Optimal Hysteresis Control via a Queuing System with Two Heterogeneous Energy-Consuming Servers
Abstract
:1. Introduction
1.1. Short Literature Overview
1.1.1. Single-Server Queues with Variable Service Rates
1.1.2. Multi-Server Queues with a Variable Number of Homogeneous Active Service Devices
1.1.3. Multi-Server Queues with a Variable Number of Heterogeneous Service Devices
1.1.4. Queuing Systems with Energy Consumption and Harvesting
1.1.5. Queuing Systems with Demand Impatience
1.2. Contributions of the Paper
1.3. Possible Applications of the Model
1.4. Structure of the Text
2. Mathematical Model
3. The Process Describing the Dynamics of the System and Its Generator
- is the number of demands in the buffer,
- is the number of e.u. in the stock,
- is the state of the underlying process of the of demands,
- is the state of the underlying process of the of e.u.,
- vector process defines the states of the underlying processes of service in the devices. We will distinguish four macro-states of the process : the first macro-state means that both service devices are idle; the second macro-state contains the states when the first service device is busy while the second service device is idle; the third macro-state contains the states when the second service device is busy while the first one is idle; and the fourth macro-state contains the states when both service devices are busy. Here, denotes the current state of the underlying process of service in the rth service device,
- is the elements’ number of the state space of the components of the
- ⊗ and ⊕ mean the operations of the Kronecker product and the sum for the matrices, see, e.g., [47];
- is the diagonal matrix with the diagonal entries given in the brackets;
- is equal to 1 if and equal to 0 if ;
- ;
- ;
- sub-generator of the formdescribing the rates of the vector process transition when all of its states are feasible and which do not cause service completions;
- matrix of the formdescribing the rates of the vector process transition when all of its states are feasible and which cause service completion in the first service device;
- matrix of the formdescribing the rates of the vector process transition when all of its states are feasible and which cause service completion in the second service device;
- matrix of the formdescribing the probabilities of the vector process transition when all of its states are feasible and service begins in the first service device;
- matrix of the formdescribing the probabilities of the vector process transition when all of its states are feasible and service begins in the second service device;
- matrices defining the transitions of the vector process when it transits from the group of the states consisting of r macro-states to the group of the states consisting of macro-states:
- matrices defining the transitions of the vector process when service by the second service device starts and the process transits from the group of the states consisting of r macro-states to the group of the states consisting of macro-states:
- matrices defining the transitions of the vector process when the first service device completes service and starts the new one and the process transits from the group of the states consisting of r macro-states to the group of the states consisting of macro-states:
- matrices defining the transitions of the vector process when service by the second service device finishes service and starts the new one and the process transits from the group of the states consisting of r macro-states to the group of the states consisting of macro-states:
- matrix defining the transitions of the vector process when service by the second service device finishes service and the new service does not start, so the process continues to stay in the group of the states consisting of two macro-states:
- square matrix of size has:the diagonal blocksthe sub-diagonal blocks given bythe up-diagonal blocks given byblocks given byblocks given by
- matrix has only diagonal blocks.If this matrix is defined byIf the formula is changed to
- Matrices are square matrices of size if and size ifMatrices are the block-tridiagonal ones. Their diagonal blocks are defined as follows.If then for allIf then for allIf then for , we havefor , we haveand for , we haveThe sub-diagonal blocks for are given byFor these blocks have the formThe up-diagonal blocks for have the following form:The blocks for are given by
- Matrix ’s non-zero blocks are already defined by the formulas above (when ) and it has the complementary non-zero blocks
- Matrices have the entries caused by the demands’ departure from the queue due to impatience and also non-zero blockswhich have different sizes and forms in the following three cases: , and The size is equal to for for , and forIn the case of the matrix is the sum of both the matrix and the matrix having the non-zero blocksdefined below:For there exist the blocksFor , blocks for are equal to zero.In the case of the matrix is the sum of both the matrix and the matrix having the non-zero blocksdefined below:Formulas for have different forms depending on the relation between the numbers , andIn the case of , the formula is:In the case of , we have the formula:Formulas for have the following form:As it was already stated above, the matrix is not square. Its size for is It is defined by the formula:where the matrix has the blocks given byand the matrix is defined as follows:Formulas for have different forms depending on the relation between the numbers andIn the case of , the formula is:In the case of , we have the formula:Formulas for have the following form:
- Matrix has different forms for various values of the threshold k: and Its form is not obtained from the above formula for via formal setting because level 0 of the chain has another cardinality than the other levels.In the case of the size of this matrix is and the matrix is equal to the sum of the matrix where the matrix has the blocks defined by the formulaand the matrix has the following non-zero blocks:Block is defined byBlocks are defined by the formulaIf the matrix of size is equal to the sum of the matrix whereand the matrix has the following non-zero blocks:Blocks are defined by the formula
