Next Article in Journal
Long-Term Behaviour in an Exactly Solvable Model of Pure Decoherence and the Problem of Markovian Embedding
Previous Article in Journal
Leveraging Zero and Few-Shot Learning for Enhanced Model Generality in Hate Speech Detection in Spanish and English
 
 
Font Type:
Arial Georgia Verdana
Font Size:
Aa Aa Aa
Line Spacing:
Column Width:
Background:
Article

Optimal Investment and Reinsurance Policies in a Continuous-Time Model

1
School of Mathematics and Science, Nankai University, No. 94 Weijin Road, Nankai District, Tianjin 300071, China
2
School of Science, China Agricultural University, Haidian District, Beijing 100091, China
3
School of Economics, Peking University, Haidian District, Beijing 100871, China
4
Key Laboratory of Mathematical Economics and Quantitative Finance, Peking University, Haidian District, Beijing 100871, China
*
Author to whom correspondence should be addressed.
Mathematics 2023, 11(24), 5005; https://doi.org/10.3390/math11245005
Submission received: 11 November 2023 / Revised: 13 December 2023 / Accepted: 17 December 2023 / Published: 18 December 2023

Abstract

:
In the field of finance and insurance, addressing the optimal investment and reinsurance issue is a focal point for researchers. This paper contemplates the optimal strategy for insurance companies within a model where wealth dynamics adhere to a jump–diffusion process. The fractional structure of the diffusion term is extremely interpretative. This model encompasses elements of risky assets, risk-free assets, and proportional reinsurance. Based on this model and grounded in the principles of stochastic control, the corresponding HJB equation is derived and solved. Consequently, explicit expressions for the optimal investment and reinsurance ratios are obtained, and the solution’s verification theorem is proven. Finally, through a numerical analysis with varying parameters, results consistent with real-world scenarios are achieved.

1. Introduction

Risk arises from uncertainty and can result in losses for financial institutions. With societal advancement, humanity’s awareness of the perils of risk has gradually intensified, leading to the emergence of the insurance industry. For insurance companies, their primary responsibility is to compensate and safeguard the financial security of individuals, organizations, or other entities against unforeseen losses. Moreover, insurance companies are profit-oriented financial institutions, and generating profits and expanding their scale are their primary objectives.
In a fiercely competitive market, relying solely on premium collection to cover claims and generate revenue is insufficient. So, how do insurance companies operate? On one hand, they profit from the time difference between collecting premiums and paying claims. On the other hand, insurance companies invest in financial markets using their accumulated capital, such as purchasing securities, bonds, or depositing in banks, to earn additional income for claims and other activities.
It is worth noting that as participants in the financial market, investing exposes them to risks like asset depreciation and declining interest rates, which could lead to financial losses. Additionally, in rare scenarios, insurance companies might face the risk of making substantial claim payments in a short period. In the event of significant catastrophes, they might find themselves unable to cover excessive claims. Therefore, reinsurance is a potent tool for insurance companies to share some of their inherent risks, control their liability scope, and mitigate the tail risks they bear.
In summary, how insurance companies balance the reinsurance premiums paid, risky asset investments, and risk-free investments to maximize profits and minimize risks is a core proposition that needs exploration and research in their operational process. Assisting insurance companies in formulating appropriate optimal investment strategies and reinsurance methods has also become a pivotal issue in the field of risk theory.
The primary motivation of this paper is to combine the optimal reinsurance problem with the optimal investment portfolio problem of risky and risk-free assets in a classic continuous-time framework, aiming to derive a comprehensive optimal operational strategy for insurance companies. Due to the well-defined properties of the model setup, this paper presents an analytical solution for the insurance company’s optimal strategy (see Theorem 1), which, along with the numerical simulation section, constitutes the core contribution of this paper.
The remainder of this paper is organized as follows: Section 2 will discuss the relationship between this paper and the literature on insurance company operations in continuous time, as well as continuous-time asset pricing. Section 3 will introduce the specific assumptions and solutions of the model. In Section 4, we will showcase the numerical simulation results based on a set of parameters to better help readers understand the specific properties of the theoretical results. In the final section, we will summarize the model results and explore their relationship with reality.

