Analyzing Both Fractional Porous Media and Heat Transfer Equations via Some Novel Techniques
Abstract
1. Introduction
2. Preliminary Concepts
3. Fundamental Plan of HPTM
4. The Fundamental Idea of the YTDM
5. Convergence Analysis
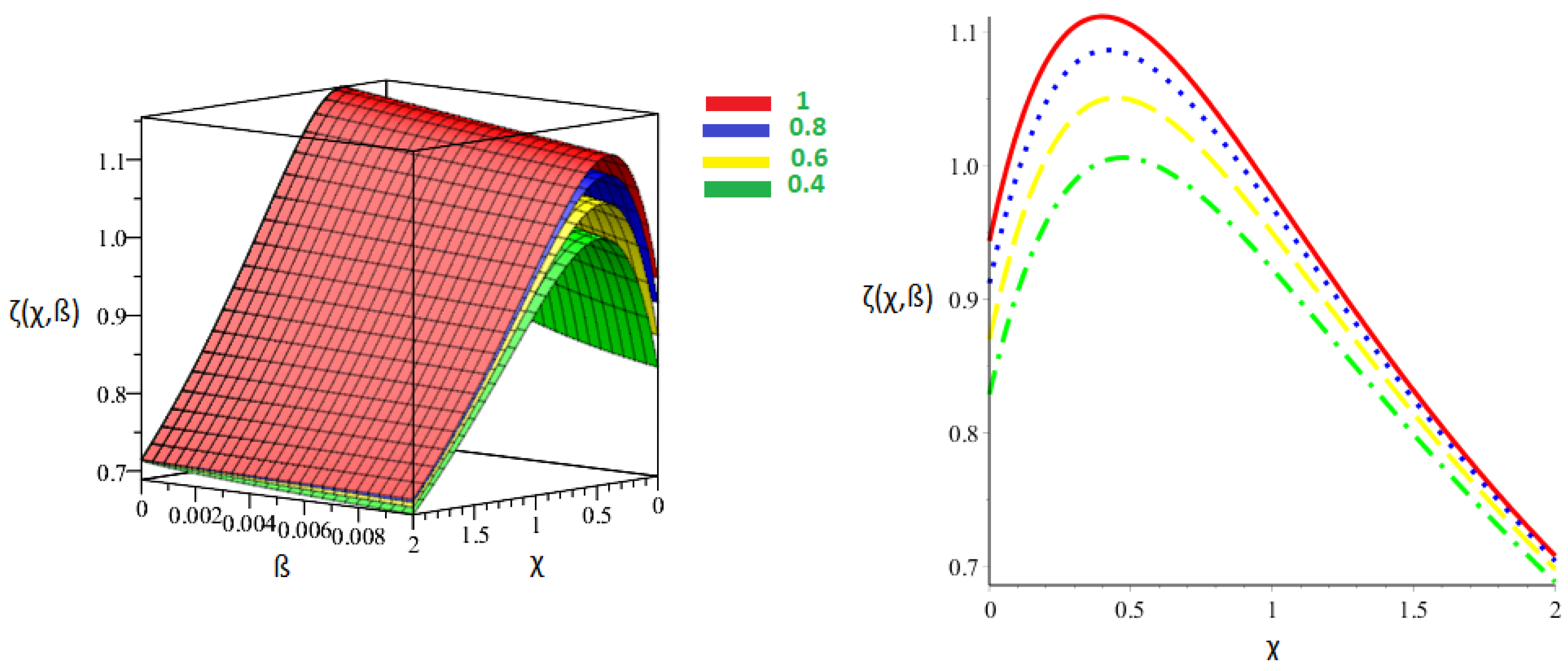
6. Numerical Problems
7. Conclusions
Author Contributions
Funding
Data Availability Statement
Acknowledgments
Conflicts of Interest
References
- Podlubny, I. Fractional Differential Equations; Academic Press: San Diego, CA, USA, 1999; Volume 198, p. 340. [Google Scholar]
- Miller, K.S.; Ross, B. An Introduction to the Fractional Calculus and Fractional Differential Equations; Willey: New York, NY, USA, 1993. [Google Scholar]
- Singh, J. Analysis of fractional blood alcohol model with composite fractional derivative. Chaos Solitons Fractals 2020, 140, 110127. [Google Scholar] [CrossRef]
- Caputo, M.; Fabrizio, M. A new definition of fractional derivative without singular kernel. Prog. Fract. Differ. Appl. 2015, 1, 73–85. [Google Scholar]
- Caputo, M.; Fabrizio, M. On the Singular Kernels for Fractional Derivatives. Some Applications to Partial Differential Equations. Progr. Fract. Differ. Appl. 2021, 7, 79–82. [Google Scholar]
- Lu, C.; Zhu, R.; Yu, F.; Jiang, X.; Liu, Z.; Dong, L.; Hua, Q.; Ou, Z. Gear rotational speed sensor based on FeCoSiB/Pb(Zr,Ti)O3 magnetoelectric composite. Meas. J. Int. Meas. Confed. 2021, 168, 108409. [Google Scholar] [CrossRef]
- Lei, W.; Hui, Z.; Xiang, L.; Zelin, Z.; Xu-Hui, X.; Evans, S. Optimal Remanufacturing Service Resource Allocation for Generalized Growth of Retired Mechanical Products: Maximizing Matching Efficiency. IEEE Access 2021, 9, 89655–89674. [Google Scholar] [CrossRef]
- Zhang, X.; Ma, F.; Dai, Z.; Wang, J.; Chen, L.; Ling, H.; Soltanian, M.R. Radionuclide transport in multi-scale fractured rocks: A review. J. Hazard. Mater. 2022, 424 Pt C, 127550. [Google Scholar] [CrossRef]
- Alharthi, M.R.; Alharbey, R.A.; El-Tantawy, S.A. Novel analytical approximations to the nonplanar Kawahara equation and its plasma applications. Eur. Phys. J. Plus 2022, 137, 1172. [Google Scholar] [CrossRef]
- Alhejaili, W.; Salas, A.H.; El-Tantawy, S.A. Approximate solution to a generalized Van der Pol equation arising in plasma oscillations. AIP Adv. 2022, 12, 105104. [Google Scholar] [CrossRef]
- El-Tantawy, S.A.; Salas, A.H.; Alyousef, H.A.; Alharthie, M.R. Novel approximations to a nonplanar nonlinear Schrödinger equation and modeling nonplanar rogue waves/breathers in a complex plasma. Chaos Solitons Fractals 2022, 163, 112612. [Google Scholar] [CrossRef]
- Aljahdaly, N.H.; El-Tantawy, S.A. Novel anlytical solution to the damped Kawahara equation and its application for modeling the dissipative nonlinear structures in a fluid medium. J. Ocean Eng. Sci. 2022, 7, 492–497. [Google Scholar] [CrossRef]
