An Inventory Model for Growing Items When the Demand Is Price Sensitive with Imperfect Quality, Inspection Errors, Carbon Emissions, and Planned Backorders
Abstract
:1. Introduction
2. Notation and Model Description
| Parameters: | |
| Scale parameter for the price-dependent demand | |
| Sensitivity parameter for the price-dependent demand | |
| Demand power index | |
| Selling price of imperfect items (currency symbol/unit of weight) | |
| Setup cost (currency symbol/cycle) | |
| Holding cost of the live items (currency symbol/unit of weight/unit of time) | |
| Holding cost of the slaughtered items (currency symbol/unit of weight/unit of time) | |
| Shortage cost (currency symbol/unit of weight/unit of time) | |
| Feeding cost (currency symbol/unit of weight) | |
| Mortality cost (currency symbol/unit of weight) | |
| Purchasing cost (currency symbol/unit of weight) | |
| Inspection cost (currency symbol/unit of weight) | |
| Cost of rejecting a good item (currency symbol/unit of weight) | |
| Cost of accepting a defective item (currency symbol/unit of weight) | |
| Carbon tax rate (currency symbol/amount of carbon emissions) | |
| Carbon emissions cost (currency symbol) | |
| Amount of carbon emissions produced during the setup process (unit of weight/unit of time) | |
| Amount of carbon emissions caused by holding live items in warehouse (unit of weight/unit of time) | |
| Amount of carbon emissions caused by holding slaughtered items in warehouse (unit of weight/unit of time) | |
| Amount of carbon emissions generated during feeding period (unit of weight/unit of time)  | |
| Amount of carbon emissions generated during mortality (unit of weight/unit of time)  | |
| Amount of carbon emissions made during the purchasing activity (unit of weight/unit of time) | |
| Amount of carbon emissions created during inspection process (unit of weight/unit of time) | |
| Amount of carbon emissions made when is rejected a nondetective item (unit of weight/unit of time) | |
| Amount of carbon emissions made when is accepted a detective item (unit of weight/unit of time) | |
| Inspection rate (unit of weight/unit of time) | |
| Asymptotic weight of each item (unit of weight) | |
| Integration constant (numeric value) | |
| Growth rate (numeric value/unit of time) | |
| Fraction of slaughtered items that are of imperfect quality () | |
| Fraction of the live items which survive throughout the growth period () | |
| Fraction of good items that are classified to be defective (Type-I error)  ()  | |
| Fraction of defective items that are classified to be good (Type-II error)  ()  | |
| Expected value of the fraction of imperfect items | |
| Expected value of the fraction of perfect items () | |
| Expected value of the fraction of live items which survive throughout the growth period | |
| Expected value of the fraction of the dead items which die throughout the growth period () | |
| Expected value of the fraction of good items classified as defective (Type-I error) | |
| Expected value of the fraction of good items classified as good () | |
| Expected value of the fraction of defective items classified as good (Type-II error) | |
| Expected value of the percentage of defective items classified as defective () | |
| Weight of items that are classified as defective in one cycle (unit of weight) | |
