Metaheuristic Procedures for the Determination of a Bank of Switching Observers toward Soft Sensor Design with Application to an Alcoholic Fermentation Process
Abstract
:1. Introduction
2. Preliminaries
2.1. A General Form of Nonlinear SISO Systems
- i
- The nonlinear dynamic system (1) is globally stable.
- ii
- The structure of is known. This structure depends on physical parameters.
- iii
- The physical parameters in are in general not known to the designer. The parameters, being known, are those that are independent of the current operation conditions of the process.
- iv
- The output and input variables of the process are measured in real time.
- v
- The operating trajectory of the nonlinear process in an appropriate operation domain is known.
- vi
- For every , there exists a unique , i.e., , where is an appropriate function, which is known by the points in , or a dense enough sample of them.
2.2. The Linear Approximant of the Nonlinear Dynamic System
- i
- The form of the linear approximant system matrices is known and depends upon independent physical parameters, which are considered to be unknown, as well as the nominal values of the system variables.
- ii
- The linear approximant (2) is observable, independently of the nominal values of the system variables.
- iii
- The state space linear approximant is asymptotically stable, independently of the nominal values of the system variables.
- iv
- The nonlinear model of the process belongs to the class of systems with state space linear approximants that are I/O reconstructable using their respective I/O linear approximants.
2.3. The Proposed Full-Order State Observer Design
3. A New Criteria for the Determination of the Observer Parameters
3.1. Design Requirements
3.2. Switching Scheme
4. A Metaheuristic Algorithm toward Determination of the Target Operating Areas
| Algorithm 1 Metaheuristic Algorithm |
Inputs
1: Set the numbering index . 2: Determine a search area for the observer parameters according to the inequalities in (27). 3: for . 4: for 5: Set the numbering index . 6: if 7: Go to 22. 8: end if 9: Randomly select a set of observer parameters within the search area , let () and . 10: if the conditions in (11), (23) and (24) are not satisfied 11: Go to 9. 12: end if 13: Evaluate . 14: end for 15: Find , as well as the corresponding observer parameters; let () and . 16: end for 17: Find the parameters and corresponding to , as well as the ranges () and . 18: Define (), (), (), , , , and evaluate () and using (34) and (36). 19: if the inequalities in (38) are not satisfied 20: Go to 2. 21: end if 22: Set () and . |
| Algorithm 2 Determination of the number of input nominal value points |
Inputs
1: Create a uniform grid of nominal values of the input so that (). 2: for 3: Identify the unknown I/O system parameters . 4: Evaluate the target operating areas corresponding to the nominal value of the input. 5: end for 6: Examine whether the dense web principle is satisfied. 7: if the dense web principle is satisfied 8: Go to 15. 9: else 10: Find the areas that remain uncovered and select additional points in the middle of the uncovered areas. 11: Identify the unknown I/O system parameters for the additional points. 12: Evaluate the target operating areas of each additional point 13: end if 14: Go to 6. 15: Eliminate the superfluous points corresponding to target areas covered by other ones. |
5. Applications to Alcoholic Fermentation Dynamics
5.1. Nonlinear System Model
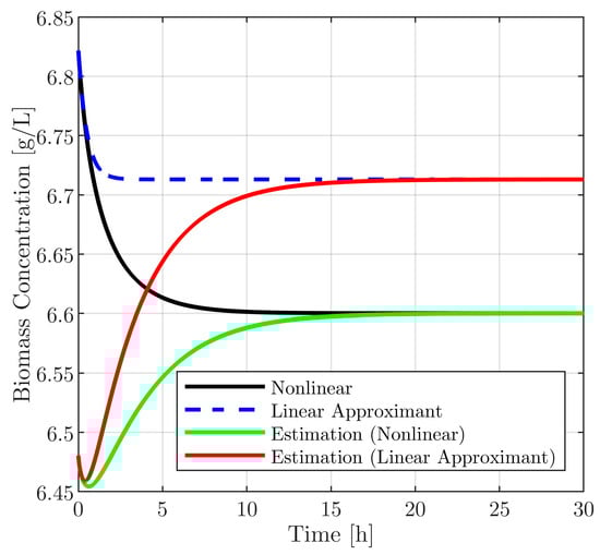
5.2. Linear Approximant
5.3. Accuracy of the Linear Approximant
6. Full-Order Observer Design Based on the Linear Approximant of the Alcoholic Fermentation Nonlinear Model
6.1. Observer Design
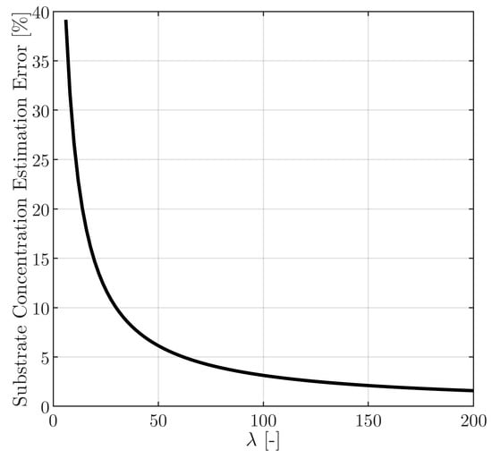
6.2. Determination of the Observer Parameters
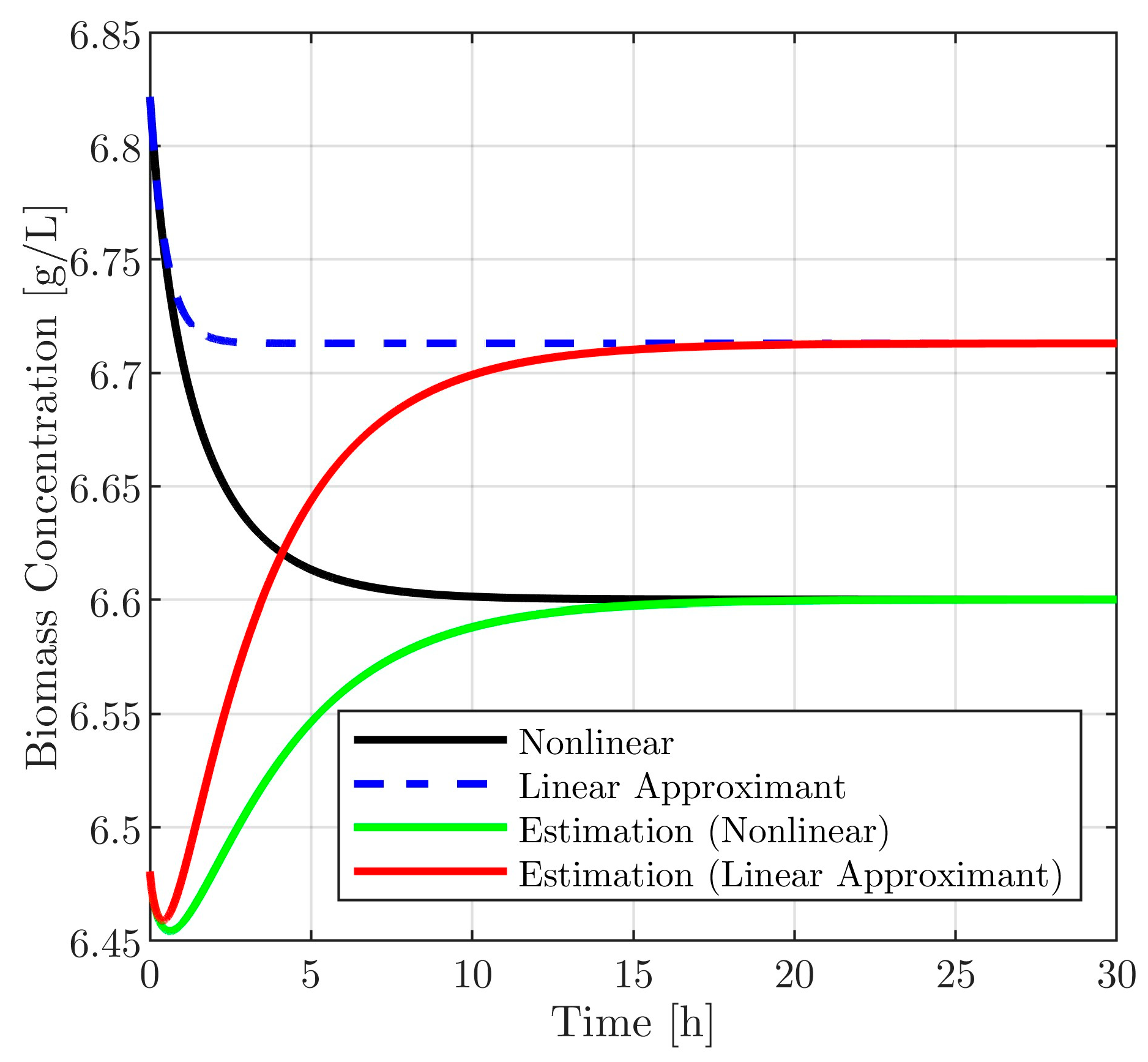
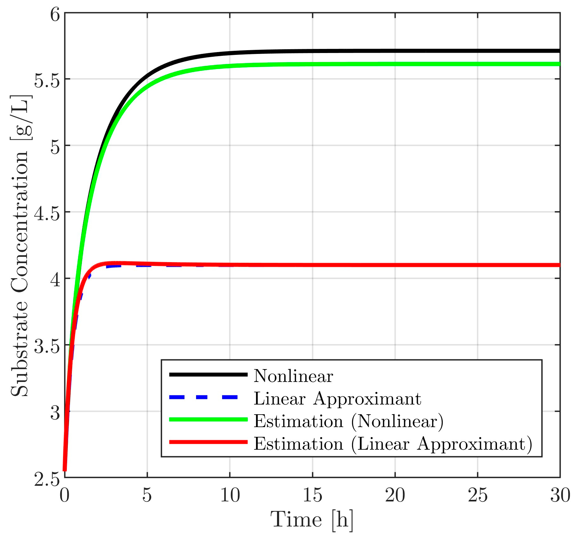
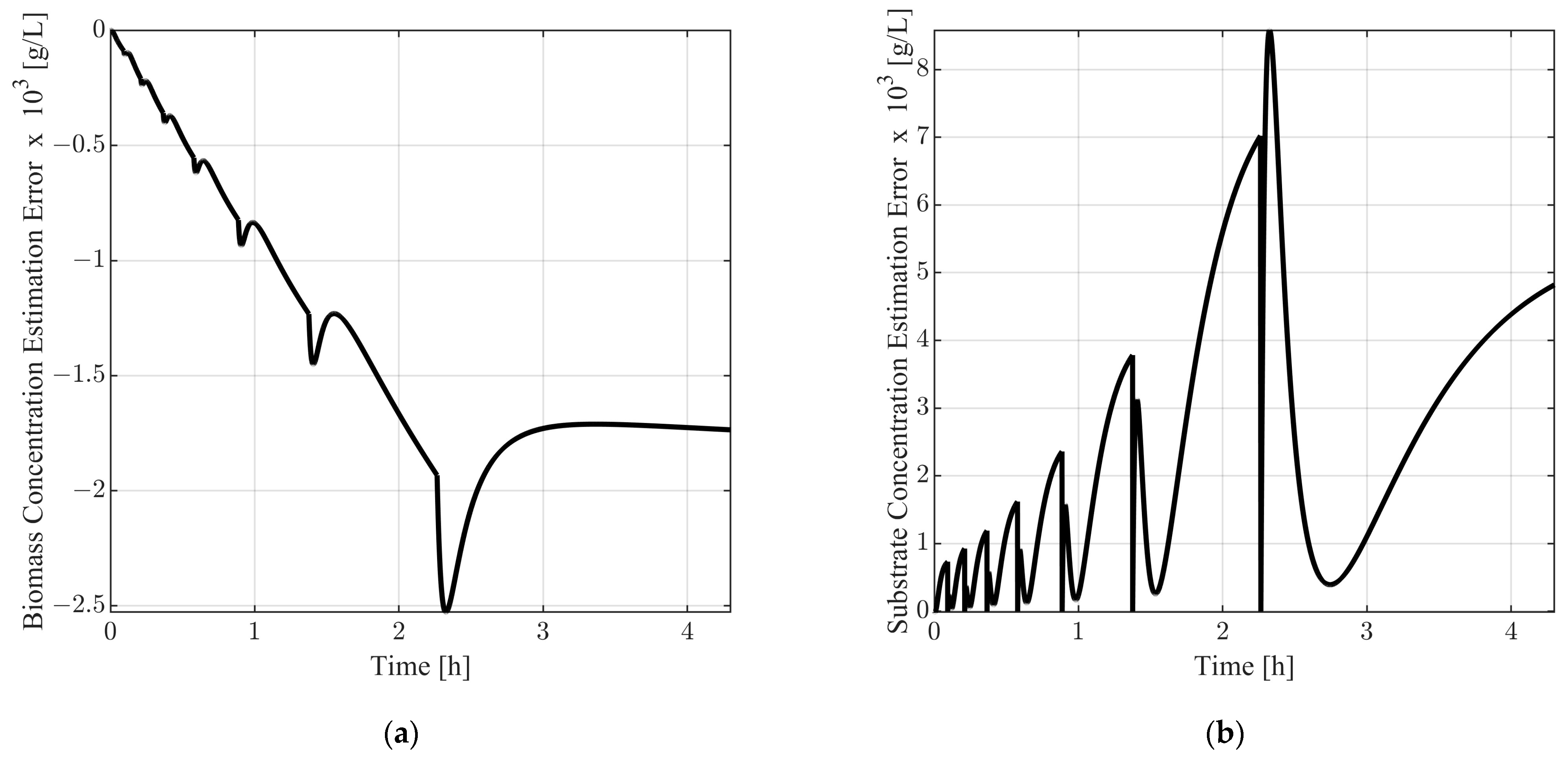
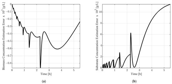