2. Literature Review

A systematic exploration of risk theory can be traced back to the pioneering work of Filip Lundberg during his doctoral studies [1]. It was in this seminal paper that he introduced the compound Poisson process, which has since played a pivotal role in non-life insurance models. Subsequent extensions of this classic model by researchers like Carmer led to the establishment of a myriad of stochastic risk models. The research building upon Lundberg’s conclusions primarily bifurcated into two avenues: one focusing on model extensions, such as the compound Poisson distribution risk model and jump–diffusion models, and the other integrating stochastic control problems into risk theory, addressing areas like reinsurance and dividend distribution.
In addressing optimal decision-making challenges, the field of economics has traditionally leaned on stochastic control as a paramount solution mechanism. Markowitz’s 1952 proposition [2] to measure stock risk through returns and volatility set the stage for the mean–variance model, aiming to strike a balance between risk mitigation and profit maximization. The foundational theories on stochastic integration by Kiyoshi Itô laid the groundwork for dynamic stochastic control problems. The essence of stochastic control methods is to identify optimal strategies that either maximize or minimize a given objective function. This often entails the formulation of an optimal control set and a partial differential equation, specifically the HJB equation, for resolution. Merton’s application of this methodology [3], by presuming a specific function for model coefficients, transformed the original problem into an HJB equation, deriving optimal strategies under maximum terminal expected utility. This paradigm shift in approach, introduced by Merton, paved the way for modern dynamic portfolio research. Subsequent advancements in stochastic control theory were meteoric, with deeper dives into various solutions for the HJB equation. To address the potential degeneracy in the diffusion term of the HJB equation, where classical solutions might not exist, Crandall and Lions [4] proposed a weak solution, known as the viscosity solution, which is a non-smooth solution to partial differential equations. Furthering this, J. Yong and X. Zhou [5] introduced the viscosity solution for the HJB equation.
For optimal decision-making challenges, objective functions are typically constructed to either maximize or minimize based on specific goals. Common optimization objectives include bankruptcy probability minimization, expected utility maximization, and mean–variance optimization. Ensuring a company’s operational continuity naturally prioritizes minimizing bankruptcy probability. Hipp and Plum [6,7] proposed investing an insurance company’s residual profits in the financial market, striving to minimize the likelihood of bankruptcy. Under this model, they demonstrated the existence of optimal investment methods and optimal value functions. While minimizing bankruptcy probability ensures survival, companies naturally aim to maximize their utility to expand their operational scope. The expected utility theory, initially proposed by Neumann and Morgenstern in 1944, served as a cornerstone for economists addressing uncertainty and has since been widely applied across various domains, including investment and reinsurance strategy formulation. The mean–variance model, postulated by Markowitz [2], emerged as a pivotal standard in risk measurement, particularly for portfolio research.
Revisiting the optimal investment strategy conundrum, the earliest research in this domain can be attributed to Markowitz [2]. Samuelson subsequently expanded upon Markowitz’s mean–variance model, refining it into a general dynamic model to address optimal strategy problems in optimal consumption models. The expected utility theory, initially proposed by Neumann and Morgenstern [8] in 1944, served as a cornerstone for economists addressing uncertainty and has since been widely applied across various domains, including investment and reinsurance strategy formulation. In 1995, Browne [9] introduced an approximate diffusion model for the Cramer–Lundberg model, optimizing scenarios where the C-L model often failed to provide explicit solutions. This pioneering work initially addressed optimal investment methods targeting bankruptcy probability minimization. Later, Schmidli [10] in 2002 explored scenarios where the surplus process, under the classic risk model, could only invest in one type of risky asset, deriving numerical algorithms for the value function of the HJB equation.
In recent years, the jump–diffusion model has emerged as a focal point in actuarial mathematics. This model, initially proposed by Merton [11] in 1971, combined the jump and diffusion processes to characterize the surplus process of premiums. Yang [12] in 2005 described the initial surplus process of an insurer using a jump–diffusion process, without considering reinsurance, and provided optimal investment methods and analytical solutions for this model’s value function in his paper. Wang [13] in 2007, targeting the maximization of future reserve index utility, explored the insurance company’s optimal investment strategy when the claim process is a pure jump process (not necessarily a compound Poisson process) and multiple risky assets can be invested in. Most contemporary research assumes that investments in financial market assets are based on a constant interest rate. However, with the acceleration of marketization, interest rate fluctuations pose significant risks to market investments.
Common reinsurance methods can be broadly categorized into three types: proportional reinsurance, excess-of-loss reinsurance, and stop-loss reinsurance. Domestic and international inquiries have predominantly focused on the first two, with foreign research on the pricing issue of excess-of-loss reinsurance having an earlier start. Hipp and Vogt [14] explored scenarios under excess-of-loss reinsurance, establishing the existence of smooth solutions for the constructed HJB equation, verifying the solution’s theorem, and finally providing numerical solutions for exponential claim distributions. Historically, research on insurance companies adopting both investment and reinsurance strategies has been sparse. Schmidli [15] made significant contributions in this area. Cao [16] and others utilized the diffusion model, assuming the claim process followed a Brownian motion with drift, allowing insurance companies to invest in a risk-free asset and a risky asset. Additionally, insurance companies could purchase proportional reinsurance to reduce risk, deriving optimal strategies for purchasing proportional reinsurance and investing in risk-free and risky assets. Kaluszka [17] in his paper pointed out that based on the mean and variance of the reinsurer’s share in the total claim amount, an appropriate reinsurance level was derived, serving as a theoretical basis for studying global reinsurance and local reinsurance. Zeng [18] and others focused on models optimized by the mean–variance criterion, where the surplus process was approximately represented by Brownian drift motion, solving the optimal time-consistent optimal investment and reinsurance strategy problem.
This paper presents a closed form under a specific utility function, while another branch of the literature provides numerical solutions for a broader range of utility functions, such as those in references [19,20,21]. Overall, although numerical solutions can handle a wider variety of utility function forms, the closed form offered by this paper allows for insurance companies to directly substitute their own parameters to obtain the optimal strategy. Hence, the analytical solution is characterized by its simplicity and ease of use.
Our study is closely related to the work of Xu et al. [22] and Xu et al. [23]. The primary distinction lies in our introduction of a diffusion term form that, while slightly different, is broader in scope and accompanied by the results of a numerical simulation. Compared to Zhou et al. [24], we have considered a more extensive range of processes for the price movement of risky assets. In contrast to the approach by Belkina et al. [25], our paper presents a trade-off process between investing in risky and risk-free assets as opposed to solely in risk-free assets. Overall, our work adheres to the classic solution approach and framework of this strand of the literature. However, we contribute to the field by offering an equilibrium result for investing in risky assets based on a diffusion process with a fractional diffusion term. A similar process was first proposed by Cox and Ross [26] for pricing derivative securities. Moreover, we provide optimal investment and reinsurance strategies. These findings are of substantial practical value to the planning departments of insurance companies.

3. Model

The primary mission of insurance companies is to market insurance contracts and provide risk protection to policyholders. However, with the continuous evolution of the economy and the subsequent accumulation of wealth, there are dual implications for insurers. On one hand, the demand for insurance contracts escalates, and on the other, the potential losses from significant incidents rise proportionally. As a result, insurers face a surge in premiums due to the aggregation of risks. In the face of major calamities, the resultant claims can exceed the financial capacity of an insurance company.
To mitigate such scenarios, insurers often resort to reinsurance to manage their liability exposure. However, this strategy comes at a cost, as the payment of reinsurance premiums can erode the insurer’s premium income. Furthermore, insurance companies, operating as financial institutions, channel their capital and premium accumulations into the financial markets, seeking returns from investments in stocks, bonds, and other securities. Yet, investments inherently carry risks. Thus, determining an investment strategy that maximizes returns while minimizing risks remains a focal point for insurance companies.
In the subsequent sections, we will employ a classic risk model, integrating both securities investment and fixed-income ventures. We will also consider proportional reinsurance to devise optimal investment and reinsurance strategies.

