Interfacial Stresses for a Coated Irregularly Shaped Hole Embedded in an Infinite Solid under Point Heat Singularity
Abstract
:1. Introduction
2. Mathematical Modeling
2.1. Flow Diagram
2.2. Problem Construction
3. Mathematical Formulation
3.1. Temperature Field
3.2. Stress Field
3.3. Trial-and-Error Method
4. Numerical Results
4.1. Temperature Distribution
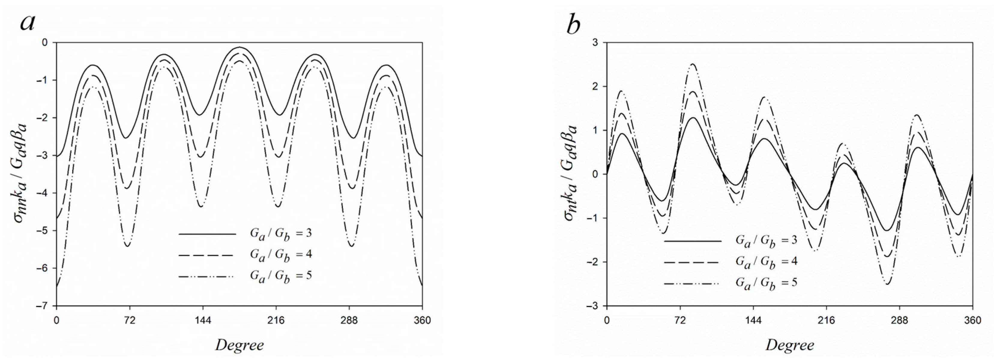
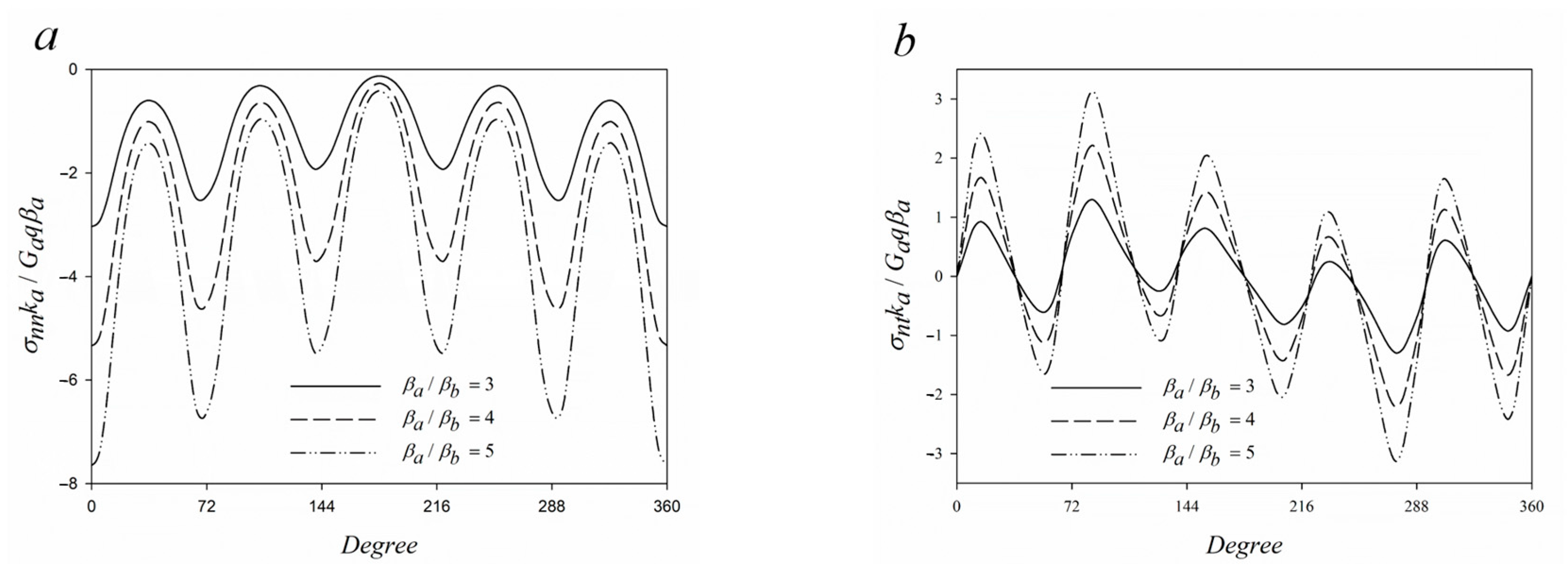
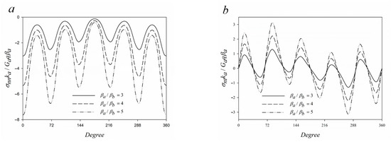
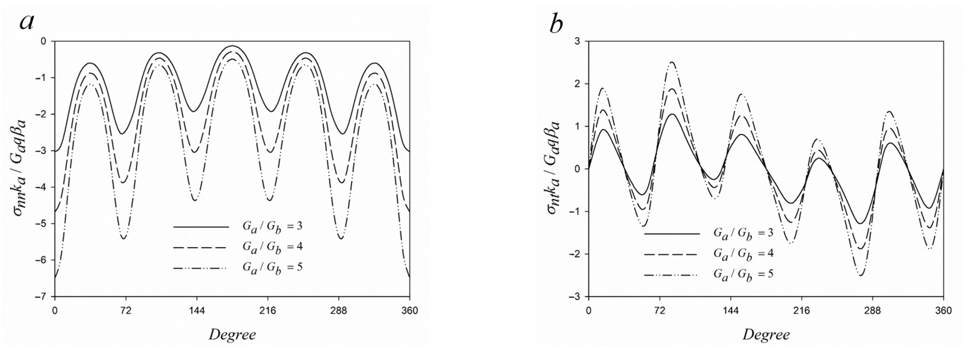
4.2. Interfacial Stresses
5. Conclusions
Author Contributions
Funding
Institutional Review Board Statement
Informed Consent Statement
Data Availability Statement
Acknowledgments
Conflicts of Interest
Appendix A. Determination of M and N in Equations (19) and (20)
Appendix A.1. For the Case of a Triangular Hole Where
Appendix A.2. For the Case of a Square Hole Where
Appendix A.3. For the Case of a Pentagonal Hole Where
References
- Zweben, C. Metal-matrix composites for electronic packaging. J. Miner. Met. Mater. Soc. 1992, 44, 15–23. [Google Scholar] [CrossRef]
- Beffort, O.; Vaucher, S.; Khalid, F. On the thermal and chemical stability of diamond during processing of Al/diamond composites by liquid metal infiltration (squeeze casting). Diam. Relat. Mater. 2004, 13, 1834–1843. [Google Scholar] [CrossRef]
- Jagadeesh, G.V.; Setti, S.G. A review on micromechanical methods for evaluation of mechanical behavior of particulate reinforced metal matrix composites. J. Mater. Sci. 2020, 55, 9848–9882. [Google Scholar] [CrossRef]
- Hussein, T.; Umar, M.; Qayyum, F.; Guk, S.; Prahl, U. Micromechanical Effect of Martensite Attributes on Forming Limits of Dual-Phase Steels Investigated by Crystal Plasticity-Based Numerical Simulations. Crystals 2022, 12, 155. [Google Scholar] [CrossRef]
- Qayyum, F.; Umar, M.; Guk, S.; Schmidtchen, M.; Kawalla, R.; Prahl, U. Effect of the 3rd Dimension within the Representative Volume Element (RVE) on Damage Initiation and Propagation during Full-Phase Numerical Simulations of Single and Multi-Phase Steels. Materials 2020, 14, 42. [Google Scholar] [CrossRef]
- Schöbel, M.; Degischer, H.; Vaucher, S.; Hofmann, M.; Cloetens, P. Reinforcement architectures and thermal fatigue in diamond particle-reinforced aluminum. Acta Mater. 2010, 58, 6421–6430. [Google Scholar] [CrossRef]
- Nam, T.H.; Requena, G.; Degischer, P. Thermal expansion behaviour of aluminum matrix composites with densely packed SiC particles. Compos. Part A Appl. Sci. Manuf. 2008, 39, 856–865. [Google Scholar] [CrossRef]
