Customer Segmentation as a Revenue Generator for Profit Purposes
Abstract
:1. Introduction
1.1. Price Changes during Product Introduction to the Market
1.2. Market Segmentation
2. Literature Review
2.1. The Importance of Market Segmentation
2.2. Types of Market Segmentation
- Geographic characteristics are the original criteria upon which segmentation is based, as discussed by Lewis et al. [45] and Tynan and Drayton [38]. Typically, when geographic segmentation is used, the consumer’s location (residence) serves as the only criterion to form market segments. The key advantage of geographic segmentation is that each consumer can easily be assigned to a geographic unit. The critical disadvantage is that living in the same area does not necessarily mean sharing other characteristics relevant to marketers, such as cultural backgrounds [46] and benefits sought when purchasing a product.
- Socio-demographic characteristics [47,48,49], such as age, gender, income, and education, are additional criteria for segmentation. As with geographic segmentation, socio-demographic categories can easily be determined for every consumer. In some instances, the socio-demographic criterion may also explain specific product preferences. However, in many instances, the socio-demographic criterion is not the cause for product preferences and does not provide sufficient market insight for optimal segmentation decisions.
- A third group of criteria are psychographic characteristics, which include beliefs, interests, preferences, aspirations, or benefits sought when purchasing a product [50]. The segmentation of health-care consumers is based on psychological determinants of subjective health and other person-related variables. Haley [31] explains that the word “psychographics” was intended as an umbrella term to cover all measures of the mind (p. 7). Lifestyle segmentation, another popular psychographic approach [51], is based on people’s activities, opinions, and interests.
2.3. Loyal Customers vs. Price-Sensitive, Deal-Prone Consumers
2.4. Price-Sensitive, Deal-Prone Consumers
3. The Model
3.1. Case 1: Discrimination
3.2. Case 2: Segmentation
4. Findings
4.1. Case 1 Conclusions
- A larger value of parameter H correlates with a more positive inclination among loyal customers towards purchasing the product. This increased inclination is associated with a willingness to pay a higher price and a greater tolerance for price differences compared to deal-prone consumers.
- A higher value of parameter L leads to a more positive attitude among deal-prone customers towards purchasing the product. This predisposition encompasses a willingness to pay a higher price but with a diminished tolerance for price discrepancies compared to loyal consumers.
- An increase in parameter α, indicating a greater sensitivity to price changes, results in the reduced purchases of the product by loyal customers and a decrease in overall aggregate purchases.
- A higher value of parameter γ exerts no discernible impact on loyal customers. However, it does lead to a reduction in the number of deal-prone customers and a decrease in the overall customer count.
- A higher level of parameter C1 reduces the number of both loyal customers and deal-prone users.
4.2. Case 2 Conclusions
- A larger value of parameter H, which represents a larger positive attitude toward purchases of the product by loyal customers, leads to an increase in the externality effect on deal-prone customers. Therefore, the number of deal-prone customers increases and more deal-prone customers purchase the product.
- As a result of proposition 1 above, the increase in H leads to a longer period of purchase by loyal customers and a shorter period of purchase by deal-prone customers.
- An increase in parameter , which indicates a larger sensitivity of quantity purchased due to price changes, leads to a decrease in the usage time period of loyal customers as well as of deal-prone customers.
- 4.
- The effect of an increased parameter β on the number of deal-prone users is complex. It is positive for lower α and C2 values but turns negative for higher α and C2 values.
- 5.
- A larger value of parameter has no effect on loyal customers. However, a larger decreases the number of deal-prone customers, shortens the purchase period of the product, and reduces the deal-prone purchases.
- 6.
- A higher level of parameter shrinks the number of loyal customers due to externalities. It shrinks the number of deal-prone users as well as their purchase period.
4.3. Comparative Analysis of Case 1 and Case 2
- The price loyal customers are charged is higher in the case of segmentation (case 2) in contrast to the price they are charged in the case of discrimination (case 1).
- The price deal-prone customers are charged is higher in the case of discrimination if H >> L and α < γ.
- The discount given to deal-prone customers is higher if H and α are high and L, β, γ, and are low.
- 4.
- The number of sales to loyal customers in the discrimination case is higher than in the segmentation case.
- 5.
