2 θ ) + ( 8 ϵ 1 ) cos ( 4 θ ) 8 ϵ 3 ) } ,
η = η η 2 1 L ( ρ , θ , η ) { 36 η 5 1 ρ 2 5 / 2 + 6 η 2 ρ 3 ρ 2 1 cos ( θ ) ( λ + cos ( 2 θ ) ( λ + ζ ϵ ) + ζ ϵ ) + 2 ρ 5 cos ( θ ) ζ cos 4 ( θ ) 2 λ sin 4 ( θ ) + ϵ ( 2 ζ λ ) sin 2 ( θ ) cos 2 ( θ ) + 6 η 3 ρ 2 1 ρ 2 3 / 2 ( ( 3 ϵ + 2 ) cos ( 2 θ ) + 3 ϵ 2 ) + η ρ 4 1 ρ 2 4 sin 4 ( θ ) + 5 cos 4 ( θ ) 3 ϵ sin 2 ( 2 θ ) } ,
defined on the phase-space
{ ( ρ , θ , η ) R 3 : 0 < ρ < 1 , π θ π , 1 η 1 } .
Here, we used the notation
L ( ρ , θ , η , ϵ ) = 288 η 4 ρ 2 1 2 + 48 η 2 ρ 2 ρ 2 1 ( ( ϵ 2 ) cos ( 2 θ ) + ϵ + 2 ) + ρ 4 ( 4 cos ( 2 θ ) + 3 ( ( 3 4 ϵ ) cos ( 4 θ ) + 4 ϵ + 9 ) ) ,
and defined a new time variable by
f : = 1 ρ 2 d f d τ .

4.3.1. Analysis of System (50)–(52) for ϵ = 1

This section presents the analysis of system (50)–(52) for the quintessence field ( ϵ = 1 ). The equilibrium points of the system, with their stability conditions, are summarized in Table 6.
The equilibrium points for system (50)–(52) with ϵ = 1 in the coordinates ( ρ , θ , η ) are the following.
  • T 1 = ( 1 , π 2 , η ) with eigenvalues { 0 , 0 , 0 } . This is a nonhyperbolic set of point with ω ϕ ( T 1 ) = 1 3 and q ( T 1 ) = 0 .
  • T 2 = ( 1 , 0 , 0 ) with eigenvalues 2 ζ 5 , 1 10 ( 2 ζ + 5 λ ) , 2 ζ 5 . For this equilibrium point, we have that ω ϕ ( T 2 ) and q ( T 2 ) blow up for η = 0 , so we present the analysis in Figure 35. We see that for ζ = 3 , λ = 1 and negative values of η , ω ϕ ( T 2 ) and q ( T 2 ) tend to minus infinity as ρ 1 but they tend to 1 3 and 0, respectively, as ρ 0 . For positive values of η and ζ = 3 , λ = 1 , the opposite occurs, ω ϕ ( T 2 ) and q ( T 2 ) tend to infinity as ρ 1 , but they tend to 1 3 and 0, respectively, as ρ 0 . If we consider negative values of ζ and λ , the behavior is symmetric. We also see that this equilibrium point is
    (a)
    a saddle for λ R , ζ 0 , ζ 5 λ 2 ;
    (b)
    nonhyperbolic for
    i.
    ζ = 0 or
    ii.
    ζ = 5 λ 2 .
  • T 3 = ( 1 , π , 0 ) , with eigenvalues 2 ζ 5 , 1 10 ( 2 ζ 5 λ ) , 2 ζ 5 . For this equilibrium point, the behavior of ω ϕ ( T 3 ) and q ( T 3 ) is similar that for T 2 , meaning that these parameters blow up as η goes to 0. Taking a sign change in ζ , λ in Figure 35 we show a symmetric behavior in Figure 36. This equilibrium point is also
    (a)
    a saddle for λ R , ζ 0 , ζ 5 λ 2 ;
    (b)
    nonhyperbolic for
    i.
    ζ = 0 or
    ii.
    ζ = 5 λ 2 .
  • T 4 , 5 = ( 1 , 0 , ± 1 ) with eigenvalues 2 ζ 5 , 4 ζ 5 , 1 10 ( 2 ζ + 5 λ ) . For these equilibrium points, we have ω ϕ ( T 4 , 5 ) = f 1 ( ρ , ζ ) and q ( T 4 , 5 ) = f 2 ( ρ , ζ ) . We verify that lim ρ 1 ( ω ϕ ( T 4 , 5 ) ) and lim ρ 1 ( q ( T 4 , 5 ) ) are directed infinity that depend on the sign of ζ . However, for ρ 0 , we have that ω ϕ ( T 4 , 5 ) = 1 3 and q ( T 4 , 5 ) = 0 , see Figure 37. Performing the stability analysis, we see that the equilibrium points are
    (a)
    saddle for λ R , ζ 0 , ζ 5 λ 2 ;
    (b)
    nonhyperbolic for
    i.
    ζ = 0 or
    ii.
    ζ = 5 λ 2 .
  • T 6 , 7 = ( 1 , π , ± 1 ) with eigenvalues 2 ζ 5 , 4 ζ 5 , 1 10 ( 2 ζ 5 λ ) . For these equilibrium points, we have ω ϕ ( T 6 , 7 ) = f 1 ( ρ , ζ ) and q ( T 6 , 7 ) = f 2 ( ρ , ζ ) . We verify that lim ρ 1 ( ω ϕ ( T 6 , 7 ) ) and lim ρ 1 ( q ( T 6 , 7 ) ) are directed infinity that depend on the sign of ζ . However, for ρ 0 , we have that ω ϕ ( T 6 , 7 ) = 1 3 and q ( T 6 , 7 ) = 0 , see Figure 38. By performing the stability analysis, we conclude that the equilibrium points are
    (a)
    saddle for λ R , ζ 0 , ζ 5 λ 2 ;
    (b)
    nonhyperbolic for
    i.
    ζ = 0 or
    ii.
    ζ = 5 λ 2 .
  • S 1 = ( 0 , 0 , 1 ) , with eigenvalues { 2 , 2 , 1 } . This equilibrium point is a saddle and has ω ϕ ( S 1 ) = 1 3 and q ( S 1 ) = 0 .
  • S 2 = ( 0 , 0 , 1 ) , with eigenvalues { 2 , 2 , 1 } . This equilibrium point is a saddle and has ω ϕ ( S 2 ) = 1 3 and q ( S 2 ) = 0 .
  • S 3 = ( 0 , π 2 , 1 ) , with eigenvalues { 2 , 2 , 1 } . This equilibrium point is a source and has ω ϕ ( S 3 ) = 1 3 and q ( S 3 ) = 0 .
  • S 4 = ( 0 , π 2 , 1 ) , with eigenvalues { 2 , 2 , 1 } . This equilibrium point is a sink and has ω ϕ ( S 4 ) = 1 3 and q ( S 4 ) = 0 .
  • S 5 = ( 0 , π , 1 ) , with eigenvalues { 2 , 2 , 1 } . This equilibrium point is a saddle and has ω ϕ ( S 5 ) = 1 3 and q ( S 5 ) = 0 .
  • S 6 = ( 0 , π , 1 ) , with eigenvalues { 2 , 2 , 1 } . This equilibrium point is a saddle and has ω ϕ ( S 6 ) = 1 3 and q ( S 6 ) = 0 .
  • S 7 = ( 0 , θ , 0 ) with eigenvalues { 0 , 0 , 0 } is represented in Figure 39 as a dashed red line. This set of points is nonhyperbolic with ω ϕ ( S 7 ) = 1 3 and q ( S 7 ) = 0 .
The equilibrium points S i with i = 1 , , 7 have ρ = 0 ; this means that in the finite case, x = y = 0 . Additionally, since q ( S i ) = 0 , the asymptotic solution for these points represents a universe dominated by the Gauss–Bonnet term.
In Figure 39 is depicted a three–dimensional phase space for system (50)–(52) for different values of the parameters ζ , and λ . The dashed black line corresponds to T 1 , and the dashed red line corresponds to S 7 .

