Analysis of a Ferromagnetic Nanofluid Saturating a Porous Medium with Nield’s Boundary Conditions
Abstract
:1. Introduction
- Present a model for the flow of a viscous, incompressible, radiating, electrically conductive nanofluid over a stretching sheet.
- Employ appropriate similarity transformations to convert the main equations into a system of nonlinear ordinary differential equations, which are numerically solved using the BVP4C method.
- Examine and interpret how various parameters affect the fluid and boundary characteristics.
- Report on the impact of ferromagnetic properties on nanofluid velocity.
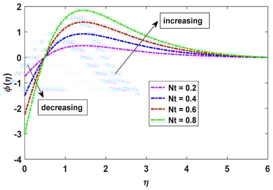
- Analyze the influences of Brownian motion and thermophoresis effects.
2. Mathematical Formulation
- Flow direction: The x-axis represents the direction of the flow, driven by the interplay of two opposing forces.
- Flow normality: The y-axis is perpendicular to the direction of flow.
- Velocity profile: The velocity of the fluid varies along the x-axis inversely with distance from the origin, indicating that it stretches the sheet as it moves.
- Magnetic dipole: Positioned beneath the sheet, there exists a magnetic dipole. This dipole is responsible for creating a magnetic field.
- Magnetic saturation: The magnetic field created by the dipole is strong enough to saturate the points of the ferrofluid in the positive x-direction. This implies that the ferrofluid in this region becomes magnetized.
- Temperature control: To prevent the stretched sheet from becoming magnetized, it is maintained at a constant temperature, Tw, which is kept below the Curie temperature (TC). The Curie temperature is when a ferromagnetic material loses its permanent magnetization.
- Uniform temperature: Fluid components located at a given distance from the sheet are considered to have a uniform temperature equal to the Curie temperature (T = TC).
3. Solution Methodology
4. Results and Discussion
5. Conclusions
- The velocity profile possesses reverse behavior for the ferromagnetic interaction parameter and the mixed convective parameter.
- The temperature distribution enhances for more significant Reynolds numbers and thermal radiation.
- The occurrence of thermophores and Brownian motion parameters is a source of diminution in the thickness of the opposite concentration boundary layer near the wall.
- Skin friction is improved with a more significant viscosity parameter.
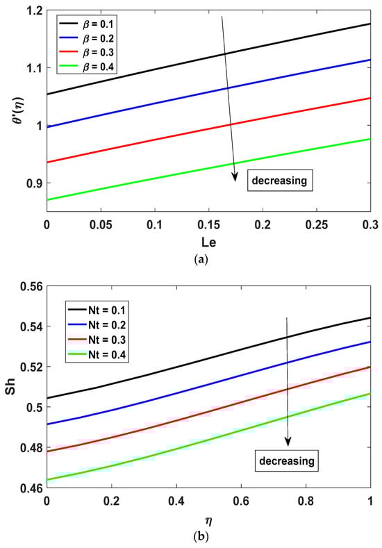
- The ferromagnetic interaction parameter diminishes both the local Nusselt number and the Sherwood numbers.
- Shear-thinning fluids possess a more significant temperature than shear-thickening fluids.