- The number of sales to deal-prone customers is higher in the segmentation case when H >> L and α is low.
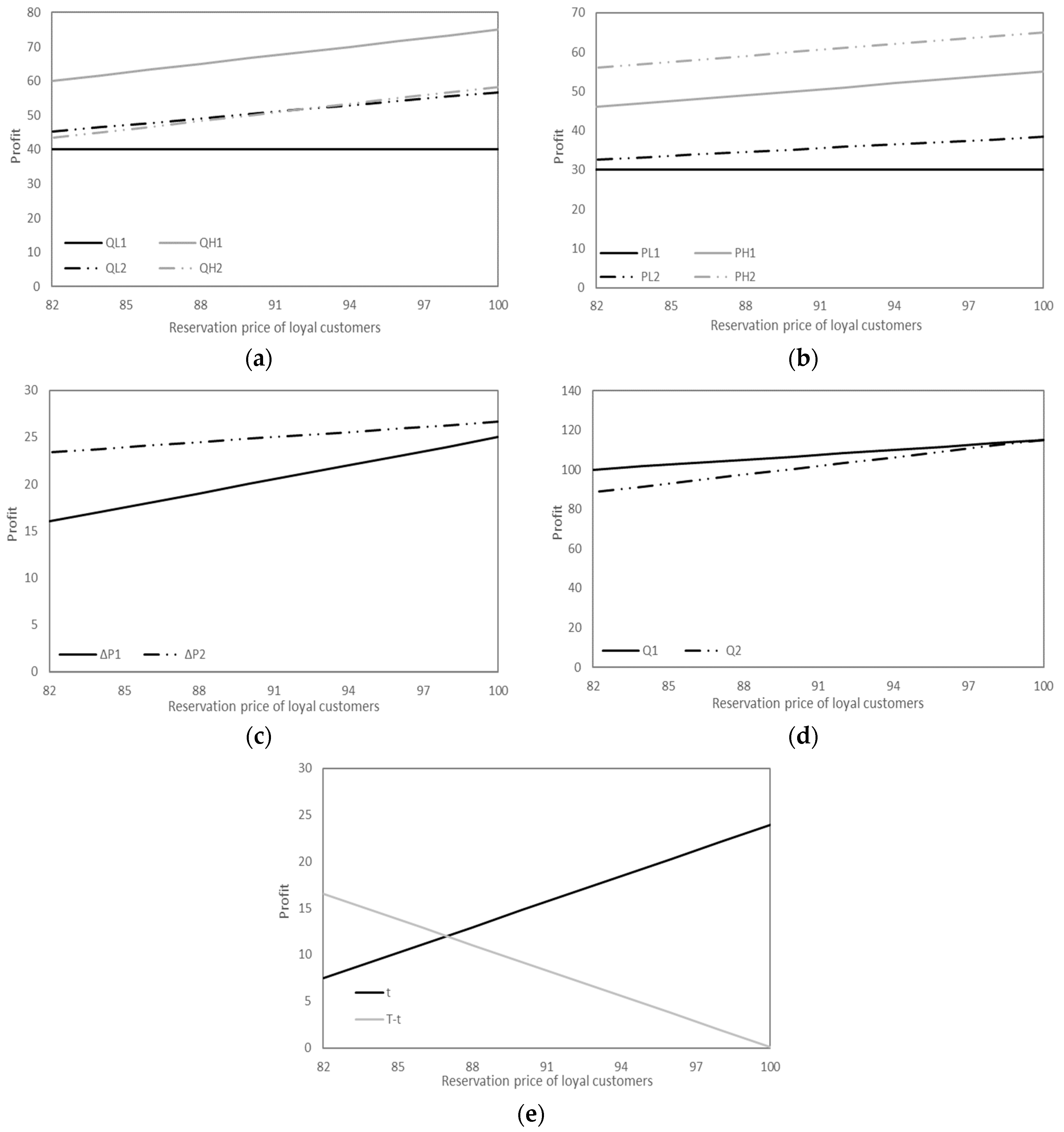
5. A Practical Numerical Example
6. Conclusions and Implications
Author Contributions
Funding
Data Availability Statement
Conflicts of Interest
References
- Spann, M.; Fischer, M.; Tellis, G.J. Skimming or Penetration? Strategic Dynamic Pricing for New Products. Mark. Sci. 2015, 34, 235–249. [Google Scholar] [CrossRef]
- Raju, J.S.; Srinivasan, V.; Lal, R. The effects of brand loyalty on competitive price promotional strategies. Manag. Sci. 1990, 36, 276–304. [Google Scholar] [CrossRef]
- Kotler, P.; Armstrong, G.M. Marketing Mix: Selected Chapters From: Principles of Marketing, Philip Kotler and Gary Armstrong; Pearson: London, UK, 2018. [Google Scholar]
- Morton, C.; Anable, J.; Nelson, J.D. Consumer structure in the emerging market for electric vehicles: Identifying market segments using cluster analysis. Int. J. Sustain. Transp. 2017, 11, 443–459. [Google Scholar] [CrossRef]
- Liao, F.; Molin, E.; van Wee, B. Consumer preferences for electric vehicles: A literature review. Transp. Rev. 2017, 37, 252–275. [Google Scholar] [CrossRef]
- Thomas, V.J.; Maine, E. Market entry strategies for electric vehicle start-ups in the auto-motive industry–Lessons from Tesla Motors. J. Clean. Prod. 2019, 235, 653–663. [Google Scholar] [CrossRef]
- Long, Z.; Axsen, J.; Miller, I.; Kormos, C. What does Tesla mean to car buyers? Exploring the role of automotive brand in perceptions of battery electric vehicles. Transp. Res. Part A Policy Pract. 2019, 129, 185–204. [Google Scholar] [CrossRef]
- Rezvani, Z.; Jansson, J.; Bodin, J. Advances in consumer electric vehicle adoption research: A review and research agenda. Transp. Res. Part D Transp. Environ. 2015, 34, 122–136. [Google Scholar] [CrossRef]
- Rezvani, Z.; Jansson, J.; Bengtsson, M. Cause I’ll Feel Good! An investigation into the effects of anticipated emotions and personal moral norms on consumer pro-environmental behaviour. J. Promot. Manag. 2017, 23, 163–183. [Google Scholar] [CrossRef]
- Rezvani, Z.; Jansson, J.; Bengtsson, M. Consumer motivations for sustainable consumption: The interaction of gain, normative and hedonic motivations on electric vehicle adoption. Bus. Strat. Environ. 2018, 27, 1272–1283. [Google Scholar] [CrossRef]
- Hidrue, M.K.; Parsons, G.R.; Kempton, W.; Gardner, M.P. Willingness to pay for electric vehicles and their attributes. Resour. Energy Econ. 2011, 33, 686–705. [Google Scholar] [CrossRef]
- Krass, D.; Nedorezov, T.; Ovchinnikov, A. Environmental Taxes and the Choice of Green Technology. Prod. Oper. Manag. 2013, 22, 1035–1055. [Google Scholar] [CrossRef]
- Luo, C.; Leng, M.; Huang, J.; Liang, L. Supply chain analysis under a price-discount incentive scheme for electric vehicles. Eur. J. Oper. Res. 2014, 235, 329–333. [Google Scholar] [CrossRef]
- Lim, M.K.; Mak, H.-Y.; Rong, Y. Toward Mass Adoption of Electric Vehicles: Impact of the Range and Resale Anxieties. Manuf. Serv. Oper. Manag. 2015, 17, 101–119. [Google Scholar] [CrossRef]