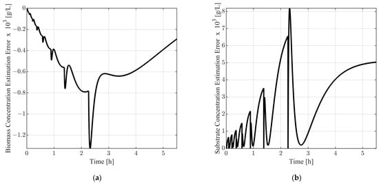
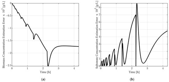
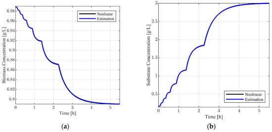
6.3. Simulation Results
7. Full-Order Observer Design Using Parameter Identification
7.1. Observer Design Using Identified Parameters
7.2. Alcoholic Fermentation Parameter Identification
8. Performance of the Switching Observer Scheme for the Alcoholic Fermentation Process
- The dense web principle between adjacent operating areas was achieved with 10% overlapping between the areas (see Figure 2).
- The steady-state error between the biomass concentration and the estimation of biomass concentration was equal to zero.
- The convergence rate metric was bounded through the third inequality in (77) assuming that , depending upon the operating point.
9. Conclusions
- The alternation of some system assumptions.
- The cover of the cases where the actuator and sensor faults take place.
Author Contributions
Funding
Data Availability Statement
Conflicts of Interest
Nomenclature
| Symbol | Definition |
| State vector of the nonlinear SISO system | |
| Nonlinear model actuatable input | |
| Nonlinear model measurable output | |
| Initial value of the nonlinear model state vector | |
| Nonlinear vector function | |
| Nonlinear function mapping the state variables to the measurable output | |
| Nominal value of the state vector | |
| Nominal value of the input | |
| Nominal value of the measurable output | |
| Function mapping the nominal value of the input to the nominal value of the output | |
| Pair of nominal values of the input and the corresponding nominal value of the output | |
| The set of all admissible values | |
| Deviation of the nonlinear model state vector from its nominal value | |
| Deviation of the nonlinear model actuatable input from its nominal value | |
| Deviation of the nonlinear model measurable output from its nominal value | |
| Output matrix of the nonlinear model | |
| Linear approximant of the nonlinear SISO system | |
| Linear approximant state matrix | |
| Linear approximant input matrix | |
| I/O approximant of the state space linear approximant | |
| kth derivative of with respect to time | |
| Rank of the controllability matrix of the linear approximant | |
| I/O approximant coefficient vector | |
| jth I/O approximant output signal coefficient | |
| jth I/O approximant input signal coefficient | |
| I/O linear approximant system expressed in terms of the identified coefficients | |
| I/O approximant identified coefficient vector | |
| Output signal identified coefficient vector | |
| Input signal identified coefficient vector | |
| jth element of | |
| jth element of | |
| Modeling error through identification | |
| Full-order observer depending upon the identified system parameters | |
| Observer state matrix | |
| Observer input matrix | |
| Observer measurable output matrix | |
| Regional stability condition | |
| Laplace transform variable | |
| Stability margin | |
| Vector of the eigenvalues of observer matrix | |
| jth element of | |
| Modeling error between the nonlinear model and the linear approximant | |
| Observer estimation error | |
| Initial value of the observer estimation error | |
| Free response of the observer estimation error | |
| Forced response of the observer estimation error | |
| Transition matrix of the observer corresponding to the kth element of | |
| Unit step signal | |
| Change of the input amplitude during stepwise transition | |
| Steady-state value of the modeling error | |
| Nominal values of the state variables after the application of the step input signal | |
| Steady-state estimation error | |
| norm of the argument quantity | |
| Free response estimation error magnitude metric | |
| Free response estimation error magnitude metric bound | |
| Steady-state estimation error magnitude metric for the jth state variable | |
| Steady-state estimation error magnitude metric bound for the jth state variable | |
