Study of Dynamic Performance and Control Strategy of Variable Stiffness Actuator System Based on Two-Inertial-System
Abstract
1. Introduction
2. Two-Inertia-System Dynamics Model of a Variable Stiffness Actuator
3. Dynamic Performance Analysis of a Variable Stiffness Actuator System
3.1. The Effect of Friction on the Dynamic Performance of the Variable Stiffness Actuator System at Constant Stiffness Condition
3.2. The Effect of Gravity on Dynamic Performance of Variable Stiffness Actuator System at Constant Stiffness Condition
3.3. The Effect of Friction on Dynamic Performance of Variable Stiffness Actuator System at Variable Stiffness Condition
3.4. The Effect of Gravity on the Dynamic Performance of the Variable Stiffness Actuator System at Variable Stiffness Condition
4. Position Control Strategy for Variable Stiffness Actuator System
4.1. The Exponentially Convergent Nonlinear Disturbance Observer Based on Linear Matrix Inequality
4.2. Nonlinear Sliding Mode Control Strategy Based on Dynamics Model and Disturbance Observer
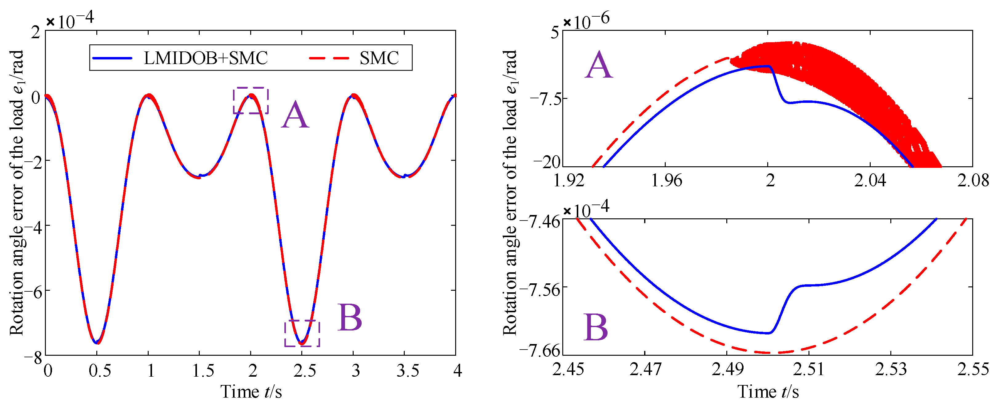
4.3. Position Tracking Performance Analysis of the Control Strategy
4.4. Experimental Verification
5. Conclusions
Author Contributions
Funding
Data Availability Statement
Conflicts of Interest
Nomenclature
| J | Rotational inertias of the lower leg |
| J1 | Rotational inertias of the ball screw |
| Jpm | Rotational inertias of the position motor system |
| Jsm | Rotational inertias of the stiffness motor system |
| C | Damping coefficients of the lower leg |
| C1 | Damping coefficients of the ball screw |
| Cpm | Damping coefficients of the position motor |
| Csm | Damping coefficients of the stiffness motor |
| θ | Rotation angles of the lower leg |
| θ1 | Rotation angles of the ball screw |
| θpm | Rotation angles of the position motor |
| θsm | Rotation angles of the stiffness motor |
| Tpm | Input torques of the position motor |
| Tsm | Input torques of the stiffness motor |
| Ka | Torsional stiffness of the drive system of the position motor system |
| Ka1 | Torsional stiffness of the drive system of the stiffness motor system |
| Ca | Damping coefficients of the drive system of the position motor system |
| Ca1 | Damping coefficients of the drive system of the stiffness motor system |
| Ta | Input torques of the lower leg |
| Ta1 | Input torques of the ball screw |
| Td | Total disturbances of the position motor system |
| Tr | Total disturbances of the stiffness motor system |
| K | Stiffness of the variable stiffness actuator |
| Tvs | Elastic torque due to the variable stiffness system |
| m | Mass of the lower leg |
| L1 | Distance between the center of mass of the lower leg and the axis |
| g | Acceleration of gravity |
| E | Young’s modulus of the cantilever beam |
| I | Inertia moment of the cantilever beam |
| e | Eccentric distance of the eccentric cam |
| rt | Radius of the roller |
| r | Distance between the center of the roller and the axle center of the eccentric cam |
| h | Maximum travel distance of the push rod |
| θ0 | Rotation angles of the eccentric cam at the maximum extending stroke |
| δ0 | Friction stiffness coefficient of the system |
| δ1 | Friction damping coefficient of the system |
| δ2 | Viscous friction coefficient of the system |
| z11 | Internal friction state of the system |
| Tc1 | Coulomb friction moment of the system |
| Ts1 | Static friction moment of the system |
| Stribeck velocity of the system | |
| e1 | Tracking error of the variable stiffness actuator system |
| e2 | Filtering error of the variable stiffness actuator system |
| s1 | Sliding mode function of the variable stiffness actuator system |
| kp1 | Gain matrix of the control strategy |
| kp2 | Gain matrix of the control strategy |
References
