Numerical Scrutinization of Ternary Nanofluid Flow over an Exponentially Stretching Sheet with Gyrotactic Microorganisms
Abstract
1. Introduction
2. Mathematical Modelling
3. Numerical Simulations
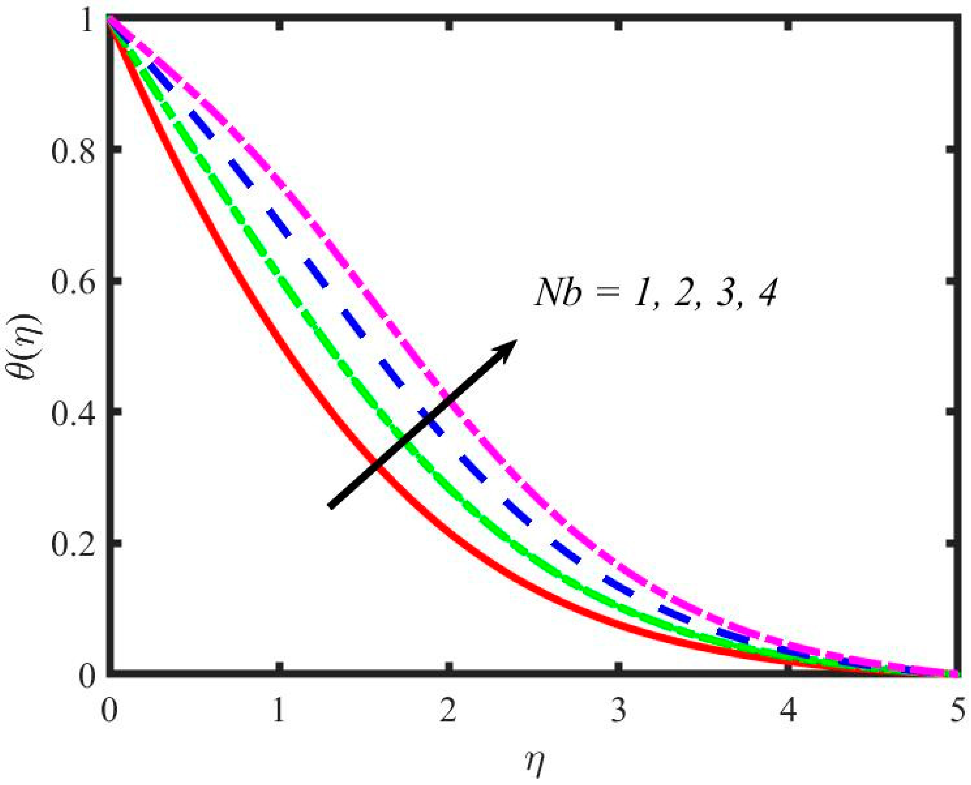
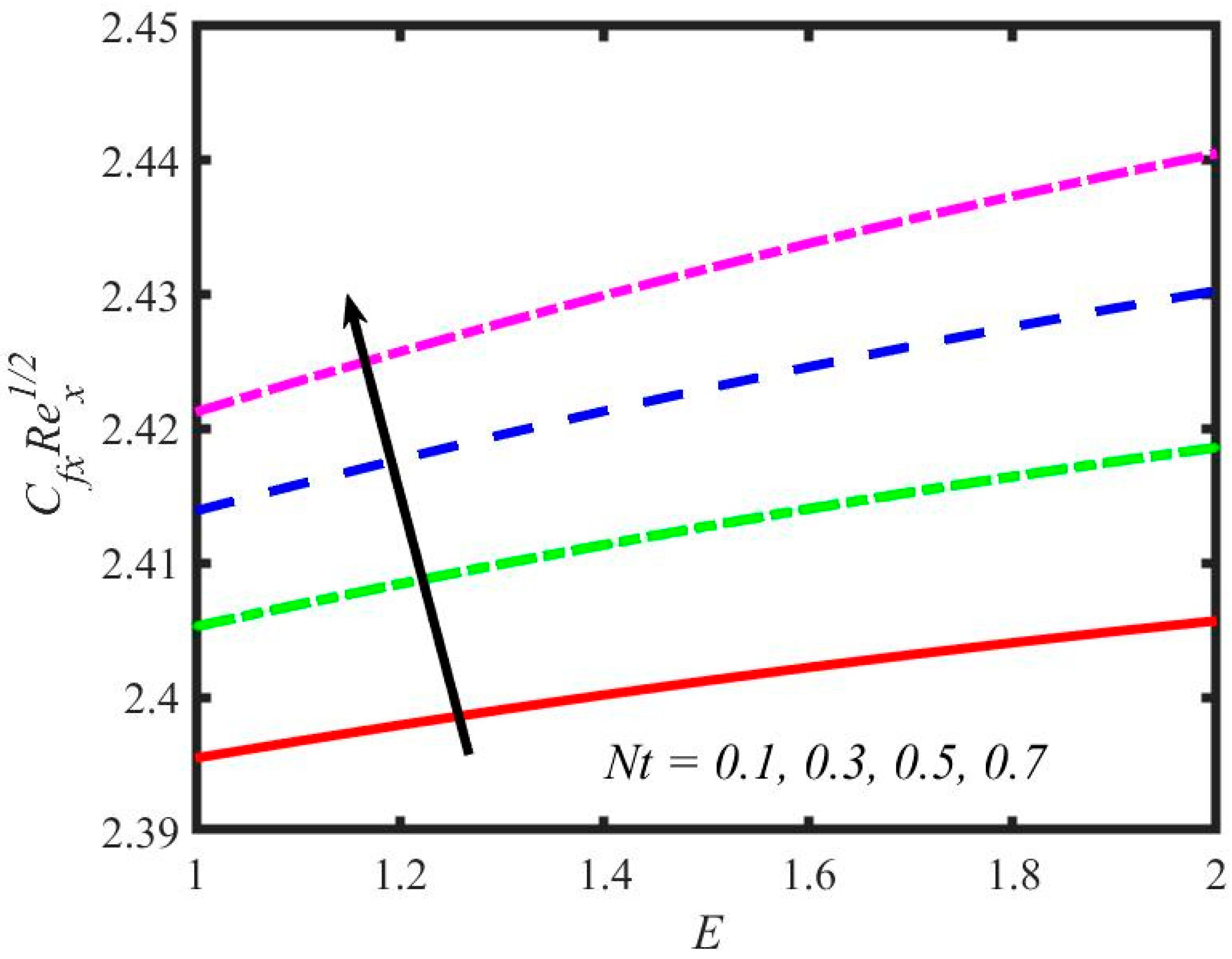
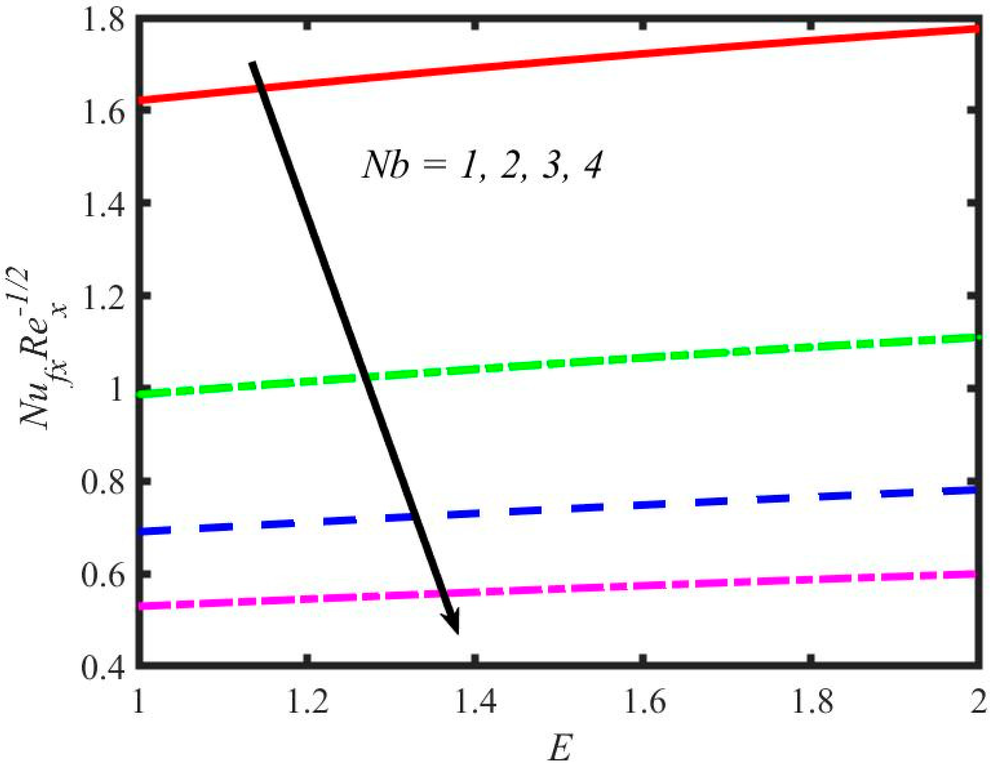
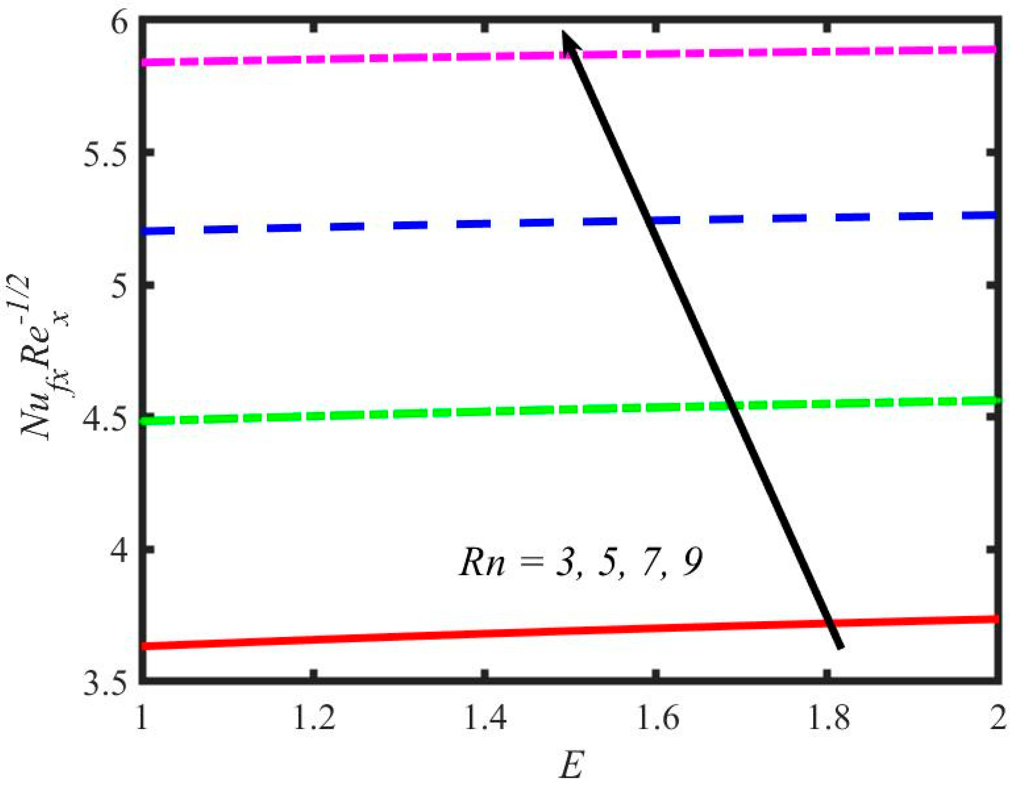
4. Discussion of Results
5. Conclusions
- The nanoparticle temperature of ternary hybrid nanofluid enhances with activation energy and Brownian motion parameters.
- The radiation effects reduce the thermal boundary layer thickness.
- The Lewis number and thermophoresis number decrease the nanoparticle concentration.
- The radiation parameter enhances the concentration of the boundary layer thickness.
- The Brownian motion and radiation effects increase the microorganism profile.
- The microorganism profile is a decreasing function of the thermophoresis parameter and Lewis number.
- Higher temperatures can be found in ternary nanofluids as compared to classical fluid and mono and hybrid nanofluids.