| Absolute value of the argument signal | |
| Set of nominal operating points of the process | |
| ith element of | |
| Nominal value of the measurable output corresponding to | |
| Nominal value of the input corresponding to | |
| Nominal value of the state vector corresponding to | |
| Linear approximant around | |
| State matrix of the linear approximant around | |
| Input matrix of the linear approximant around | |
| Output matrix of the linear approximant around | |
| Number of elements in | |
| Estimation of the I/O approximant coefficient vector around | |
| Vector of the eigenvalues of observer matrix designed around | |
| Observer designed around | |
| Initial operating point | |
| Nominal value of the output corresponding to | |
| Nominal value of the input corresponding to | |
| Nominal value of the state vector corresponding to | |
| Destination operating point | |
| Nominal value of the output corresponding to | |
| Nominal value of the input corresponding to | |
| Nominal value of the state vector corresponding to | |
| Target area of an operating point | |
| Areas of where the free response and steady-state metrics satisfy the respective bounds | |
| Maximum deviation around defining the target area | |
| Free response estimation error magnitude metric bound corresponding to | |
| Steady-state estimation error magnitude metric bound for the jth state variable corresponding to | |
| Non-negative real weight factor for | |
| Non-negative real weight factor for | |
| Non-negative real weight factor for | |
| Non-negative real weight factor for | |
| Half-width of the target operating area | |
| Minimum value of the search area for | |
| Maximum value of the search area for | |
| Width of the search area for | |
| Center value of the search area for | |
| Minimum value of the search area for | |
| Maximum value of the search area for | |
| Width of the search area for | |
| Center value of the search area for | |
| Search area of the observer parameters | |
| Number of loops of the metaheuristic algorithm | |
| Number of repetitions of the metaheuristic algorithm | |
| Maximum allowable number of computations in the metaheuristic algorithm | |
| Metaheuristic algorithm convergence metric | |
| Metaheuristic algorithm performance criterion | |
| Range of suboptimal values after a set of repetitions has been performed | |
| Range of suboptimal values after a set of repetitions has been performed | |
| Maximum value of the input area that must be covered through target operating areas | |
| Minimum value of the input area that must be covered through target operating areas | |
| Initial number of nominal values | |
| Biomass concentration | |
| Substrate concentration | |
| Influent substrate concentration | |
| Biomass growth rate | |
| Maximum growth rate | |
| Saturation constant | |
| Yield coefficient | |
| Infinity-norm type accuracy metric | |
| 1-norm type accuracy metric | |
| 2-norm type accuracy metric | |
| Settling time of the jth state variable | |
| Input percentile change | |
| Minimum value of | |
| Maximum value of | |
| Deviation of the initial condition of the jth state variable from the nominal value | |
| bound | |
| bound | |
| bound | |
| Observability matrix | |
| jth free observer parameter | |
| identity matrix | |
| Observer pole ratio | |
| Pulse signal scaling factor | |
| Chirp signal scaling factor | |
| Zero-mean periodic pulse signal | |
| Linear chirp signal | |
| Time period of | |
| Pulse width of | |
| Starting frequency of the chirp signal | |
| Ending frequency of the chirp signal | |
| Simulation time | |
| PF | Percentile fit |
| MSE | Mean square error |
| FPE | Final prediction error |
| jth variable estimation accuracy metric | |
| Noise signal | |
| Continuous time random signal of unity amplitude | |
| Noise signal scaling factor | |
| Filter transfer function | |
| jth noise filter parameter | |
| Discrete time signal generator period |
Appendix A. Simulation Results