- Beffort, O.; Khalid, F.; Weber, L.; Ruch, P.; Klotz, U.; Meier, S.; Kleiner, S. Interface formation in infiltrated Al(Si)/diamond composites. Diam. Relat. Mater. 2006, 15, 1250–1260. [Google Scholar] [CrossRef]
- Schöbel, M.; Altendorfer, W.; Degischer, H.; Vaucher, S.; Buslaps, T.; Di Michiel, M.; Hofmann, M. Internal stresses and voids in SiC particle reinforced aluminum composites for heat sink applications. Compos. Sci. Technol. 2011, 71, 724–733. [Google Scholar] [CrossRef]
- Schöbel, M.; Requena, G.; Fiedler, G.; Tolnai, D.; Vaucher, S.; Degischer, H. Void formation in metal matrix composites by solidification and shrinkage of an AlSi7 matrix between densely packed particles. Compos. Part A Appl. Sci. Manuf. 2014, 66, 103–108. [Google Scholar] [CrossRef]
- Rivera-Salinas, J.E.; Gregorio-Jáuregui, K.M.; Romero-Serrano, J.A.; Cruz-Ramírez, A.; Hernández-Hernández, E.; Miranda-Pérez, A.; Gutierréz-Pérez, V.H. Simulation on the Effect of Porosity in the Elastic Modulus of SiC Particle Reinforced Al Matrix Composites. Metals 2020, 10, 391. [Google Scholar] [CrossRef]
- Evans, A.G.; Mumm, D.R.; Hutchinson, J.W.; Meier, G.H.; Pettit, F.S. Mechanisms controlling the durability of thermal barrier coatings. Prog. Mater. Sci. 2001, 46, 505–553. [Google Scholar] [CrossRef]
- Ramakrishnan, N.; Arunachalam, V.S. Effective elastic moduli of porous solids. J. Mater. Sci. 1990, 25, 3930–3937. [Google Scholar] [CrossRef]
- Ramakrishnan, N.; Arunachalam, V.S. Effective Elastic Moduli of Porous Ceramic Materials. J. Am. Ceram. Soc. 1993, 76, 2745–2752. [Google Scholar] [CrossRef]
- Muskhelishvili, N.I. Some Basic Problems of the Mathematical Theory of Elasticity; Noordhoff: Groningen, The Netherlands, 1953; Volume 15. [Google Scholar] [CrossRef]
- Chao, C.K.; Chen, F.M.; Shen, M.H. Green’s Functions for a Point Heat Source in Circularly Cylindrical Layered Media. J. Therm. Stress. 2006, 29, 809–847. [Google Scholar] [CrossRef]
- Chao, C.; Chen, F.; Lin, T. Green’s function for a point heat source embedded in an infinite body with two circular elastic inclusions. Appl. Math. Model. 2018, 56, 254–274. [Google Scholar] [CrossRef]
- Chao, C.K.; Chen, C.K.; Chen, F.M. Interfacial stresses induced by a point heat source in an isotropic plate with a reinforced elliptical hole. Comput. Model. Eng. Sci. (CMES) 2010, 63, 1. [Google Scholar] [CrossRef]