Author Contributions
Funding
Data Availability Statement
Acknowledgments
Conflicts of Interest
Nomenclature
| velocity vector | |
| density of ternary nanofluid | |
| viscosity of ternary nanofluid | |
| body force term | |
| force density | |
| gravitational force term | |
| thermal expansion | |
| temperature | |
| density of nanoparticles | |
| density of fluid | |
| concentration | |
| density of motile organisms | |
| average volume of microorganism | |
| concentration of microorganisms | |
| specific heat | |
| thermal conductivity | |
| radiative heat flux | |
| Brownian motion parameter | |
| thermophoresis parameter | |
| reaction rate | |
| activation energy | |
| Boltzmann constant | |
| diffusivity of microorganisms | |
| chemotaxis constant | |
| maximum cell swimming speed | |
| current density | |
| magnetization of the permanent magnets | |
| width of magnets and electrodes | |
| Prandtl number | |
| Ag nanoparticle volume fraction | |
| Au nanoparticle volume fraction | |
| Cu nanoparticle volume fraction | |
| modified Hartmann number | |
| non-dimensional number | |
| mixed convection parameter | |
| buoyancy ratio constant | |
| bioconvection Rayleigh constant | |
| radiation parameter | |
| Brownian motion parameter | |
| thermophoresis parameter | |
| Lewis number | |
| rate of chemical reaction | |
| temperature difference | |
| fitted rate constant | |
| activation energy | |
| Peclet number | |
| bioconvection Lewis number | |
| microorganisms’ concentration difference parameter |
References
- Choi, S.U.S. Enhancing Thermal Conductivity of Fluids with Nanoparticles. Developments and Applications of Non-Newtonian Flows; Siginer, D.A., Wang, H.P., Eds.; FED-231/MD-66; ASME: New York, NY, USA, 1995; pp. 99–105. [Google Scholar]
- Mahdavi, M.; Sharifpur, M.; Ahmadi, M.H.; Meyer, J.P. Nanofluid flow and shear layers between two parallel plates: A simulation approach. Eng. Appl. Comput. Fluid Mech. 2020, 14, 1536–1545. [Google Scholar] [CrossRef]
- Alghamdi, W.; Alsubie, A.; Kumam, P.; Saeed, A.; Gul, T. MHD hybrid nanofluid flow comprising the medication through a blood artery. Sci. Rep. 2021, 11, 11621. [Google Scholar] [CrossRef] [PubMed]
- Asif, M.; Dhiman, A. Nanofluid Flow of Alumina–Copper/Water Through Isotropic Porous Arrays of Periodic Square Cylinders: Mixed Convection and Competent Array Shape. J. Therm. Sci. Eng. Appl. 2022, 14, 081014. [Google Scholar] [CrossRef]
- Nayak, M.K.; Wakif, A.; Animasaun, I.L.; Alaoui, M. Numerical differential quadrature examination of steady mixed convection nanofluid flows over an isothermal thin needle conveying metallic and metallic oxide nanomaterials: A comparative investigation. Arab. J. Sci. Eng. 2020, 45, 5331–5346. [Google Scholar] [CrossRef]
- Nadeem, S.; Lee, C. Boundary layer flow of nanofluid over an exponentially stretching surface. Nanoscale Res. Lett. 2012, 7, 94. [Google Scholar] [CrossRef]
- Suresh, R.E.; Panda, S. Heat transfer of MHD natural convection Casson nanofluid flows in a wavy trapezoidal enclosure. Eur. Phys. J. Spec. Top. 2022, 231, 2733–2747. [Google Scholar] [CrossRef]
- Ramezan, A.R.; Ahmadpour, A.; Hajmohammadi, M.R. Thermo-hydraulic assessment of non-Newtonian MWCNT nanofluid flows inside microchannels with different cross-sections. Proc. Inst. Mech. Eng. Part C J. Mech. Eng. Sci. 2022, 236, 5005–5021. [Google Scholar] [CrossRef]