| n/n | PF | MSE | FPE | ||||||
|---|---|---|---|---|---|---|---|---|---|
| 1 | 0.0008930 | 0.0026790 | 68.760 | 68.731 | 99.974 | 99.970 | 99.933% | 6.8930 × 10−12 | 6.8931 × 10−12 |
| 2 | 0.0008283 | 0.0024848 | 57.441 | 57.416 | 99.925 | 99.920 | 99.826% | 5.6622 × 10−11 | 5.6623 × 10−11 |
| 3 | 0.0007734 | 0.0023203 | 50.064 | 50.041 | 99.884 | 99.877 | 99.749% | 1.3502 × 10−10 | 1.3502 × 10−10 |
| 4 | 0.0007323 | 0.0021968 | 44.864 | 44.832 | 99.850 | 99.819 | 99.692% | 2.2592 × 10−10 | 2.2592 × 10−10 |
| 5 | 0.0006911 | 0.0020734 | 39.948 | 39.926 | 99.811 | 99.794 | 99.635% | 3.5680 × 10−10 | 3.5681 × 10−10 |
| 6 | 0.0006546 | 0.0019637 | 35.818 | 35.795 | 99.773 | 99.747 | 99.583% | 5.1910 × 10−10 | 5.1911 × 10−10 |
| 7 | 0.0006180 | 0.0018540 | 31.914 | 31.923 | 99.729 | 99.798 | 99.532% | 7.3435 × 10−10 | 7.3436 × 10−10 |
| 8 | 0.0005860 | 0.0017580 | 28.682 | 28.666 | 99.687 | 99.670 | 99.488% | 9.7862 × 10−10 | 9.7864 × 10−10 |
| 9 | 0.0005540 | 0.0016620 | 25.623 | 25.624 | 99.640 | 99.684 | 99.443% | 1.2934 × 10−9 | 1.2934 × 10−9 |
| 10 | 0.0005220 | 0.0015660 | 22.736 | 22.719 | 99.588 | 99.552 | 99.397% | 1.7084 × 10−9 | 1.7084 × 10−9 |
| 11 | 0.0004946 | 0.0014837 | 20.399 | 20.393 | 99.537 | 99.547 | 99.359% | 2.1451 × 10−9 | 2.1452 × 10−9 |
| 12 | 0.0004671 | 0.0014014 | 18.189 | 18.190 | 99.481 | 99.525 | 99.321% | 2.6962 × 10−9 | 2.6963 × 10−9 |
| 13 | 0.0004397 | 0.0013191 | 16.105 | 16.099 | 99.417 | 99.420 | 99.281% | 3.4144 × 10−9 | 3.4145 × 10−9 |
| 14 | 0.0004168 | 0.0012505 | 14.466 | 14.463 | 99.358 | 99.379 | 99.251% | 4.1226 × 10−9 | 4.1227 × 10−9 |
| 15 | 0.0003940 | 0.0011820 | 12.914 | 12.901 | 99.291 | 99.230 | 99.219% | 5.0136 × 10−9 | 5.0137 × 10−9 |
| 16 | 0.0003711 | 0.0011134 | 11.451 | 11.441 | 99.217 | 99.174 | 99.184% | 6.1577 × 10−9 | 6.1578 × 10−9 |
| 17 | 0.0003483 | 0.0010448 | 10.075 | 10.073 | 99.133 | 99.154 | 99.154% | 7.5082 × 10−9 | 7.5083 × 10−9 |
| 18 | 0.0003300 | 0.0009900 | 9.038 | 9.034 | 99.057 | 99.062 | 99.127% | 8.9159 × 10−9 | 8.9161 × 10−9 |
| 19 | 0.0003117 | 0.0009351 | 8.057 | 8.051 | 98.972 | 98.947 | 99.103% | 1.0533 × 10−8 | 1.0534 × 10−8 |
| 20 | 0.0002934 | 0.0008802 | 7.133 | 7.129 | 98.877 | 98.878 | 99.077% | 1.2576 × 10−8 | 1.2576 × 10−8 |
| 21 | 0.0002751 | 0.0008254 | 6.264 | 6.261 | 98.769 | 98.759 | 99.049% | 1.5155 × 10−8 | 1.5155 × 10−8 |
| 22 | 0.0002568 | 0.0007705 | 5.453 | 5.449 | 98.646 | 98.625 | 99.023% | 1.8334 × 10−8 | 1.8334 × 10−8 |
| 23 | 0.0002431 | 0.0007294 | 4.881 | 4.878 | 98.541 | 98.526 | 99.002% | 2.1292 × 10−8 | 2.1293 × 10−8 |
| 24 | 0.0002294 | 0.0006882 | 4.340 | 4.338 | 98.424 | 98.406 | 98.983% | 2.4789 × 10−8 | 2.4789 × 10−8 |
| 25 | 0.0002157 | 0.0006471 | 3.832 | 3.830 | 98.292 | 98.284 | 98.961% | 2.9195 × 10−8 | 2.9196 × 10−8 |
| 26 | 0.0002020 | 0.0006059 | 3.355 | 3.354 | 98.142 | 98.151 | 98.943% | 3.4358 × 10−8 | 3.4358 × 10−8 |
| 27 | 0.0001883 | 0.0005648 | 2.910 | 2.908 | 97.971 | 97.968 | 98.919% | 4.1220 × 10−8 | 4.1221 × 10−8 |
| 28 | 0.0001746 | 0.0005237 | 2.496 | 2.495 | 97.772 | 97.761 | 98.898% | 4.9600 × 10−8 | 4.9601 × 10−8 |
| 29 | 0.0001654 | 0.0004962 | 2.238 | 2.236 | 97.621 | 97.594 | 98.882% | 5.6621 × 10−8 | 5.6622 × 10−8 |
| 30 | 0.0001563 | 0.0004688 | 1.994 | 1.993 | 97.453 | 97.442 | 98.866% | 6.4920 × 10−8 | 6.4922 × 10−8 |
| 31 | 0.0001471 | 0.0004414 | 1.764 | 1.763 | 97.263 | 97.241 | 98.851% | 7.4750 × 10−8 | 7.4752 × 10−8 |
| 32 | 0.0001380 | 0.0004139 | 1.548 | 1.547 | 97.049 | 97.021 | 98.832% | 8.7212 × 10−8 | 8.7213 × 10−8 |
| 33 | 0.0001288 | 0.0003865 | 1.346 | 1.345 | 96.804 | 96.788 | 98.812% | 1.0255 × 10−7 | 1.0256 × 10−7 |
| 34 | 0.0001197 | 0.0003591 | 1.159 | 1.157 | 96.522 | 96.463 | 98.790% | 1.2196 × 10−7 | 1.2196 × 10−7 |
| 35 | 0.0001106 | 0.0003317 | 0.985 | 0.984 | 96.193 | 96.150 | 98.776% | 1.4440 × 10−7 | 1.4440 × 10−7 |
| 36 | 0.0001014 | 0.0003042 | 0.825 | 0.825 | 95.804 | 95.791 | 98.750% | 1.7597 × 10−7 | 1.7597 × 10−7 |