- Gong, S.; Ardeshiri, A.; Rashidi, T.H. Impact of government incentives on the market penetration of electric vehicles in Australia. Transp. Res. Part D Transp. Environ. 2020, 83, 102353. [Google Scholar] [CrossRef]
- Shao, L.; Yang, J.; Zhang, M. Subsidy scheme or price discount scheme? Mass adoption of electric vehicles under different market structures. Eur. J. Oper. Res. 2017, 262, 1181–1195. [Google Scholar] [CrossRef]
- Izquierdo-Yusta, A.; Gómez-Cantó, M.G.; Pelegrin-Borondo, J.; Martínez-Ruiz, M.P. Consumers’ behaviour in fast-food restaurants: A food value perspective from Spain. Br. Food J. 2019, 121, 386–399. [Google Scholar] [CrossRef]
- Oyewole, P. Fast food marketing and the African American consumers: The impact of so-cio-economic and demographic characteristics. J. Int. Consum. Mark. 2007, 19, 75–108. [Google Scholar] [CrossRef]
- Rina, R.I.; Manohari, G.M.; Leena, R.P. An Empirical Study on Consumer behavior and market Segmentation among Children towards fast food in Coimbatore District. Asian J. Manag. 2019, 10, 357–362. [Google Scholar] [CrossRef]
- Xiao, A.; Yang, S.; Iqbal, Q. Factors Affecting Purchase Intentions in Generation Y: An Empirical Evidence from Fast Food Industry in Malaysia. Adm. Sci. 2018, 9, 4. [Google Scholar] [CrossRef]
- Anand, R. A study of determinants impacting consumers food choice with reference to the fast food consumption in India. Soc. Bus. Rev. 2011, 6, 176–187. [Google Scholar] [CrossRef]
- Jafari Momtaz, N.; Alizadeh, S.; Sharif Vaghefi, M. A new model for assessment fast food customer behavior case study: An Iranian fast-food restaurant. Br. Food J. 2013, 115, 601–613. [Google Scholar] [CrossRef]
- Datta, Y. A critique of Porter’s cost leadership and differentiation strategies. Chin. Bus. Rev. 2010, 9, 37. [Google Scholar]
- Yu, C.-M.J.; Wu, L.-Y.; Chiao, Y.-C.; Tai, H.-S. Perceived quality, customer satisfaction, and customer loyalty: The case of lexus in Taiwan. Total. Qual. Manag. Bus. Excel. 2005, 16, 707–719. [Google Scholar] [CrossRef]
- Roy, S.; Goswami, P. Structural equation modeling of value-psychographic trait-clothing purchase behavior: A study on the urban college-goers of India. Young Consum. 2007, 8, 269–277. [Google Scholar] [CrossRef]
- Dahana, W.D.; Miwa, Y.; Morisada, M. Linking lifestyle to customer lifetime value: An exploratory study in an online fashion retail market. J. Bus. Res. 2019, 99, 319–331. [Google Scholar] [CrossRef]
- Gao, L.; Norton, M.J.; Zhang, Z.M.; Kin-man To, C. Potential niche markets for luxury fashion goods in China. J. Fash. Mark. Manag. Int. J. 2009, 13, 514–526. [Google Scholar]
- Anojan, V.; Subaskaran, T. Consumer’s preference and consumer’s buying behavior on soft drinks: A case study in Northern Province of Sri Lanka. Glob. J. Manag. Bus. Res. 2015, 15, 11–33. [Google Scholar]