- Rafique, K.; Anwar, M.I.; Misiran, M.; Khan, I.; Alharbi, S.O.; Thounthong, P.; Nisar, K.S. Numerical solution of casson nanofluid flow over a non-linear inclined surface with soret and dufour effects by keller-box method. Front. Phys. 2019, 7, 139. [Google Scholar] [CrossRef]
- Haq, F.; Kadry, S.; Chu, Y.M.; Khan, M.; Khan, M.I. Modeling and theoretical analysis of gyrotactic microorganisms in radiated nanomaterial Williamson fluid with activation energy. J. Mater. Res. Technol. 2020, 9, 10468–10477. [Google Scholar] [CrossRef]
- Chu, Y.M.; ur Rahman, M.; Khan, M.I.; Kadry, S.; Rehman, W.U.; Abdelmalek, Z. Heat transport and bio-convective nanomaterial flow of Walter’s-B fluid containing gyrotactic microorganisms. Ain Shams Eng. J. 2021, 12, 3071–3079. [Google Scholar] [CrossRef]
- Chu, Y.M.; Al-Khaled, K.; Khan, N.; Khan, M.I.; Khan, S.U.; Hashmi, M.S.; Iqbal, M.A.; Tlili, I. Study of Buongiorno’s nanofluid model for flow due to stretching disks in presence of gyrotactic microorganisms. Ain Shams Eng. J. 2021, 12, 3975–3985. [Google Scholar] [CrossRef]
- Waini, I.; Ishak, A.; Pop, I. Hybrid nanofluid flow and heat transfer over a nonlinear permeable stretching/shrinking surface. Int. J. Numer. Methods Heat Fluid Flow 2019, 29, 3110–3127. [Google Scholar] [CrossRef]
- Kot, M.E.; Elmaboud, Y.A. Hybrid nanofluid flows through a vertical diseased coronary artery with heat transfer. J. Mech. Med. Biol. 2021, 21, 2150012. [Google Scholar] [CrossRef]
- Sulochana, C.; Prasanna Kumar, T. Electromagnetohydrodynamic boundary layer flow in hybrid nanofluid with thermal radiation effect: Numerical simulation. Heat Transf. 2022, 51, 4485–4503. [Google Scholar] [CrossRef]
- Bouslimi, J.; Alkathiri, A.A.; Alharbi, A.N.; Jamshed, W.; Eid, M.R.; Bouazizi, M.L. Dynamics of convective slippery constraints on hybrid radiative Sutterby nanofluid flow by Galerkin finite element simulation. Nanotechnol. Rev. 2022, 11, 1219–1236. [Google Scholar] [CrossRef]
- Bilal, M.; Asghar, I.; Ramzan, M.; Nisar, K.S.; Aty, A.H.A.; Yahia, I.S.; Ghazwani, H.A.S. Dissipated electroosmotic EMHD hybrid nanofluid flow through the micro-channel. Sci. Rep. 2022, 12, 1–15. [Google Scholar]
- Alzahrani, A.K.; Ullah, M.Z.; Alshomrani, A.S.; Gul, T. Hybrid nanofluid flow in a Darcy-Forchheimer permeable medium over a flat plate due to solar radiation. Case Stud. Therm. Eng. 2021, 26, 100955. [Google Scholar] [CrossRef]
- Ramzan, M.; Mehmood, T.; Alotaibi, H.; Ghazwani, H.A.S.; Muhammad, T. Comparative study of hybrid and nanofluid flows amidst two rotating disks with thermal stratification: Statistical and numerical approaches. Case Stud. Therm. Eng. 2021, 28, 101596. [Google Scholar] [CrossRef]
- Zhang, L.; Bhatti, M.M.; Michaelides, E.E.; Marin, M.; Ellahi, R. Hybrid nanofluid flow towards an elastic surface with tantalum and nickel nanoparticles, under the influence of an induced magnetic field. Eur. Phys. J. Spec. Top. 2022, 231, 521–533. [Google Scholar] [CrossRef]
- Salman, S.; Talib, A.A.; Saadon, S.; Sultan, M.H. Hybrid nanofluid flow and heat transfer over backward and forward steps: A review. Powder Technol. 2020, 363, 448–472. [Google Scholar] [CrossRef]
- Waini, I.; Ishak, A.; Pop, I. Hybrid nanofluid flow and heat transfer over a permeable biaxial stretching/shrinking sheet. Int. J. Numer. Methods Heat Fluid Flow 2020, 32, 4575–4582. [Google Scholar] [CrossRef]