| 37 | 0.0000923 | 0.0002768 | 0.680 | 0.679 | 95.339 | 95.309 | 98.722% | 2.1747 × 10−7 | 2.1747 × 10−7 |
References
- Koumboulis, F.N.; Fragkoulis, D.G.; Kouvakas, N.D.; Feidopiasti, A. Soft Sensor Design via Switching Observers. Sensors 2023, 23, 2114. [Google Scholar] [CrossRef]
- Giannaris, G.L.; Kouvakas, N.D.; Koumboulis, F.N.; Vouyioukas, D. Switching Wireless Control for Longitudinal Quadrotor Maneuvers. J. Intell. Robot. Syst. 2021, 102, 42. [Google Scholar] [CrossRef]
- Koumboulis, F.N.; King, R.E.; Stathaki, A. Logic-Based Switching Controllers–A Stepwise Safe Switching Approach. Inf. Sci. 2007, 177, 2736–2755. [Google Scholar] [CrossRef]
- Economakos, C.E.; Koumboulis, F.N. A Safe Set Point Supervisor for MIMO Processes. In Proceedings of the 2006 IEEE Conference on Emerging Technologies and Factory Automation, Prague, Czech Republic, 20–22 September 2006. [Google Scholar]
- Zefran, M.; Burdick, J.W. Design of switching controllers for systems with changing dynamics. In Proceedings of the 37th IEEE Conference on Decision and Control, Tampa, FL, USA, 16–18 December 1998. [Google Scholar]
- Hespanha, J.P.; Morse, A.S. Switching between stabilizing controllers. Automatica 2002, 38, 1905–1917. [Google Scholar] [CrossRef]
- Lam, S.; Davison, E.J. Control of plants with changing dynamics using switching model predictive control. In Proceedings of the 9th IASTED International Conference-Control and Applications, Montreal, QC, Canada, 30 May–1 June 2007. [Google Scholar]
- Koumboulis, F.N.; Tzamtzi, M.P. A Metaheuristic Approach for Controller Design of Multivariable Processes. In Proceedings of the 12th IEEE Conference on Emerging Technologies and Factory Automation, Patras, Greece, 25–28 September 2007. [Google Scholar]
- Koumboulis, F.N.; Tzamtzi, M.P. A generalised control metaheuristic framework for industrial processes. Int. J. Autom. Control 2010, 4, 218–233. [Google Scholar] [CrossRef]
- Zentou, H.; Zainal Abidin, Z.; Yunus, R.; Awang Biak, D.R.; Abdullah Issa, M.; Yahaya Pudza, M. A New Model of Alcoholic Fermentation under a Byproduct Inhibitory Effect. ACS Omega 2021, 6, 4137–4146. [Google Scholar] [CrossRef]
- Lin, Y.; Tanaka, S. Ethanol Fermentation from Biomass Resources: Current State and Prospects. Appl. Microbiol. Biotechnol. 2006, 69, 627–642. [Google Scholar] [CrossRef] [PubMed]
- Bai, F.W.; Anderson, W.A.; Moo-Young, M. Ethanol Fermentation Technologies from Sugar and Starch Feedstocks. Biotechnol. Adv. 2008, 26, 89–105. [Google Scholar] [CrossRef] [PubMed]
- Marín, M.R. Alcoholic Fermentation Modelling: Current State and Perspectives. Am. J. Enol. Vitic. 1999, 50, 166–178. [Google Scholar] [CrossRef]
- Mantovanelli, I.C.; Rivera, E.C.; Da Costa, A.C.; Maciel Filho, R. Hybrid Neural Network Model of an Industrial Ethanol Fermentation Process Considering the Effect of Temperature. Appl. Biochem. Biotechnol. 2007, 137, 817–833. [Google Scholar] [PubMed]
- Atala, D.I.; Costa, A.C.; Maciel, R.; Maugeri, F. Kinetics of Ethanol Fermentation with High Biomass Concentration Considering the Effect of Temperature. Appl. Biochem. Biotechnol. 2001, 91, 353–365. [Google Scholar] [CrossRef] [PubMed]
- Kostov, G.; Popova, S.; Gochev, V.; Koprinkova-Hristova, P.; Angelov, M.; Georgieva, A. Modeling of Batch Alcohol Fermentation with Free and Immobilized Yeasts Saccharomyces Cerevisiae 46 EVD. Biotechnol. Biotechnol. Equip. 2012, 26, 3021–3030. [Google Scholar] [CrossRef]
- Da Silva, F.L.H.; Rodrigues, M.I.; Maugeri, F. Dynamic Modelling, Simulation and Optimization of an Extractive Continuous Alcoholic Fermentation Process. J. Chem. Technol. Biotechnol. 1999, 74, 176–182. [Google Scholar] [CrossRef]
- Da Costa, A.C.; Filho, R.M. Evaluation of Optimization Techniques for an Extractive Alcoholic Fermentation Process. Appl. Biochem. Biotechnol. 2004, 114, 485–496. [Google Scholar] [CrossRef]