3.1. Model Establishment and Solution

Based on the assumptions of the classical risk model [7], the surplus process X ( t ) of an insurance company is defined as follows:
d X ( t ) = c d t d P ( t )
where c represents the premium rate per unit of time for the insurance company and P ( t ) represents the total claim amount at time t . P ( t ) = k = 1 N ( t ) Y k is a compound Poisson process. N ( t ) represents the number of claims within time ( 0 , t ] . It follows a homogeneous Poisson process with a positive parameter λ . { Y k , k = 1 , 2 , } represents a sequence of non-negative, independent, and identically distributed random variables. Y k ( k 1 ) denotes the compensation amount for the insured person on the k claim, which follows the distribution F ( y ) with a mean of E ( Y k ) = m and a moment-generating function M Y ( u ) = E [ e u Y ] = k = 1 e u y d F ( y ) .
Taking into account the inclusion of proportional reinsurance, let us assume that the proportion of risk retained by the company is q t [ 0 , 1 ] . Based on Kaas’s [27] principle of expected value, the premium rate charged by the insurance company is ( 1 + θ ) λ m , where θ > 0 is the safety loading of the insurance company. Similarly, the premium rate paid to the reinsurance company is ( 1 + η ) ( 1 q t ) λ m , with η > 0 being the safety loading of the reinsurance company.
After purchasing reinsurance, the surplus process of the insurance company can be represented as:
d X ( t ) = λ m [ ( 1 + θ ) ( 1 + η ) ( 1 q t ) ] d t q t d P ( t ) .
Next, we consider the company’s investment strategy for its surplus. B ( t ) represents the price process of a risk-free asset, which follows d B ( t ) = r B ( t ) d t . Here, r is a constant denoting the risk-free interest rate. The price process of the risky security, S ( t ) , adheres to the CEV (Constant Elasticity of Variance) process, d S ( t ) = μ S ( t ) d t + σ S α 2 ( t ) d W ( t ) .
Insurance companies have two types of investments at time t : risky assets (such as securities or funds) and risk-free assets (fixed-rate income investments). Here, π ( t ) denotes the amount the insurance company invests in risky securities, while π B ( t ) represents the amount invested in fixed-rate income investments. According to Browne’s [9] assumption, the investment amount can be either positive or negative, that is, < π ( t ) , π B ( t ) < + . A negative investment amount indicates a short position, while a positive amount indicates a long position. N ( t ) and N B ( t ) represent the number of units held in risky securities and fixed-income investments, respectively. Using { X ( t ) , 0 t T } to represent the company’s wealth process, the following relationship holds:
π ( t ) = N ( t ) S ( t ) , π B ( t ) = N B ( t ) B ( t ) , π ( t ) + π B ( t ) = X ( t ) .
From Equations (1) and (2), it can be inferred that the wealth process X ( t ) satisfies the following stochastic differential equation (SDE) form:
d X ( t ) = N B ( t ) d B ( t ) + N ( t ) d S ( t ) + λ m [ ( 1 + θ ) ( 1 + η ) ( 1 q t ) ] d t q t d P ( t ) = π B r d t + ( x π B ) [ μ d t + σ S α 2 1 d W ( t ) ] + λ m [ ( 1 + θ ) ( 1 + η ) ( 1 q t ) ] d t q d P ( t ) = { μ x + π B ( r μ ) + [ q t ( 1 + η ) ( η θ ) ] λ m } d t + ( x π B ) σ S α 2 1 d W ( t ) q d P ( t ) .
Let ζ ( t ) = { q ( t ) , π ( t ) } t [ 0 , T ] represent the insurance company’s strategy portfolio at time t . Then, the above equation can be succinctly written as:
d X ( t ; ζ ) = { μ x + π B ( r μ ) + [ q t ( 1 + η ) ( η θ ) ] λ m } d t + ( x π B ) σ S α 2 1 d W ( t ) q d P ( t ) .
When ζ ( t ) = { q ( t ) , π ( t ) } t [ 0 , T ] is F-measurable and satisfies:
t [ 0 , 1 ] ,   q ( t ) [ 0 , 1 ] ;   P { 0 T [ ( x π B ) σ S α 2 1 ] 2 d t < } = 1 .
Then, the strategy combination ζ is considered feasible. The set of all feasible strategy combinations for the insurance company is denoted as Λ .
The objective of this article is to find an appropriate strategy to maximize terminal wealth. Therefore, at the terminal time T and state X ( t ) = x , for any strategy ζ Λ , the expected utility of wealth is defined as:
J ( t , x ; ζ ( ) ) = E t [ u ( x T ) | x t = x ] ,
where u ( t ) is the utility function, which satisfies u > 0 , u < 0 as u ( t ) is a strictly increasing and strictly concave function.
To achieve the maximum utility, the value function must satisfy the following form:
V ( t , x ) = sup ζ Λ J ( t , x ; ζ ( ) ) .
Then, the optimal strategy ζ * ( t ) = { q * ( t ) , π * ( t ) } must satisfy V ζ * ( t , x ) = V ( t , x ) .
If the value function V ( t , x ) and its partial derivative V t , V x , V x x are continuous, then V ( t , x ) satisfies the following equation:
V t + sup α Λ { μ x + π B ( r μ ) + [ q t ( 1 + η ) ( η θ ) ] λ m ] V x         + 1 2 [ ( x π B ) σ S α 2 1 ] 2 V x x + λ E [ V ( t , x q Y ) V ( t , x ) ] } = 0 V ( T , x ) = u ( x ) .
Next, we assume that the insurance company’s utility function u ( ) is of the exponential type:
u ( x ) = λ 1 c v e v x ,
where λ 1 , c are constants, and v is used to measure the investor’s degree of risk aversion.
Based on the above equation, the conjectured value function is:
V ( t , x ) = λ 1 c v e [ v x + h ( T t ) ] , t < T V ( T , x ) = λ 1 c v e v x .
where h ( ) is an appropriate functional form, ensuring that, when the aforementioned value function is substituted back into Equation (3), the equality holds. Moreover, from the boundary conditions, we know h ( 0 ) = 0 .
Next, we will take the partial derivatives of V ( t , x ) with respect to t , x :
V t = [ V ( t , x ) λ 1 ] [ h ( T t ) ] , V x = [ V ( t , x ) λ 1 ] [ v ] , V x x = [ V ( t , x ) λ 1 ] ( v 2 ) , E [ V ( t , x q Y ) V ( t , x ) ] = [ V ( t , x ) λ 1 ] [ M Y ( v q ) 1 ] .
After substituting Equation (4) into (3) and simplifying, we obtain the following equation:
inf α { h ( T t ) [ μ x + π B ( r μ ) + ( q t ( 1 + η ) ( η θ ) ) λ m ] v + 1 2 [ ( x π B ) σ S α 2 1 ] 2 v 2 + λ [ M Y ( v q ) 1 ] } = 0 .
Let
f ( q , π B ) = h ( T t ) [ μ x + π B ( r μ ) + ( q t ( 1 + η ) ( η θ ) ) λ m ] v + 1 2 [ ( x π B ) σ S α 2 1 ] 2 v 2 + λ [ M Y ( v q ) 1 ] .
Thus, Equation (5) can be transformed into finding the minimum value of the function f ( q , π B ) . To find the appropriate q * , π B * , we first take the partial derivative of π B with respect to the first order and set it to zero, yielding:
π B = x + r μ σ 2 S α 2 v .
By further taking the second-order partial derivative of π B , we obtain:
2 f ( q , π B ) 2 π B = v 2 σ 2 S α 2 > 0
Thus, the function f ( q , π B ) is convex with respect to π B . Based on the properties of convex functions, the optimal investment strategy is given by:
π B * = x + r μ σ 2 S α 2 v .
Taking the first partial derivative of q with respect to its variable and setting it to zero, we obtain:
m ( 1 + η ) = E [ Y e v q Y ] : = M Y ( v q ) ,
letting a = v q , so we deduce that:
m ( 1 + η ) = M Y ( a ) .
To further solve Equation (8), we assume it has a unique positive root denoted as ρ . Let q 1 represent the parameter that minimizes the value in R + for Equation (8). Given this, we have ρ = q 1 v , i.e., q 1 = ρ v . Additionally, due to
2 f ( q , π F ) 2 q = λ v 2 M ( v q ) = λ v 2 E ( Y 2 e v q Y ) > 0 .
The optimal strategy q * can be expressed as:
q * = q 1 1 = ( ρ v ) 1 .
Next, by categorizing q * , we can obtain the solution for h ( T t ) . When q * = ρ v < 1 , substituting q * and π B * into Equation (5) yields:
h ( T t ) [ r v x + ( r μ ) 2 σ 2 S α 2 + λ m ρ ( 1 + η ) λ m v ( η θ ) ] + 1 2 ( r μ ) 2 σ 2 S α 1 + λ [ M Y ( v q ) 1 ] = 0 .
Integrating with respect to h ( T t ) and using the condition h ( 0 ) = 0 , we obtain:
h ( T t ) = Q 1 ( v ) ( T t ) ,
where
Q 1 ( v ) = r v x 1 2 ( r μ ) 2 σ 2 S α 2 λ m ρ ( 1 + η ) + λ m v ( η θ ) + λ [ M Y ( v q ) 1 ] .
When q * = 1 , we can also deduce:
h ( T t ) = Q 2 ( v ) ( T t ) ,
where
Q 2 ( v ) = r v x 1 2 ( r μ ) 2 σ 2 S α 2 ( 1 + θ ) λ m v + λ [ M Y ( v q ) 1 ] .
Theorem 1. 
Assuming that the tail distribution  1 F ( y )  decays exponentially, let  ρ  be the unique positive root of (8). We present the optimal strategy to maximize the expected utility of terminal wealth when the terminal time is  T :
q * = ρ v 1 , π B * = x + r μ σ 2 S α 2 v .
And the value function is:
V ( t , x ) = λ 1 c v exp [ v x + h ( T t ) ] ,
where
h ( T t ) = Q 1 ( v ) ( T t ) , q * < 1 , Q 2 ( v ) ( T t ) , q * = 1 .