- Zenkour, A.M.; Mashat, D.S.; Allehaibi, A.M. Thermoelastic Coupling Response of an Unbounded Solid with a Cylindrical Cavity Due to a Moving Heat Source. Mathematics 2022, 10, 9. [Google Scholar] [CrossRef]
- Attia, M.A.; Melaibari, A.; Shanab, R.A.; Eltaher, M.A. Dynamic Analysis of Sigmoid Bidirectional FG Microbeams under Moving Load and Thermal Load: Analytical Laplace Solution. Mathematics 2022, 10, 4797. [Google Scholar] [CrossRef]
- Chiu, C.; Tseng, S.; Qayyum, F.; Guk, S.; Chao, C.; Prahl, U. Local deformation and interfacial damage behavior of partially stabilized zirconia-reinforced metastable austenitic steel composites: Numerical simulation and validation. Mater. Des. 2022, 225, 111515. [Google Scholar] [CrossRef]
- Tseng, S.-C.; Chiu, C.-C.; Qayyum, F.; Guk, S.; Chao, C.-K.; Prahl, U. The Effect of the Energy Release Rate on the Local Damage Evolution in TRIP Steel Composite Reinforced with Zirconia Particles. Materials 2023, 16, 134. [Google Scholar] [CrossRef] [PubMed]
- Xie, C.; Wu, Y.; Liu, Z. Stress fields and effective modulus of piezoelectric fiber composite with arbitrary shaped inclusion under in-plane mechanical and anti-plane electric loadings. Math. Mech. Solids 2019, 24, 3180–3199. [Google Scholar] [CrossRef]
- Luo, J.-C.; Gao, C.-F. Stress field of a coated arbitrary shape inclusion. Meccanica 2011, 46, 1055–1071. [Google Scholar] [CrossRef]
- Yoshikawa, K.; Hasebe, N. Green’s function of the displacement boundary value problem for a heat source in an infinite plane with an arbitrary shaped rigid inclusion. Arch. Appl. Mech. 1999, 69, 227–239. [Google Scholar] [CrossRef]
- Tang, J.-Y.; Yang, H.-B. An alternative numerical scheme for calculating the thermal stresses around an inclusion of arbitrary shape in an elastic plane under uniform remote in-plane heat flux. Acta Mech. 2019, 230, 2399–2412. [Google Scholar] [CrossRef]
- Yang, Q.; Zhu, W.; Li, Y.; Zhang, H. Stress field of a functionally graded coated inclusion of arbitrary shape. Acta Mech. 2018, 229, 1687–1701. [Google Scholar] [CrossRef]
- Zhou, X.; Shao, Z.; Tian, F.; Hopper, C.; Jiang, J. Microstructural effects on central crack formation in hot cross-wedge-rolled high-strength steel parts. J. Mater. Sci. 2020, 55, 9608–9622. [Google Scholar] [CrossRef]
- Tseng, S.C.; Chao, C.K.; Chen, F.M. Interfacial Stresses of a Coated Square Hole Induced by a Remote Uniform Heat Flow. Int. J. Appl. Mech. 2020, 12, 2050063. [Google Scholar] [CrossRef]