- Nadanyiova, M.; Kliestikova, J.; Kolencik, J. Sensory Marketing from the Perspective of a Support Tool for Building Brand Value. Econ. Cult. 2018, 15, 96–104. [Google Scholar] [CrossRef]
- Smith, W.R. Product differentiation and market segmentation as alternative marketing strategies. J. Mark. 1956, 21, 3–8. [Google Scholar] [CrossRef]
- Haley, R.I. Developing Effective Communications Strategy: A Benefit Segmentation Approach; Ronald Press: San Francisco, CA, USA, 1985; Volume 21. [Google Scholar]
- Schlegelmilch, B.B. Segmenting targeting and positioning in global markets. In Global Marketing Strategy; Springer: Cham, Switzerland, 2022; pp. 129–159. [Google Scholar]
- Nezampour, M.; Rojuee, M.; Jafari Titkanloo, S. Market Segmentation of Nuts and Dried Fruits Based on Customers Expected Values Using DBSCAN Algorithm. Commer. Surv. 2022, 19, 45–68. [Google Scholar]
- Farris, P.W.; Buzzell, R.D. Why advertising and promotional costs vary: Some cross-sectional analyses. J. Mark. 1979, 43, 112–122. [Google Scholar] [CrossRef]
- Kotler, P.; Armstrong, G.; Armstrong, G.M. Principles of Marketing; Pearson Education India: New Delhi, India, 2010. [Google Scholar]
- Wind, Y.; Cardozo, R.N. Industrial market segmentation. Ind. Mark. Manag. 1974, 3, 153–165. [Google Scholar] [CrossRef]
- Hooley, G.J.; Saunders, J.A.; Piercy, N.F. Marketing Strategy and Competitive Positioning; This book delves into market segmentation within the context of marketing strategy, illustrating its importance in creating a competitive advantage; Pearson Education: London, UK, 2004. [Google Scholar]
- Tynan, A.C.; Drayton, J. Market segmentation. J. Mark. Manag. 1987, 2, 301–335. [Google Scholar] [CrossRef]
- Wells, W.D. Psychographics: A critical review. J. Mark. Res. 1975, 12, 196–213. [Google Scholar] [CrossRef]
- Çınar, K.; Yetimoğlu, S.; Uğurlu, K. The Role of Market Segmentation and Target Marketing Strategies to Increase Occupancy Rates and Sales Opportunities. In Strategic Innovative Marketing and Tourism: 8th ICSIMAT, Northern Aegean, Greece, 2019; Springer International Publishing: Berlin/Heidelberg, Germany, 2020. [Google Scholar]
- Schiffman, L.G.; Kanuk, L.L. Consumer Behavior, 8th ed.; Pearson Education: New Delhi, India, 2004. [Google Scholar]
- Dibb, S.; Simkin, L. Market Segmentation Success: Making it Happen! Routledge: Abingdon-on-Thames, UK, 2008. [Google Scholar]
- Wedel, M.; Kamakura, W.A. Market Segmentation: Conceptual and Methodological Foundations; Springer Science & Business Media: Berlin/Heidelberg, Germany, 2000. [Google Scholar]
- McDonald, M. Existentialism—A school of thought based on a conception of the absurdity of the universe. Int. J. Mark. Res. 2010, 52, 427–430. [Google Scholar] [CrossRef]
- Lewis, R.C.; Chambers, R.E.; Chacko, H.E. Marketing Leadership in Hospitality: Foundations and Practices; Van Nostrand Reinhold: New York, NY, USA, 1995. [Google Scholar]
- Steenkamp, J.B.E.; Ter Hofstede, F. International market segmentation: Issues and perspectives. Int. J. Res. Mark. 2002, 19, 185–213. [Google Scholar] [CrossRef]