- Ramesh, G.K.; Madhukesh, J.K.; Das, R.; Shah, N.A.; Yook, S.J. Thermodynamic activity of a ternary nanofluid flow passing through a permeable slipped surface with heat source and sink. Waves Random Complex Media 2022, 12, 1–21. [Google Scholar] [CrossRef]
- Goud, J.S.; Srilatha, P.; Kumar, R.V.; Kumar, K.T.; Khan, U.; Raizah, Z.; Gill, H.S.; Galal, A.M. Role of ternary hybrid nanofluid in the thermal distribution of a dovetail fin with the internal generation of heat. Case Stud. Therm. Eng. 2022, 35, 102113. [Google Scholar] [CrossRef]
- Sohail, M.; El-Zahar, E.R.; Mousa, A.A.A.; Nazir, U.; Althobaiti, S.; Althobaiti, A.; Shah, N.A.; Chung, J.D. Finite element analysis for ternary hybrid nanoparticles on thermal enhancement in pseudo-plastic liquid through porous stretching sheet. Sci. Rep. 2022, 12, 9219. [Google Scholar] [CrossRef]
- Oke, A.S. Heat and Mass Transfer in 3D MHD Flow of EG-Based Ternary Hybrid Nanofluid Over a Rotating Surface. Arab. J. Sci. Eng. 2022, 47, 16015–16031. [Google Scholar] [CrossRef]
- Saleem, N.; Munawar, S.; Tripathi, D.; Afzal, F.; Afzal, D. Cilia beating modulated radiating ternary nanofluids flow in a corrugated asymmetric channel with electromagnetohydrodynamic and momentum slip. Heat Transf. 2022, 51, 7462–7486. [Google Scholar] [CrossRef]
- Adun, H.; Adedeji, M.; Dagbasi, M.; Bamisile, O.; Senol, M.; Kumar, R. A numerical and exergy analysis of the effect of ternary nanofluid on performance of Photovoltaic thermal collector. J. Therm. Anal. Calorim. 2021, 145, 1413–1429. [Google Scholar] [CrossRef]
- Elnaqeeb, T.; Animasaun, I.L.; Shah, N.A. Ternary-hybrid nanofluids: Significance of suction and dual-stretching on three-dimensional flow of water conveying nanoparticles with various shapes and densities. Z. Nat. A 2021, 76, 231–243. [Google Scholar] [CrossRef]
- Boudraa, B.; Bessaïh, R. Numerical investigations of heat transfer around a hot block subject to a cross-flow and an extended jet hole using ternary hybrid nanofluids. Proc. Inst. Mech. Eng. Part C J. Mech. Eng. Sci. 2022, 236, 4412–4428. [Google Scholar] [CrossRef]
- Shah, N.A.; Wakif, A.; El-Zahar, E.R.; Thumma, T.; Yook, S.J. Heat transfers thermodynamic activity of a second-grade ternary nanofluid flow over a vertical plate with Atangana-Baleanu time-fractional integral. Alex. Eng. J. 2022, 61, 10045–10053. [Google Scholar] [CrossRef]
- Algehyne, E.A.; El-Zahar, E.R.; Sohail, M.; Nazir, U.; AL-bonsrulah, H.A.; Veeman, D.; Felemban, B.F.; Alharbi, F.M. Thermal improvement in pseudo-plastic material using ternary hybrid nanoparticles via non-Fourier’s law over porous heated surface. Energies 2021, 14, 8115. [Google Scholar] [CrossRef]
- Hasnain, J.; Abid, N. Numerical investigation for thermal growth in water and engine oil-based ternary nanofluid using three different shaped nanoparticles over a linear and nonlinear stretching sheet. Numer. Heat Transf. Part A Appl. 2022, 1–12. [Google Scholar] [CrossRef]
- Yogeesha, K.M.; Megalamani, S.B.; Gill, H.S.; Umeshaiah, M.; Madhukesh, J.K. The physical impact of blowing, Soret and Dufour over an unsteady stretching surface immersed in a porous medium in the presence of ternary nanofluid. Heat Transf. 2022, 51, 6961–6976. [Google Scholar] [CrossRef]
- Shah, S.; Hussain, S.; Sagheer, M. Impacts of variable thermal conductivity on stagnation point boundary layer flow past a Riga plate with variable thickness using generalized Fourier’s law. Results Phys. 2018, 9, 303–312. [Google Scholar] [CrossRef]