- Alyousef, H.A.; Salas, A.H.; Matoog, R.T.; El-Tantawy, S.A. On the analytical and numerical approximations to the forced damped Gardner Kawahara equation and modeling the nonlinear structures in a collisional plasma. Phys. Fluids 2022, 34, 103105. [Google Scholar] [CrossRef]
- Douanla, D.V.; Tiofack, C.G.L.; Alim; Aboubakar, M.; Mohamadou, A.; Albalawi, W.; El-Tantawy, S.A.; El-Sherif, L.S. Three-dimensional rogue waves and dust-acoustic dark soliton collisions in degenerate ultradense magnetoplasma in the presence of dust pressure anisotropy. Phys. Fluids 2022, 34, 087105. [Google Scholar] [CrossRef]
- Bai, B.; Zhou, R.; Yang, G.; Zou, W.; Yuan, W. The constitutive behavior and dissociation effect of hydrate-bearing sediment within a granular thermodynamic framework. Ocean Eng. 2023, 268, 113408. [Google Scholar] [CrossRef]
- Liu, K.; Yang, Z.; Wei, W.; Gao, B.; Xin, D.; Sun, C.; Wu, G. Novel detection approach for thermal defects: Study on its feasibility and application to vehicle cables. High Volt. 2022, 1–10. [Google Scholar] [CrossRef]
- Wang, X.; Lyu, X. Experimental study on vertical water entry of twin spheres side-by-side. Ocean Eng. 2021, 221, 108508. [Google Scholar] [CrossRef]
- Singh, J.; Alshehri, A.M.; Momani, S.; Hadid, S.; Kumar, D. Computational Analysis of Fractional Diffusion Equations Occurring in Oil Pollution. Mathematics 2022, 10, 3827. [Google Scholar] [CrossRef]
- Gupta, P.K.; Singh, M. Homotopy perturbation method for fractional Fornberg-Whitham equation. Comput. Math. Appl. 2011, 61, 250–254. [Google Scholar] [CrossRef]
- Abuasad, S.; Moaddy, K.; Hashim, I. Analytical treatment of two-dimensional fractional Helmholtz equations. J. King Saud Univ.-Sci. 2019, 31, 659–666. [Google Scholar] [CrossRef]
- Wang, K. A novel perspective to the local fractional Zakharov-Kuznetsov-modified equal width dynamical model on Cantor sets. Math. Methods Appl. Sci. 2022, 46, 622–630. [Google Scholar] [CrossRef]
- Dubey, V.P.; Singh, J.; Alshehri, A.M.; Dubey, S.; Kumar, D. A hybrid computational method for local fractional dissipative and damped wave equations in fractal media. Waves Random Complex Media 2022, 1–23. [Google Scholar] [CrossRef]
- Alyobi, S.; Shah, R.; Khan, A.; Shah, N.A.; Nonlaopon, K. Fractional Analysis of Nonlinear Boussinesq Equation under Atangana-Baleanu-Caputo Operator. Symmetry 2022, 14, 2417. [Google Scholar] [CrossRef]
- Jassim, H.K.; Zayir, M.Y. A Fractional Variational Iteration Approach for Solving Time-Fractional Navier-Stokes Equations. Math. Comput. Sci. 2022, 3, 41–47. [Google Scholar]