3.2. Verification Theorem

In the previous subsections, we obtained an explicit solution for the HJB Equation (3). However, to determine whether the value function is a smooth solution to the HJB equation, it needs to be proven through a verification theorem.
Theorem 2. 
Let  H ( t , x )  and  g ( t , x )  satisfy the following:
(i) 
H ( t , x )  is integrable and is a solution to the following system of equations:
H t ( t , x ) sup α Λ L α ( t , x ) H ( t , x ) = 0 ( t , x ) [ 0 , T ] × R , H ( T , x ) = u ( x ) x R .
where
L α ( t , x ) H ( t , x ) = μ x + π B ( r μ ) + [ q t ( 1 + η ) ( η θ ) ] λ m ] H x + 1 2 [ ( x π B ) σ S α 2 1 ] 2 H x x .
(ii) 
g ( t , x )  is a control rule that, for every fixed point  ( t , x ) , allows for us to find an upper bound for the HJB equation by letting  α = g ( t , x )  vary.
We have the following:
(i) 
The value function  V ( t , x ) = H ( t , x ) .
(ii) 
There exists an optimal control rule  α ^  such that  α ^ ( t , x ) = g ( t , x ) .
Proof. 
For any α Λ with a fixed ( t , x ) , the process X α defined on [ t , T ] is a solution to the following equation:
d X s α = { μ x + π B ( r μ ) + [ q s ( 1 + η ) ( η θ ) ] λ m } d s + ( x π B ) σ S α 2 1 d W s q d P s . X t = x
Applying the I t o ^ Lemma to H ( T , X T u ) , we obtain:
H ( T , X T u ) = H ( t , x ) + t T H t ( s , X s α ) + L α ( s , X s α ) d s + t T H x A ( X s α , α ) d W s
where A ( X s α , α ) = ( x π B ) σ S α 2 1 .
From (9), it is known that for any s , the following holds:
H t ( s , X s α ) + L α H ( s , X s α ) 0 , α Λ ( t , x ) ,
and furthermore, from the boundary conditions of the HJB equation, we have: H ( T , X T α ) = u ( X T α ) .
Then, we deduce:
H ( t , x ) + t T H t ( s , X s α ) + L α ( s , X s α ) d s + t T H x A ( X s α , α ) d W s = u ( X T α ) .
By using the above equation along with (10), we obtain the inequality:
H ( t , x ) u ( X T α ) t T H x A ( X s α , α ) d W s .
Taking expectations on both sides:
H ( t , x ) E [ u ( X T α ) ] .
And we have the value function:
V ( t , x ) = sup Λ E [ u ( X T α ) ] ,
Then, in [ 0 , T ] × R , α Λ ( t , x ) , we have:
H ( t , x ) V ( t , x ) .
To obtain the equality H ( t , x ) = V ( t , x ) , we need to prove the reverse inequality. We choose a specific control function to make H ( t , x ) = V ( t , x ) , and according to the assumptions on g ( t , x ) in the theorem:
H t ( t , x ) sup α Λ L α ( t , x ) H ( t , x ) = H t ( t , x ) L g ( t , x ) H ( t , x ) = 0 .
Through a similar derivation as in the previous part, we can obtain the following:
H ( t , x ) = E [ u ( X T g ) ] = J ( t , x ; g ) .
Then, we have
H ( t , x ) = J ( t , x ; g ) V ( t , x ) ,
In [ 0 , T ] × R we have H ( t , x ) V ( t , x ) , and we deduce that:
W = V ,
and g ( ) is the optimal control policy. We have completed the proof of the theorem. □

3.3. Hypotheses

Following our theoretical analysis, we have identified the optimal investment ratio and reinsurance ratio for insurance companies. Next, we will discuss several intuitive hypotheses based on numerical simulations, which are prevalent in real-world scenarios.
Drawing on the classical findings of Markowitz, the proportion of investment in risky and risk-free assets is directly proportional to their respective rates of return. Therefore, we begin our discussion with a hypothesis that aligns with this classic conclusion.
Hypothesis 1 (H1). 
The optimal decision for insurance companies regarding the proportion of investment in risky and risk-free assets is directly proportional to their rates of return.
For asset management companies within insurance firms, managing the risk of the assets is a crucial responsibility. Consequently, insurance companies opt for a more conservative approach when market risk escalates.
Hypothesis 2 (H2). 
The proportion of insurance companies’ investment in risk-free assets is inversely proportional to the variance of risky assets.
Contrary to traditional investment models, the distinctive feature of this paper is the discussion of reinsurance strategies in relation to insurance wages. Considering the heterogeneous behaviors of insurance companies, we propose the following assumption.
Hypothesis 3 (H3). 
The higher the risk aversion coefficient of an insurance company, the more conservative its Optimal Proportional Reinsurance Strategy.

4. Numerical Simulation

In this section, by comparing the numerical results of different parameters and visualizing them graphically, we analyze the impact of these crucial parameters. Assuming that the claim size follows an exponential distribution under the classical risk model, we can directly obtain the following results:
Lemma 1. 
Assuming that the claim size follows an exponential distribution, the positive solution to Equation (8) is given by [28]:
ρ = 1 m ( 1 1 1 + η ) .
Lemma 2. 
Assuming that the claim size follows an exponential distribution, we can derive the optimal strategy and the optimal value function that maximize the expected utility of terminal wealth:
q * = [ 1 m v ( 1 1 1 + η ) ] 1 ,
and
V ( t , x ) = λ 1 c v exp [ v x + h ( T t ) ] ,
where
Q ( v ) = r v x ( r μ ) 2 σ 2 S α 2 + λ m v ( η θ ) + 1 2 ( r μ ) 2 σ 2 S α 1 + λ [ 2 1 + η ( 2 + η ) ] , q * < 1 , r v x ( r μ ) 2 σ 2 S α 2 + λ m v ( 1 + θ ) + 1 2 ( r μ ) 2 σ 2 S α 1 + λ m v 1 m v q * < 1 .

4.1. Relationship between Terminal Wealth Expected Utility, Time, and Initial Assets

In our model, λ represents the expected frequency of claim events per unit of time. v is the risk aversion coefficient, quantifying the investor’s degree of risk aversion. λ 1 , c are coefficients within the investor’s utility function, which measure the utility function’s scale. μ signifies the expected rate of return on risky assets, whereas σ indicates the volatility of risky asset prices. θ and η denote the safety loading for the insurance and reinsurance companies, respectively, reflecting their tolerance for risk. m describes the dimensionality of Brownian motion. T marks the terminal point of the time horizon considered in the model, and S represents the price of the risky asset at the decision point. α is the coefficient measuring the impact of the diffusion term on the price of the risky asset.
To simplify the calculations, we first assume the values of several parameters.
Letting λ 1 = 3 ,   c = 0.5 ,   v = 0.5 ,   r = 0.05 ,   μ = 0.12 ,   σ = 0.4 ,   α = 1 ,   λ = 3 ,   m = 1 ,   θ = 0.3 ,   η = 0.2 ,   S = 5 ,   T = 3 into Equation (12), we can determine the impact of variable v , x on the value function. The results are visualized in Figure 1 using MATLAB 2023 software (MathWorks, Natick, MA, USA).
From Figure 1, it is evident that the utility of terminal wealth decreases with the passage of time, yet it is positively correlated with the initial capital.