4.3.2. Analysis of System (50)–(52) for ϵ = 1

This section presents the analysis of system (50)–(52) for the phantom field ( ϵ = 1 ). The equilibrium points of the system, with their stability conditions, are summarized in Table 7.
The equilibrium points for system (50)–(52) for ϵ = 1 are the same points as in Section 4.3.1 that is
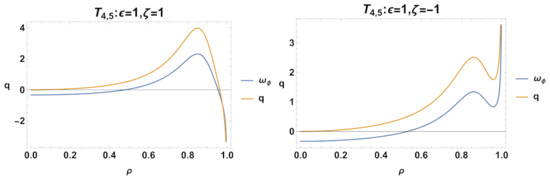
  • T 1 = ( 1 , π 2 , η ) , with eigenvalues ( 0 , 0 , 0 ) this set of points is nonhyperbolic. For this equilibrium point, we have ω ϕ ( T 1 ) = 1 3 and q ( T 1 ) = 0 .
  • T 2 = ( 1 , 0 , 0 ) with eigenvalues 2 ζ 5 , 1 10 ( 2 ζ + 5 λ ) , 2 ζ 5 . The stability analysis is performed similarly to Section 4.3.1. For the study of ω ϕ ( T 2 ) and q ( T 2 ) , we see that these expressions blow up for η = 0 ; because of this, we present Figure 40. For η 0 + , we verify that lim ρ 1 ( lim η 0 + ( ω ϕ ( T 2 ) ) ) = sgn ( ζ ) and lim ρ 1 ( lim η 0 + ( q ( T 2 ) ) ) = sgn ( ζ ) . On the other direction, that is η 0 , we have lim ρ 1 ( lim η 0 ( ω ϕ ( T 2 ) ) ) = sgn ( ζ ) and lim ρ 1 ( lim η 0 ( q ( T 2 ) ) ) = sgn ( ζ ) .
  • T 3 = ( 1 , π , 0 ) , with eigenvalues 2 ζ 5 , 1 10 ( 2 ζ 5 λ ) , 2 ζ 5 . The stability analysis is the same as in Section 4.3.1. Since the EoS and deceleration parameters blow up for η = 0 , we study their behavior in Figure 41. For η 0 + , we verify that lim ρ 1 ( lim η 0 + ( ω ϕ ( T 3 ) ) ) = sgn ( ζ ) and lim ρ 1 ( lim η 0 + ( q ( T 3 ) ) ) = sgn ( ζ ) . On the other direction, that is η 0 , we have lim ρ 1 ( lim η 0 ( ω ϕ ( T 3 ) ) ) = sgn ( ζ ) and lim ρ 1 ( lim η 0 ( q ( T 3 ) ) ) = sgn ( ζ ) .
  • T 4 , 5 = ( 1 , 0 , ± 1 ) , with eigenvalues 2 ζ 5 , 4 ζ 5 , ζ 5 + λ 2 . The stability analysis is the same as in Section 4.3.1. However, we verify that the limit as ρ 1 of the EoS and deceleration parameters are directed infinity that depend on the sign of ζ . We also see that lim ρ 0 ( ω ϕ ( T 4 , 5 ) ) = 1 3 and lim ρ 0 ( q ( T 4 , 5 ) ) = 0 , see Figure 42.
  • T 6 , 7 = ( 1 , π , ± 1 ) , with eigenvalues 2 ζ 5 , 4 ζ 5 , ζ 5 λ 2 . The stability analysis is the same as in Section 4.3.1. Something similar (to the previous two points) occurs to ω ϕ ( T 6 , 7 ) and q ( T 6 , 7 ) ; that is, they have directed infinity, but in this case, they depend on the sign of ζ , see Figure 43.
  • S 1 = ( 0 , 0 , 1 ) , with eigenvalues { 2 , 2 , 1 } . This equilibrium point is a saddle and has ω ϕ ( S 1 ) = 1 3 and q ( S 1 ) = 0 .
  • S 2 = ( 0 , 0 , 1 ) , with eigenvalues { 2 , 2 , 1 } . This equilibrium point is a saddle and has ω ϕ ( S 2 ) = 1 3 and q ( S 2 ) = 0 .
  • S 3 = ( 0 , π 2 , 1 ) , with eigenvalues { 2 , 2 , 1 } . This equilibrium point is a source and has ω ϕ ( S 3 ) = 1 3 and q ( S 3 ) = 0 .
  • S 4 = ( 0 , π 2 , 1 ) , with eigenvalues { 2 , 2 , 1 } . This equilibrium point is a sink and has ω ϕ ( S 4 ) = 1 3 and q ( S 4 ) = 0 .
  • S 5 = ( 0 , π , 1 ) , with eigenvalues { 2 , 2 , 1 } . This equilibrium point is a saddle and has ω ϕ ( S 5 ) = 1 3 and q ( S 5 ) = 0 .
  • S 6 = ( 0 , π , 1 ) , with eigenvalues { 2 , 2 , 1 } . This equilibrium point is a saddle and has ω ϕ ( S 6 ) = 1 3 and q ( S 6 ) = 0 .
  • S 7 = ( 0 , θ , 0 ) with eigenvalues { 0 , 0 , 0 } . This set of points is nonhyperbolic with ω ϕ ( S 7 ) = 1 3 and q ( S 7 ) = 0 .
Figure 40. Plots of ω ϕ and q for T 2 . The values of the physical observables are directed infinity that depend on the sign of ζ and the direction from which we approach η = 0 .
Figure 40. Plots of ω ϕ and q for T 2 . The values of the physical observables are directed infinity that depend on the sign of ζ and the direction from which we approach η = 0 .
Mathematics 11 01408 g040
Figure 41. Plot of ω ϕ and q for T 3 . The values of the physical observables are directed infinity that depend on the sign of ζ and the direction from which we approach η = 0 .
Figure 41. Plot of ω ϕ and q for T 3 . The values of the physical observables are directed infinity that depend on the sign of ζ and the direction from which we approach η = 0 .
Mathematics 11 01408 g041
Figure 42. Plot of ω ϕ , q for T 4 , 5 . We see that lim ρ 1 ( ω ϕ ( T 4 , 5 ) ) and lim ρ 1 ( q ( T 4 , 5 ) ) are directed infinity depending on the sign of ζ .
Figure 42. Plot of ω ϕ , q for T 4 , 5 . We see that lim ρ 1 ( ω ϕ ( T 4 , 5 ) ) and lim ρ 1 ( q ( T 4 , 5 ) ) are directed infinity depending on the sign of ζ .
Mathematics 11 01408 g042
Figure 43. Plot of ω ϕ , q for T 6 , 7 . We see that lim ρ 1 ( ω ϕ ( T 6 , 7 ) ) and lim ρ 1 ( q ( T 4 , 5 ) ) are directed infinity depending on the sign of ζ .
Figure 43. Plot of ω ϕ , q for T 6 , 7 . We see that lim ρ 1 ( ω ϕ ( T 6 , 7 ) ) and lim ρ 1 ( q ( T 4 , 5 ) ) are directed infinity depending on the sign of ζ .
Mathematics 11 01408 g043
Recall that the equilibrium point s S i with i = 1 , , 7 have ρ = 0 ; this means that in the finite case, x = y = 0 . Additionally, since q ( S i ) = 0 , the asymptotic solution for these points represents a universe dominated by the Gauss–Bonnet term. We also have the following additional points where α = arccot ( 2 ) . For these remaining points, we perform numerical analysis both on the real part of the eigenvalues and the behavior of ω ϕ and q .
  • T 8 = ( 1 , α , 1 ) . The eigenvalues are λ i ( ρ , ζ , λ ) for i = 1 , 2 , 3 ; the analysis is performed for some values of ζ and λ in Figure 44, where we see that the equilibrium point has a saddle or sink behavior. However, since ρ = 1 , the equilibrium point has source behavior in the limit ρ 1 . For this equilibrium point, we verify that both ω ϕ ( T 8 ) and q ( T 8 ) go to infinity as ρ 1 ; therefore, the equilibrium point cannot describe an accelerated universe regardless of the values of ζ , and λ , see Figure 45. We also verify that they tend to 1 3 and 0, respectively, as ρ 0 .
  • T 9 = ( 1 , α , 1 ) . The eigenvalues are λ i ( ρ , ζ , λ ) for i = 4 , 5 , 6 ; the analysis is performed for some values of ζ and λ in Figure 46. The equilibrium point has saddle or source behavior. The equilibrium point has sink behavior as ρ 1 . In addition, we verify that both ω ϕ ( T 9 ) and q ( T 9 ) go to infinity as ρ 1 . That means that the equilibrium point cannot describe an accelerated universe regardless of the values of ζ and λ , see Figure 47; we also verify that ω ϕ ( T 9 ) and q ( T 9 ) tends to 1 3 and 0, respectively, as ρ 0 .
  • T 10 = ( 1 , π α , 1 ) . The eigenvalues are δ i ( ρ , ζ , λ ) with i = 1 , 2 , 3 . The analysis is presented in Figure 48, where we verify that the behavior is symmetric as that of T 8 with respect to the signs of ζ and λ . The interpretation of the physical parameters ω ϕ ( T 10 ) , q ( T 10 ) is similar as in T 8 , see Figure 49.
  • T 11 = ( 1 , π α , 1 ) . The eigenvalues are δ i ( ρ , ζ , λ ) with i = 4 , 5 , 6 . The analysis is presented in Figure 50, where we verify that the behavior is symmetric as that of T 9 with respect to the signs of ζ and λ . The interpretation of the physical parameters ω ϕ ( T 11 ) , q ( T 11 ) is similar as in T 9 , see Figure 51.
  • T 12 = ( 1 , α , 0 ) . The eigenvalues are γ i ( ρ , ζ , λ , η ) with i = 1 , 2 , 3 . The equilibrium point has saddle behavior for values of η 0 ; however, since η is zero for this equilibrium point, T 12 is nonhyperbolic, see Figure 52. The physical parameters ω ϕ ( T 12 ) and q ( T 12 ) blow up for η = 0 , see Figure 53. In particular, we verify that lim ρ 1 ( lim η 0 ( ω ϕ ( T 12 ) ) ) = and lim ρ 1 ( lim η 0 ( q ( T 12 ) ) ) = ; given this, the equilibrium point cannot describe an accelerated universe.
  • T 13 = ( 1 , π α , 0 ) . The eigenvalues are γ i ( ρ , ζ , λ , η ) with i = 4 , 5 , 6 . The equilibrium point has the same problems with η = 0 , but the stability analysis is similar to that of T 12 (see Figure 54). Figure 55 depicts ω ϕ , q for T 13 . Once again we verify that lim ρ 1 ( lim η 0 ( ω ϕ ( T 13 ) ) ) = and lim ρ 1 ( lim η 0 ( q ( T 13 ) ) ) = .
In Figure 56, we present some three-dimensional phase-plot diagrams for ϵ = 1 , λ = 1 , and different values of ζ .
Figure 44. Real part of the eigenvalues of T 8 for different values of the parameters ζ and λ with 0 ρ 1 . These equilibrium points exhibits source behavior for ρ 1 .
Figure 44. Real part of the eigenvalues of T 8 for different values of the parameters ζ and λ with 0 ρ 1 . These equilibrium points exhibits source behavior for ρ 1 .
Mathematics 11 01408 g044
Figure 45. Plots of ω ϕ , q for T 8 . They go to infinity as ρ 1 .
Figure 45. Plots of ω ϕ , q for T 8 . They go to infinity as ρ 1 .
Mathematics 11 01408 g045
Figure 46. Real part of the eigenvalues of T 9 for different values of the parameters ζ and λ with 0 ρ 1 . This equilibrium points exhibits saddle, source, or sink behavior.
Figure 46. Real part of the eigenvalues of T 9 for different values of the parameters ζ and λ with 0 ρ 1 . This equilibrium points exhibits saddle, source, or sink behavior.
Mathematics 11 01408 g046
Figure 47. Plots of ω ϕ , q for T 9 . They go to infinity as ρ 1 .
Figure 47. Plots of ω ϕ , q for T 9 . They go to infinity as ρ 1 .
Mathematics 11 01408 g047
Figure 48. Real part of the eigenvalues of T 10 for different values of the parameters ζ and λ with 0 ρ 1 . This equilibrium point exhibits source behavior as ρ 1 .
Figure 48. Real part of the eigenvalues of T 10 for different values of the parameters ζ and λ with 0 ρ 1 . This equilibrium point exhibits source behavior as ρ 1 .
Mathematics 11 01408 g048
Figure 49. Plots of ω ϕ , q for T 10 . They go to infinity as ρ 1 .
Figure 49. Plots of ω ϕ , q for T 10 . They go to infinity as ρ 1 .
Mathematics 11 01408 g049
Figure 50. Real part of the eigenvalues of T 11 for different values of the parameters ζ and λ with 0 ρ 1 . This equilibrium point exhibits saddle, source, or sink behavior.
Figure 50. Real part of the eigenvalues of T 11 for different values of the parameters ζ and λ with 0 ρ 1 . This equilibrium point exhibits saddle, source, or sink behavior.
Mathematics 11 01408 g050
Figure 51. Plots of ω ϕ , q for T 11 . They go to infinity as ρ 1 .
Figure 51. Plots of ω ϕ , q for T 11 . They go to infinity as ρ 1 .
Mathematics 11 01408 g051
Figure 52. Real part of the eigenvalues of T 12 for different values of the parameters ζ and λ with 0 ρ 1 and 1 η 1 . This equilibrium point exhibits saddle or nonhyperbolic behavior.
Figure 52. Real part of the eigenvalues of T 12 for different values of the parameters ζ and λ with 0 ρ 1 and 1 η 1 . This equilibrium point exhibits saddle or nonhyperbolic behavior.
Mathematics 11 01408 g052
Figure 53. Plots of ω ϕ , q for T 12 . They go to infinity as ρ 1 .
Figure 53. Plots of ω ϕ , q for T 12 . They go to infinity as ρ 1 .
Mathematics 11 01408 g053
Figure 54. Real part of the eigenvalues of T 13 for different values of the parameters ζ and λ with 0 ρ 1 and 1 η 1 . This equilibrium point exhibits saddle and nonhyperbolic behavior.
Figure 54. Real part of the eigenvalues of T 13 for different values of the parameters ζ and λ with 0 ρ 1 and 1 η 1 . This equilibrium point exhibits saddle and nonhyperbolic behavior.
Mathematics 11 01408 g054
Figure 55. Plots of ω ϕ , q for T 13 . They go to infinity as ρ 1 .
Figure 55. Plots of ω ϕ , q for T 13 . They go to infinity as ρ 1 .
Mathematics 11 01408 g055
Figure 56. Three dimensional phase space for system (50)–(52) for different values of the parameters ζ , and λ . The dashed black line corresponds to the set of equilibrium points T 1 , and the dashed red line corresponds to S 7 .
Figure 56. Three dimensional phase space for system (50)–(52) for different values of the parameters ζ , and λ . The dashed black line corresponds to the set of equilibrium points T 1 , and the dashed red line corresponds to S 7 .
Mathematics 11 01408 g056