- Chen, R.Z.; Li, X.P.; Yang, Z.M.; Xu, J.C.; Yang, H.X. A variable positive-negative stiffness joint with low frequency vibration isolation performance. Measurement 2021, 185, 110046. [Google Scholar] [CrossRef]
- Braun, D.J.; Chalvet, V.; Chong, T.H.; Apte, S.S.; Hogan, N. Variable stiffness spring actuators for low-energy-cost human augmentation. IEEE Trans. Robot. 2019, 35, 1435–1449. [Google Scholar] [CrossRef]
- Moltedo, M.; Cavallo, G.; Baček, T.; Lataireb, J.; Vanderborghta, B.; Lefebera, D.; Rodriguez-Guerreroa, C. Variable stiffness ankle actuator for use in robotic-assisted walking: Control strategy and experimental characterization. Mech. Mach. Theory 2019, 134, 604–624. [Google Scholar] [CrossRef]
- Calanca, A.; Muradore, R.; Fiorini, P. A review of algorithms for compliant control of stiff and fixed-compliance robots. IEEE/ASME Trans. Mech. 2016, 21, 613–624. [Google Scholar] [CrossRef]
- Jafari, A. Coupling between the output force and stiffness in different variable stiffness actuators. Actuators 2014, 3, 270–284. [Google Scholar] [CrossRef]
- Xu, Y.P.; Guo, K.; Sun, J.; Li, J.F. Design, modeling and control of a reconfigurable variable stiffness actuator. Mech. Syst. Signal Pr. 2021, 160, 107883. [Google Scholar] [CrossRef]
- Hurst, J.W.; Chestnutt, J.E.; Rizzi, A.A. The actuator with mechanically adjustable series compliance. IEEE Trans. Robot. 2010, 26, 597–606. [Google Scholar] [CrossRef]
- Yang, Z.M.; Li, X.P.; Xu, J.C.; Chen, R.Z.; Yang, H.X. A new low-energy nonlinear variable stiffness actuator for the knee joint. Mech. Based Des. Struc. 2022. [Google Scholar] [CrossRef]
- Tonietti, G.; Schiavi, R.; Bicchi, A. Design and Control of a Variable Stiffness Actuator for Safe and Fast Physical Human/Robot Interaction. In Proceedings of the IEEE International Conference on Robotics and Automation, Barcelona, Spain, 18–22 April 2005; pp. 526–531. [Google Scholar]
- Schiavi, R.; Grioli, G.; Sen, S.; Bicchi, A. VSA-II: A novel prototype of variable stiffness actuator for safe and performing robots interacting with humans. In Proceedings of the IEEE International Conference on Robotics and Automation, Pasadena, CA, USA, 19–23 May 2008; pp. 2171–2176. [Google Scholar]
- Hu, X.Q.; Song, Z.B.; Ma, T.Y. Novel design method for nonlinear stiffness actuator with user-defined deflection-torque profiles. Mech. Mach. Theory 2020, 146, 103712. [Google Scholar] [CrossRef]
- Liu, Y.; Cui, S.; Sun, Y. Mechanical design and analysis of a novel variable stiffness actuator with symmetrical pivot adjustment. Front. Mech. Eeng.-PRC 2021, 16, 711–725. [Google Scholar] [CrossRef]
- Jafari, A.; Tsagarakis, G.N.; Caldwel, D.G. A novel intrinsically energy efficient actuator with adjustable stiffhess (AwAS). IEEE/ASME Trans. Mech. 2013, 18, 355–365. [Google Scholar] [CrossRef]
- Jafari, A.; Tsagarakis, G.N.; Sardellim, I.; Caldwel, D.G. A new actuator with adjustable stiffness based on a variable ratio lever mechanism. IEEE/ASME Trans. Mech. 2014, 19, 55–63. [Google Scholar] [CrossRef]
- Zhai, M.; Zhang, B.; Li, X.; Long, Z. Design and implementation of permanent and electromagnet composite vibration isolation system based on negative stiffness theory. Actuators 2023, 12, 44. [Google Scholar] [CrossRef]
- Sun, J.T.; Guo, Z.; Zhang, Y.B.; Xiao, X.H.; Tan, J.R. A novel design of serial variable stiffness actuator based on an archimedean spiral relocation mechanism. IEEE/ASME Trans. Mech. 2018, 23, 2121–2131. [Google Scholar] [CrossRef]
- Sun, J.T.; Guo, Z.; Sun, D.Y.; He, S.Y.; Xiao, X.H. Design, modeling and control of a novel compact, energy-efficient, and rotational serial variable stiffness actuator (SVSA-II). Mech. Mach. Theory 2018, 130, 123–136. [Google Scholar] [CrossRef]