4.2. The Optimal Proportional Reinsurance Strategy in Relation to Risk Aversion Coefficient and Safety Loading

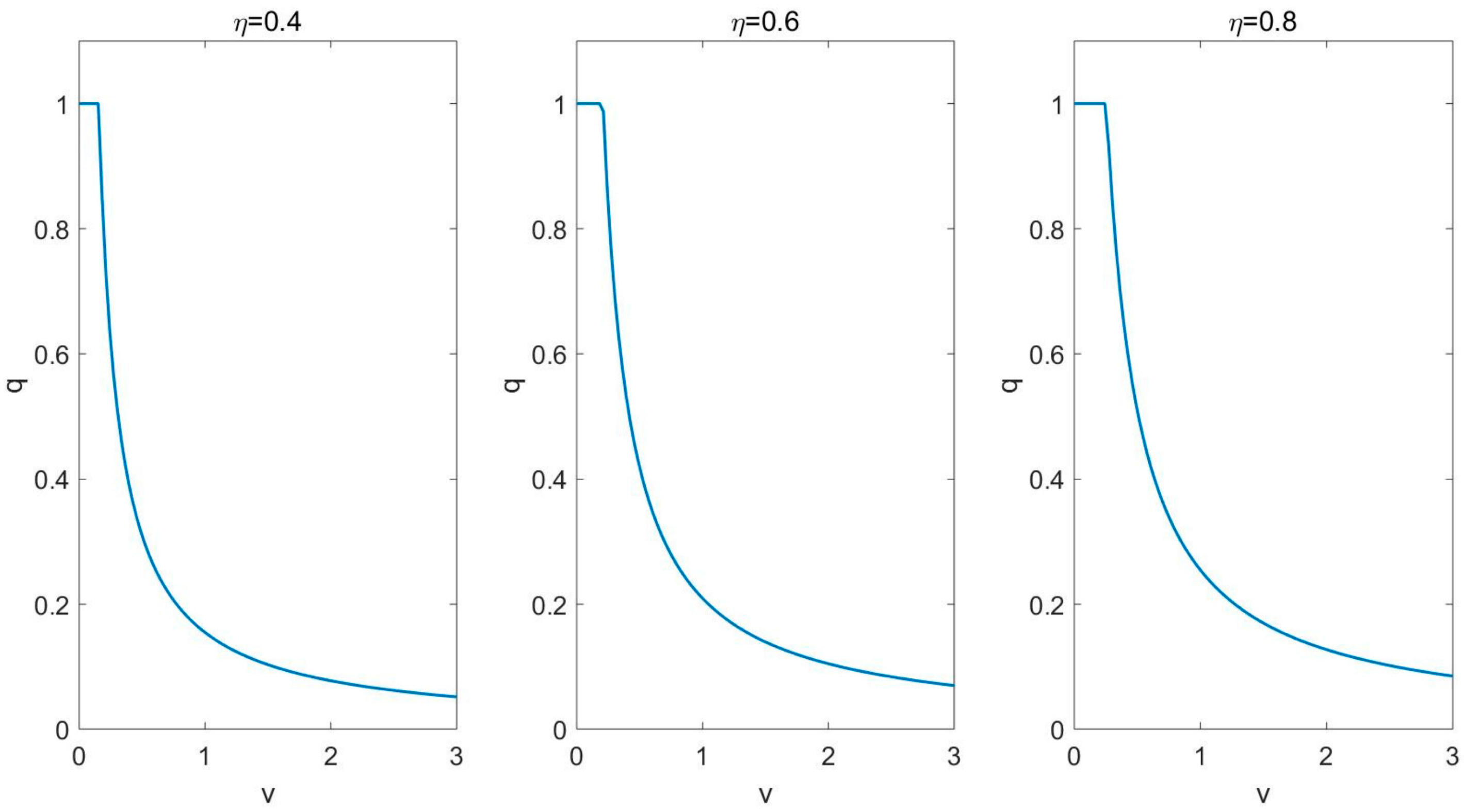
Based on the proportional reinsurance strategy (11) and assuming parameter m = 1 , we investigate the impact of the safety loading η and risk aversion coefficient v on the optimal level of proportional reinsurance q * .
As depicted in Figure 2, q * is inversely related to v . This suggests that the greater the insurance company’s aversion to risk, the smaller the proportion of risk it retains. In terms of the safety loading for the reinsurance company, with a consistent risk aversion coefficient, η is directly proportional to q * . This indicates that as the reinsurance company’s unit premium rate increases, the primary insurance company opts to bear a larger portion of the risk itself.

4.3. The Relationship between Optimal Investment Strategy, Risk-Free Interest Rate, and Expected Return

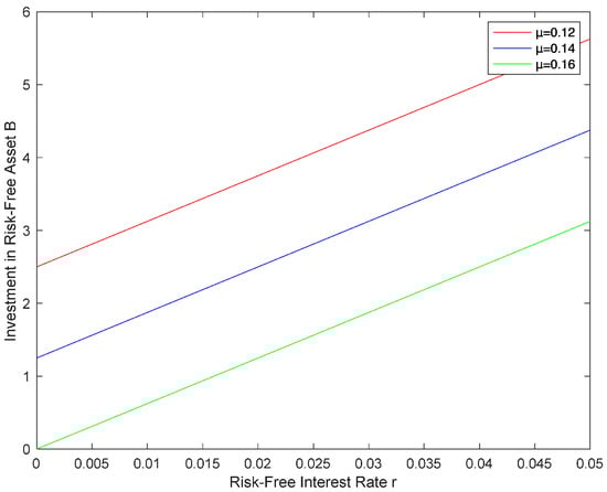
Given the optimal investment amount π B * = x + r μ σ 2 S α 2 v , allocated by the insurance company to fixed interest income investments, and assuming σ = 0.4 ,   S = 5 ,   v = 0.5 ,   α = 1 , we examine the impact of the risk-free interest rate r on π B * under different values of the expected return on risky assets μ .
As illustrated in Figure 3, the optimal investment strategy for fixed interest income investments is positively correlated with the risk-free interest rate. Specifically, as the risk-free rate increases, the returns from investing in risk-free assets also rise, prompting insurance companies to allocate more funds to these assets. Concurrently, for a given risk-free rate, the investment amount in risk-free assets decreases as the expected return on risky assets increases. This suggests that when returns from risk-free assets remain constant and the expected returns from risky assets grow, investors will inevitably increase their investments in risky securities.