- Gazquez-Abad, J.C.; Sanchez-Perez, M. Characterising the deal-proneness of con-sumers by analysis of price sensitivity and brand loyalty: An analysis in the retail environment. Int. Rev. Retail. Distrib. Consum. Res. 2009, 19, 1–28. [Google Scholar]
- Carvache-Franco, M.; Carvache-Franco, W.; Carvache-Franco, O.; Hernández-Lara, A.B.; Buele, C.V. Segmentation, motivation, and sociodemographic aspects of tourist demand in a coastal marine destination: A case study in Manta (Ecuador). Curr. Issues Tour. 2020, 23, 1234–1247. [Google Scholar] [CrossRef]
- Menor-Campos, A.; Jiménez, P.A.F.; Romero-Montoya, M.E.; López-Guzmán, T. Segmentation and sociodemographic profile of heritage tourist. Tour. Hosp. Manag. 2020, 26, 115–132. [Google Scholar] [CrossRef]
- Bloem, S.; Stalpers, J.; Groenland, E.A.G.; van Montfort, K.; van Raaij, W.F.; de Rooij, K. Segmentation of health-care consumers: Psychological determinants of subjective health and other person-related variables. BMC Health Serv. Res. 2020, 20, 726. [Google Scholar] [CrossRef]
- Cahill, D.J. Lifestyle Market Segmentation; Haworth Press: New York, NY, USA, 2006. [Google Scholar]
- Moscardo, G.; Pearce, P.; Morrison, A. Evaluating different bases for market segmentation. J. Travel Tour. Mark. 2001, 10, 29–49. [Google Scholar] [CrossRef]
- Tsai, C.Y.; Chiu, C.C. A purchase-based market segmentation methodology. Exp. Syst. Appl. 2004, 27, 265–276. [Google Scholar] [CrossRef]
- Heilman, C.M.; Bowman, D. Segmenting consumers using multiple-category purchase data. Int. J. Res. Mark. 2002, 19, 225–252. [Google Scholar] [CrossRef]
- Horvat, S.; Došen, O. Managing Private Labels Based on Psychographic Consumer Segments: Emerging European Market Perspective. Organ. Mark. Emerg. Econ. 2020, 11, 461–466. [Google Scholar] [CrossRef]
- Massy, W.F.; Frank, R.E. Short term price and dealing effects in selected market segments. J. Mark. Res. 1965, 2, 171–185. [Google Scholar] [CrossRef]
- Wakefield, K.L.; Barnes, J.H. Retailing hedonic consumption: A model of sales promotion of a leisure service. J. Retail. 1997, 72, 409–427. [Google Scholar] [CrossRef]
- Cengiz, H.; Akdemir-Cengiz, H. Review of brand loyalty literature: 2001–2015. J. Res. Mark. 2016, 6, 407–434. [Google Scholar] [CrossRef]
- Bowen, J.T.; Chen, S.L. The relationship between customer loyalty and customer satisfaction. Int. J. Contemp. Hosp. Manag. 2001, 13, 213–217. [Google Scholar] [CrossRef]
- Rundle-Thiele, S.; Bennett, R. A brand for all seasons? A discussion of brand loyalty approaches and their applicability for different markets. J. Prod. Brand Manag. 2001, 10, 25–37. [Google Scholar] [CrossRef]
- Back, K.-J.; Parks, S.C. A Brand Loyalty Model Involving Cognitive, Affective, and Conative Brand Loyalty and Customer Satisfaction. J. Hosp. Tour. Res. 2003, 27, 419–435. [Google Scholar] [CrossRef]
- Worthington, S.; Russell-Bennett, R.; Härtel, C. A tri-dimensional approach for auditing brand loyalty. J. Brand Manag. 2010, 17, 243–253. [Google Scholar] [CrossRef]