5. Conclusions

In this work, we considered a four-dimensional FLRW geometry and a second-order modified gravitational theory with a scalar field coupled to the Gauss–Bonnet scalar. The Gauss–Bonnet term does not contribute to the gravitational Action Integral in the limit where the scalar field is constant. The theory reduces to General Relativity with a cosmological constant term. However, for a dynamical scalar field, the physical properties of the present cosmological model are distinct from that of the minimally coupled scalar field theory.
In order to study the dynamical properties of the phase-space and physical variables, we introduced dimensionless variables different from that of the H-normalization. The latter is because, from the field equations, we observed that it is possible in Einstein–Gauss–Bonnet scalar field theory that the Hubble function can change its sign during its evolution, which means it can vanish. Hence, the H-normalization, widely applied before, must be validated for global analysis and the complete reconstruction of the cosmological history and epochs. Additionally, we observed that the dynamical variables are not bounded in a finite regime, which means that to perform a complete study of the phase-space, we assumed compactified variables to investigate the asymptotic behavior of the model at infinity.
The phase-space analysis of the gravitational field equations is a novel mathematical approach to the model’s asymptotic description and evolution of the physical variables. In cosmological studies, such analysis provides essential information about the significant cosmological eras the theory provides. Simultaneously, important conclusions about the viability of the theory can be made. According to cosmological observations, some particular forms of matter at each stage seem to dominate evolution. The required dominance should be translated into different critical points, around which cosmological solutions remain a lapse of time before approaching a stable late-time configuration. In the dynamical systems language, complete cosmological dynamics [75] can be understood as an orbit connecting a past attractor, also called a source, with a late-time attractor, called a sink, that passes through some saddle points such that radiation precedes matter domination. These are often the extreme points of the orbits and therefore describe the asymptotic behavior. However, some solutions interpolate between critical points and then provide information on the intermediate stages of the evolution, with interest in orbits corresponding to a specific cosmological history [76,77,78,79]. However, according to our setup, we have partial cosmological dynamics. Therefore, the analysis incorporating additional matter fields to complete cosmological dynamics is left to a forthcoming investigation.
The gravitational Action Integral depends on two functions, which are the coupling function of the scalar field with the Gauss–Bonnet scalar and the scalar field potential. For the coupling functions, we consider two functional forms, the exponential function, a power-law function, while the potential we assume to be the exponential functional form. Moreover, a parameter ϵ = ± 1 has been introduced in the kinetic part of the scalar field, such that the scalar field is a quintessence field, ϵ = + 1 , or a phantom field, ϵ = 1 . The two functional forms for the coupling function of the scalar field with the Gauss–Bonnet scalar provide different cosmological evolution. Last, but not least, the stability properties of the asymptotic solutions were investigated.
For the linear coupling function with a quintessence scalar field, we have found the following equilibrium points for the system (21) and (22) for ϵ = + 1 , as it was summarized in Table 1. Say,
  • M : ( x , η ) = ( 0 , 0 ) , which does not appears in the reference [72], because it corresponds to H = 0 . It is nonhyperbolic, and the effective EoS and deceleration parameters are indeterminate.
  • The sources points are P 1 : ( x , η ) = ( 0 , 1 ) and P 4 : 4 3 λ , 1 , which have ω ϕ = 1 3 , and q = 0 which are related to cosmic strings.
  • The sinks are P 2 : ( x , η ) = ( 0 , 1 ) and P 3 : ( x , η ) = 4 3 λ , 1 , which have ω ϕ = 1 3 , and q = 0 , therefore, they are related to cosmic strings.
  • The de Sitter solutions ( ω ϕ = 1 and q = 1 ), P 5 , 6 : ( x , η ) = 0 , λ λ 8 f 0 are saddle.
To present one possible evolution of the physical model, Figure 2 depicts ω ϕ ( τ ) , x ( τ ) and η ( τ ) evaluated at the solution of system (21) and (22) for ϵ = 1 for initial conditions near the saddle point P 5 . The solution is past asymptotic to a phantom regime ω ϕ < 1 , then remains near the de Sitter point P 5 approaching the phantom solution ω ϕ = 2 (whence x ), and then crosses from below ω ϕ = 1 / 3 (zero acceleration), decelerating ω ϕ > 1 / 3 and tending asymptotically to ω ϕ = 1 / 3 from above. This evolution, in which the equation of state parameter of the scalar field interpolates between 1 and 1 / 3 , corresponds to an inflationary solution, which does not eliminate the topological defect of the cosmic string. This behavior is due to the linear coupling between the scalar field and the Gauss–Bonnet term.
For the linear coupling function with a phantom scalar field, we have found the following equilibrium points for the system (21) and (22) for ϵ = 1 , as it was summarized in Table 2.
  • As for the quintessence field, the stability conditions and the physical interpretation of M : ( x , η ) = ( 0 , 0 ) (with ω ϕ and q indeterminate) , P 1 , 2 : ( x , η ) = ( 0 , ± 1 ) , and P 3 , 4 : ( x , η ) = ± 4 3 λ , ± 1 (which have ω ϕ = 1 3 , and q = 0 ) which are related to cosmic strings, and the Sitter solutions ( ω ϕ = 1 and q 1 ) P 5 , 6 : ( x , η ) = 0 , λ λ 8 f 0 are the same as for quintessence.
  • Because of the phantom’s negative kinetic energy, we obtain new points compared with the quintessence case. For example , P 7 : ( x , η ) = 3 2 5 4 30 f 0 + 3 , 1 4 10 3 f 0 + 1 is sink for λ < 0 , a saddle for λ > 0 , or nonhyperbolic for λ = 0 .
  • Moreover, P 8 : ( x , η ) = 3 2 5 4 30 f 0 + 3 , 1 4 10 3 f 0 + 1 is a source for λ < 0 , a saddle for λ > 0 , or nonhyperbolic for λ = 0 .
  • Furthermore, the equilibrium point P 9 : ( x , η ) = 3 2 5 3 4 30 f 0 , 1 1 4 10 3 f 0 is source for λ > 0 , a saddle for λ < 0 , or nonhyperbolic for λ = 0 .
  • Finally, P 10 : ( x , η ) = 3 2 5 3 4 30 f 0 , 1 1 4 10 3 f 0 is a sink for λ > 0 , a saddle for λ < 0 , or nonhyperbolic for λ = 0 . The four solutions are de Sitter solutions with ω ϕ = 1 and q = 1 which can be late-time, early-time solutions, or intermediate stages in the evolution.
To present one possible evolution of the physical model, Figure 5 depicts ω ϕ ( τ ) , x ( τ ) , and η ( τ ) evaluated at the solution of system (21) and (22) for ϵ = 1 and initial conditions near the saddle point P 6 . The solution is past asymptotic to ω ϕ = 1 / 3 , then remains near the de Sitter point P 6 approaching a quintessence solution 1 < ω ϕ < 1 / 3 , and then tending asymptotically to ω ϕ = 1 (de Sitter point P 7 ) from above. The past attractor is dominated by the Gauss–Bonnet term, and then the saddle point P 6 corresponds to an inflationary solution, eliminating the topological defect of the cosmic string. The late-time attractor is a de Sitter solution. Therefore, this solution connects inflation with late-time acceleration. This behavior is due to the linear coupling between the scalar field and the Gauss–Bonnet term.
Because there is non trivial dynamics as | x | , we have introduced a compactified variable x x / 1 + x 2 . The equilibrium points of system (27) and (28) at the finite region are the same as of (21) and (22) by the re-scaling accordingly; whereas, the equilibrium points at infinity, which are those satisfying u = ± 1 , are summarized in Table 3. They are the following.
  • Q 1 , 2 : ( u , η ) = ( 1 , ± 1 ) and Q 3 , 4 : ( u , η ) = ( 1 , ± 1 ) are saddle for λ 0 , nonhyperbolic for λ = 0 . They corresponds to cosmic strings with ω ϕ = 1 3 , q = 0 .
  • The de Sitter solutions with infinity x are Q 5 , 7 : ( u , η ) = 1 , ± 1 4 f 0 λ ϵ + 1 , which are sink for λ > 0 , source for λ < 0 , or nonhyperbolic for λ = 0 , and Q 6 , 8 : ( u , η ) = 1 , ± 1 4 f 0 λ ϵ + 1 , which are source for λ > 0 , sink for λ < 0 , nonhyperbolic for λ = 0 .
As per the evolution of the observables regards, we have produced Figure 8 and Figure 9, which retain the information of Figure 2 and Figure 5, respectively, as x ± .
For the exponential coupling function with a quintessence scalar field, we have found the following equilibrium points in the coordinates ( x , y , η ) of system (35)–(37) for ϵ = 1 . Say, we obtain the following equilibrium points at the finite region. The stability analysis of the equilibrium point of the system is summarized in Table 4.
  • The line of equilibrium points Z 1 : ( x , y , η ) = 0 , y , 0 that is nonhyperbolic with ω ϕ and q indeterminate.
  • The equilibrium point Z 2 : ( x , y , η ) = 0 , 0 , 1 is a source with ω ϕ = 1 / 3 and q = 0 .
  • The equilibrium point Z 3 : ( x , y , η ) = 0 , 0 , 1 is sink ω ϕ = 1 / 3 and q = 0 .
  • The equilibrium point Z 4 : ( x , y , η ) = 6 , 0 , 1 is source for λ > 6 , ζ > 6 , a saddle for λ < 6 or ζ < 6 , or nonhyperbolic for λ = 6 or ζ = 6 . The cosmological observables are ω ϕ = 1 , q = 2 . It is a stiff-matter solution.
  • The equilibrium point Z 5 : ( x , y , η ) = 6 , 0 , 1 is sink for λ < 6 , ζ < 6 , a saddle for λ > 6 or ζ > 6 , or nonhyperbolic for λ = 6 or ζ = 6 . The cosmological observables are ω ϕ = 1 , q = 2 . It is a stiff-matter solution.
  • The equilibrium point Z 6 : ( x , y , η ) = 6 , 0 , 1 . It is a source for λ < 6 , ζ < 6 , a saddle for λ > 6 or ζ > 6 , or nonhyperbolic for λ = 6 or ζ = 6 . The cosmological observables are ω ϕ = 1 , q = 2 . It is a stiff-matter solution.
  • The equilibrium point Z 7 : ( x , y , η ) = 6 , 0 , 1 . It is a sink for λ > 6 , ζ > 6 , a saddle for λ < 6 or ζ < 6 , or nonhyperbolic for λ = 6 or ζ = 6 .
  • The equilibrium point Z 8 : ( x , y , η ) = λ , 3 λ 2 2 , 1 is nonhyperbolic for λ { 0 , ζ , 6 , 6 } , or a saddle for 6 < λ < 0 , ζ < λ , or 0 < λ < 6 , ζ > λ , or 6 < λ < 0 , ζ > λ , or 0 < λ < 6 , ζ < λ .
  • The equilibrium point Z 9 : ( x , y , η ) = λ , 3 λ 2 2 , 1 is nonhyperbolic for λ { 0 , ζ , 6 , 6 } , or a saddle for 6 < λ < 0 , ζ < λ , or 0 < λ < 6 , ζ > λ , or 6 < λ < 0 , ζ > λ , or 0 < λ < 6 , ζ < λ . For Z 8 , 9 , the cosmological observables are ω ϕ = 1 3 λ 2 3 and q = 1 2 λ 2 2 , from where we infer that acceleration occurs for λ 2 < 2 .
  • The equilibrium point Z 10 , with x given by Equation (41) , y = 0 and η = 1 is source or saddle, according to Figure 10, because ω ϕ 1 / 3 and q 0 are decelerating solutions.
  • The equilibrium point Z 11 , with x given by Equation (42) , y = 0 and η = 1 is saddle, as shown in Figure 12, because ω ϕ 1 / 3 and q 0 are decelerating solutions.
  • Finally, the equilibrium point Z 12 , with x given by Equation (43) , y = 0 and η = 1 is a sink or a saddle, as shown in Figure 14, because ω ϕ > 1 and q > 2 correspond to a solution with superluminal behavior.
To present one possible evolution of the physical model, Figure 19 depicts ω ϕ ( τ ) evaluated at the solution of system (35)–(37) for ϵ = 1 and initial conditions x ( 0 ) = 0.001 , y ( 0 ) = 0.001 , η ( 0 ) = 1 . The solution is past asymptotic to ω ϕ = 1 / 3 (zero acceleration, cosmic string fluid), then crosses the line ω > 1 (superluminal evolution) twice, remaining near the de Sitter point ω ϕ = 1 (de Sitter point, inflation) from above, following an era where ω ϕ = 2 / 3 (domain wall), before an accelerated de Sitter solution ω ϕ = 1 (late-time acceleration). The past attractor is dominated by the Gauss–Bonnet term. Then, the saddle point corresponds to an inflationary solution with ω = 1 , eliminating the topological defect of the cosmic string. At the latter stage, the solution has ω = 2 / 3 corresponding to a domain wall. The late-time attractor is a de Sitter solution that allows the latter cosmological defect to exit. Therefore, this solution connects inflation with late-time acceleration. This behavior is due to the exponential coupling between the scalar field and the Gauss–Bonnet term.
For the exponential coupling function with a phantom scalar field, we have found the following equilibrium points of system (35)–(37) for ϵ = 1 summarized in Table 5. They are the following.
  • The line of equilibrium points Z 1 : ( x , y , η ) = 0 , y , 0 is nonhyperbolic with EoS and deceleration parameters indeterminate.
  • The equilibrium point Z 2 : ( x , y , η ) = ( 0 , 0 , 1 ) is a source with ω ϕ = 1 3 and q = 0 , and Z 3 : ( x , y , η ) = ( 0 , 0 , 1 ) is a sink with ω ϕ = 1 3 and q = 0 . They have the same behavior as the analogous point in the quintessence case.
  • Because of the phantom’s negative kinetic energy, we obtain new points compared with the quintessence case. For example , Z 13 : ( x , y , η ) = λ , 3 + λ 2 2 , 1 is nonhyperbolic for λ = 0 or ζ = λ , or a sink for λ < 0 , ζ > λ , or λ > 0 , ζ < λ , or a saddle for λ < 0 , ζ < λ , or λ > 0 , ζ > λ .
  • The equilibrium point Z 14 : ( x , y , η ) = λ , 3 + λ 2 2 , 1 is nonhyperbolic for λ = 0 or ζ = λ , a source for λ < 0 , ζ > λ , or λ > 0 , ζ < λ . It is a saddle for λ < 0 , ζ < λ , or λ > 0 , ζ > λ . The cosmological observables for Z 13 , 14 are ω ϕ = 1 3 ( λ 2 + 3 ) and q = 1 2 ( λ 2 + 2 ) ; they are always phantom accelerated solutions.
  • The equilibrium point Z 15 with x given by Equation (43), y = 0 and η = 1 is a source or saddle, according to Figure 20. The cosmological observables are ω ϕ > 0 and q > 0 , see Figure 21.
  • The equilibrium point Z 16 with x given by Equation (44), y = 0 and η = 1 is a sink or a saddle, see Figure 22. The cosmological observables are ω ϕ < 0 and q < 0 , see Figure 23.
  • The equilibrium point Z 17 with x given by Equation (45), y = 0 and η = 1 is a saddle, see Figure 24. The cosmological observables are ω ϕ 1 3 and q 0 , see Figure 25.
  • The equilibrium point Z 18 with x given by Equation (46), y = 0 and η = 1 is a source, see Figure 26. The cosmological observables are ω ϕ < 0 and q < 0 , see Figure 27.
  • The equilibrium point Z 19 with x given by Equation (47), y = 0 and η = 1 is a sink or a saddle, see Figure 28. The cosmological observables are ω ϕ > 0 and q > 0 , see Figure 29.
  • The equilibrium point Z 20 with x given by Equation (48), y = 0 and η = 1 is a saddle, see Figure 30. The cosmological observables are ω ϕ < 0 and q < 0 , see Figure 31.
To present one possible evolution of the physical model, Figure 34 depicts ω ϕ ( τ ) evaluated at the solution of system (35)–(37) for ϵ = 1 and initial conditions x ( 0 ) = 0.001 , y ( 0 ) = 0.001 , η ( 0 ) = 1 . The solution is past asymptotic to ω ϕ = 1 / 3 and future asymptotic to a phantom solution with ω ϕ = 2 (late-time acceleration). The late-time attractor is a phantom solution that allows the latter cosmological defect to exit. This behavior is due to the exponential coupling between the scalar field and the Gauss–Bonnet term.
Because there are non-trivial dynamics at infinity, we have introduced the Poincaré compactification variables along with the definition of η as given by (49) which leads to the system (50)–(52). The equilibrium points are the following.
  • T 1 : ρ , θ , η = 0 , π 2 , 0 . It is nonhyperbolic. The cosmological observables are ω ϕ = 1 3 , and q = 0 .
  • The equilibrium point T 2 : ρ , θ , η = 1 , 0 , 0 is a saddle. The EoS parameter and the deceleration parameter are represented in Figure 35.
  • The equilibrium point T 3 ρ , θ , η = 1 , π , 0 is a saddle. The EoS parameter and the deceleration parameter are represented in Figure 36.
  • The equilibrium point T 4 , 5 : ρ , θ , η = 1 , 0 , ± 1 is a saddle. The EoS parameter and the deceleration parameter are represented in Figure 37.
  • The equilibrium point T 6 , 7 : ρ , θ , η = 1 , π , ± 1 is a saddle. The EoS parameter and the deceleration parameter are represented in Figure 38.
  • The equilibrium point S 1 : ρ , θ , η = 0 , 0 , 1 is a saddle.
  • The equilibrium point S 2 : ρ , θ , η = 0 , 0 , 1 is a saddle.
  • The equilibrium point S 3 : ρ , θ , η = 0 , π 2 , 1 is a source.
  • The equilibrium point S 4 : ρ , θ , η = 0 , π 2 , 1 is a sink.
  • The equilibrium point S 5 : ρ , θ , η = 0 , π , 1 is a saddle.
  • The equilibrium point S 6 : ρ , θ , η = 0 , π , 1 is a saddle.
  • The equilibrium point S 7 : ρ , θ , η = 0 , θ , 0 is nonhyperbolic. The cosmological observables of S 1 to S 7 are ω ϕ = 1 3 and q = 0 . They correspond to cosmic string solutions.
  • As in the quintessence case, the equilibrium points from T 1 to T 7 and S 1 to S 7 are the same. Their stability conditions and cosmological interpretations are identical to the analogous quintessence points.
  • Because of the phantom’s negative kinetic energy, we obtain new points compared with the quintessence case. For example , T 8 : ρ , θ , η = 1 , α , 1 , where α = arccot ( 2 ) , T 9 : ρ , θ , η = 1 , α , 1 , T 10 : ρ , θ , η = 1 , π α , 1 , T 11 : ρ , θ , η = 1 , π α , 1 , T 12 : ρ , θ , η = 1 , α , 0 , T 13 : ρ , θ , η = 1 , π α , 0 . By analyzing numerically ω ϕ and q, we conclude that T 8 to T 13 cannot correspond to the current accelerated universe since ω ϕ and q as ρ 1 .
This study extends and completes previous results in the literature in Einstein–Gauss–Bonnet scalar field cosmology [71,72]. The analysis indicates that the theory can explain the main eras of cosmological history. We plan to extend the further analysis in future work by introducing matter source components and new functional forms for the scalar field potential and the coupling function.