- Jimenez-Fabian, R.; Weckx, M.; Rodriguez-Cianca, D.; Lefeber, D.; Vanderborght, B. Online reconfiguration of a variable-stiffness actuator. IEEE/ASME Trans. Mech. 2018, 23, 1866–1876. [Google Scholar] [CrossRef]
- Palli, G.; Melchiorri, C.; Luca, A.D. On the feedback linearization of robots with variable joint stiffness. In Proceedings of the IEEE International Conference on Robotics and Automation, Pasadena, CA, USA, 19–23 May 2008; pp. 1753–1759. [Google Scholar]
- Sardellitti, I.; Medrano-Cerda, G.A.; Tsagarakis, N.; Jafari, A.; Caldwell, D.G. Gain scheduling control for a class of variable stiffness actuators based on lever mechanisms. IEEE Trans. Robot. 2013, 29, 791–798. [Google Scholar] [CrossRef]
- Liu, L.; Leonhardt, S.; Misgeld, B.J.E. Experimental validation of a torque-controlled variable stiffness actuator tuned by gain scheduling. IEEE/ASME Trans. Mech. 2018, 23, 2109–2120. [Google Scholar] [CrossRef]
- Chen, W.H.; Yang, J.; Guo, L.; Li, S.H. Disturbance-observer-based control and related methods—An overview. IEEE Trans. Ind. Electron. 2016, 63, 1083–1095. [Google Scholar] [CrossRef]
- Sariyildiz, E.; Chen, G.; Yu, H.Y. Robust trajectory tracking control of multimass resonant systems in state space. IEEE Trans. Ind. Electron. 2017, 64, 9366–9377. [Google Scholar] [CrossRef]
- Sariyildiz, E.; Mutlu, R.; Yu, H.Y. A sliding mode force and position controller synthesis for series elastic actuators. Robotica 2019, 38, 15–28. [Google Scholar] [CrossRef]
- Oh, S.; Kong, K. High-precision robust force control of a series elastic actuator. IEEE/ASME Trans. Mech. 2017, 22, 71–80. [Google Scholar] [CrossRef]
- Park, Y.; Paine, N.; Oh, S. Development of force observer in series elastic actuator for dynamic control. IEEE Trans. Ind. Electron. 2017, 65, 2398–2407. [Google Scholar] [CrossRef]
- Guo, J.S.; Tian, G.H. Robust tracking control of the variable stiffness actuator based on the lever mechanism. Asian J. Control. 2020, 22, 729–749. [Google Scholar] [CrossRef]
- Petit, F.; Dietrich, A.; Albu-Schäffer, A. Generalizing torque control concepts: Using well-established torque control methods on variable atiffness robots. IEEE Robot. Autom. Mag. 2015, 22, 37–51. [Google Scholar] [CrossRef]
- Kong, K.; Bae, J.; Tomizuka, M. Control of rotary series elastic actuator for ideal force-mode actuation in human–robot interaction applications. IEEE/ASME Trans. Mech. 2009, 14, 105–118. [Google Scholar] [CrossRef]
- Bang, J.S.; Shim, H.; Park, S.K.; Seo, J.H. Robust tracking and vibration suppression for a two-Inertia system by combining backstepping approach with disturbance observer. IEEE Trans. Ind. Electron. 2010, 57, 3197–3206. [Google Scholar] [CrossRef]
- Shang, D.; Li, X.; Yin, M.; Li, F. Control Method of Flexible Manipulator Servo System Based on a Combination of RBF Neural Network and Pole Placement Strategy. Mathematics 2021, 9, 896. [Google Scholar] [CrossRef]
- Wu, Q.C.; Wang, X.S.; Chen, B.; Wu, H.T. Modeling, online identification, and compensation control of single tendon sheath system with time-varying configuration. Mech. Syst. Signal Pr. 2019, 130, 56–73. [Google Scholar] [CrossRef]
- Shao, Z.; Wu, Q.; Chen, B.; Wu, H.; Zhang, Y. Modeling and inverse control of a compliant single-tendon-sheath artificial tendon actuator with bending angle compensation. Mechatronics 2019, 63, 102262. [Google Scholar] [CrossRef]
- Lu, L.; Wu, Q.; Chen, X.; Shao, Z.; Chen, B.; Wu, H. Development of a sEMG-based torque estimation control strategy for a soft elbow exoskeleton. Robot. Auton. Syst. 2018, 111, 88–98. [Google Scholar] [CrossRef]
- Yang, Z.M.; Li, X.P.; Chen, R.Z.; Shang, D.Y.; Xu, J.C.; Yang, H.X. Dynamic performance analysis of the variable stiffness actuator considering gap and friction characteristics based on two-inertia-system. Mech. Mach. Theory 2022, 168, 104584. [Google Scholar] [CrossRef]