- Jacoby, J. Brand loyalty: A conceptual definition. In Proceedings of the Annual Convention of the American Psychological Association. Proc. Annu. Conv. Am. Psychol. Assoc. 1971, 6 Pt 2, 655–656. [Google Scholar]
- Jarvis, L.P.; Wilcox, J.B. Repeat purchasing behavior and attitudinal brand loyalty: Additional evidence. Marketing 1776, 1976, 151–152. [Google Scholar]
- McCann, J.M. Market segment response to the marketing decision variables. J. Mark. Res. 1974, 11, 399–412. [Google Scholar] [CrossRef]
- Neslin, S.A.; Henderson, C.; Quelch, J. Consumer Promotions and the Acceleration of Product Purchases. Mark. Sci. 1985, 4, 147–165. [Google Scholar] [CrossRef]
- Krishnamurthi, L.; Raj, S.P. A model of brand choice and purchase quantity price sensitivities. Mark. Sci. 1988, 7, 1–20. [Google Scholar] [CrossRef]
- Krishnamurthi, L.; Raj, S.P. An Empirical Analysis of the Relationship Between Brand Loyalty and Consumer Price Elasticity. Mark. Sci. 1991, 10, 172–183. [Google Scholar] [CrossRef]
- Krishnamurthi, L.; Papatla, P. Accounting for heterogeneity and dynamics in the loyalty–price sensitivity relationship. J. Retail. 2003, 79, 121–135. [Google Scholar] [CrossRef]
- Kumar, S.R.; Advani, J.Y. Factories affecting brand loyalty-A study in a emerging market on fast moving goods. J. Cust. Behav. 2005, 4, 251–275. [Google Scholar] [CrossRef]
- Blattberg, R. ; Neslin. S. Sales Promotion: Concepts, Methods and Strategies; Prentice Hall: Englewood Cliffs, NJ, USA, 1990. [Google Scholar]
- Dodson, J.A.; Tybout, A.M.; Sternthal, B. The Effect of Deals and Deal Retraction on Brand Switching; ACR North American Advances: San Francisco, CA, USA, 1977. [Google Scholar]
- Lichtenstein, D.R.; Burton, S.; Netemeyer, R.G. An examination of deal proneness across sales promotion types: A consumer segmentation perspective. J. Retail. 1997, 73, 283–297. [Google Scholar] [CrossRef]
- Laroche, M.; Pons, F.; Zgolli, N.; Cervellon, M.-C.; Kim, C. A model of consumer response to two retail sales promotion techniques. J. Bus. Res. 2003, 56, 513–522. [Google Scholar] [CrossRef]
- Lim, J.; Currim, I.S.; Andrews, R.L. Consumer heterogeneity in the longer-term effects of price promotions. Int. J. Res. Mark. 2005, 22, 441–457. [Google Scholar] [CrossRef]
- Webster, F.E., Jr. The “deal-prone” consumer. J. Mark. Res. 1965, 2, 186–189. [Google Scholar]
- Bawa, K.; Shoemaker, R.W. The coupon-prone consumer: Some findings based on purchase behavior across product classes. J. Mark. 1987, 51, 99–110. [Google Scholar] [CrossRef]
- Wakefield, K.L.; Inman, J. Situational price sensitivity: The role of consumption occasion, social context and income. J. Retail. 2003, 79, 199–212. [Google Scholar] [CrossRef]
- Walters, R.G.; Jamil, M. Exploring the relationships between shopping trip type, purchases of products on promotion, and shopping basket profit. J. Bus. Res. 2003, 56, 17–29. [Google Scholar] [CrossRef]
- Martínez, E.; Montaner, T. The effect of consumer’s psychographic variables upon deal-proneness. J. Retail. Consum. Serv. 2006, 13, 157–168. [Google Scholar] [CrossRef]