Author Contributions

Conceptualization, A.D.M. and A.P.; methodology, A.D.M. and A.P.; software, A.D.M. and G.L.; validation, A.D.M., G.L. and A.P.; formal analysis, A.D.M., G.L. and A.P.; investigation, A.D.M., G.L. and A.P.; resources, A.D.M., G.L. and A.P.; writing—original draft preparation, A.D.M.; writing—review and editing, A.D.M., G.L. and A.P.; visualization, A.D.M. and G.L.; supervision, G.L. and A.P.; project administration, A.D.M., G.L. and A.P.; funding acquisition, A.D.M., G.L. and A.P. All authors have read and agreed to the published version of the manuscript.

Funding

Alfredo David Millano was supported was supported by Agencia Nacional de Investigación y Desarrollo (ANID) Subdirección de Capital Humano/Doctorado Nacional/año 2020 folio 21200837, Gastos operacionales Proyecto de tesis/2022 folio 242220121, and by Vicerrectoría de Investigación y Desarrollo Tecnológico (VRIDT) at Universidad Católica del Norte. GL was funded through Concurso De Pasantías De Investigación Año 2022, Resolución VRIDT No. 040/2022 and Resolución VRIDT No. 054/2022. He also thanks the support of Núcleo de Investigación Geometría Diferencial y Aplicaciones, Resolución VRIDT N°096/2022, and Andronikos Paliathanasis acknowledges VRIDT-UCN through Concurso de Estadías de Investigación, Resolución VRIDT N°098/2022.

Data Availability Statement

No new data were created or analyzed in this study. Data sharing is not applicable to this article.

Conflicts of Interest

The authors declare no conflict of interest. The funders had no role in the design of the study; in the collection, analyses, or interpretation of data; in the writing of the manuscript; or in the decision to publish the results.

Appendix A. Existence of Special Equilibrium Points

The special points are Z 12 , Z 13 , Z 14 , Z 19 , Z 20 , Z 21 , Z 22 , Z 23 , Z 24 . We show that these points exist by analyzing the x equation from system (35)–(37) while setting ϵ = 1 , y = 0 , η = 1 . The equation reads
d x d τ = x x 2 6 ζ x 3 10 x 2 + 6 ζ x 12 5 x 4 12 x 2 + 36 .
By analyzing the numerator, we know that x = 0 , x = ± 6 are equilibrium points for the x equation. We need to examine the following polynomial of the third degree,
ζ x 3 10 x 2 + 6 ζ x 12 = 0 ,
which can be rewritten as
X 3 100 3 ζ 2 6 X 2000 27 ζ 3 + 8 ζ = 0
where we have divided by ζ and used the change of variable X = x 10 3 ζ . Now the polynomial (A2) has the form
X 3 + p X + q = 0 ,
The sign of the determinant Δ determines the nature of the roots. For Δ > 0 , the polynomial has three real roots; for Δ < 0 , it has one real root. For polynomials in the form (A3), the discriminant is Δ = 4 p 3 27 q 2 . In our case, we have
Δ = 96 9 ζ 4 132 ζ 2 + 500 ζ 4 ,
which is always negative for ζ R , which means there is only one real root, and it is Z 12 .
We must do the same for the other values of η and ϵ . Setting ϵ = 1 and η = 1 , we have the other projection of system (35)–(37). The x equation reads
d x d τ = x x 2 6 ζ x 3 + 10 x 2 + 6 ζ x + 12 5 x 4 12 x 2 + 36 .
With this, we can write a polynomial as before
X 3 100 3 ζ 2 6 X + 2000 27 ζ 3 8 ζ = 0 .
The discriminant is
Δ = 96 9 ζ 4 132 ζ 2 + 500 ζ 4 ,
which is also negative for all values of ζ . Once again, there is only one real root. This root is Z 13 if ζ < 5 2 3 and ζ > 5 2 3 or Z 14 if 5 2 3 < ζ < 5 2 3 .
For the case ϵ = 1 , we take a similar approach, setting η = 1 , y = 0 in (35)–(37) gives the first projection, and the x equation is
d x d τ = x x 2 + 6 ζ x 3 10 x 2 6 ζ x + 12 5 x 4 + 12 x 2 + 36 .
Once again, we write the following polynomial as
X 3 + 100 3 ζ 2 6 X 2000 27 ζ 3 8 ζ = 0 ,
with discriminant
Δ = 96 9 ζ 4 + 132 ζ 2 + 500 ζ 4 .
This discriminant is always positive for ζ 0 ; this means there are three real roots which are Z 19 , Z 21 , and Z 22 .
Finally, we study the final projection for ϵ = 1 , that is, we set η = 1 , y = 0 and we wrote the x equation as
d x d τ = x x 2 + 6 ζ x 3 + 10 x 2 6 ζ x 12 5 x 4 + 12 x 2 + 36 .
The polynomial for this case is
X 3 + 100 3 ζ 2 6 + 2000 27 ζ 3 + 8 ζ = 0 .
Now, the discriminant is
Δ = 96 9 ζ 4 + 132 ζ 2 + 500 ζ 4 ,
once again Δ > 0 for ζ 0 . The three real roots are Z 22 , Z 23 , and Z 24 .