- Alderremy, A.A.; Aly, S.; Fayyaz, R.; Khan, A.; Shah, R.; Wyal, N. The analysis of fractional-order nonlinear systems of third order KdV and Burgers equations via a novel transform. Complexity 2022, 2022, 4935809. [Google Scholar] [CrossRef]
- Abdel-Salam, E.A.; Yousif, E.A.; El-Aasser, M.A. Analytical solution of the space-time fractional nonlinear Schrödinger equation. Rep. Math. Phys. 2016, 77, 19–34. [Google Scholar] [CrossRef]
- Huang, Q.; Huang, G.; Zhan, H. A finite element solution for the fractional advection-dispersion equation. Adv. Water Resour. 2008, 31, 1578–1589. [Google Scholar] [CrossRef]
- Zidan, A.M.; Khan, A.; Shah, R.; Alaoui, M.K.; Weera, W. Evaluation of time-fractional Fisher’s equations with the help of analytical methods. AIMS Math. 2022, 7, 18746–18766. [Google Scholar] [CrossRef]
- Singh, J.; Kilicman, A.; Kumar, D.; Swroop, R. Numerical study for fractional model of nonlinear predator-prey biological population dynamic system. Ther. Sci. 2018, 23, 366. [Google Scholar] [CrossRef]
- Shah, N.A.; Hamed, Y.S.; Abualnaja, K.M.; Chung, J.D.; Shah, R.; Khan, A. A comparative analysis of fractional-order kaup-kupershmidt equation within different operators. Symmetry 2022, 14, 986. [Google Scholar] [CrossRef]
- Kbiri, M.; Nonlaopon, K.; Zidan, A.M.; Khan, A.; Shah, R. Analytical investigation of fractional-order cahn-hilliard and gardner equations using two novel techniques. Mathematics 2022, 10, 1643. [Google Scholar] [CrossRef]
- Dahmani, Z.; Anber, A.; Gouari, Y.; Kaid, M.; Jebril, I. Extension of a Method for Solving Nonlinear Evolution Equations via Conformable Fractional Approach. In Proceedings of the 2021 International Conference on Information Technology, ICIT 2021, Guangzhou, China, 22–25 December 2021; pp. 38–42. [Google Scholar]
- Hammad, M.A.; Horani, M.A.; Shmasenh, A.; Khalil, R. Ruduction of order of fractional differential equations. J. Math. Comput. Sci. 2018, 8, 683–688. [Google Scholar]
- Hammad, M.A. Conformable Fractional Martingales and Some Convergence Theorems. Mathematics 2021, 10, 6. [Google Scholar] [CrossRef]
- Zhang, X.; Ma, F.; Yin, S.; Wallace, C.D.; Soltanian, M.R.; Dai, Z.; Lu, X. Application of upscaling methods for fluid flow and mass transport in multi-scale heterogeneous media: A critical review. Appl. Energy 2021, 303, 117603. [Google Scholar] [CrossRef]
- Bai, B.; Rao, D.; Chang, T.; Guo, Z. A nonlinear attachment-detachment model with adsorption hysteresis for suspension-colloidal transport in porous media. J. Hydrol. (Amst.) 2019, 578, 124080. [Google Scholar] [CrossRef]
- Dehghan, M.; Manafian, J.; Saadatm, A. Solving nonlinear fractional partial differential equations using the homotopy analysis method. Numer. Methods Partial. Differ. Equ. Int. J. 2010, 26, 448–479. [Google Scholar] [CrossRef]