- Özkan, P.E.; Evrim, D. The mediating role of price sensitivity in the effect of trust and loyalty to luxury brands on the brand preference. Управленец 2020, 11, 70–84. [Google Scholar]
- Joseph, J.; Sivakumaran, B.; Mathew, S. Does Loyalty Matter? Impact of Brand Loyalty and Sales Promotion on Brand Equity. J. Promot. Manag. 2020, 26, 524–543. [Google Scholar] [CrossRef]
- Buil, I.; de Chernatony, L.; Martínez, E. Examining the role of advertising and sales promotions in brand equity creation. J. Bus. Res. 2013, 66, 115–122. [Google Scholar] [CrossRef]
- Montaner, T.; de Chernatony, L.; Buil, I. Consumer response to gift promotions. J. Prod. Brand Manag. 2011, 20, 101–110. [Google Scholar] [CrossRef]
- Allender, W.J.; Richards, T.J. Brand Loyalty and Price Promotion Strategies: An Empirical Analysis. J. Retail. 2012, 88, 323–342. [Google Scholar] [CrossRef]
- Yoon, K.; Tran, T.V. Revisiting the Relationship Between Consumer Loyalty and Price Sensitivity: The Moderating Role of Deal-Proneness. J. Mark. Theory Pract. 2011, 19, 293–306. [Google Scholar] [CrossRef]
- Ailawadi, K.L.; Scott, A.; Neslin, S.; Gedenk, K. Pursuing the Value-Conscious Consumer: Store Brands Versus National Brand Performance. J. Mark. 2001, 65, 71–89. [Google Scholar] [CrossRef]
- McAlister, L. The Impact of Price Promotions on a Brand’s Market Share, Sales Pattern and Profitability; Report no. 86–110; Marketing Science Institute: Cambridge, MA, USA, 1986. [Google Scholar]
- Asadi, S.; Nilashi, M.; Samad, S.; Abdullah, R.; Mahmoud, M.; Alkinani, M.H.; Yadegaridehkordi, E. Factors impacting consumers’ intention toward adoption of electric vehicles in Malaysia. J. Clean. Prod. 2021, 282, 124474. [Google Scholar] [CrossRef]
- Plötz, P.; Schneider, U.; Globisch, J.; Dütschke, E. Who will buy electric vehicles? Identifying early adopters in Germany. Transp. Res. Part A Policy Pract. 2014, 67, 96–109. [Google Scholar] [CrossRef]
- Huang, Y.; Qian, L.; Soopramanien, D.; Tyfield, D. Buy, lease, or share? Consumer pref-erences for innovative business models in the market for electric vehicles. Technol. Forecast. Soc. Change 2021, 166, 120639. [Google Scholar] [CrossRef]
- Peters, A.; van der Werff, E.; Steg, L. Beyond purchasing: Electric vehicle adoption motivation and consistent sustainable energy behaviour in The Netherlands. Energy Res. Soc. Sci. 2018, 39, 234–247. [Google Scholar] [CrossRef]
- Jaiswal, D.; Deshmukh, A.K.; Thaichon, P. Who will adopt electric vehicles? Segmenting and exemplifying potential buyer heterogeneity and forthcoming research. J. Retail. Consum. Serv. 2022, 67, 102969. [Google Scholar] [CrossRef]
- Koller, M.; Floh, A.; Zauner, A. Further insights into perceived value and consumer loyalty: A “green” perspective. Psychol. Mark. 2011, 28, 1154–1176. [Google Scholar] [CrossRef]
- Griskevicius, V.; Tybur, J.M.; Van den Bergh, B. Going green to be seen: Status, reputation, and conspicuous conservation. J. Personal. Soc. Psychol. 2010, 98, 392–404. [Google Scholar] [CrossRef] [PubMed]