References

  1. Linde, A. A New Inflationary Universe Scenario: A Possible Solution of the Horizon, Flatness, Homogeneity, Isotropy and Primordial Monopole Problems. Phys. Lett. B 1982, 108, 389. [Google Scholar] [CrossRef]
  2. Guth, A. The Inflationary Universe: A Possible Solution to the Horizon and Flatness Problems. Phys. Rev. D 1981, 23, 347. [Google Scholar] [CrossRef]
  3. Sato, K. First Order Phase Transition of a Vacuum and Expansion of the Universe. Mon. Not. R. Astron. Soc. 1981, 195, 467. [Google Scholar] [CrossRef]
  4. Barrow, J.D.; Ottewill, A. The Stability of General Relativistic Cosmological Theory. J. Phys. A 1983, 16, 2757. [Google Scholar] [CrossRef]
  5. Neupane, I.P. Reconstructing a model of quintessential inflation. Class. Quantum Gravity 2008, 25, 125013. [Google Scholar] [CrossRef]
  6. Linde, A.D. Chaotic Inflation. Phys. Lett. B 1983, 129, 177. [Google Scholar] [CrossRef]
  7. Liddle, A.R. Power Law Inflation With Exponential Potentials. Phys. Lett. B 1989, 220, 502. [Google Scholar] [CrossRef]
  8. Charters, T.; Mimoso, J.P.; Nunes, A. Slow roll inflation without fine tuning. Phys. Lett. B 2000, 472, 21. [Google Scholar] [CrossRef]
  9. Barrow, J.D. New types of inflationary universe. Phys. Rev. D 1993, 48, 1585. [Google Scholar] [CrossRef] [PubMed]
  10. Starobinsky, A.A. A New Type of Isotropic Cosmological Models Without Singularity. Phys. Lett. B 1980, 91, 99. [Google Scholar] [CrossRef]
  11. Pozdeeva, E.O.; Vernov, S.Y. F(R) gravity inflationary model with (R + R0)3/2 term. arXiv 2022, arXiv:2211.10988. [Google Scholar]
  12. Cheong, D.Y.; Lee, H.M.; Park, S.C. Beyond the Starobinsky model for inflation. Phys. Lett. B 2020, 805, 135453. [Google Scholar] [CrossRef]
  13. Riess, A.G.; Filippenko, A.V.; Challis, P.; Clocchiatti, A.; Diercks, A.; Garnavich, P.M.; Gilliland, R.L.; Hogan, C.J.; Jha, S.; Kirshner, R.P.; et al. Observational Evidence from Supernovae for an Accelerating Universe and a Cosmological Constant. Astron. J. 1998, 116, 1009. [Google Scholar] [CrossRef]
  14. Clifton, T.; Ferreira, P.G.; Padilla, A.; Skordis, C. Modified Gravity and Cosmology. Phys. Rep. 2012, 513, 1. [Google Scholar] [CrossRef]
  15. Valentino, E.D.; Mena, O.; Pan, S.; Visinelli, L.; Yang, W.; Melchiorri, A.; Mota, D.F.; Riess, A.G.; Silk, J. In the realm of the Hubble tension—A review of solutions. Class. Quantum Gravity 2021, 38, 153001. [Google Scholar] [CrossRef]
  16. Nojiri, S.; Odintsov, S.D.; Oikonomou, V.K. Modified Gravity Theories on a Nutshell: Inflation, Bounce and Late-time Evolution. Phys. Rep. 2017, 692, 1. [Google Scholar] [CrossRef]
  17. Carloni, S.; Rosa, J.L.; Lemos, J.P.S. Cosmology of f(R,□R) gravity. Phys. Rev. D 2019, 99, 104001. [Google Scholar] [CrossRef]
  18. Rosa, J.L.; Carloni, S.; Lemos, J.P.S. Cosmological phase space of generalized hybrid metric-Palatini theories of gravity. Phys. Rev. D 2020, 101, 104056. [Google Scholar] [CrossRef]
  19. Kawai, S.; Sakagami, M.a.; Soda, J. Instability of one loop superstring cosmology. Phys. Lett. B 1998, 437, 284–290. [Google Scholar] [CrossRef]
  20. Kawai, S.; Soda, J. Evolution of fluctuations during graceful exit in string cosmology. Phys. Lett. B 1999, 460, 41–46. [Google Scholar] [CrossRef]
  21. Kawai, S.; Soda, J. Nonsingular Bianchi type 1 cosmological solutions from 1 loop superstring effective action. Phys. Rev. D 1999, 59, 063506. [Google Scholar] [CrossRef]
  22. Satoh, M.; Kanno, S.; Soda, J. Circular Polarization of Primordial Gravitational Waves in String-inspired Inflationary Cosmology. Phys. Rev. D 2008, 77, 023526. [Google Scholar] [CrossRef]
  23. Satoh, M.; Soda, J. Higher Curvature Corrections to Primordial Fluctuations in Slow-roll Inflation. J. Cosmol. Astropart. Phys. 2008, 09, 019. [Google Scholar] [CrossRef]
  24. Lovelock, D. The four dimensionality of space and the Einstein tensor. J. Math. Phys. 1972, 13, 874. [Google Scholar] [CrossRef]
  25. Lovelock, D. The Einstein tensor and its generalizations. J. Math. Phys. 1971, 12, 498. [Google Scholar] [CrossRef]
  26. Mardones, A.; Zanelli, J. Lovelock-Cartan theory of gravity. Class. Quantum Gravity 1991, 8, 1545. [Google Scholar] [CrossRef]
  27. Canfora, F.; Giacomini, A.; Pavluchenko, S.A. Cosmological dynamics in higher-dimensional Einstein–Gauss–Bonnet gravity. Gen. Relativ. Gravit. 2014, 46, 1805. [Google Scholar] [CrossRef]
  28. Ghosh, S.G.; Amir, M.; Maharaj, S.D. Quintessence background for 5D Einstein–Gauss–Bonnet black holes. Eur. Phys. J. C 2017, 77, 530. [Google Scholar] [CrossRef]
  29. Tangphati, T.; Pradhan, A.; Errehymy, A.; Banerjee, A. Anisotropic quark stars in Einstein-Gauss-Bonnet theory. Phys. Lett. B 2021, 819, 136423. [Google Scholar] [CrossRef]
  30. Maurya, S.K.; Pradhan, A.; Banerjee, A.; Tello-Ortiz, F.; Jasim, M.K. Anisotropic solution for compact star in 5D Einstein–Gauss–Bonnet gravity. Mod. Phys. Lett. A 2021, 36, 2150231. [Google Scholar] [CrossRef]
  31. Singh, D.V.; Ghosh, S.G.; Maharaj, S.D. Clouds of strings in 4D Einstein–Gauss–Bonnet black holes. Phys. Dark Universe 2020, 30, 100730. [Google Scholar] [CrossRef]
  32. Tangphati, T.; Pradhan, A.; Errehymy, A.; Banerjee, A. Quark stars in the Einstein–Gauss–Bonnet theory: A new branch of stellar configurations. Ann. Phys. 2021, 430, 168498. [Google Scholar] [CrossRef]
  33. Tangphati, T.; Pradhan, A.; Banerjee, A.; Panotopoulos, G. Anisotropic stars in 4D Einstein–Gauss–Bonnet gravity. Phys. Dark Universe 2021, 33, 100877. [Google Scholar] [CrossRef]
  34. Panotopoulos, G.; Pradhan, A.; Tangphati, T.; Banerjee, A. Charged polytropic compact stars in 4D Einstein–Gauss–Bonnet gravity. Chin. J. Phys. 2022, 77, 2106–2114. [Google Scholar] [CrossRef]
  35. Jusufi, K.; Banerjee, A.; Ghosh, S.G. Wormholes in 4D Einstein–Gauss–Bonnet gravity. Eur. Phys. J. C 2020, 80, 698. [Google Scholar] [CrossRef]
  36. Ghosh, S.G.; Kumar, R. Generating black holes in 4D Einstein-Gauss-Bonnet gravity. Class. Quantum Gravity 2020, 37, 245008. [Google Scholar] [CrossRef]
  37. Singh, D.V.; Siwach, S. Thermodynamics and P-v criticality of Bardeen-AdS Black Hole in 4D Einstein-Gauss-Bonnet Gravity. Phys. Lett. B 2020, 808, 135658. [Google Scholar] [CrossRef]
  38. Hosseini Mansoori, S.A. Thermodynamic geometry of the novel 4-D Gauss–Bonnet AdS black hole. Phys. Dark Universe 2021, 31, 100776. [Google Scholar] [CrossRef]
  39. Churilova, M.S. Quasinormal modes of the Dirac field in the consistent 4D Einstein–Gauss–Bonnet gravity. Phys. Dark Universe 2021, 31, 100748. [Google Scholar] [CrossRef]
  40. Maharaj, S.D.; Chiambwe, B.; Hansraj, S. Exact barotropic distributions in Einstein-Gauss-Bonnet gravity. Phys. Rev. D 2015, 91, 084049. [Google Scholar] [CrossRef]
  41. Papallo, G.; Reall, H.S. Graviton time delay and a speed limit for small black holes in Einstein-Gauss-Bonnet theory. J. High Energy Phys. 2015, 11, 109. [Google Scholar] [CrossRef]
  42. Brihaye, Y.; Ducobu, L. Black holes with scalar hair in Einstein–Gauss–Bonnet gravity. Int. J. Mod. Phys. D 2016, 25, 1650084. [Google Scholar] [CrossRef]
  43. Maurya, S.K.; Banerjee, A.; Pradhan, A.; Yadav, D. Minimally deformed charged stellar model by gravitational decoupling in 5D Einstein–Gauss–Bonnet gravity. Eur. Phys. J. C 2022, 82, 552. [Google Scholar] [CrossRef]
  44. Minamitsuji, M.; Tsujikawa, S. Stability of neutron stars in Horndeski theories with Gauss-Bonnet couplings. Phys. Rev. D 2022, 106, 064008. [Google Scholar] [CrossRef]
  45. Odintsov, S.D.; Saez-Chillion Gomez, D.; Sharov, G.S. Testing viable extensions of Einstein–Gauss–Bonnet gravity. Phys. Dark Universe 2022, 37, 101100. [Google Scholar] [CrossRef]
  46. Gomez, F.; Lepe, S.; Orozco, V.C.; Salgado, P. Cosmology in 5D and 4D Einstein–Gauss–Bonnet gravity. Eur. Phys. J. C 2022, 82, 906. [Google Scholar] [CrossRef]
  47. Hasraj, S.; Krupanandn, D.; Banerjee, A.; Hasraj, C. New exact models of ideal gas in 5D EGB using curvature coordinates. Ann. Phys. 2022, 445, 169070. [Google Scholar] [CrossRef]
  48. Kanti, P.; Gannouji, R.; Dadhich, N. Gauss-Bonnet Inflation. Phys. Rev. D 2015, 92, 041302. [Google Scholar] [CrossRef]
  49. Hikmawan, G.; Soda, J.; Suroso, A.; Zen, F.P. Comment on “Gauss-Bonnet inflation”. Phys. Rev. D 2016, 93, 068301. [Google Scholar] [CrossRef]
  50. Gross, D.J.; Sloan, J.H. The Quartic Effective Action for the Heterotic String. Nucl. Phys. B 1987, 291, 41. [Google Scholar] [CrossRef]