- Matrix has different sizes and forms in the three cases: , and The size is equal to for for , and forIn the case of is the block diagonal matrix of size with the diagonal blocks defined byIn the case of it is the matrix of size , with the blocks defined byIn the case of matrix is a square matrix of size , with the diagonal blocks defined by
4. The Case of Absolutely Patient Demands—The Ergodicity Condition of the System and Its Stationary Distribution
5. The Case of Impatient Demands—The Ergodicity Condition of the System and Its Stationary Distribution
6. Performance Measures
7. Numerical Examples and Optimization Problem
7.1. Dependence of Performance Measures on Demands’ Arrival Rate for Different Values of e.u. Arrival Rate
7.2. Illustration of the Impact of Correlation in Arrival Processes of Demands and e.u.
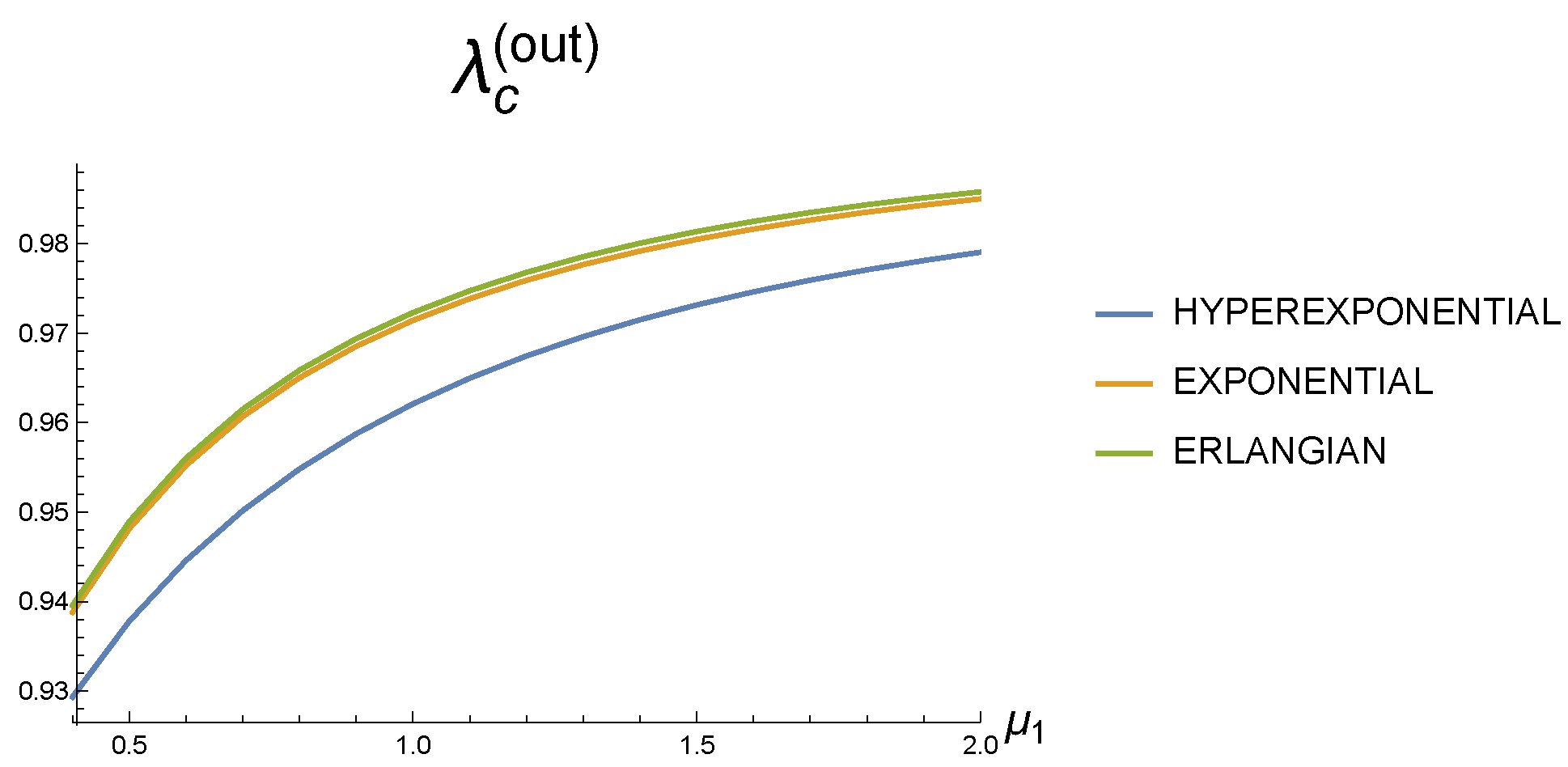
7.3. Illustration of the Effect of the First Service Device’s Coefficient of Variation in Service Time
7.4. Solution of Optimization Problem
8. Conclusions
Author Contributions
Funding
Data Availability Statement
Conflicts of Interest
Appendix A. Proof of Theorem 1
References
- Dudin, A. Optimal multithreshold control for a BMAP/G/1 queue with N service modes. Queueing Syst. 1998, 30, 273–287. [Google Scholar] [CrossRef]
- Gebhard, R. A queuing process with bilevel hysteretic service rate control. Nav. Res. Logist. Q. 1967, 14, 55–67. [Google Scholar] [CrossRef]
- Suzuki, T.; Ebe, M. Decision rules for the queueing system M/G/1 with service depending on queue-length. Mem. Def. Acad. (Jpn.) 1967, 7, 7–13. [Google Scholar]
- Tijms, H. On a switch-over policy for controlling the workload in a queueing system with two constant service rates and fixed switch-over costs. Z. Oper. Res. 1977, 21, 19–32. [Google Scholar] [CrossRef]
- Dudin, A. Optimal control for an Mx/G/1 queue with two operation modes. Probab. Eng. Inf. Sci. 1997, 11, 255–265. [Google Scholar] [CrossRef]
- Neuts, M.; Rao, B. On the design of a finite-capacity queue with phase-type service times and hysteretic control. Eur. J. Oper. Res. 1992, 62, 221–240. [Google Scholar] [CrossRef]
- Rao, B. Waiting times in an exponential queue with hysteretic service rate control: A numerical investigation. Queueing Model. Serv. Manag. 2022, 5, 1–25. [Google Scholar]
- Semenova, O. Optimal hysteresis control for BMAP/SM/1 queue with MAP-input of disasters. Qual. Technol. Quant. Manag. 2007, 4, 395–405. [Google Scholar] [CrossRef]
- Morrison, J. Two-server queue with one server idle below a threshold. Queueing Syst. 1990, 7, 325–336. [Google Scholar] [CrossRef]
- Ibe, O.; Keilson, J. Multi-server threshold queues with hysteresis. Performance Evaluation. Perform. Eval. 1995, 21, 185–213. [Google Scholar] [CrossRef]
- Lui, J.; Golubchik, L. Stochastic complement analysis of multi-server threshold queues with hysteresis. Perform. Eval. 1999, 35, 19–48. [Google Scholar] [CrossRef]
- Kim, C.; Dudin, A.; Dudin, S.; Dudina, O. Hysteresis control by the number of active servers in queueing system MMAP/PH/N with priority service. Perform. Eval. 2016, 101, 20–33. [Google Scholar] [CrossRef]