- Wang, Q.B.; Xu, K.; Huai, T.S.; Ma, H.; Wang, K. A mesh stiffness method using slice coupling for spur gear pairs with misalignment and lead crown relief. Appl Math. Model. 2021, 90, 845–861. [Google Scholar] [CrossRef]
- Chanachai, T.; Pouyan, R.S.; Peyman, R.S.; Nima, R.; Sayan, S.; Suraparb, K.; Silvia, T. Dynamic response of fluid-conveying hybrid smart carbon nanotubes considering slip boundary conditions under a moving nanoparticle. Mech. Adv. Mater. Struc. 2022. [Google Scholar] [CrossRef]
- Johanastrom, K.; Canudas-de-Wit, C. Revisiting the LuGre friction model. IEEE Contr. Syst. Mag. 2008, 28, 101–114. [Google Scholar] [CrossRef]
- Chen, W.H.; Balance, D.J.; Gawthrop, P.J.; O’Reilly, J. A nonlinear disturbance observer for robotic manipulators. IEEE Trans. Ind. Electron. 2000, 47, 932–938. [Google Scholar] [CrossRef]
- Levant, A. Robust exact differentiation via sliding mode technique. Automatica 1998, 34, 379–384. [Google Scholar] [CrossRef]
- Mohammadi, A.; Tavakoli, M.; Marquez, H.J.; Hashemzadeh, F. Nonlinear disturbance observer design for robotic manipulators. Control. Eng. Pract. 2013, 21, 253–267. [Google Scholar] [CrossRef]












| Parameter | Value |
|---|---|
| Rotational inertia of the position motor Jpm (kg·m2) | 5.2736 × 10−5 |
| Damping of the position motor Cpm | 4.5 × 10−2 |
| Torsional stiffness of the transmission system Ka (Nm·rad−1) | 1.3752 × 104 |
| Damping of the transmission system Ca | 0.3 |
| Mass of the lower leg m (kg) | 0.2212 |
| Frictional stiffness coefficient δ0 | 2600 |
| Frictional damping coefficient δ1 | 0.6 |
| Viscous friction coefficient δ2 | 0.0176 |
| Stribeck velocity (rad/s) | 0.001 |
| Static friction torque Ts1 (Nm) | 0.34 |
| Coulomb friction torque Tc1 (Nm) | 0.28 |
| Operating Condition | Parameter | LMIDOB+SMC | SMC |
|---|---|---|---|
| Constant stiffness condition | Response time (s) | 0.00415 | 0.00415 |
| Stationary error (%) | 0.06 | 0.07 | |
| Overshooting (%) | 1.55 | 1.6 | |
| Variable stiffness condition | Response time (s) | 0.00415 | 0.00415 |
| Stationary error (%) | 0.065 | 0.08 | |
| Overshooting (%) | 1.55 | 1.6 |
Disclaimer/Publisher’s Note: The statements, opinions and data contained in all publications are solely those of the individual author(s) and contributor(s) and not of MDPI and/or the editor(s). MDPI and/or the editor(s) disclaim responsibility for any injury to people or property resulting from any ideas, methods, instructions or products referred to in the content. |
© 2023 by the authors. Licensee MDPI, Basel, Switzerland. This article is an open access article distributed under the terms and conditions of the Creative Commons Attribution (CC BY) license (https://creativecommons.org/licenses/by/4.0/).
Share and Cite
Yang, Z.; Li, X.; Xu, J.; Chen, R.; Yang, H. Study of Dynamic Performance and Control Strategy of Variable Stiffness Actuator System Based on Two-Inertial-System. Mathematics 2023, 11, 1166. https://doi.org/10.3390/math11051166
Yang Z, Li X, Xu J, Chen R, Yang H. Study of Dynamic Performance and Control Strategy of Variable Stiffness Actuator System Based on Two-Inertial-System. Mathematics. 2023; 11(5):1166. https://doi.org/10.3390/math11051166
Chicago/Turabian StyleYang, Zemin, Xiaopeng Li, Jinchi Xu, Renzhen Chen, and Hexu Yang. 2023. "Study of Dynamic Performance and Control Strategy of Variable Stiffness Actuator System Based on Two-Inertial-System" Mathematics 11, no. 5: 1166. https://doi.org/10.3390/math11051166
APA StyleYang, Z., Li, X., Xu, J., Chen, R., & Yang, H. (2023). Study of Dynamic Performance and Control Strategy of Variable Stiffness Actuator System Based on Two-Inertial-System. Mathematics, 11(5), 1166. https://doi.org/10.3390/math11051166