4.4. The Relationship between Optimal Investment Strategy, Volatility, and Risk Aversion Coefficient

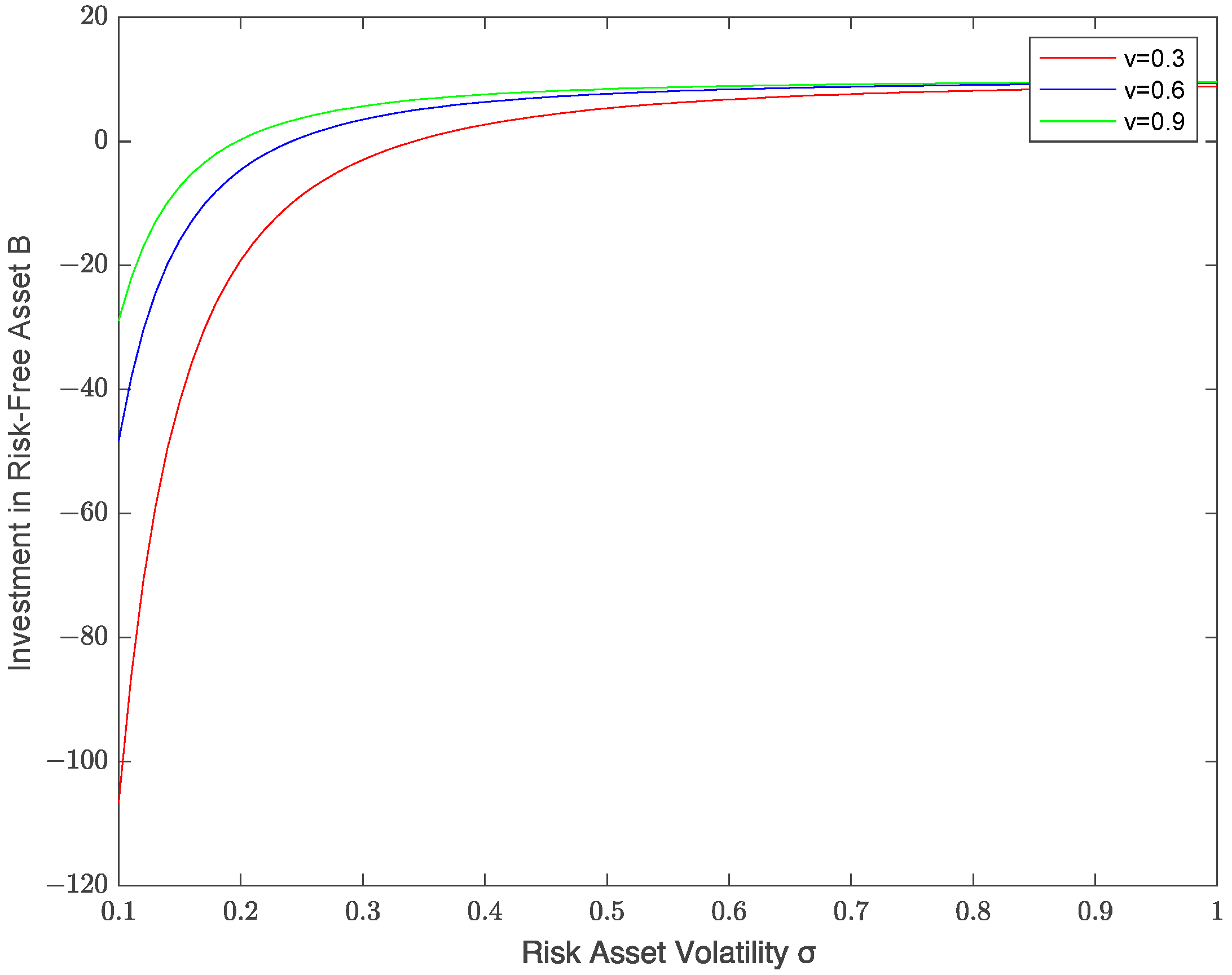
Based on Equation (7) and assuming S = 5 , α = 1 , r = 0.05 ,   μ = 0.12 , we aim to investigate the impact of the volatility of the risky asset σ and the risk aversion coefficient v on π B * .
As illustrated in Figure 4, the investment in risk-free assets increases with the rising volatility of the risky asset. Specifically, as the risk intensifies, insurance companies tend to allocate a larger portion of their funds to risk-free assets, thereby increasing their long positions in such assets. On the other hand, for a given level of volatility in the risky asset, a higher risk aversion coefficient indicates a deeper aversion to risky investments. Consequently, a greater amount will be invested in risk-free assets.

4.5. The Relationship between Optimal Investment Strategy, Volatility, and Expected Return

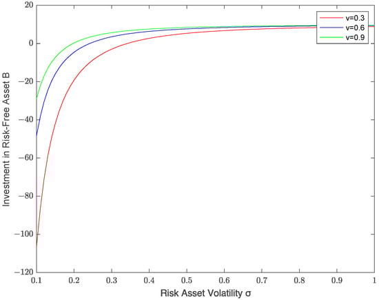
Based on Equation (7), let us assume S = 5 , α = 1 , r = 0.05 ,   v = 0.3 . The relationship among the three variables can be visually represented through a graphical illustration.
The investment amount in risk-free assets, π B * , decreases as the volatility increases, as analyzed in Figure 4. As observed from Figure 5, for a given level of volatility, the higher the expected return μ of the risky asset, the smaller the amount the company chooses to invest in risk-free assets. However, when the volatility is around 0.6, the optimal investment amount in risk-free assets remains almost unchanged. This is because the risk associated with investing in securities becomes excessively high at this point. Even with a higher return, the insurance company would refrain from investing under such circumstances. Given real-world scenarios, this behavior is quite intuitive.

5. Managerial Applications

We have calculated the risk aversion coefficients for insurance companies in the United States and China using real S&P 500 and Shanghai Stock Exchange Index data. The risk-free rates are based on the ten-year government bond data from the U.S. and China. The data for the index returns and risk-free returns span from July 2008 to October 2023. The index and bond data were sourced from the CEIC database. The annual returns for the U.S. risky assets and risk-free assets μ and r are 0.1359 and 0.0244, respectively, while for China they are 0.05674 and 0.03387, respectively. The variances of the risky assets σ 2 are 0.02078 for the U.S. and 0.06678 for China. It is evident that, in comparison to the Chinese stock market, the U.S. stock market has lower risk and higher excess returns.
We utilized data from the last decade from the BVD database consisting of 8920 U.S.-based insurance-related companies and 133 listed insurance-related companies from the CSMAR database in China.
Figure 6 displays the density distribution of the risk aversion coefficients for the U.S. insurance companies, with a concentration in the lower section of the distribution. As the aversion coefficients increase, the density gradually decreases. Next, we will present the risk aversion coefficients for the Chinese insurance companies.
According to Figure 7, the distribution shape of the risk aversion coefficients for Chinese insurance companies is similar to that of U.S. companies. However, the coefficients for Chinese companies are significantly higher, indicating that Chinese insurance companies have a higher preference for investing in risky assets compared to their U.S. counterparts based on actual data. Next, we will show how the reinsurance ratio of insurance companies changes with the risk aversion coefficient.
As shown in Figure 8, similar to Figure 2, the safety loading on the Optimal Proportional Reinsurance Strategy is inversely proportional to the risk aversion coefficient. The difference is that due to a higher risk aversion coefficient, U.S. insurance companies have a lower retention risk ratio. Next, we will demonstrate the impact of the risk aversion coefficient of Chinese insurance companies on the risk borne by the companies.
According to Figure 9, similar to Figure 2 and Figure 8, the safety loading on the Optimal Proportional Reinsurance Strategy gradually increases with the rise in the risk aversion coefficient. Compared to the U.S. results in Figure 8, due to a lower risk aversion coefficient, Chinese insurance companies opt to assume a significantly higher proportion of risk. This also explains why the reinsurance development in China is not as large-scale and mature as in the United States.
The findings illustrated in Figure 1 articulate a general managerial concept: for shareholders, allowing for a longer growth period for the company translates into greater utility returns. Similarly, injecting more initial capital also yields higher utility.
To clarify the optimal investment strategies for insurance companies under varying market conditions, Figure 3 delineates the relationship between the return rates of risk-free assets and the optimal investment volume under different risky asset returns. Notably, Figure 3 provides a meaningful insight: there is a linear relationship between the risk-free rate of return and the optimal investment in risk-free assets. This implies that insurance companies could linearly adjust their portfolios in response to changes in monetary policy interest rates.
Figure 4 concurrently presents the relationship between the optimal investment in risk-free assets and the volatility of risky assets when considering the heterogeneity in investors’ risk aversion coefficients. Our model attributes two types of heterogeneity to insurance firms: in their risk aversion and initial capital. While Figure 1 has already discussed how a company’s utility changes with varying initial capital, Figure 4 reveals how the optimal investment strategy alters under the other heterogeneity.
Lastly, Figure 5 displays the relationship between the optimal investment in risk-free assets and the volatility of risky assets when the drift rate of risky asset prices assumes different values, showing how the optimal decisions of insurance companies change in the face of varying market scenarios. This may also represent the optimal strategy differences across insurance industries in different countries.
Based on Figure 3, we can accept Hypothesis 1. That is, the investment ratio between risk-free and risky assets is directly proportional to their rates of return. This indicates that, even when considering reinsurance and insurance claims, the classic investment conclusions remain valid.
According to Figure 4 and Figure 5, we can observe that Hypothesis 2 is not rejected under various circumstances. Specifically, as the variance of the risky assets increases, insurance companies invest more in risk-free assets.
From Figure 8 and Figure 9, we understand that Hypothesis 3 is acceptable for insurance companies in both the United States and China. That is, as the degree of risk aversion increases, insurance companies will choose a more conservative reinsurance strategy.