- Mohamed, M.; Yousif, M.; Hamza, A.E. Solving nonlinear fractional partial differential equations using the Elzaki transform method and the homotopy perturbation method. Abstr. Appl. Anal. 2022, 2022, 4743234. [Google Scholar] [CrossRef]
- Areshi, M.; Khan, A.; Shah, R.; Nonlaopon, K. Analytical investigation of fractional-order Newell-Whitehead-Segel equations via a novel transform. AIMS Math. 2022, 7, 6936–6958. [Google Scholar] [CrossRef]
- Singh, R. Optimal homotopy analysis method for the non-isothermal reaction-diffusion model equations in a spherical catalyst. J. Math. Chem. 2018, 56, 2579–2590. [Google Scholar] [CrossRef]
- Bulut, H.; Pandir, Y. Modified trial equation method to the nonlinear fractional Sharma-Tasso-Olever equation. Int. J. Model. Optim. 2013, 3, 353. [Google Scholar] [CrossRef]
- Zhang, S.; Xia, T. A further improved extended Fan sub-equation method and its application to the (3+ 1)-dimensional Kadomstev-Petviashvili equation. Phys. Lett. A 2006, 356, 119–123. [Google Scholar] [CrossRef]
- Sunthrayuth, P.; Alyousef, H.A.; El-Tantawy, S.A.; Khan, A.; Wyal, N. Solving Fractional-Order Diffusion Equations in a Plasma and Fluids via a Novel Transform. J. Funct. Spaces 2022, 2022, 1899130. [Google Scholar] [CrossRef]
- Srivastava, V.K.; Awasthi, M.K.; Kumar, S. Analytical approximations of two and three dimensional time-fractional telegraphic equation by reduced differential transform method. Egypt. J. Basic Appl. Sci. 2014, 1, 60–66. [Google Scholar] [CrossRef]
- Saad Alshehry, A.; Imran, M.; Khan, A.; Shah, R.; Weera, W. Fractional View Analysis of Kuramoto-Sivashinsky Equations with Non-Singular Kernel Operators. Symmetry 2022, 14, 1463. [Google Scholar] [CrossRef]
- Arasteh, H.; Mashayekhi, R.; Toghraie, D.; Karimipour, A.; Bahiraei, M.; Rahbari, A. Optimal arrangements of a heat sink partially filled with multilayered porous media employing hybrid nanofluid. J. Therm. Anal. Calorim. 2019, 137, 1045–1058. [Google Scholar] [CrossRef]
- Barnoon, P.; Toghraie, D.; Dehkordi, R.B.; Afr, M. Two phase natural convection and thermal radiation of Non-Newtonian nanofluid in a porous cavity considering inclined cavity and size of inside cylinders. Int. Commun. Heat Mass Transf. 2019, 108, 104285. [Google Scholar] [CrossRef]
- Arasteh, H.; Mashayekhi, R.; Ghaneifar, M.; Toghraie, D.; Afrand, M. Heat transfer enhancement in a counter-flow sinusoidal parallel-plate heat exchanger partially filled with porous media using metal foam in the channels divergent sections. J. Therm. Anal. Calorim. 2020, 141, 1669–1685. [Google Scholar] [CrossRef]
- Martín Ortega, E.B.; Sastre, F.; Velázquez, A.; Baïri, A. Heat transfer enhancement around finned vertical antenna by means of porous media saturated with Water-Copper nanofluid. Case Stud. Ther. Eng. 2021, 28, 101555. [Google Scholar] [CrossRef]