- Corral-Verdugo, V.; Bonnes, M.; Tapia-Fonllem, C.; Fraijo-Sing, B.; Frías-Armenta, M.; Carrus, G. Correlates of pro-sustainability orientation: The affinity towards diversity. J. Environ. Psychol. 2009, 29, 34–43. [Google Scholar] [CrossRef]
- Laroche, M.; Bergeron, J.; Barbaro-Forleo, G. Targeting consumers who are willing to pay more for environmentally friendly products. J. Consum. Mark. 2001, 18, 503–520. [Google Scholar] [CrossRef]
- Oliver, J.D.; Rosen, D.E. Applying the environmental propensity framework: A seg-mented approach to hybrid electric vehicle marketing strategies. J. Mark. Theory Pract. 2010, 18, 377–393. [Google Scholar] [CrossRef]
- Heffner, R.R.; Kurani, K.S.; Turrentine, T.S. Symbolism in California’s early market for hybrid electric vehicles. Transp. Res. Part D Transp. Environ. 2007, 12, 396–413. [Google Scholar] [CrossRef]
- Gallagher, K.S.; Muehlegger, E. Giving green to get green? Incentives and consumer adoption of hybrid vehicle technology. J. Environ. Econ. Manag. 2011, 61, 1–15. [Google Scholar] [CrossRef]
- Policarpo, M.C.; Aguiar, E.C. How self-expressive benefits relate to buying a hybrid car as a green product. J. Clean. Prod. 2020, 252, 119859. [Google Scholar] [CrossRef]
- Kohlová, M.B.; Urban, J. Green Consumption Signals Altruism and Elevated Social Status. 2. PsyArXiv Preprints. Available online: https://osf.io/preprints/psyarxiv/2vgex/ (accessed on 8 January 2018).


| Variable | Discrimination | Segmentation |
|---|---|---|
| PH | ||
| PL | ||
| PH − PL | ||
| QH | ||
| QL | ||
| QL + QH |
Disclaimer/Publisher’s Note: The statements, opinions and data contained in all publications are solely those of the individual author(s) and contributor(s) and not of MDPI and/or the editor(s). MDPI and/or the editor(s) disclaim responsibility for any injury to people or property resulting from any ideas, methods, instructions or products referred to in the content. |
© 2023 by the authors. Licensee MDPI, Basel, Switzerland. This article is an open access article distributed under the terms and conditions of the Creative Commons Attribution (CC BY) license (https://creativecommons.org/licenses/by/4.0/).
Share and Cite
Tavor, T.; Gonen, L.D.; Spiegel, U. Customer Segmentation as a Revenue Generator for Profit Purposes. Mathematics 2023, 11, 4425. https://doi.org/10.3390/math11214425
Tavor T, Gonen LD, Spiegel U. Customer Segmentation as a Revenue Generator for Profit Purposes. Mathematics. 2023; 11(21):4425. https://doi.org/10.3390/math11214425
Chicago/Turabian StyleTavor, Tchai, Limor Dina Gonen, and Uriel Spiegel. 2023. "Customer Segmentation as a Revenue Generator for Profit Purposes" Mathematics 11, no. 21: 4425. https://doi.org/10.3390/math11214425
APA StyleTavor, T., Gonen, L. D., & Spiegel, U. (2023). Customer Segmentation as a Revenue Generator for Profit Purposes. Mathematics, 11(21), 4425. https://doi.org/10.3390/math11214425