| Sales returns (unit of weight) | |
| Weight of a newborn item (unit of weight) | |
| Target weight of a grown item (unit of weight) | |
| Weight of an item at time (unit of weight) | |
| Growing period (unit of time) | |
| Inspection period for the backordering quantity () (unit of time) | |
| Inspection period for units of weight (unit of time) | |
| Consumption period of perfect items after inspection time (unit of time) | |
| Shortages accumulation period (unit of time) | |
| Decision variables: | |
| Order quantity of newborn items (units) | |
| Backordering quantity (unit of weight) | |
| Selling price of perfect items (currency symbol/unit of weight) | |
| Decision dependent variables: | |
| Cycle time (unit of time) | |
| Total weight at the beginning of growing period, (unit of weight) | |
| Total weight at the end of growing period , (unit of weight) | |
| Functions: | |
| Price dependent demand function (unit of weight/unit of time) | |
| Growth function | |
| Probability density function of imperfect items | |
| Probability density function of live items | |
| Probability density function of Type-I error | |
| Probability density function of Type-II error | |
| Total profit (currency symbol/unit of time) | |
3. Assumptions
- (1)
 - The planning horizon extends indefinitely, and only one type of item is procured. These items have the potential to undergo growth before undergoing the slaughter process;
 - (2)
 - A random proportion of the processed inventory exhibits imperfect quality;
 - (3)
 - Imperfect-quality items are not subject to reworking or replacement;
 - (4)
 - All imperfect-quality items are salvaged and sold as a single batch upon completion of the inspection process;
 - (5)
 - The cost of feeding the items is directly correlated to the weight gained during their growth;
 - (6)
 - Holding costs differ for live and slaughtered items, both of which are dependent on the weight of each individual item;
 - (7)
 - A portion of the live inventory items does not survive until the conclusion of the growth period;
 - (8)
 - The inspection process is not assumed to be 100% effective because it results in Type-I errors (i.e., misclassifying a good item as defective) and Type-II errors (i.e., misclassifying a defective item as good);
 - (9)
 - Due to Type-II errors, a number of defective items are sold to customers as good items. So, when these items are returned and stored with items classified as defective by an inspector, they are salvaged at a cheaper price at the end of the inspection process;
 - (10)
 - The probability density functions, , , , and are assumed to be known;
 - (11)
 - All returned items from customers are combined with those classified as defective by the inspector and are subsequently sold at a reduced price as a single batch at the end of each cycle;
 - (12)
 - The growing items exhibit a logistic growth function;
 - (13)
 - The shortages are allowed and are fully backordered;
 - (14)
 - The items are slaughtered and immediately inspected to sell them to consumers. Initially, the backordering quantity is inspected to address the shortages from the previous cycle;
 - (15)
 - During the inspection period for the backordering quantity , only units are initially inspected, and as soon as these units are ready, they are immediately delivered to the customer;