- Adomian, G. Solving frontier problems of physics: The decomposition method. In Fundamental Theories of Physics; Cherruault, Y., Ed.; Kluwer Academic Publishers Group: Dordrecht, IL, USA, 1994; Volume 1. [Google Scholar]
- He, J.H. Homotopy perturbation method: A new nonlinear analytical technique. Appl. Math. Comput. 2003, 135, 73–79. [Google Scholar] [CrossRef]
- He, J.H. Comparison of homotopy perturbation method and homotopy analysis method. Appl. Math. Comput. 2004, 156, 527–539. [Google Scholar] [CrossRef]
- Sunthrayuth, P.; Ullah, R.; Khan, A.; Shah, R.; Kafle, J.; Mahariq, I.; Jarad, F. Numerical analysis of the fractional-order nonlinear system of Volterra integro-differential equations. J. Funct. Spaces 2021, 2021, 1537958. [Google Scholar] [CrossRef]
- Alaoui, M.K.; Fayyaz, R.; Khan, A.; Shah, R.; Abdo, M.S. Analytical investigation of NoyesField model for time-fractional BelousovZhabotinsky reaction. Complexity 2021, 2021, 3248376. [Google Scholar] [CrossRef]
- Ganji, D.D.; Sadighi, A. Application of homotopy-perturbation and variational iteration methods to nonlinear heat transfer and porous media equations. J. Comput. Appl. Math. 2007, 207, 24–34. [Google Scholar] [CrossRef]
- Yan, L.M. Modified Homotopy Perturbation Method Coupled with Laplace Transform for Fractional Heat Transfer and Porous Media Equations. Therm. Sci. 2013, 17, 1409–1414. [Google Scholar] [CrossRef]
- El-Tantawy, S.A.; El-Sherif, L.S.; Bakry, A.M.; Alhejaili, W.; Wazwaz, A. On the analytical approximations to the nonplanar damped Kawahara equation: Cnoidal and solitary waves and their energy. Phys. Fluids 2022, 34, 113103. [Google Scholar] [CrossRef]
- El-Tantawy, S.A.; Salas, A.H.; Alyouse, H.A.; Alharthi, M.R. Novel exact and approximate solutions to the family of the forced damped Kawahara equation and modeling strong nonlinear waves in a plasma. Chin. J. Phys. 2022, 77, 2454–2471. [Google Scholar] [CrossRef]
- El-Tantawy, S.A. Nonlinear dynamics of soliton collisions in electronegative plasmas: The phase shifts of the planar KdV-and mkdV-soliton collisions. Chaos Solitons Fractals 2016, 93, 162–168. [Google Scholar] [CrossRef]
- Ali, S.; Shohaib, M.; Masood, W.; Alyousef, H.A.; El-Tantawy, S.A. The attributes of the dust-acoustic solitary and periodic structures in the Saturn’s inner magnetosphere. Phys. Fluids 2023, 35, 023101. [Google Scholar] [CrossRef]




| Exact Result | Our Techniques’ Result | AE of Our Techniques | |
|---|---|---|---|
| 1 | 1.01000000000 | 1.01000000000 | 0.0000000000 |
| 2 | 2.01000000000 | 2.01000000000 | 0.0000000000 |
| 3 | 3.01000000000 | 3.01000000000 | 0.0000000000 |
| 4 | 4.01000000000 | 4.01000000000 | 0.0000000000 |
| 5 | 5.01000000000 | 5.01000000000 | 0.0000000000 |
| 6 | 6.01000000000 | 6.01000000000 | 0.0000000000 |