Author Contributions
Funding
Data Availability Statement
Conflicts of Interest
Nomenclature
| x | Horizontal coordinate (m) |
| u | Horizontal velocity (m/s) |
| T | Fluid temperature inside the boundary layer (K) |
| T∞ | Fluid temperature far away from the sheet (K) |
| H | Magnetic field intensity (A/m) |
| y | Vertical coordinate (m) |
| Nu | Local Nusselt number |
| Cp | Specific heat at constant pressure (J/(kg·K)) |
| v | Vertical velocity (m/s) |
| Cf | Skin friction coefficient |
| Tw | Temperature of the sheet (K) |
| Dm | Mass diffusivity (cm2/s) |
| Mean absorption coefficient (m2kg−1) | |
| d | Distance between the origin and center of the magnetic dipole/distance parameter (Am−2) |
| Tr | Radiation parameter (Jm−2s−1) |
| Pr | Prandtl number (m2s−1) |
| Le | Lewis number |
| δ | First-order velocity slip parameter |
| Sh | Local Sherwood number |
| M | Magnetization () |
| Cw | Concentration of the fluid near the surface |
| θ(η) | Dimensionless temperature |
| f′(η) | Dimensionless velocity |
| Nt | Thermophoresis parameter |
| Nb | Brownian motion parameter |
| Greek symbols: | |
| η | Similarity variable |
| ψ | Stream function (m2/s) |
| ρ | Density of the fluid (kg/m3) |
| μ | Dynamic viscosity (kg/m·s) |
| τw | Wall shear stress (Pa) |
| σ | Electrical conductivity (s·m−1) |
| Stefan–Boltzmann constant | |
| γ | Strength of the magnetic field |
| β | Ferromagnetic interaction parameter |
| Γ | Magnetic permeability (m−2·s2) |
| α | Distance parameter |
| γ1 | Viscosity parameter |
| λ1 | Mixed convective parameter |
| ε | Dimensionless Curie temperature |
References
- Seth, G.S.; Mandal, P.K. Gravity-driven convective flow of magnetite water nanofluid and radiative heat transfer past an oscillating vertical plate in the presence of magnetic field. Latin Am. Appl. Res. 2018, 48, 7–13. [Google Scholar] [CrossRef]
- Astanina, M.; Sheremet, M.; Oztop, H.; Abu-Hamdeh, N. MHD natural convection and entropy generation of ferrofluid in an open trapezoidal cavity partially filled with a porous medium. Int. J. Mech. Sci. 2018, 136, 493–502. [Google Scholar] [CrossRef]
- Gibanov, N.; Sheremet, M.; Oztop, H. MHD natural convection and entropy generation in an open cavity having different horizontal porous blocks saturated with a ferrofluid. J. Magn. Magn. Mater. 2018, 452, 193–204. [Google Scholar] [CrossRef]
- Asadi, A.; Hossein Nezhad, A.; Sarhaddi, F.; Keykha, T. Laminar ferrofluid heat transfer in presence of non-uniform magnetic field in a channel with sinusoidal wall: A numerical study. J. Magn. Magn. Mater. 2019, 471, 56–63. [Google Scholar] [CrossRef]
- Sheikholeslami, M.; Abelman, S. Numerical study of the consequences of magnetic field on Fe3O4-water ferrofluid convection with thermal radiation. Eng. Comput. 2018, 35, 1855–1872. [Google Scholar] [CrossRef]
- Aminfar, H.; Pourfard, M.; Ahangar Zonouzi, S. Numerical study of the ferrofluid flow and heat transfer through a rectangular duct in the presence of a non-uniform transverse magnetic field. J. Magn. Magn. Mater. 2013, 327, 31–42. [Google Scholar] [CrossRef]
- Vafai, K.; Tien, C.L. Boundary and inertia effects on flow and heat transfer in porous media. Int. J. Heat Mass Transf. 1981, 24, 195–203. [Google Scholar] [CrossRef]
- Modather, M.; Chamkha, A. An analytical study of MHD heat and mass transfer oscillatory flow of a micropolar fluid over a vertical permeable plate in a porous medium. Turkish J. Eng. Environ. Sci. 2010, 33, 245–258. [Google Scholar]
- Elbashbeshy, E.M.A.; Asker, H.G.; Abdelgaber, K.M. Flow and heat transfer over a stretching surface with variable thickness in a Maxwell fluid and porous medium with radiation. Therm. Sci. 2019, 23, 3105–3116. [Google Scholar] [CrossRef]
- Bidin, B.; Nazar, R. Numerical solution of boundary layer flow over an exponentially stretching sheet with thermal radiation. Eur. J. Sci. Res. 2009, 33, 710–717. [Google Scholar]