 - (16)
 - The holding cost for storing a weight unit of slaughtered items is incurred during both the backordering quantity inspection process and the consumption period;
 - (17)
 - The demand rate follows a polynomial function that is dependent on the selling price of perfect-quality items. The function is expressed as ;
 - (18)
 - The selling price of perfect-quality items is optimized and must exceed the selling price of imperfect-quality items;
 - (19)
 - The inventory system takes into account carbon emissions, which are present in all operational processes except during the shortage period.
 
4. Mathematical Model
4.1. Expected Sales Revenue per Cycle
4.2. Total Cost per Cycle
4.3. Purchasing Cost per Cycle
4.4. Setup Cost per Cycle
4.5. Screening Cost per Cycle
4.6. Feeding Cost per Cycle
4.7. Mortality Cost per Cycle
4.8. Holding Cost of the Live Items per Cycle
4.9. Expected Holding Cost of Slaughtered Items per Cycle
4.10. Shortage Cost per Cycle
4.11. Carbon Emissions Produced by the Inventory System
4.12. Expected Total Profit per Unit of Time
5. Solution Procedure
Solution Algorithm
| Algorithm 1. Algoritm to obtain the optimal solution | |
| Step 1. | Determine the input parameters of the inventory system. | 
| Step 2. | Calculate selling price (), order quantity (), and backordering quantity () using Equations (36), (46) and (47), respectively. | 
| Step 3. | If the optimality conditions are satisfied, continue to Step 4. Otherwise, skip to Step 8. | 
| Step 4. | If is satisfied, apply Step 7. Otherwise, apply step 5. | 
| Step 5. | If , set , calculate order quantity () using Equation (46), calculate backordering quantity () using Equation (47), and go to Step 6. Otherwise, set , calculate the order quantity () using Equation (46), calculate the backordering quantity () using Equation (47), and proceed to Step 6. | 
| Step 6. | Use Equation (31) to determine the expected total profit per unit of time as . | 
| Step 7. | Solve for: and and report the results. | 
| Step 8. | End. | 
6. Numerical Example
7. Sensitivity Analysis
8. Managerial Insights
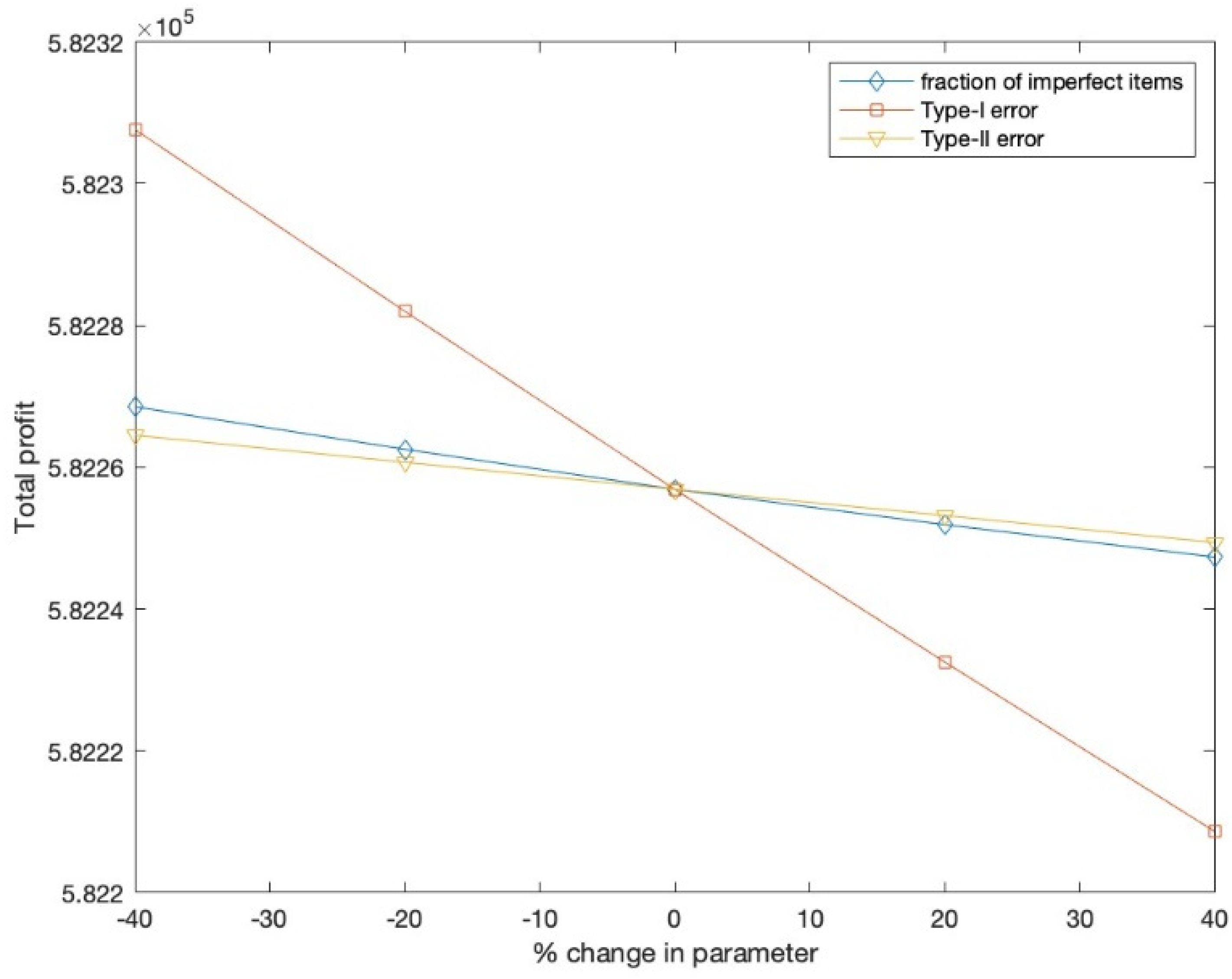
- It is recommended that the cause of the imperfections be identified through defect tracking and root cause analysis to lower the fraction of defects, since one can expect higher total profits by addressing these process deficiencies;
 - It is beneficial to reduce the fraction of good items classified as defective (i.e., Type-I error), since the sensitivity analysis suggests a direct impact on sales resulting from this type of error;
 - When a fraction of defective items is classified as good (i.e., Type-II error), some undesirable effects can be seen, including a higher return rate, which, in turn, translates into extra costs for a company (e.g., penalties, loss of customer confidence, etc.). Therefore, the fraction of Type-II error (q2) must be lowered since the total expected profit is directly impacted by this type of error;
 - The results showed that the cost of feeding is the main contributor to reducing the expected total profits. Farmers looking to decrease total costs need to understand the impact of feeding costs when compared to other possible influencing parameters.