  51. Lu, H.; Pang, Y. Horndeski gravity as D→4 limit of Gauss-Bonnet. Phys. Lett. B 2020, 809, 135717. [Google Scholar] [CrossRef]
  52. Li, B.; Barrow, J.D.; Mota, D.F. The Cosmology of Modified Gauss-Bonnet Gravity. Phys. Rev. D 2007, 76, 044027. [Google Scholar] [CrossRef]
  53. Garcia, N.M.; Harko, T.; Lobo, F.S.N.; Mimoso, J.P. f(G) modified gravity and the energy conditions. J. Phys. Conf. Ser. 2011, 314, 012060. [Google Scholar] [CrossRef]
  54. Nojiri, S.; Odintsov, S.D.; Oikonomou, V.K.; Popov, A.V. Ghost-free F(R,G) gravity. Nucl. Phys. B 2021, 973, 115617. [Google Scholar] [CrossRef]
  55. Fomin, I. Gauss–Bonnet term corrections in scalar field cosmology. Eur. Phys. J. C 2020, 80, 1145. [Google Scholar] [CrossRef]
  56. Konoplya, R.A.; Pappas, T.; Zhidenko, A. Einstein-scalar–Gauss-Bonnet black holes: Analytical approximation for the metric and applications to calculations of shadows. Phys. Rev. D 2020, 101, 044054. [Google Scholar] [CrossRef]
  57. Atamurotov, F.; Shaymatov, S.; Sheoran, P.; Siwach, S. Charged black hole in 4D Einstein-Gauss-Bonnet gravity: Particle motion, plasma effect on weak gravitational lensing and centre-of-mass energy. J. Cosmol. Astropart. Phys. 2021, 08, 045. [Google Scholar] [CrossRef]
  58. Witek, H.; Gualtieri, L.; Pani, P. Towards numerical relativity in scalar Gauss-Bonnet gravity: 3+1 decomposition beyond the small-coupling limit. Phys. Rev. D 2020, 101, 124055. [Google Scholar] [CrossRef]
  59. Vieira, H.S.; Bezerra, V.B.; Muniz, C.R.; Cunha, M.S. Quasibound states of scalar fields in the consistent 4D Einstein–Gauss–Bonnet–(Anti-)de Sitter gravity. Eur. Phys. J. C 2022, 82, 669. [Google Scholar] [CrossRef]
  60. Luy, Z.; Jiang, N.; Yagi, K. Constraints on Einstein-dilation-Gauss-Bonnet gravity from black hole-neutron star gravitational wave events. Phys. Rev. D 2022, 105, 064001, [Erratum: Phys. Rev. D 2022, 106, 069901]. [Google Scholar]
  61. Chakraborty, S.; Paul, T.; SenGupta, S. Inflation driven by Einstein-Gauss-Bonnet gravity. Phys. Rev. D 2018, 98, 083539. [Google Scholar] [CrossRef]
  62. Fomin, I.V. Cosmological Inflation with Einstein–Gauss–Bonnet Gravity. Phys. Part. Nucl. 2018, 49, 525. [Google Scholar] [CrossRef]
  63. Venekoudis, S.A.; Fronimos, F.P. Logarithmic-corrected Einstein–Gauss–Bonnet inflation compatible with GW170817. Eur. Phys. J. Plus 2021, 136, 308. [Google Scholar] [CrossRef]
  64. Odintsov, S.D.; Oikonomou, V.K.; Fronimos, F.P. Non-minimally coupled Einstein–Gauss–Bonnet inflation phenomenology in view of GW170817. Ann. Phys. 2020, 420, 168250. [Google Scholar] [CrossRef]
  65. Odintsov, S.D.; Oikonomou, V.K.; Fronimos, F.P. Rectifying Einstein-Gauss-Bonnet Inflation in View of GW170817. Nucl. Phys. B 2020, 958, 115135. [Google Scholar] [CrossRef]
  66. LaHaye, M.; Yang, H.; Bonga, B.; Lyu, Z. Efficient fully precessing gravitational waveforms for binaries with neutron stars. arXiv 2022, arXiv:2212.04657. [Google Scholar]
  67. Lu, W.; Beniamini, P.; Bonnerot, C. On the formation of GW190814. Mon. Not. R. Astron. Soc. 2020, 500, 1817–1832. [Google Scholar] [CrossRef]
  68. Abbott, R.; Abbott, T.D.; Abraham, S.; Acernese, F.; Ackley, K.; Adams, C.; Adhikari, R.X.; Adya, V.B.; Affeldt, C.; Agathos, M.; et al. GW190814: Gravitational Waves from the Coalescence of a 23 Solar Mass Black Hole with a 2.6 Solar Mass Compact Object. Astrophys. J. Lett. 2020, 896, L44. [Google Scholar] [CrossRef]
  69. Tangphati, T.; Karar, I.; Pradhan, A.; Banerjee, A. Constraints on the maximum mass of quark star and the GW 190814 event. Eur. Phys. J. C 2022, 82, 57. [Google Scholar] [CrossRef]
  70. Kanti, P.; Gannouji, R.; Dadhich, N. Early-time cosmological solutions in Einstein-scalar-Gauss-Bonnet theory. Phys. Rev. D 2015, 92, 083524. [Google Scholar] [CrossRef]
  71. Chatzarakis, N.; Oikonomou, V.K. Autonomous dynamical system of Einstein–Gauss–Bonnet cosmologies. Ann. Phys. 2020, 419, 168216. [Google Scholar] [CrossRef]
  72. Dialektopoulos, K.F.; Said, J.L.; Oikonomopoulou, Z. Dynamical systems in Einstein Gauss-Bonnet gravity. arXiv 2022, arXiv:2211.06076. [Google Scholar]
  73. Kibble, T.W.B. Topology of Cosmic Domains and Strings. J. Phys. A 1976, 9, 1387–1398. [Google Scholar] [CrossRef]
  74. Vilenkin, A. Cosmic Strings and Domain Walls. Phys. Rep. 1985, 121, 263–315. [Google Scholar] [CrossRef]
  75. Avelino, A.; Leyva, Y.; Urena-Lopez, L.A. Interacting viscous dark fluids. Phys. Rev. D 2013, 88, 123004. [Google Scholar] [CrossRef]
  76. Heinzle, J.M.; Uggla, C.; Rohr, N. The Cosmological billiard attractor. Adv. Theor. Math. Phys. 2009, 13, 293–407. [Google Scholar] [CrossRef]
  77. Urena-Lopez, L.A. Unified description of the dynamics of quintessential scalar fields. J. Cosmol. Astropart. Phys. 2012, 03, 035. [Google Scholar] [CrossRef]
  78. Wainwright, J.; Ellis, G.F.R. Dynamical Systems in Cosmology; Cambridge University Press: Cambridge, UK, 2005; Volume 357. [Google Scholar]
  79. Coley, A.A. Dynamical Systems and Cosmology; Springer Science & Business Media: Berlin, Germany, 2003; Volume 291. [Google Scholar]
Figure 1. Phase plots for (21) and (22) for ϵ = 1 and different values of f 0 and λ . The dashed black lines in the plot correspond to the values of x and y for which K = 0 , which corresponds to singular curves where the flow direction and the stability changes.
Figure 1. Phase plots for (21) and (22) for ϵ = 1 and different values of f 0 and λ . The dashed black lines in the plot correspond to the values of x and y for which K = 0 , which corresponds to singular curves where the flow direction and the stability changes.
Mathematics 11 01408 g001
Figure 2. ω ϕ ( τ ) , x ( τ ) and η ( τ ) evaluated at the solution of system (21) and (22) for ϵ = 1 and initial conditions x ( 0 ) = 0.001 , η ( 0 ) = 1 5 (i.e., near the saddle point P 5 ). The solution is past asymptotic to a phantom regime ω ϕ < 1 , then remains near the de Sitter point P 5 approaching the phantom solution ω ϕ = 2 (whence x ), then crosses from below of ω ϕ = 1 / 3 (zero acceleration), decelerating ω ϕ > 1 / 3 and tending asymptotically to ω ϕ = 1 / 3 from above.
Figure 2. ω ϕ ( τ ) , x ( τ ) and η ( τ ) evaluated at the solution of system (21) and (22) for ϵ = 1 and initial conditions x ( 0 ) = 0.001 , η ( 0 ) = 1 5 (i.e., near the saddle point P 5 ). The solution is past asymptotic to a phantom regime ω ϕ < 1 , then remains near the de Sitter point P 5 approaching the phantom solution ω ϕ = 2 (whence x ), then crosses from below of ω ϕ = 1 / 3 (zero acceleration), decelerating ω ϕ > 1 / 3 and tending asymptotically to ω ϕ = 1 / 3 from above.
Mathematics 11 01408 g002
Figure 4. Phase plots for (21) and (22) for ϵ = 1 and different values of f 0 and λ . The dashed black lines in the plot correspond to the values of x and y giving K = 0 , which corresponds to singular curves where the flow direction and the stability change.
Figure 4. Phase plots for (21) and (22) for ϵ = 1 and different values of f 0 and λ . The dashed black lines in the plot correspond to the values of x and y giving K = 0 , which corresponds to singular curves where the flow direction and the stability change.
Mathematics 11 01408 g004
Figure 5. ω ϕ ( τ ) , x ( τ ) , and η ( τ ) evaluated at the solution of system (21) and (22) for ϵ = 1 and initial conditions x ( 0 ) = 0.001 , η ( 0 ) = 1 5 (i.e., near the saddle point P 6 ). The solution is past asymptotic to ω ϕ = 1 / 3 (zero acceleration), then remains near the de Sitter point P 6 approaching a quintessence solution 1 < ω ϕ < 1 / 3 , and then, tending asymptotically to ω ϕ = 1 (de Sitter point P 7 ) from above.
Figure 5. ω ϕ ( τ ) , x ( τ ) , and η ( τ ) evaluated at the solution of system (21) and (22) for ϵ = 1 and initial conditions x ( 0 ) = 0.001 , η ( 0 ) = 1 5 (i.e., near the saddle point P 6 ). The solution is past asymptotic to ω ϕ = 1 / 3 (zero acceleration), then remains near the de Sitter point P 6 approaching a quintessence solution 1 < ω ϕ < 1 / 3 , and then, tending asymptotically to ω ϕ = 1 (de Sitter point P 7 ) from above.
Mathematics 11 01408 g005
Figure 6. Phase plots for system (27) and (28) for ϵ = 1 and different values of f 0 and λ . The dashed black lines in the plot correspond to the values of u and η giving L = 0 , which correspond to singular curves where the flow direction and the stability changes.
Figure 6. Phase plots for system (27) and (28) for ϵ = 1 and different values of f 0 and λ . The dashed black lines in the plot correspond to the values of u and η giving L = 0 , which correspond to singular curves where the flow direction and the stability changes.