- Dudin, A.; Dudin, S.; Manzo, R.; Rarità, L. Analysis of multi-server priority queueing system with hysteresis strategy of servers reservation and retrials. Mathematics 2022, 10, 3747. [Google Scholar] [CrossRef]
- Larsen, R.; Agrawala, A. Control of a heterogeneous two-server exponential queueing system. IEEE Trans. Softw. Eng. 1983, 4, 522–526. [Google Scholar] [CrossRef]
- Lin, W.; Kumar, P. Optimal control of a queueing system with two heterogeneous servers. IEEE Trans. Autom. Contr. 1984, 29, 696–703. [Google Scholar] [CrossRef]
- Nobel, R.; Tijms, H. Optimal control of a queueing system with heterogeneous servers and setup costs. IEEE T. Automat. Control 2000, 45, 780–784. [Google Scholar] [CrossRef]
- Rykov, V.; Efrosinin, D. Optimal control of queueing systems with heterogeneous servers. Queueing Syst. 2004, 46, 389–407. [Google Scholar] [CrossRef]
- Efrosinin, D.; Breuer, L. Threshold policies for controlled retrial queues with heterogeneous servers. Ann. Oper. Res. 2006, 141, 139–162. [Google Scholar] [CrossRef]
- Efrosinin, D.; Stepanova, N. Optimal open-loop routing and threshold-based allocation in two parallel queueing systems with heterogeneous servers. Mathematics 2021, 9, 2766. [Google Scholar] [CrossRef]
- Efrosinin, D.; Kochetkova, I.; Samouylov, K.; Stepanova, N. Algorithmic Analysis of a Two-Class Multi-server Heterogeneous Queueing System with a Controllable Cross-Connectivity. In Proceedings of the Analytical and Stochastic Modelling Techniques and Applications. ASMTA 2019. Lecture Notes in Computer Science, Moscow, Russia, 21–25 October 2019; Gribaudo, M., Sopin, E., Kochetkova, I., Eds.; Springer: Cham, Switzerland, 2020. [Google Scholar]
- Efrosinin, D.; Stepanova, N. On Optimal Control Policy of MAP(t)/M/2 Queueing System with Heterogeneous Servers and Periodic Arrival Process. In Proceedings of the Distributed Computer and Communication Networks. Lecture Notes in Computer Science, Moscow, Russia, 23–27 September 2019; Vishnevskiy, V., Samouylov, K., Kozyrev, D., Eds.; Springer: Cham, Switzerland, 2021. Chapter 11965. [Google Scholar]
- Le Ny, L.; Tuffin, B. A Simple Analysis of Heterogeneous Multi-Server Threshold Queues with Hysteresis; IRISA: Sonoma, CA, USA, 2000. [Google Scholar]
- Ulukus, S.; Yener, A.; Erkip, E.; Simeone, O.; Zorzi, M.; Grover, P.; Huang, K. Energy harvesting wireless communications: A review of recent advances. IEEE J. Sel. Areas Commun. 2015, 33, 360–381. [Google Scholar] [CrossRef]
- Wu, S.; Shin, Y.; Kim, J.; Kim, D. Probability of packet loss in energy harvesting nodes with cognitive radio capabilities. IEEE Commun. Lett. 2016, 20, 978–981. [Google Scholar] [CrossRef]
- De Cuypere, E.; De Turck, K.; Fiems, D. A queueing model of an energy harvesting sensor node with data buffering. Telecommun. Syst. 2018, 67, 281–295. [Google Scholar] [CrossRef]
- Gelenbe, E. Synchronising energy harvesting and data packets in a wireless sensor. Energies 2015, 8, 365–369. [Google Scholar] [CrossRef]
- Gelenbe, E.; Kadioglu, Y. Energy Loss through Standby and Leakage in Energy Harvesting Wireless Sensors. In Proceedings of the 20th International Workshop on Computer Aided Modelling and Design of Communication Links and Networks (CAMAD), Guildford, UK, 7–9 September 2015. [Google Scholar]