- Rivera, E.C.; Costa, A.C.; Atala, D.I.; Maugeri, F.; Maciel, M.R.W.; Maciel Filho, R. Evaluation of Optimization Techniques for Parameter Estimation: Application to Ethanol Fermentation Considering the Effect of Temperature. Process Biochem. 2006, 41, 1682–1687. [Google Scholar] [CrossRef]
- Bartee, J.; Noll, P.; Axelrud, C.; Schweiger, C.; Sayyar-Rodsari, B. Industrial Application of Nonlinear Model Predictive Control Technology for Fuel Ethanol Fermentation Process. In Proceedings of the 2009 American Control Conference, St. Louis, MO, USA, 10–12 June 2009; pp. 2290–2294. [Google Scholar]
- da Costa, M.A.V.; Normey-Rico, J.E. Modeling, Control and Optimization of Ethanol Fermentation Process. IFAC Proc. Vol. 2011, 44, 10609–10614. [Google Scholar] [CrossRef]
- Costa, A.C.; Meleiro, L.A.d.C.; Maciel Filho, R. Non-Linear Predictive Control of an Extractive Alcoholic Fermentation Process. Process Biochem. 2002, 38, 743–750. [Google Scholar] [CrossRef]
- Kabbaj, N.; Polit, M.; Dahhou, B.; Roux, G. Adaptive Observers based Fault Detection and Isolation for an Alcoholic Fermentation Process. In Proceedings of the 8th IEEE International Conference on Emerging Technologies and Factory Automation, Antibes-Juan les Pins, France, 15–18 October 2001. [Google Scholar]
- Koumboulis, F.N.; Fragkoulis, D.G. Switching design for the observation of the biomass in alcoholic fermentation processes. In Proceedings of the 2017 XXVI International Conference on Information, Communication and Automation Technologies (ICAT), Sarajevo, Bosnia and Herzegovina, 26–28 October 2017. [Google Scholar]
- Alvarado-Santos, E.; Mata-Machuca, J.L.; López-Pérez, P.A.; Garrido-Moctezuma, R.A.; Pérez-Guevara, F.; Aguilar-López, R. Comparative Analysis of a Family of Sliding Mode Observers under Real-Time Conditions for the Monitoring in the Bioethanol Production. Fermentation 2022, 8, 446. [Google Scholar] [CrossRef]
- Petre, E.; Sendrescu, D.; Selişteanu, D.; Roman, M. Estimation Based Control Strategies for an Alcoholic Fermentation Process with Unknown Inputs. In Proceedings of the 2019 23rd International Conference on System Theory, Control and Computing (ICSTCC), Sinaia, Romania, 9–11 October 2019; IEEE: New York, NY, USA, 2019; pp. 224–229. [Google Scholar]
- Selişteanu, D.; Petre, E.; Roman, M.; Ionete, C.; Popescu, D. Estimation Strategies for Kinetic Parameters of an Alcoholic Fermentation Bioprocess. In Proceedings of the SICE Annual Conference 2010, Taipei, Taiwan, 18–21 August 2010; IEEE: New York, NY, USA, 2010; pp. 3560–3565. [Google Scholar]
- Selisteanu, D.; Marin, C.; Petre, E.; Sendrescu, D. Nonlinear Observers for the Estimation of Kinetic Parameters in an Alcoholic Fermentation Bioprocess. Int. Rev. Autom. Control 2011, 4, 124–132. [Google Scholar]
- Roux, G.; Dahhou, B.; Queinnec, I.; Goma, G. Software Sensor for Primary Metabolite Production Case of Alcoholic Fermentation; LAAS Report 95187; Centre National de la Recherche Scientifique (CNRS): Paris, France, 1995. [Google Scholar]
- Kamel, M.; Chaabane, M.; Chaari, A.; Farza, M. State and Unknown Input Observer Design for a Class of Non-Linear Systems: Application to a Fermentation Process. IJSCC 2011, 3, 34. [Google Scholar] [CrossRef]
- Åström, K.J.; Wittenmark, B. Adaptive Control; Dover Publications: New York, NY, USA, 2013. [Google Scholar]
- Sinha, N.K.; Rao, G.P. Identification of Continuous-Time Systems: Linear and Robust Parameter Estimation; CRC Press: Boca Raton, FL, USA, 2019. [Google Scholar]
- Garnier, H.; Mensler, M.; Richard, A. Continuous-Time Model Identification from Sampled Data: Implementation Issues and Performance Evaluation. Int. J. Control 2003, 76, 1337–1357. [Google Scholar] [CrossRef]
- Ljung, L. Experiments with Identification of Continuous Time Models. IFAC Proc. 2009, 42, 1175–1180. [Google Scholar] [CrossRef]
- Young, P.; Jakeman, A. Refined Instrumental Variable Methods of Recursive Time-Series Analysis Part III. Extensions. Int. J. Control 1980, 31, 741–764. [Google Scholar] [CrossRef]