- Khan, H.; Ali, F.; Khan, N.; Khan, I.; Mohamed, A. Electromagnetic flow of casson nanofluid over a vertical riga plate with ramped wall conditions. Front. Phys. 2022, 10, 903. [Google Scholar] [CrossRef]
- Ardahaie, S.S.; Amiri, A.J.; Amouei, A.; Hosseinzadeh, K.; Ganji, D.D. Investigating the effect of adding nanoparticles to the blood flow in presence of magnetic field in a porous blood arterial. Inform. Med. Unlocked 2018, 10, 71–81. [Google Scholar] [CrossRef]
- Weier, T.; Gerbeth, G.; Mutschke, G.; Lielausis, O.; Lammers, G. Control of flow separation using electromagnetic forces. Flow Turbul. Combust. 2003, 71, 5–17. [Google Scholar] [CrossRef]
- Swain, I.; Mishra, S.R.; Pattanayak, H.B. Flow over exponentially stretching sheet through porous medium with heat source/sink. J. Eng. 2015, 2015, 452592. [Google Scholar] [CrossRef]
- Mkhatshwa, M.; Motsa, S.; Sibanda, P. Overlapping multi-domain spectral method for conjugate problems of conduction and MHD Free convection flow of nanofluids over flat plates. Math. Comput. Appl. 2019, 24, 75. [Google Scholar] [CrossRef]
- Chu, Y.M.; Khan, U.; Shafiq, A.; Zaib, A. Numerical simulations of time-dependent micro-rotation blood flow induced by a curved moving surface through conduction of gold particles with non-uniform heat sink/source. Arab. J. Sci. Eng. 2021, 46, 2413–2427. [Google Scholar] [CrossRef]
- Ganga, B.; Yusuff Ansari, S.M.; Ganesh, N.V.; Hakeem, A.A. Hydromagnetic flow and radiative heat transfer of nanofluid past a vertical plate. J. Taibah Univ. Sci. 2017, 11, 1200–1213. [Google Scholar] [CrossRef]
- Daniel, Y.S.; Daniel, S.K. Effects of buoyancy and thermal radiation on MHD flow over a stretching porous sheet using homotopy analysis method. Alex. Eng. J. 2015, 54, 705–712. [Google Scholar] [CrossRef]
- Reddy, M.G. Heat generation and thermal radiation effects over a stretching sheet in a micropolar fluid. Int. Sch. Res. Not. 2012, 2012, 795814. [Google Scholar] [CrossRef]
































Disclaimer/Publisher’s Note: The statements, opinions and data contained in all publications are solely those of the individual author(s) and contributor(s) and not of MDPI and/or the editor(s). MDPI and/or the editor(s) disclaim responsibility for any injury to people or property resulting from any ideas, methods, instructions or products referred to in the content. |
© 2023 by the authors. Licensee MDPI, Basel, Switzerland. This article is an open access article distributed under the terms and conditions of the Creative Commons Attribution (CC BY) license (https://creativecommons.org/licenses/by/4.0/).
Share and Cite
Souayeh, B.; Ramesh, K. Numerical Scrutinization of Ternary Nanofluid Flow over an Exponentially Stretching Sheet with Gyrotactic Microorganisms. Mathematics 2023, 11, 981. https://doi.org/10.3390/math11040981
Souayeh B, Ramesh K. Numerical Scrutinization of Ternary Nanofluid Flow over an Exponentially Stretching Sheet with Gyrotactic Microorganisms. Mathematics. 2023; 11(4):981. https://doi.org/10.3390/math11040981
Chicago/Turabian StyleSouayeh, Basma, and Katta Ramesh. 2023. "Numerical Scrutinization of Ternary Nanofluid Flow over an Exponentially Stretching Sheet with Gyrotactic Microorganisms" Mathematics 11, no. 4: 981. https://doi.org/10.3390/math11040981
APA StyleSouayeh, B., & Ramesh, K. (2023). Numerical Scrutinization of Ternary Nanofluid Flow over an Exponentially Stretching Sheet with Gyrotactic Microorganisms. Mathematics, 11(4), 981. https://doi.org/10.3390/math11040981