- Patil, K.; De Turck, K.; Fiems, D. A two-queue model for optimising the value of information in energy-harvesting sensor networks. Perform. Eval. 2018, 119, 27–42. [Google Scholar] [CrossRef]
- Dudin, S.; Lee, M. Analysis of single-server queue with phasetype service and energy harvesting. Mathematical Problems in Engineering. Math. Probl. Eng. 2016, 2016, 8142743. [Google Scholar] [CrossRef]
- Krishnamoorthy, A.; Shajin, D.; Viswanath, C. Inventory with Positive Service Time: A Survey. In Queueing Theory 2: Advanced Trends; Anisimov, V., Limnios, N., Eds.; Wiley: London, UK, 2021; Chapter 6. [Google Scholar]
- Krishnamoorthy, A.; Lakshmy, B.; Manikandan, R. A survey on inventory models with positive service time. Opsearch 2011, 48, 153–169. [Google Scholar] [CrossRef]
- Melikov, A.; Molchanov, A. Stock optimization in transportation/storage systems. Cybern. Syst. Anal. 1992, 28, 484–487. [Google Scholar] [CrossRef]
- Kim, C.; Dudin, S.; Dudin, A.; Samouylov, K. Multi-threshold control by a single-server queuing model with a service rate depending on the amount of harvested energy. Perform. Eval. 2018, 127, 1–20. [Google Scholar] [CrossRef]
- Swensen, A. Remaining loads in a PH/M/c queue with impatient customers. Methodol. Comput. Appl. 2023, 25, 25. [Google Scholar] [CrossRef]
- Liu, H.; Li, Q. Matched Queues with Flexible and Impatient Customers. Methodol. Comput. Appl. 2023, 25, 4. [Google Scholar] [CrossRef]
- Bassamboo, A.; Randhawa, R.; Wu, C. Optimally scheduling heterogeneous impatient customers. Manuf. Serv. Oper. Manag. 2023, 25, 811–1208. [Google Scholar] [CrossRef]
- Satin, Y.; Razumchik, R.; Kovalev, I.; Zeifman, A. Ergodicity and related bounds for one particular class of Markovian time—Varying queues with heterogeneous servers and customer’s impatience. Mathematics 2023, 11, 1979. [Google Scholar] [CrossRef]
- Heng-li, L.; Quan-lin, L.I. Performance analysis of a MAP/PH/1 queueing system with impatient customers. J. Syst. Sci. Math. Sci. 2023, 43, 1819–1836. [Google Scholar]
- D’Arienzo, M.; Dudin, A.; Dudin, S.; Manzo, R. Analysis of a retrial queue with group service of impatient customers. J. Ambient Intell. Humaniz. Comput. 2019, 11, 2591–2599. [Google Scholar] [CrossRef]
- Neuts, M. Matrix-Geometric Solutions in Stochastic Models: An Algorithmic Approach; Courier Corporation: Chelmsford, MA, USA, 1994. [Google Scholar]
- Neuts, M. Structured Stochastic Matrices of M/G/1 Type and Their Applications; Marcel Dekker: New York, NY, USA, 1989. [Google Scholar]
- Asmussen, S. Applied Probability and Queues; Springer: New York, NY, USA, 2003; Volume 2. [Google Scholar]
- Lucantoni, D. New results on the single server queue with a batch Markovian arrival process. Commun. Stat. 1991, 7, 1–46. [Google Scholar] [CrossRef]
- Chakravarthy, S. Introduction to MatrixAnalytic Methods in Queues 1: Analytical and Simulation Approach—Basics; ISTE Ltd.: London, UK; John Wiley and Sons: New York, NY, USA, 2022. [Google Scholar]