6. Conclusions

In this study, we construct an intricate surplus process for insurance companies, incorporating elements of risky investments, risk-free investments, and reinsurance, all grounded in the foundational risk model. A strategic allocation of the company’s surplus is directed toward the acquisition of proportional reinsurance, serving as a mechanism for risk transference. Concurrently, the residual surplus is channeled into the financial market, bifurcating into securities investment and fixed-income ventures. Notably, the price trajectory of the securities aligns with the CEV (Constant Elasticity of Variance) process, whereas the fixed-income segment is delineated by the risk-free asset price dynamics.
Leveraging the tenets of stochastic control theory, our model is sculpted with an overarching objective: the maximization of terminal wealth utility. This model subsequently undergoes a transformation, aligning with the structure of the pertinent HJB (Hamilton–Jacobi–Bellman) equation. Our rigorous approach yields explicit solutions delineating the optimal investment strategies and reinsurance proportions. Through a meticulous verification theorem, we affirm that the derived value function stands as a seamless solution to the HJB equation.
The research encapsulates a pivotal managerial tenet: extending the growth horizon of a company affords shareholders enhanced utility returns, akin to the benefits reaped from augmenting initial capital. Elucidating optimal investment strategies for insurers, the analysis identifies a direct correlation between risk-free asset returns and ideal investment levels across diverse returns on risky assets, suggesting that insurers can adjust their portfolios linearly in response to monetary policy shifts. The study further explores how variances in risk aversion and initial capital—two distinct forms of heterogeneity within insurance firms—affect investment decisions. It is demonstrated that companies’ utilities are contingent on initial capital provisions, while a separate dimension of heterogeneity significantly influences optimal investment strategies. Moreover, the dynamic interplay between risk-free investment decisions and the volatility of risky assets is mapped, particularly as the drift rate of risky asset prices varies, highlighting the adaptability required of insurance companies’ strategic choices amidst fluctuating market conditions, potentially reflecting divergent optimal strategies in the insurance sectors of different nations.
In the concluding segments, we juxtapose numerical outcomes across a spectrum of parameters, supplemented with illustrative visualizations. This comparative analysis sheds light on the nuanced influence of these parameters on both investment and reinsurance strategies.
Our paper preliminarily investigates optimal investment and reinsurance strategies within the classic risk model framework. Nonetheless, recognizing the operational realities of insurance companies, there are several avenues for refinement: Interest rates in actual markets are variable, not fixed, so employing stochastic rates could more accurately depict asset price processes. Given that investments are a key revenue stream for insurers, their foray into risky assets need not be confined to securities alone. Options, increasingly indispensable for diversifying income and hedging risks, could be incorporated into future studies to identify a balanced investment approach across stocks, bonds, and options. Lastly, while the current study utilizes an exponential utility function indicative of absolute risk aversion, alternative utility functions like logarithmic or power functions might be used to explore how varying risk preferences affect investment strategies.
Due to the limitations of our computational capacity, there are some factors that our model has not incorporated. For instance, we assume that the price of the risky asset in the model is an exogenous stochastic process rather than the result of general equilibrium clearing. We have also not taken into consideration the auxiliary role that financial derivatives, such as options and futures, play in the asset management of insurance companies. We plan to address these issues gradually in our future research.

Author Contributions

Writing—original draft, Y.T.; writing—review & editing, Y.Y.; supervision, T.L. All authors have read and agreed to the published version of the manuscript.

Funding

This research received no external funding.

Data Availability Statement

Publicly available datasets were analyzed in this study. This data can be found here: [https://data.csmar.com/] and [https://www.bvdinfo.com/en-gb/].

Conflicts of Interest

The authors declare no conflict of interest.