- Drmač, Z.; Gugercin, S.; Beattie, C. Quadrature-Based Vector Fitting for Discretized H2 Approximation. SIAM J. Sci. Comput. 2015, 37, A625–A652. [Google Scholar] [CrossRef]
- Ozdemir, A.A.; Gumussoy, S. Transfer Function Estimation in System Identification Toolbox via Vector Fitting. IFAC-Pap. 2017, 50, 6232–6237. [Google Scholar] [CrossRef]
- Fontana, A.; Ghommidh, C.; Guiraud, J.P.; Navarro, J.M. Continuous Alcoholic Fermentation of Sucrose Using Flocculating Yeast. The Limits of Invertase Activity. Biotechnol. Lett. 1992, 14, 505–510. [Google Scholar] [CrossRef]
- Gunawan, A.Y.; Sidarto, K.A. Washout and Non-Washout Solutions of a System Describing Microbial Fermentation Process under the Influence of Growth Inhibitions and Maximal Concentration of Yeast Cells. Math. Biosci. 2017, 289, 40–50. [Google Scholar]
- MATLAB, version: 9.13.0 (R2022b); The MathWorks Inc.: Natick, MA, USA, 2022.
- Henderson, D.; Jacobson, S.H.; Johnson, A.W. The theory and practice of simulated annealing. In Handbook of Metaheuristics, International Series in Operations Research & Management Science; Springer: Boston, MA, USA, 2003; Volume 57. [Google Scholar]
- Delahaye, D.; Chaimatanan, S.; Mongeau, M. Simulated annealing: From basics to applications. In Handbook of Metaheuristics. International Series in Operations Research & Management Science; Springer: Cham, Switzerland, 2019; Volume 272. [Google Scholar]
- Guilmeau, T.; Chouzenoux, E.; Elvira, V. Simulated Annealing: A Review and a New Scheme. In Proceedings of the 2021 IEEE Statistical Signal Processing Workshop (SSP), Rio de Janeiro, Brazil, 11–14 July 2021. [Google Scholar]
- Sohail, A. Genetic algorithms in the fields of artificial intelligence and data sciences. Ann. Data Sci. 2023, 10, 1007–1018. [Google Scholar] [CrossRef]
- Konak, A.; Coit, D.W.; Smith, A.E. Multi-objective optimization using genetic algorithms: A tutorial. Reliab. Eng. Syst. Saf. 2006, 91, 992–1007. [Google Scholar] [CrossRef]
- Tabassum, M.; Kuruvilla, M. A genetic algorithm analysis towards optimization solutions. Int. J. Digit. Inf. Wirel. Commun. 2014, 4, 124–142. [Google Scholar] [CrossRef]
- Aguilar-López, R.; Tec-Caamal, E.N.; Neria-González, M.I. Observer-Based Control for Uncertain Nonlinear Systems Applied to Continuous Biochemical Reactors. Math. Probl. Eng. 2020, 2020, 6417860. [Google Scholar] [CrossRef]
- Pachauri, N.; Singh, V.; Rani, A. Two degree of freedom PID based inferential control of continuous bioreactor for ethanol production. ISA Trans. 2017, 68, 235–250. [Google Scholar] [CrossRef] [PubMed]













| n/n | n/n | n/n | n/n | ||||
|---|---|---|---|---|---|---|---|
| 1 | 0.0185 | 11 | 0.1827 | 21 | 0.2702 | 31 | 0.3213 |
| 2 | 0.0495 | 12 | 0.1936 | 22 | 0.2775 | 32 | 0.3249 |
| 3 | 0.0714 | 13 | 0.2046 | 23 | 0.2830 | 33 | 0.3286 |
| 4 | 0.0878 | 14 | 0.2137 | 24 | 0.2885 | 34 | 0.3322 |
| 5 | 0.1042 | 15 | 0.2228 | 25 | 0.2939 | 35 | 0.3359 |
| 6 | 0.1188 | 16 | 0.2319 | 26 | 0.2994 | 36 | 0.3395 |
| 7 | 0.1334 | 17 | 0.2410 | 27 | 0.3049 | 37 | 0.3432 |
| 8 | 0.1462 | 18 | 0.2483 | 28 | 0.3104 | ||
| 9 | 0.1590 | 19 | 0.2556 | 29 | 0.3140 | ||
| 10 | 0.1717 | 20 | 0.2629 | 30 | 0.3176 |
| n/n | |||
|---|---|---|---|
| 1 | 0.083 | 6.990 | 0.140 |
| 2 | 0.116 | 6.984 | 0.222 |
| 3 | 0.150 | 6.977 | 0.326 |
| 4 | 0.183 | 6.967 | 0.466 |
| 5 | 0.217 | 6.954 | 0.663 |
| 6 | 0.250 | 6.933 | 0.962 |
| 7 | 0.283 | 6.897 | 1.466 |
| 8 | 0.317 | 6.825 | 2.500 |
| n/n | PF | MSE | ||||||
|---|---|---|---|---|---|---|---|---|
| 1 | 0.083 | 46.26 | 46.42 | 99.86 | 100.20 | 98.43 % | 1.9865 × 10−10 | 1719.06 |
| 2 | 0.117 | 36.42 | 36.50 | 99.78 | 100.00 | 98.61 % | 4.9157 × 10−10 | 1086.98 |
| 3 | 0.150 | 27.75 | 27.79 | 99.67 | 99.81 | 98.79 % | 1.0688 × 10−9 | 736.38 |
| 4 | 0.183 | 20.26 | 20.26 | 99.53 | 99.53 | 98.96 % | 2.1689 × 10−9 | 513.09 |
| 5 | 0.217 | 13.95 | 13.94 | 99.34 | 99.30 | 99.14 % | 4.3879 × 10−9 | 359.12 |
| 6 | 0.250 | 8.81 | 8.80 | 99.04 | 98.97 | 99.31 % | 9.2627 × 10−9 | 246.28 |