- Chakravarthy, S. Introduction to Matrix-Analytic Methods in Queues 2: Analytical and Simulation Approach—Queues and Simulation; ISTE Ltd.: London, UK; John Wiley and Sons: New York, NY, USA, 2022. [Google Scholar]
- Chakravarthy, S. The batch Markovian Arrival Process: A Review and Future Work. In Advances in Probability Theory and Stochastic Processes; Krishnamoorthy, A., Ed.; Notable Publications, Inc.: Branchburg, NJ, USA, 2001; Chapter 10; pp. 21–49. [Google Scholar]
- Graham, A. Kronecker Products and Matrix Calculus with Applications; Ellis Horwood: Chichester, UK, 1981. [Google Scholar]
- Klimenok, V.; Dudin, A. Multi-dimensional asymptotically quasi-Toeplitz Markov chains and their application in queueing theory. Queueing Syst. 2006, 54, 245–259. [Google Scholar] [CrossRef]
- Horn, R.; Johnson, C. Topics in Matrix Analysis; Cambridge University Press: Cambridge, UK, 1991. [Google Scholar]
- Neuts, M.; Rao, B.M. Numerical investigation of a multiserver retrial model. Queueing Syst. 1990, 7, 169–189. [Google Scholar] [CrossRef]
- Dudin, S.; Dudina, O. Retrial multi-server queuing system with PHF service time distribution as a model of a channel with unreliable transmission of information. Appl. Math. Model. 2019, 65, 676–695. [Google Scholar] [CrossRef]
- D’Apice, C.; Dudin, A.; Dudin, S.; Manzo, R. Priority queueing system with many types of requests and restricted processor sharing. J. Ambient Intell. Humaniz. Comput. 2023, 14, 12651–12662. [Google Scholar] [CrossRef]
- Dudin, A.; Manzo, R.; Piscopo, R. Single server retrial queue with group admission of customers. Comput. Oper. Res. 2015, 61, 89–99. [Google Scholar] [CrossRef]













Disclaimer/Publisher’s Note: The statements, opinions and data contained in all publications are solely those of the individual author(s) and contributor(s) and not of MDPI and/or the editor(s). MDPI and/or the editor(s) disclaim responsibility for any injury to people or property resulting from any ideas, methods, instructions or products referred to in the content. |
© 2023 by the authors. Licensee MDPI, Basel, Switzerland. This article is an open access article distributed under the terms and conditions of the Creative Commons Attribution (CC BY) license (https://creativecommons.org/licenses/by/4.0/).
Share and Cite
D’Apice, C.; D’Arienzo, M.P.; Dudin, A.; Manzo, R. Optimal Hysteresis Control via a Queuing System with Two Heterogeneous Energy-Consuming Servers. Mathematics 2023, 11, 4515. https://doi.org/10.3390/math11214515
D’Apice C, D’Arienzo MP, Dudin A, Manzo R. Optimal Hysteresis Control via a Queuing System with Two Heterogeneous Energy-Consuming Servers. Mathematics. 2023; 11(21):4515. https://doi.org/10.3390/math11214515
Chicago/Turabian StyleD’Apice, Ciro, Maria Pia D’Arienzo, Alexander Dudin, and Rosanna Manzo. 2023. "Optimal Hysteresis Control via a Queuing System with Two Heterogeneous Energy-Consuming Servers" Mathematics 11, no. 21: 4515. https://doi.org/10.3390/math11214515
APA StyleD’Apice, C., D’Arienzo, M. P., Dudin, A., & Manzo, R. (2023). Optimal Hysteresis Control via a Queuing System with Two Heterogeneous Energy-Consuming Servers. Mathematics, 11(21), 4515. https://doi.org/10.3390/math11214515