- Tseng, S.C.; Chao, C.K.; Guo, J.Y. Failure Analysis of a Polygonal Void with an Oxide Layer in a Cracked Matrix. Int. J. Appl. Mech. 2021, 13, 2150099. [Google Scholar] [CrossRef]
- Chiu, C.; Tseng, S.; Chao, C.; Guo, J. Stress Intensity Factors for a Non-Circular Hole with Inclusion Layer Embedded in a Cracked Matrix. Aerospace 2021, 9, 17. [Google Scholar] [CrossRef]
- Liao, Y.L.; Tseng, S.C.; Chao, C.K. Stress analysis of an inclusion layer bonded to an irregularly shaped pore under an edge dislocation or a concentrated load. J. Mech. 2022, 38, 397–409. [Google Scholar] [CrossRef]
- Tseng, S.C.; Chao, C.K.; Chen, F.M.; Chiu, W.C. Interfacial stresses of a coated polygonal hole subject to a point heat source. J. Therm. Stress. 2020, 43, 1487–1512. [Google Scholar] [CrossRef]
- Xue, X.-Y.; Wen, S.-R.; Sun, J.-Y.; He, X.-T. One- and Two-Dimensional Analytical Solutions of Thermal Stress for Bimodular Functionally Graded Beams under Arbitrary Temperature Rise Modes. Mathematics 2022, 10, 1756. [Google Scholar] [CrossRef]
- He, X.-T.; Zhang, M.-Q.; Pang, B.; Sun, J.-Y. Solution of the Thermoelastic Problem for a Two-Dimensional Curved Beam with Bimodular Effects. Mathematics 2022, 10, 3002. [Google Scholar] [CrossRef]
- Bogdanoff, J.L. Note on Thermal Stresses. J. Appl. Mech. 1954, 21, 88. [Google Scholar] [CrossRef]
- Qayyum, F.; Chaudhry, A.A.; Guk, S.; Schmidtchen, M.; Kawalla, R.; Prahl, U. Effect of 3D Representative Volume Element (RVE) Thickness on Stress and Strain Partitioning in Crystal Plasticity Simulations of Multi-Phase Materials. Crystals 2020, 10, 944. [Google Scholar] [CrossRef]
- Wu, C.; Wang, D.; Guo, Y. An immersed particle modeling technique for the three-dimensional large strain simulation of particulate-reinforced metal-matrix composites. Appl. Math. Model. 2016, 40, 2500–2513. [Google Scholar] [CrossRef]
- Jiang, P.; Fan, X.; Sun, Y.; Li, D.; Li, B.; Wang, T. Competition mechanism of interfacial cracks in thermal barrier coating system. Mater. Des. 2017, 132, 559–566. [Google Scholar] [CrossRef]
- Evans, A.G.; He, M.Y.; Hutchinson, J.W. Mechanics-based scaling laws for the durability of thermal barrier coatings. Prog. Mater. Sci. 2001, 46, 249–271. [Google Scholar] [CrossRef]
- Qayyum, F.; Guk, S.; Prahl, U. Studying the Damage Evolution and the Micro-Mechanical Response of X8CrMnNi16-6-6 TRIP Steel Matrix and 10% Zirconia Particle Composite Using a Calibrated Physics and Crystal-Plasticity-Based Numerical Simulation Model. Crystals 2021, 11, 759. [Google Scholar] [CrossRef]