| 7 | 0.283 | 4.85 | 4.84 | 98.53 | 98.43 | 99.49 % | 2.1530 × 10−8 | 159.98 |
| 8 | 0.317 | 2.06 | 2.05 | 97.50 | 97.28 | 99.66 % | 6.2573 × 10−8 | 91.79 |
| Steps | ||
|---|---|---|
| 2 | 154.1738 % | 1.8305 % |
| 3 | 41.2932 % | 1.3010 % |
| 4 | 14.2551 % | 0.9744 % |
| 5 | 5.7663 % | 0.7610 % |
| 6 | 2.6250 % | 0.4777 % |
| 7 | 1.4388 % | 0.2858 % |
| 8 | 1.0209 % | 0.1744 % |
| 0 | 0.95 | 0 | 0 | 0.05 | 0 |
| n/n | ||||||||
|---|---|---|---|---|---|---|---|---|
| 1 | 0.083 | 0.0834289 | 142.998 | 1022.42 | 0.0193277 | 0.0199999 | 1.84557 | 0.000222579 |
| 2 | 0.116 | 0.116869 | 126.599 | 801.365 | 0.0175970 | 0.0199997 | 1.78558 | 0.000933145 |
| 3 | 0.150 | 0.150408 | 110.258 | 607.836 | 0.0199614 | 0.0199997 | 1.72763 | 0.000189896 |
| 4 | 0.183 | 0.184046 | 93.899 | 440.851 | 0.0197554 | 0.0199994 | 1.67182 | 0.000287858 |
| 5 | 0.217 | 0.217877 | 77.6684 | 301.620 | 0.0199265 | 0.0199995 | 1.61825 | 0.000434413 |
| 6 | 0.250 | 0.252035 | 61.4591 | 188.861 | 0.0198582 | 0.0199994 | 1.56736 | 0.000447879 |
| 7 | 0.283 | 0.2869 | 45.2447 | 102.355 | 0.0199558 | 0.0199989 | 1.52059 | 0.000436400 |
| 8 | 0.317 | 0.323656 | 29.0092 | 42.0772 | 0.0199964 | 0.0199999 | 1.48480 | 0.000158437 |
| 0 | 0.45 | 0 | 0 | 0.01 | 0.45 |
| n/n | |||||||||
|---|---|---|---|---|---|---|---|---|---|
| 1 | 0.083 | 0.083436 | 128.729 | 0.016475 | 3314.942 | 0.018047 | 0.019999 | 1.845688 | 0.019541 |
| 2 | 0.116 | 0.116888 | 120.623 | 0.017437 | 2935.03 | 0.01922 | 0.019997 | 1.785641 | 0.015009 |
| 3 | 0.150 | 0.150392 | 113.537 | 0.018841 | 2556.689 | 0.01954 | 0.019999 | 1.727569 | 0.016454 |
| 4 | 0.183 | 0.183974 | 103.767 | 0.020216 | 2177.875 | 0.01947 | 0.019999 | 1.67151 | 0.019001 |
| 5 | 0.217 | 0.217655 | 95.099 | 0.022383 | 1802.562 | 0.019967 | 0.019999 | 1.617334 | 0.01823 |
| 6 | 0.250 | 0.251471 | 84.450 | 0.025087 | 1428.219 | 0.019624 | 0.019997 | 1.565218 | 0.01912 |
| 7 | 0.283 | 0.285556 | 72.482 | 0.029176 | 1054.011 | 0.019977 | 0.019997 | 1.515246 | 0.017544 |
| 8 | 0.317 | 0.320105 | 58.3145 | 0.036382 | 680.0276 | 0.019772 | 0.019999 | 1.46821 | 0.018953 |
Disclaimer/Publisher’s Note: The statements, opinions and data contained in all publications are solely those of the individual author(s) and contributor(s) and not of MDPI and/or the editor(s). MDPI and/or the editor(s) disclaim responsibility for any injury to people or property resulting from any ideas, methods, instructions or products referred to in the content. |
© 2023 by the authors. Licensee MDPI, Basel, Switzerland. This article is an open access article distributed under the terms and conditions of the Creative Commons Attribution (CC BY) license (https://creativecommons.org/licenses/by/4.0/).
Share and Cite
Kouvakas, N.D.; Koumboulis, F.N.; Fragkoulis, D.G.; Fragulis, G.F. Metaheuristic Procedures for the Determination of a Bank of Switching Observers toward Soft Sensor Design with Application to an Alcoholic Fermentation Process. Mathematics 2023, 11, 4733. https://doi.org/10.3390/math11234733
Kouvakas ND, Koumboulis FN, Fragkoulis DG, Fragulis GF. Metaheuristic Procedures for the Determination of a Bank of Switching Observers toward Soft Sensor Design with Application to an Alcoholic Fermentation Process. Mathematics. 2023; 11(23):4733. https://doi.org/10.3390/math11234733
Chicago/Turabian StyleKouvakas, Nikolaos D., Fotis N. Koumboulis, Dimitrios G. Fragkoulis, and George F. Fragulis. 2023. "Metaheuristic Procedures for the Determination of a Bank of Switching Observers toward Soft Sensor Design with Application to an Alcoholic Fermentation Process" Mathematics 11, no. 23: 4733. https://doi.org/10.3390/math11234733
APA StyleKouvakas, N. D., Koumboulis, F. N., Fragkoulis, D. G., & Fragulis, G. F. (2023). Metaheuristic Procedures for the Determination of a Bank of Switching Observers toward Soft Sensor Design with Application to an Alcoholic Fermentation Process. Mathematics, 11(23), 4733. https://doi.org/10.3390/math11234733