- Mukhopadhyay, S.; Gorla, R.S.R. Effects of partial slip on boundary layer flow past a permeable exponential stretching sheet in presence of thermal radiation. Heat Mass Transf. 2012, 48, 1773–1781. [Google Scholar] [CrossRef]
- Chaudhary, S.; Singh, S.; Chaudhary, S. Thermal radiation effects on MHD boundary layer flow over an exponentially stretching surface. Appl. Math. 2015, 6, 295–303. [Google Scholar]
- Durgaprasad, P.; Varma, S.V.K.; Hoque, M.M.; Raju, C.S.K. Combined consequencess of Brownian motion and thermophoresis parameters on three-dimensional (3D) Casson nanofluid flow across the porous layers slendering sheet in a suspension of graphene nanoparticles. Neural Comput. Appl. 2018, 31, 6275–6286. [Google Scholar] [CrossRef]
- Rafique, K.; Anwar, M.I.; Misiran, M.; Khan, I.; Seikh, A.H.; Sherif, E.-S.M.; Nisar, K.S. Brownian Motion and Thermophoretic Diffusion Consequencess on Micropolar Type Nanofluid Flow with Soret and Dufour Impacts over an Inclined Sheet: Keller-Box Simulations. Energies 2019, 12, 4191. [Google Scholar] [CrossRef]
- Lin, Y.; Jiang, Y. Consequencess of Brownian motion and thermophoresis on nanofluids in a rotating circular groove: A numerical simulation. Int. J. Heat Mass Transf. 2018, 123, 569–582. [Google Scholar] [CrossRef]
- Waqas, H.; Hasan, M.J.; Majeed, A.H.; Liu, D.; Muhammad, T. Hydrothermal characteristics, entropy and kinetic energy investigation in a sinusoidal cavity for variable wavelengths and solid volume fraction using Cu-water nanofluid. J. Mol. Liq. 2023, 389, 122911. [Google Scholar] [CrossRef]
- Waqas, H.; Khan, S.A.; Ali, B.; Liu, D.; Muhammad, T.; Hou, E. Numerical computation of Brownian motion and thermophoresis effects on rotational micropolar nanomaterials with activation energy. Propuls. Power Res. 2023, 12, 397–409. [Google Scholar] [CrossRef]
- Waqas, H.; Khan, S.A.; Yasmin, S.; Liu, D.; Imran, M.; Muhammad, T.; Alhushaybari, A.; Farooq, U. Galerkin finite element analysis for buoyancy driven copper-water nanofluid flow and heat transfer through fins enclosed inside a horizontal annulus: Applications to thermal engineering. Case Stud. Therm. Eng. 2022, 40, 102540. [Google Scholar] [CrossRef]
- Waqas, H.; Farooq, U.; Liu, D.; Alghamdi, M.; Noreen, S.; Muhammad, T. Numerical investigation of nanofluid flow with gold and silver nanoparticles injected inside a stenotic artery. Mater. Des. 2022, 223, 111130. [Google Scholar] [CrossRef]
- Waqas, H.; Farooq, U.; Liu, D.; Imran, M.; Muhammad, T.; Alshomrani, A.S.; Umar, M. Comparative analysis of hybrid nanofluids with Cattaneo-Christov heat flux model: A thermal case study. Case Stud. Therm. Eng. 2022, 36, 102212. [Google Scholar] [CrossRef]
- Thiyagarajan, P.; Sathiamoorthy, S.; Balasundaram, H.; Makinde, O.D.; Fernandez-Gamiz, U.; Noeiaghdam, S.; Santra, S.S.; Altanji, M. Mass transfer effects on mucus fluid in the presence of chemical reaction. Alex. Eng. J. 2023, 62, 193–210. [Google Scholar] [CrossRef]
- Hameed, N.; Noeiaghdam, S.; Khan, W.; Pimpunchat, B.; Fernandez-Gamiz, U.; Khan, M.S.; Rehman, A. Analytical analysis of the magnetic field, heat generation and absorption, viscous dissipation on couple stress Casson hybrid Nano fluid over a nonlinear stretching surface. Results Eng. 2022, 16, 100601. [Google Scholar] [CrossRef]
- Manvi, B.; Tawade, J.; Biradar, M.; Noeiaghdam, S.; Fernandez-Gamiz, U.; Govindan, V. The effects of MHD radiating and non-uniform heat source/sink with heating on the momentum and heat transfer of Eyring-Powell fluid over a stretching. Results Eng. 2022, 14, 100435. [Google Scholar] [CrossRef]
- Tawade, J.V.; Guled, C.N.; Noeiaghdam, S.; Fernandez-Gamiz, U.; Govindan, V.; Balamuralitharan, S. Effects of thermophoresis and Brownian motion for thermal and chemically reacting Casson nanofluid flow over a linearly stretching sheet. Results Eng. 2022, 15, 100448. [Google Scholar] [CrossRef]