| Magnitude | Degree | ||||
|---|---|---|---|---|---|
| 0° | 72° | 144° | 216° | 288° | |
| Q = −q0/2πka | −3.0 | −2.4 | −1.8 | −1.8 | −2.4 | 
| Q = −q0/4πka | −1.5 | −1.2 | −0.9 | −0.9 | −1.2 | 
| Q = q0/4πka | 1.5 | 1.2 | 0.9 | 0.9 | 1.2 | 
| Q = q0/2πka | 3.0 | 2.4 | 1.8 | 1.8 | 2.4 | 
| Parameters | Degree | ||||
|---|---|---|---|---|---|
| 0° | 72° | 144° | 216° | 288° | |
| Ga/Gb = 3 | −3.0 | −2.4 | −1.8 | −1.8 | −2.4 | 
| Ga/Gb = 4 | −4.7 | −3.7 | −2.9 | −2.9 | −3.7 | 
| Ga/Gb = 5 | −6.5 | −5.2 | −4.2 | −4.2 | −5.2 | 
| βa/βb = 3 | −3.0 | −2.4 | −1.8 | −1.8 | −2.4 | 
| βa/βb = 4 | −5.3 | −4.8 | −3.5 | −3.5 | −4.8 | 
| βa/βb = 5 | −7.6 | −6.8 | −5.2 | −5.2 | −6.8 | 
| w = 0.04 | −2.5 | −2.1 | −1.8 | −1.8 | −2.1 | 
| w = 0.05 | −3.0 | −2.4 | −2.0 | −2.0 | −2.4 | 
| w = 0.06 | −3.8 | −3.0 | −2.4 | −2.4 | −3.0 | 
| Disclaimer/Publisher’s Note: The statements, opinions and data contained in all publications are solely those of the individual author(s) and contributor(s) and not of MDPI and/or the editor(s). MDPI and/or the editor(s) disclaim responsibility for any injury to people or property resulting from any ideas, methods, instructions or products referred to in the content. | 
© 2023 by the authors. Licensee MDPI, Basel, Switzerland. This article is an open access article distributed under the terms and conditions of the Creative Commons Attribution (CC BY) license (https://creativecommons.org/licenses/by/4.0/).
Share and Cite
Liao, Y.-L.; Tseng, S.-C.; Chao, C.-K. Interfacial Stresses for a Coated Irregularly Shaped Hole Embedded in an Infinite Solid under Point Heat Singularity. Mathematics 2023, 11, 802. https://doi.org/10.3390/math11040802
Liao Y-L, Tseng S-C, Chao C-K. Interfacial Stresses for a Coated Irregularly Shaped Hole Embedded in an Infinite Solid under Point Heat Singularity. Mathematics. 2023; 11(4):802. https://doi.org/10.3390/math11040802
Chicago/Turabian StyleLiao, Yi-Lun, Shao-Chen Tseng, and Ching-Kong Chao. 2023. "Interfacial Stresses for a Coated Irregularly Shaped Hole Embedded in an Infinite Solid under Point Heat Singularity" Mathematics 11, no. 4: 802. https://doi.org/10.3390/math11040802
APA StyleLiao, Y.-L., Tseng, S.-C., & Chao, C.-K. (2023). Interfacial Stresses for a Coated Irregularly Shaped Hole Embedded in an Infinite Solid under Point Heat Singularity. Mathematics, 11(4), 802. https://doi.org/10.3390/math11040802
 
        



 
       