Mathematics 11 01408 g006
Figure 7. Phase plots for system (27) and (28) for ϵ = 1 and different values of f 0 and λ . The dashed black lines in the plot correspond to the values of u and η giving L = 0 , which correspond to singular curves where the flow direction and the stability changes.
Figure 7. Phase plots for system (27) and (28) for ϵ = 1 and different values of f 0 and λ . The dashed black lines in the plot correspond to the values of u and η giving L = 0 , which correspond to singular curves where the flow direction and the stability changes.
Mathematics 11 01408 g007
Figure 8. ω ϕ ( τ ) , u ( τ ) , and η ( τ ) evaluated at the solution of system (27) and (28) for initial conditions u ( 0 ) = 0.001 / 1 + ( 0.001 ) 2 , η ( 0 ) = 1 5 (i.e., near the saddle point P 5 ). The solution is past asymptotic to a phantom regime ω ϕ < 1 , then remains near the de Sitter point P 5 approaching the phantom solution ω ϕ = 2 (whence x ), and then crosses from below ω ϕ = 1 / 3 (zero acceleration), decelerating ω ϕ > 1 / 3 and tending asymptotically to ω ϕ = 1 / 3 from above.
Figure 8. ω ϕ ( τ ) , u ( τ ) , and η ( τ ) evaluated at the solution of system (27) and (28) for initial conditions u ( 0 ) = 0.001 / 1 + ( 0.001 ) 2 , η ( 0 ) = 1 5 (i.e., near the saddle point P 5 ). The solution is past asymptotic to a phantom regime ω ϕ < 1 , then remains near the de Sitter point P 5 approaching the phantom solution ω ϕ = 2 (whence x ), and then crosses from below ω ϕ = 1 / 3 (zero acceleration), decelerating ω ϕ > 1 / 3 and tending asymptotically to ω ϕ = 1 / 3 from above.
Mathematics 11 01408 g008
Figure 9. ω ϕ ( τ ) , u ( τ ) , and η ( τ ) evaluated at the solution of system (27) and (28) for ϵ = 1 and initial conditions u ( 0 ) = 0.001 / 1 + ( 0.001 ) 2 , η ( 0 ) = 1 5 (i.e., near the saddle point P 6 ). The solution is past asymptotic to ω ϕ = 1 / 3 (zero acceleration), then remains near the de Sitter point P 6 approaching a quintessence solution 1 < ω ϕ < 1 / 3 , then tending asymptotically to ω ϕ = 1 (de Sitter point P 7 ) from above.
Figure 9. ω ϕ ( τ ) , u ( τ ) , and η ( τ ) evaluated at the solution of system (27) and (28) for ϵ = 1 and initial conditions u ( 0 ) = 0.001 / 1 + ( 0.001 ) 2 , η ( 0 ) = 1 5 (i.e., near the saddle point P 6 ). The solution is past asymptotic to ω ϕ = 1 / 3 (zero acceleration), then remains near the de Sitter point P 6 approaching a quintessence solution 1 < ω ϕ < 1 / 3 , then tending asymptotically to ω ϕ = 1 (de Sitter point P 7 ) from above.
Mathematics 11 01408 g009
Figure 16. 2D-Projection of system (35)–(37) setting ϵ = 1 , λ = 1 for η = 1 with different values of ζ . Here, the saddle point W 1 = ( 0 , 3 ) is a singularity in which the numerator and denominator of the y equation vanish.
Figure 16. 2D-Projection of system (35)–(37) setting ϵ = 1 , λ = 1 for η = 1 with different values of ζ . Here, the saddle point W 1 = ( 0 , 3 ) is a singularity in which the numerator and denominator of the y equation vanish.
Mathematics 11 01408 g016
Figure 17. 2D-Projection of system (35)–(37) setting ϵ = 1 , λ = 1 for η = 1 with different values of ζ . Here, the saddle point W 2 = ( 0 , 3 ) is a singularity in which the numerator and denominator of the y equation vanish.
Figure 17. 2D-Projection of system (35)–(37) setting ϵ = 1 , λ = 1 for η = 1 with different values of ζ . Here, the saddle point W 2 = ( 0 , 3 ) is a singularity in which the numerator and denominator of the y equation vanish.
Mathematics 11 01408 g017
Figure 18. Three dimensional phase plot of of system (35)–(37) setting ϵ = 1 , λ = 1 with different values of ζ . Here, the saddle points W 1 = ( 0 , 3 , 1 ) and W 2 = ( 0 , 3 , 1 ) are singularities in which both the numerator and denominator of the y equation vanish.
Figure 18. Three dimensional phase plot of of system (35)–(37) setting ϵ = 1 , λ = 1 with different values of ζ . Here, the saddle points W 1 = ( 0 , 3 , 1 ) and W 2 = ( 0 , 3 , 1 ) are singularities in which both the numerator and denominator of the y equation vanish.
Mathematics 11 01408 g018aMathematics 11 01408 g018b
Figure 19. ω ϕ ( τ ) evaluated at the solution of system (35)–(37) for ϵ = 1 and initial conditions x ( 0 ) = 0.001 , y ( 0 ) = 0.001 , η ( 0 ) = 1 . The solution is past asymptotic to ω ϕ = 1 / 3 (zero acceleration, cosmic string fluid), then crosses the line ω > 1 (superluminal evolution) twice, remaining near the de Sitter point ω ϕ = 1 (de Sitter point, inflation) from above, following an era where ω ϕ = 2 / 3 (domain wall), before an accelerated de Sitter solution ω ϕ = 1 (late-time acceleration).
Figure 19. ω ϕ ( τ ) evaluated at the solution of system (35)–(37) for ϵ = 1 and initial conditions x ( 0 ) = 0.001 , y ( 0 ) = 0.001 , η ( 0 ) = 1 . The solution is past asymptotic to ω ϕ = 1 / 3 (zero acceleration, cosmic string fluid), then crosses the line ω > 1 (superluminal evolution) twice, remaining near the de Sitter point ω ϕ = 1 (de Sitter point, inflation) from above, following an era where ω ϕ = 2 / 3 (domain wall), before an accelerated de Sitter solution ω ϕ = 1 (late-time acceleration).
Mathematics 11 01408 g019
Figure 32. 2D-Projection of system (35)–(37) setting ϵ = 1 , λ = 1 for η = 1 with different values of ζ . Here, the saddle points W 1 = ( 0 , 3 ) for η = 1 and W 2 = ( 0 , 3 ) for η = 1 are singularities for which both the numerator and denominator of the y equation vanish.
Figure 32. 2D-Projection of system (35)–(37) setting ϵ = 1 , λ = 1 for η = 1 with different values of ζ . Here, the saddle points W 1 = ( 0 , 3 ) for η = 1 and W 2 = ( 0 , 3 ) for η = 1 are singularities for which both the numerator and denominator of the y equation vanish.
Mathematics 11 01408 g032
Figure 33. Three dimensional phase plot for (35)–(37) setting ϵ = 1 , λ = 1 for different values of ζ . Here, the saddle points W 1 = ( 0 , 3 , 1 ) and W 2 = ( 0 , 3 , 1 ) are singularities in which both the numerator and denominator of the y equation vanish.
Figure 33. Three dimensional phase plot for (35)–(37) setting ϵ = 1 , λ = 1 for different values of ζ . Here, the saddle points W 1 = ( 0 , 3 , 1 ) and W 2 = ( 0 , 3 , 1 ) are singularities in which both the numerator and denominator of the y equation vanish.
Mathematics 11 01408 g033
Figure 34. ω ϕ ( τ ) evaluated at the solution of system (35)–(37) for ϵ = 1 and initial conditions x ( 0 ) = 0.001 , y ( 0 ) = 0.001 , η ( 0 ) = 1 . The solution is past asymptotic to ω ϕ = 1 / 3 and future asymptotic to a phantom solution (late-time acceleration).
Figure 34. ω ϕ ( τ ) evaluated at the solution of system (35)–(37) for ϵ = 1 and initial conditions x ( 0 ) = 0.001 , y ( 0 ) = 0.001 , η ( 0 ) = 1 . The solution is past asymptotic to ω ϕ = 1 / 3 and future asymptotic to a phantom solution (late-time acceleration).
Mathematics 11 01408 g034
Figure 35. Plots of ω ϕ , q for T 2 . We see that for ζ = 3 , λ = 1 and negative values of η , the physical observables tend to minus infinity as ρ 1 ; for positive values of η and ζ = 3 , λ = 1 , the opposite occurs, ω ϕ ( T 2 ) and q ( T 2 ) tend to infinity as ρ 1 .
Figure 35. Plots of ω ϕ , q for T 2 . We see that for ζ = 3 , λ = 1 and negative values of η , the physical observables tend to minus infinity as ρ 1 ; for positive values of η and ζ = 3 , λ = 1 , the opposite occurs, ω ϕ ( T 2 ) and q ( T 2 ) tend to infinity as ρ 1 .
Mathematics 11 01408 g035
Figure 36. Plots of ω ϕ and q for T 3 . We see that for ζ = 3 , λ = 1 and negative values of η , the physical observables tend to infinity as ρ 1 ; for positive values of η and ζ = 3 , λ = 1 , the opposite occurs, ω ϕ ( T 3 ) and q ( T 3 ) tend to minus infinity as ρ 1 .
Figure 36. Plots of ω ϕ and q for T 3 . We see that for ζ = 3 , λ = 1 and negative values of η , the physical observables tend to infinity as ρ 1 ; for positive values of η and ζ = 3 , λ = 1 , the opposite occurs, ω ϕ ( T 3 ) and q ( T 3 ) tend to minus infinity as ρ 1 .
Mathematics 11 01408 g036
Figure 37. Plots of ω ϕ , q for T 4 , 5 . We see that lim ρ 1 ( ω ϕ ( T 4 , 5 ) ) and lim ρ 1 ( q ( T 4 , 5 ) ) are directed infinity depending on the sign of ζ .
Figure 37. Plots of ω ϕ , q for T 4 , 5 . We see that lim ρ 1 ( ω ϕ ( T 4 , 5 ) ) and lim ρ 1 ( q ( T 4 , 5 ) ) are directed infinity depending on the sign of ζ .
Mathematics 11 01408 g037