References

  1. Lundberg, F.I. Approximerad Framstallning av Sannolikhetsfunktionen. Aterforsakring av Kollektivrisker. Ph.D. Thesis, Almqvist Wiksell, Uppsala, Sweden, 1903. [Google Scholar]
  2. Markowitz, H. Portfolio selection. J. Financ. 1952, 7, 77–91. [Google Scholar]
  3. Merton, R.C. Lifetime portfolio selection under uncertainty: The continuous-time case. Rev. Econ. Stat. 1969, 51, 247–257. [Google Scholar] [CrossRef]
  4. Crandall, M.G.; Lions, P.L. Viscosity solutions of Hamilton-Jacobi equations. Trans. Am. Math. Soc. 1983, 277, 1–42. [Google Scholar] [CrossRef]
  5. Yong, J.; Zhou, X.Y. Stochastic Controls: Hamiltonian Systems and HJB Equations; Springer Science & Business Media: Berlin/Heidelberg, Germany, 1999. [Google Scholar]
  6. Hipp, C.; Plum, M. Optimal investment for insurers. Insur. Math. Econ. 2000, 27, 215–228. [Google Scholar] [CrossRef]
  7. Hipp, C.; Plum, M. Optimal investment for investors with state dependent income, and for insurers. Financ. Stoch. 2003, 7, 299–321. [Google Scholar] [CrossRef]
  8. Neumann, J.V.; Morgenstern, O. Theory of Games and Economic Behavior. J. Am. Stat. Assoc. 1945, 40, 263. [Google Scholar]
  9. Browne, S. Optimal investment policies for a firm with a random risk process: Exponential utility and minimizing the probability of ruin. Math. Oper. Res. 1995, 20, 937–958. [Google Scholar] [CrossRef]
  10. Schmidli, H. On minimizing the ruin probability by investment and reinsurance. Ann. Appl. Probab. 2002, 12, 890–907. [Google Scholar] [CrossRef]
  11. Merton, R.C. Optimum consumption and portfolio rules in a continuous-time model. In Stochastic Optimization Models in Finance; Academic Press: Cambridge, MA, USA, 1975; pp. 621–661. [Google Scholar]
  12. Yang, H.; Zhang, L. Optimal investment for insurer with jump-diffusion risk process. Insur. Math. Econ. 2005, 37, 615–634. [Google Scholar] [CrossRef]
  13. Wang, N. Optimal investment for an insurer with exponential utility preference. Insur. Math. Econ. 2007, 40, 77–84. [Google Scholar] [CrossRef]
  14. Hipp, C.; Vogt, M. Optimal dynamic XL reinsurance. ASTIN Bull. J. IAA 2003, 33, 193–207. [Google Scholar] [CrossRef]
  15. Schmidli, H. Stochastic Control in Insurance; Springer Science & Business Media: Berlin/Heidelberg, Germany, 2007. [Google Scholar]
  16. Cao, Y.; Wan, N. Optimal proportional reinsurance and investment based on Hamilton–Jacobi–Bellman equation. Insur. Math. Econ. 2009, 45, 157–162. [Google Scholar] [CrossRef]
  17. Kaluszka, M. Optimal reinsurance under mean-variance premium principles. Insur. Math. Econ. 2001, 28, 61–67. [Google Scholar] [CrossRef]
  18. Zeng, Y.; Li, Z. Optimal time-consistent investment and reinsurance policies for mean-variance insurers. Insur. Math. Econ. 2011, 49, 145–154. [Google Scholar] [CrossRef]
  19. Dang, D.M.; Forsyth, P.A. Continuous time mean-variance optimal portfolio allocation under jump diffusion: An numerical impulse control approach. Numer. Methods Partial. Differ. Equ. 2014, 30, 664–698. [Google Scholar] [CrossRef]
  20. Ma, K.; Forsyth, P. Numerical solution of the Hamilton–Jacobi–Bellman formulation for continuous-time mean–variance asset allocation under stochastic volatility. J. Comput. Financ. Forthcom. 2016, 20, 1–37. [Google Scholar] [CrossRef]
  21. Valkov, R.L. Fitted strong stability-preserving schemes for the Black-Scholes-Barenblatt equation. Int. J. Comput. Math. 2015, 92, 2475–2497. [Google Scholar] [CrossRef]
  22. Xu, L.; Zhang, L.; Yao, D. Optimal investment and reinsurance for an insurer under Markov-modulated financial market. Insur. Math. Econ. 2017, 74, 7–19. [Google Scholar] [CrossRef]
  23. Xu, L.; Xu, S.; Yao, D. Maximizing expected terminal utility of an insurer with high gain tax by investment and reinsurance. Comput. Math. Appl. 2020, 79, 716–734. [Google Scholar] [CrossRef]
  24. Zhou, M.; Yuen, K.C.; Yin, C. Optimal investment and premium control in a nonlinear diffusion model. Acta Math. Appl. Sin. Engl. Ser. 2017, 33, 945–958. [Google Scholar] [CrossRef]
  25. Belkina, T.A.; Konyukhova, N.B.; Slavko, B.V. Risk-free investments and their comparison with simple risky strategies in pension insurance model: Solving singular problems for integro-differential equations. Comput. Math. Math. Phys. 2020, 60, 1621–1641. [Google Scholar] [CrossRef]
  26. Cox, J.C.; Ross, S.A. The valuation of options for alternative stochastic processes. J. Financ. Econ. 1976, 3, 145–166. [Google Scholar] [CrossRef]
  27. Kaas, R.; Goovaerts, M.; Dhaene, J.; Denuit, M. Modern Actuarial Risk Theory: Using R; Springer Science & Business Media: Berlin/Heidelberg, Germany, 2008. [Google Scholar]
  28. Liang, Z. Optimal proportional reinsurance for controlled risk process which is perturbed by diffusion. Acta Math. Appl. Sin. Engl. Ser. 2007, 23, 477–488. [Google Scholar] [CrossRef]
Figure 1. The influence of time and initial capital on the expected utility of terminal wealth.
Figure 1. The influence of time and initial capital on the expected utility of terminal wealth.
Mathematics 11 05005 g001
Figure 2. The impact of risk aversion coefficient and safety loading on the Optimal Proportional Reinsurance Strategy.
Figure 2. The impact of risk aversion coefficient and safety loading on the Optimal Proportional Reinsurance Strategy.
Mathematics 11 05005 g002
Figure 3. The impact of interest rate and expected return on the optimal investment amount in risk-free assets.
Figure 3. The impact of interest rate and expected return on the optimal investment amount in risk-free assets.
Mathematics 11 05005 g003
Figure 4. The impact of risky asset volatility and risk aversion coefficient on the optimal investment amount in risk-free assets.
Figure 4. The impact of risky asset volatility and risk aversion coefficient on the optimal investment amount in risk-free assets.
Mathematics 11 05005 g004
Figure 5. The impact of risky asset volatility and expected return on the optimal investment amount in risk-free assets.
Figure 5. The impact of risky asset volatility and expected return on the optimal investment amount in risk-free assets.
Mathematics 11 05005 g005
Figure 6. Density of distribution of risk aversion coefficients for U.S.
Figure 6. Density of distribution of risk aversion coefficients for U.S.
Mathematics 11 05005 g006
Figure 7. Density of distribution of risk aversion coefficients for China.
Figure 7. Density of distribution of risk aversion coefficients for China.
Mathematics 11 05005 g007
Figure 8. The impact of risk aversion coefficient for U.S. and safety loading on the Optimal Proportional Reinsurance Strategy.
Figure 8. The impact of risk aversion coefficient for U.S. and safety loading on the Optimal Proportional Reinsurance Strategy.
Mathematics 11 05005 g008
Figure 9. The impact of risk aversion coefficient for China and safety loading on the Optimal Proportional Reinsurance Strategy.
Figure 9. The impact of risk aversion coefficient for China and safety loading on the Optimal Proportional Reinsurance Strategy.
Mathematics 11 05005 g009
Disclaimer/Publisher’s Note: The statements, opinions and data contained in all publications are solely those of the individual author(s) and contributor(s) and not of MDPI and/or the editor(s). MDPI and/or the editor(s) disclaim responsibility for any injury to people or property resulting from any ideas, methods, instructions or products referred to in the content.

Share and Cite

MDPI and ACS Style

Tong, Y.; Lv, T.; Yan, Y. Optimal Investment and Reinsurance Policies in a Continuous-Time Model. Mathematics 2023, 11, 5005. https://doi.org/10.3390/math11245005

AMA Style

Tong Y, Lv T, Yan Y. Optimal Investment and Reinsurance Policies in a Continuous-Time Model. Mathematics. 2023; 11(24):5005. https://doi.org/10.3390/math11245005

Chicago/Turabian Style

Tong, Yan, Tongling Lv, and Yu Yan. 2023. "Optimal Investment and Reinsurance Policies in a Continuous-Time Model" Mathematics 11, no. 24: 5005. https://doi.org/10.3390/math11245005

APA Style

Tong, Y., Lv, T., & Yan, Y. (2023). Optimal Investment and Reinsurance Policies in a Continuous-Time Model. Mathematics, 11(24), 5005. https://doi.org/10.3390/math11245005

Note that from the first issue of 2016, this journal uses article numbers instead of page numbers. See further details here.

Article Metrics

Back to TopTop