| 7 | 7.01000000000 | 7.01000000000 | 0.0000000000 |
| 8 | 8.01000000000 | 8.01000000000 | 0.0000000000 |
| 9 | 9.01000000000 | 9.01000000000 | 0.0000000000 |
| 10 | 10.01000000000 | 10.01000000000 | 0.0000000000 |
| ß | ||||
|---|---|---|---|---|
| 1 | 0.25 | 0.900577 | 0.796350 | 0.750000 |
| 2 | 0.577330 | 0.583104 | 0.594023 | |
| 3 | 0.467902 | 0.475540 | 0.483500 | |
| 4 | 0.390528 | 0.395451 | 0.400145 | |
| 5 | 0.332537 | 0.335639 | 0.338499 | |
| 1 | 0.50 | 1.612625 | 1.255979 | 1.000000 |
| 2 | 0.578917 | 0.552933 | 0.539358 | |
| 3 | 0.438141 | 0.439283 | 0.442876 | |
| 4 | 0.369207 | 0.372329 | 0.376093 | |
| 5 | 0.318621 | 0.321125 | 0.323822 | |
| 1 | 0.75 | 2.825667 | 0.321125 | 1.750000 |
| 2 | 0.655398 | 0.595920 | 0.550291 | |
| 3 | 0.427756 | 0.420533 | 0.416590 | |
| 4 | 0.355017 | 0.355164 | 0.356413 | |
| 5 | 0.307995 | 0.309167 | 0.310806 | |
| 1 | 1 | 4.448532 | 3.692364 | 3.000000 |
| 2 | 0.7910888 | 0.703748 | 0.626822 | |
| 3 | 0.432096 | 0.416896 | 0.404642 | |
| 4 | 0.346044 | 0.342991 | 0.341107 | |
| 5 | 0.299696 | 0.299287 | 0.299452 |
Disclaimer/Publisher’s Note: The statements, opinions and data contained in all publications are solely those of the individual author(s) and contributor(s) and not of MDPI and/or the editor(s). MDPI and/or the editor(s) disclaim responsibility for any injury to people or property resulting from any ideas, methods, instructions or products referred to in the content. |
© 2023 by the authors. Licensee MDPI, Basel, Switzerland. This article is an open access article distributed under the terms and conditions of the Creative Commons Attribution (CC BY) license (https://creativecommons.org/licenses/by/4.0/).
Share and Cite
Albalawi, W.; Shah, R.; Shah, N.A.; Chung, J.D.; Ismaeel, S.M.E.; El-Tantawy, S.A. Analyzing Both Fractional Porous Media and Heat Transfer Equations via Some Novel Techniques. Mathematics 2023, 11, 1350. https://doi.org/10.3390/math11061350
Albalawi W, Shah R, Shah NA, Chung JD, Ismaeel SME, El-Tantawy SA. Analyzing Both Fractional Porous Media and Heat Transfer Equations via Some Novel Techniques. Mathematics. 2023; 11(6):1350. https://doi.org/10.3390/math11061350
Chicago/Turabian StyleAlbalawi, Wedad, Rasool Shah, Nehad Ali Shah, Jae Dong Chung, Sherif M. E. Ismaeel, and Samir A. El-Tantawy. 2023. "Analyzing Both Fractional Porous Media and Heat Transfer Equations via Some Novel Techniques" Mathematics 11, no. 6: 1350. https://doi.org/10.3390/math11061350
APA StyleAlbalawi, W., Shah, R., Shah, N. A., Chung, J. D., Ismaeel, S. M. E., & El-Tantawy, S. A. (2023). Analyzing Both Fractional Porous Media and Heat Transfer Equations via Some Novel Techniques. Mathematics, 11(6), 1350. https://doi.org/10.3390/math11061350