Figure 38. Plots of ω ϕ , q for T 6 , 7 . We see that lim ρ 1 ( ω ϕ ( T 4 , 5 ) ) and lim ρ 1 ( q ( T 6 , 7 ) ) are directed infinity depending on the sign of ζ .
Figure 38. Plots of ω ϕ , q for T 6 , 7 . We see that lim ρ 1 ( ω ϕ ( T 4 , 5 ) ) and lim ρ 1 ( q ( T 6 , 7 ) ) are directed infinity depending on the sign of ζ .
Mathematics 11 01408 g038
Figure 39. Three dimensional phase space for system (50)–(52) for different values of the parameters ζ , and λ . The dashed black line corresponds to T 1 , and the dashed red line corresponds to S 7 .
Figure 39. Three dimensional phase space for system (50)–(52) for different values of the parameters ζ , and λ . The dashed black line corresponds to T 1 , and the dashed red line corresponds to S 7 .
Mathematics 11 01408 g039
Table 1. Equilibrium points of system (21) and (22) for ϵ = + 1 with their stability conditions. It also includes the value of ω ϕ and q .
Table 1. Equilibrium points of system (21) and (22) for ϵ = + 1 with their stability conditions. It also includes the value of ω ϕ and q .
Labelx η Stability ω ϕ q
M00nonhyperbolicindeterminateindeterminate
P 1 01source 1 3 0
P 2 0 1 sink 1 3 0
P 3 4 3 λ 1sink 1 3 0
P 4 4 3 λ 1 source 1 3 0
P 5 0 λ λ 8 f 0 saddle 1 1
P 6 0 λ λ 8 f 0 saddle 1 1
Table 2. Equilibrium points of system (21) and (22) for ϵ = 1 with their stability conditions. It also includes the value of ω ϕ and q .
Table 2. Equilibrium points of system (21) and (22) for ϵ = 1 with their stability conditions. It also includes the value of ω ϕ and q .
Labelx η Stability ω ϕ q
M00nonhyperbolicindeterminateindeterminate
P 1 01source 1 3 0
P 2 0 1 sink 1 3 0
P 3 4 3 λ 1sink 1 3 0
P 4 4 3 λ 1 source 1 3 0
P 5 0 λ λ 8 f 0 saddle 1 1
P 6 0 λ λ 8 f 0 saddle 1 1
P 7 3 2 5 4 30 f 0 + 3 1 4 10 3 f 0 + 1 sink for λ < 0
saddle for λ > 0
nonhyperbolic for λ = 0 1 1
P 8 3 2 5 4 30 f 0 + 3 1 4 10 3 f 0 + 1 source for λ < 0
saddle for λ > 0
nonhyperbolic for λ = 0 1 1
P 9 3 2 5 3 4 30 f 0 1 1 4 10 3 f 0 source for λ > 0
saddle for λ < 0
nonhyperbolic for λ = 0 1 1
P 10 3 2 5 3 4 30 f 0 1 1 4 10 3 f 0 sink for λ > 0
saddle for λ < 0
nonhyperbolic for λ = 0 1 1
Table 3. Equilibrium points of system (27) and (28) for ϵ = ± 1 with their stability conditions.
Table 3. Equilibrium points of system (27) and (28) for ϵ = ± 1 with their stability conditions.
Labelu η Stability ω ϕ q
Q 1 11saddle for λ 0 , nonhyperbolic for λ = 0 1 3 0
Q 2 1 1 saddle for λ 0 , nonhyperbolic for λ = 0 1 3 0
Q 3 1 1saddle for λ 0 , nonhyperbolic for λ = 0 1 3 0
Q 4 1 1 saddle for λ 0 , nonhyperbolic for λ = 0 1 3 0
Q 5 1 1 4 f 0 λ ϵ + 1 sink for λ > 0 , source for λ < 0 , nonhyperbolic for λ = 0 1 1
Q 6 1 1 4 f 0 λ ϵ + 1 source for λ > 0 , sink for λ < 0 , nonhyperbolic for λ = 0 1 1
Q 7 1 1 4 f 0 λ ϵ + 1 sink for λ > 0 , source for λ < 0 , nonhyperbolic for λ = 0 1 1
Q 8 1 1 4 f 0 λ ϵ + 1 source for λ > 0 , sink for λ < 0 , nonhyperbolic for λ = 0 1 1
Table 4. Equilibrium points of system (35)–(37) for ϵ = 1 with their stability conditions. It also includes the value of ω ϕ and q .
Table 4. Equilibrium points of system (35)–(37) for ϵ = 1 with their stability conditions. It also includes the value of ω ϕ and q .
Labelxy η Stability ω ϕ q
Z 1 0y0nonhyperbolicindeterminateindeterminate
Z 2 001source 1 / 3 0
Z 3 00 1 sink 1 / 3 0
Z 4 6 01source for λ > 6 , ζ > 6
saddle for λ < 6 or ζ < 6
nonhyperbolic for λ = 6 or ζ = 6 12
Z 5 6 0 1 sink for λ < 6 , ζ < 6
saddle for λ > 6 or ζ > 6
nonhyperbolic for λ = 6 or ζ = 6 12
Z 6 6 01source for λ < 6 , ζ < 6
saddle for λ > 6 or ζ > 6
nonhyperbolic for λ = 6 or ζ = 6 12
Z 7 6 0 1 sink for λ > 6 , ζ > 6
saddle for λ < 6 or ζ < 6
nonhyperbolic for λ = 6 or ζ = 6 12
Z 8 λ 3 λ 2 2 1nonhyperbolic for λ { 0 , ζ , 6 , 6 }
saddle for
6 < λ < 0 , ζ < λ or 0 < λ < 6 , ζ > λ or 6 < λ < 0 , ζ > λ or 0 < λ < 6 , ζ < λ 1 3 λ 2 3 1 2 λ 2 2
Z 9 λ 3 λ 2 2 1 nonhyperbolic for λ { 0 , ζ , 6 , 6 }
saddle for
6 < λ < 0 , ζ < λ or 0 < λ < 6 , ζ > λ or 6 < λ < 0 , ζ > λ or 0 < λ < 6 , ζ < λ 1 3 λ 2 3 1 2 λ 2 2
Z 10 Equation (40)01source or saddle, Figure 10 1 / 3 , Figure 11 0 , Figure 11
Z 11 Equation (41)0 1 saddle, Figure 12 1 / 3 Figure 13 0 Figure 13
Z 12 Equation (42)0 1 sink or saddle, Figure 14 > 1 , Figure 15 > 2 , Figure 15
Table 5. Equilibrium points of system (35)–(37) for ϵ = 1 with their stability conditions. It also includes the value of ω ϕ and q .
Table 5. Equilibrium points of system (35)–(37) for ϵ = 1 with their stability conditions. It also includes the value of ω ϕ and q .
Labelxy η Stability ω ϕ q
Z 1 0y0nonhyperbolicindeterminateindeterminate
Z 2 001source 1 3 0
Z 3 00 1 sink 1 3 0
Z 13 λ 3 + λ 2 2 1nonhyperbolic for λ = 0 or ζ = λ
sink for
λ < 0 , ζ > λ or λ > 0 , ζ < λ
saddle for
λ < 0 , ζ < λ or λ > 0 , ζ > λ 1 3 ( λ 2 + 3 ) 1 2 ( λ 2 + 2 )
Z 14 λ 3 + λ 2 2 1 nonhyperbolic for λ = 0 or ζ = λ
source for
λ < 0 , ζ > λ or λ > 0 , ζ < λ
saddle for
λ < 0 , ζ < λ or λ > 0 , ζ > λ 1 3 ( λ 2 + 3 ) 1 2 ( λ 2 + 2 )
Z 15 Equation (43)01source or saddle, see Figure 20 > 0 , see Figure 21 > 0 , see Figure 21
Z 16 Equation (44)01sink or saddle, see Figure 22 < 0 , see Figure 23 < 0 , see Figure 23
Z 17 Equation (45)01saddle, see Figure 24 1 3 , see Figure 25 0 , see Figure 25
Z 18 Equation (46)0 1 source, see Figure 26 < 0 , see Figure 27 < 0 , see Figure 27
Z 19 Equation (47)0 1 sink or saddle, see Figure 28 > 0 , see Figure 29 > 0 , see Figure 29
Z 20 Equation (48)0 1 saddle, see Figure 30 < 0 , see Figure 31 < 0 , see Figure 31
Table 6. Equilibrium points of system (50)–(52) for ϵ = 1 with their stability conditions. It also includes the value of ω ϕ and q .
Table 6. Equilibrium points of system (50)–(52) for ϵ = 1 with their stability conditions. It also includes the value of ω ϕ and q .
Label ρ θ η Stability ω ϕ q
T 1 0 π 2 0nonhyperbolic 1 3 0
T 2 100saddlesee Figure 35see Figure 35
T 3 1 π 0saddlesee Figure 36see Figure 36
T 4 , 5 10 ± 1 saddlesee Figure 37see Figure 37
T 6 , 7 1 π ± 1 saddlesee Figure 38see Figure 38
S 1 001saddle 1 3 0
S 2 00 1 saddle 1 3 0
S 3 0 π 2 1source 1 3 0
S 4 0 π 2 1 sink 1 3 0
S 5 0 π 1saddle 1 3 0
S 6 0 π 1 saddle 1 3 0
S 7 0 θ 0nonhyperbolic 1 3 0
Table 7. Equilibrium points of system (50)–(52) for ϵ = 1 with their stability conditions. It also includes the value of ω ϕ and q .
Table 7. Equilibrium points of system (50)–(52) for ϵ = 1 with their stability conditions. It also includes the value of ω ϕ and q .
Label ρ θ η Stability ω ϕ q
T 1 0 π 2 0nonhyperbolic 1 3 0
T 2 100saddlesee Figure 40see Figure 40
T 3 1 π 0saddlesee Figure 41see Figure 41
T 4 , 5 10 ± 1 saddlesee Figure 42see Figure 42
T 6 , 7 1 π ± 1 saddlesee Figure 43see Figure 43
S 1 001saddle 1 3 0
S 2 00 1 saddle 1 3 0
S 3 0 π 2 1source 1 3 0
S 4 0 π 2 1 sink 1 3 0
S 5 0 π 1saddle 1 3 0
S 6 0 π 1 saddle 1 3 0
S 7 0 θ 0nonhyperbolic 1 3 0
T 8 1 α 1see Figure 44see Figure 45see Figure 45
T 9 1 α 1 see Figure 46see Figure 47see Figure 47
T 10 1 π α 1see Figure 48see Figure 49see Figure 49
T 11 1 π α 1 see Figure 50see Figure 51see Figure 51
T 12 1 α 0see Figure 52see Figure 53see Figure 53
T 13 1 π α 0see Figure 54see Figure 55see Figure 55
Disclaimer/Publisher’s Note: The statements, opinions and data contained in all publications are solely those of the individual author(s) and contributor(s) and not of MDPI and/or the editor(s). MDPI and/or the editor(s) disclaim responsibility for any injury to people or property resulting from any ideas, methods, instructions or products referred to in the content.

Share and Cite

MDPI and ACS Style

Millano, A.D.; Leon, G.; Paliathanasis, A. Phase-Space Analysis of an Einstein–Gauss–Bonnet Scalar Field Cosmology. Mathematics 2023, 11, 1408. https://doi.org/10.3390/math11061408

AMA Style

Millano AD, Leon G, Paliathanasis A. Phase-Space Analysis of an Einstein–Gauss–Bonnet Scalar Field Cosmology. Mathematics. 2023; 11(6):1408. https://doi.org/10.3390/math11061408

Chicago/Turabian Style

Millano, Alfredo D., Genly Leon, and Andronikos Paliathanasis. 2023. "Phase-Space Analysis of an Einstein–Gauss–Bonnet Scalar Field Cosmology" Mathematics 11, no. 6: 1408. https://doi.org/10.3390/math11061408

APA Style

Millano, A. D., Leon, G., & Paliathanasis, A. (2023). Phase-Space Analysis of an Einstein–Gauss–Bonnet Scalar Field Cosmology. Mathematics, 11(6), 1408. https://doi.org/10.3390/math11061408

Note that from the first issue of 2016, this journal uses article numbers instead of page numbers. See further details here.

Article Metrics

Back to TopTop