- Arulmozhi, S.; Sukkiramathi, K.; Santra, S.S.; Edwan, R.; Fernandez-Gamiz, U.; Noeiaghdam, S. Heat and Mass transfer analysis of Radiative and Chemical reactive effects on MHD Nanofluid over an infinite moving vertical plate. Results Eng. 2022, 14, 100394. [Google Scholar] [CrossRef]
- Buongiorno, J. Convective transport in nanofluids. ASME J. Heat Transf. 2006, 128, 240–250. [Google Scholar] [CrossRef]
- Nield, D.A.; Kuznetsov, A.V. The Cheng-Minkowycz problem for natural convective boundary layer flow in a porous medium saturated by a nanofluid. Int. J. Heat Mass Transf. 2009, 52, 5792–5795. [Google Scholar] [CrossRef]
- Kuznetsov, A.V.; Nield, D.A. The Cheng-Minkowycz problem for natural convective boundary layer flow in a porous medium saturated by a nanofluid: A revised model. Int. J. Heat Mass Transf. 2013, 65, 682–685. [Google Scholar] [CrossRef]
- Kuznetsov, A.V.; Nield, D.A. Natural convective boundary-layer flow of a nanofluid past a vertical plate: A revised model. Int. J. Therm. Sci. 2014, 77, 126–129. [Google Scholar] [CrossRef]
- Nield, D.A.; Kuznetsov, A.V. Thermal instability in a porous medium layer saturated by a nanofluid: A revised model. Int. J. Heat Mass Transf. 2014, 68, 211–214. [Google Scholar] [CrossRef]
- Nield, D.A.; Kuznetsov, A.V. The onset of convection in a horizontal nanofluid layer of finite depth: A revised model. Int. J. Heat Mass Transf. 2014, 77, 915–918. [Google Scholar] [CrossRef]
- Saeed, M.; Ahmad, B.; ul Hassan, Q.M. Variable thermal consequencess of viscosity and radiation of ferrofluid submerged in porous medium. Ain Shams Eng. J. 2022, 13, 101653. [Google Scholar] [CrossRef]
- Andersson, H.I.; Valnes, O.A. Flow of a heated ferrofluid over a stretching sheet in the presence of a magnetic dipole. Acta Mech. 1998, 128, 39–47. [Google Scholar] [CrossRef]
- Hayat, T.; Ijaz Khan, M.; Imtiaz, M.; Alsaedi, A.; Waqas, M. Similarity transformation approach for ferromagnetic mixed convection flow in the presence of chemically reactive magnetic dipole. Phys. Fluids 2016, 28, 102003. [Google Scholar] [CrossRef]











Disclaimer/Publisher’s Note: The statements, opinions and data contained in all publications are solely those of the individual author(s) and contributor(s) and not of MDPI and/or the editor(s). MDPI and/or the editor(s) disclaim responsibility for any injury to people or property resulting from any ideas, methods, instructions or products referred to in the content. |
© 2023 by the authors. Licensee MDPI, Basel, Switzerland. This article is an open access article distributed under the terms and conditions of the Creative Commons Attribution (CC BY) license (https://creativecommons.org/licenses/by/4.0/).
Share and Cite
Elboughdiri, N.; Dharmaiah, G.; Prasad, J.L.R.; Rani, C.B.; Venkatadri, K.; Ghernaout, D.; Wakif, A.; Benguerba, Y. Analysis of a Ferromagnetic Nanofluid Saturating a Porous Medium with Nield’s Boundary Conditions. Mathematics 2023, 11, 4579. https://doi.org/10.3390/math11224579
Elboughdiri N, Dharmaiah G, Prasad JLR, Rani CB, Venkatadri K, Ghernaout D, Wakif A, Benguerba Y. Analysis of a Ferromagnetic Nanofluid Saturating a Porous Medium with Nield’s Boundary Conditions. Mathematics. 2023; 11(22):4579. https://doi.org/10.3390/math11224579
Chicago/Turabian StyleElboughdiri, Noureddine, Gurram Dharmaiah, Jupudi Lakshmi Rama Prasad, Chagarlamudi Baby Rani, Kothuru Venkatadri, Djamel Ghernaout, Abderrahim Wakif, and Yacine Benguerba. 2023. "Analysis of a Ferromagnetic Nanofluid Saturating a Porous Medium with Nield’s Boundary Conditions" Mathematics 11, no. 22: 4579. https://doi.org/10.3390/math11224579
APA StyleElboughdiri, N., Dharmaiah, G., Prasad, J. L. R., Rani, C. B., Venkatadri, K., Ghernaout, D., Wakif, A., & Benguerba, Y. (2023). Analysis of a Ferromagnetic Nanofluid Saturating a Porous Medium with Nield’s Boundary Conditions. Mathematics, 11(22), 4579. https://doi.org/10.3390/math11224579