 
9. Conclusions and Future Research Directions
Author Contributions
Funding
Data Availability Statement
Conflicts of Interest
Appendix A. Determination of the Expected Holding Cost ()

Appendix B. Detailed Derivation of the Backordering Cost ()
References
- Harris, F.W. How many parts to make at once. Fact. Mag. Manag. 1913, 152, 135–136. [Google Scholar] [CrossRef]
 - Rezaei, J. Economic order quantity for growing items. Int. J. Prod. Econ. 2014, 155, 109–113. [Google Scholar] [CrossRef]
 - Ritha, W.; Haripriya, S. Inventory model on organic poultry farming. Int. J. Res. Eng. Appl. Sci. 2015, 5, 30–38. [Google Scholar]
 - Zhang, Y.; Li, L.-Y.; Tian, X.-Q.; Feng, C. Inventory management research for growing items with carbon-constrained. In Proceedings of the 2016 35th Chinese Control Conference (CCC), Chengdu, China, 27–29 July 2016; pp. 9588–9593. [Google Scholar] [CrossRef]
 - Dhanam, K.; Jesintha, W. Fuzzy inventory model for slow and fast growing items with deterioration constraints in a single period. Int. J. Manag. Soc. Sci. 2017, 5, 308–317. [Google Scholar]
 - Sebatjane, M. Selected Deterministic Models for Lot Sizing of Growing Items Inventory. Master’s Thesis, University of Pretoria, Pretoria, South Africa, 2018. [Google Scholar]
 - Nobil, A.H.; Sedigh, A.H.A.; Cárdenas-Barrón, L.E. A Generalized Economic Order Quantity Inventory Model with Shortage: Case Study of a Poultry Farmer. Arab. J. Sci. Eng. 2019, 44, 2653–2663. [Google Scholar] [CrossRef]
 - Sebatjane, M.; Adetunji, O. Economic order quantity model for growing items with imperfect quality. Oper. Res. Perspect. 2018, 6, 100088. [Google Scholar] [CrossRef]
 - Sebatjane, M.; Adetunji, O. Economic order quantity model for growing items with incremental quantity discounts. J. Ind. Eng. Int. 2019, 15, 545–556. [Google Scholar] [CrossRef]
 - Sebatjane, M.; Adetunji, O. Three-echelon supply chain inventory model for growing items. J. Model. Manag. 2019, 15, 567–587. [Google Scholar] [CrossRef]
 - Khalilpourazari, S.; Pasandideh, S.H.R. Modeling and optimization of multi-item multi-constrained EOQ model for growing items. Knowl.-Based Syst. 2019, 164, 150–162. [Google Scholar] [CrossRef]
 - Malekitabar, M.; Yaghoubi, S.; Gholamian, M.R. A novel mathematical inventory model for growing-mortal items (case study: Rainbow trout). Appl. Math. Model. 2019, 71, 96–117. [Google Scholar] [CrossRef]
 - Nobil, A.; Taleizadeh, A.A. Economic order quantity model for growing items with correct order size. Model. Eng. 2019, 17, 123–129. [Google Scholar]
 - Eveline, J.C.; Ritha, W. Economic order quantity inventory model for poultry farming with shortages, screening, and affiliated costs considerations. Impact J. 2019, 7, 141–148. [Google Scholar]
 - Garza Cabello, E. Modelo de Inventarios para Ítems con Crecimiento, Calidad Imperfecta y Faltantes Planeados. Master’s Thesis, Tecnológico de Monterrey, Monterrey, Mexico, 2019. [Google Scholar]
 - Sebatjane, M.; Adetunji, O. A three-echelon supply chain for economic growing quantity model with price-and freshness-dependent demand: Pricing, ordering and shipment decisions. Oper. Res. Perspect. 2020, 7, 100153. [Google Scholar] [CrossRef]
 - Sebatjane, M.; Adetunji, O. Optimal inventory replenishment and shipment policies in a four-echelon supply chain for growing items with imperfect quality. Prod. Manuf. Res. 2020, 8, 130–157. [Google Scholar] [CrossRef]
 - Gharaei, A.; Almehdawe, E. Economic growing quantity. Int. J. Prod. Econ. 2020, 223, 107517. [Google Scholar] [CrossRef]
 - Hidayat, Y.A.; Riaventin, V.N.; Jayadi, O. Economic Order Quantity Model for Growing Items with Incremental Quantity Discounts, Capacitated Storage Facility, and Limited Budget. J. Tek. Ind. 2020, 22, 545–556. [Google Scholar] [CrossRef]
 - Mokhtari, H.; Salmasnia, A.; Asadkhani, J. A New Production-Inventory Planning Model for Joint Growing and Deteriorating Items. Int. J. Supply Oper. Manag. 2020, 7, 1–16. [Google Scholar] [CrossRef]
 - Nishandhi, F. An economic order quantity model for growing items with imperfect quality and budget capacity constraint to limit the purchase. Solid State Technol. 2020, 63, 7852–7858. [Google Scholar]
 - Pourmohammad-Zia, N.; Karimi, B. Optimal Replenishment and Breeding Policies for Growing Items. Arab. J. Sci. Eng. 2020, 45, 7005–7015. [Google Scholar] [CrossRef]
 - Afzal, A.R.; Alfares, H.K. An inventory model for growing items with quality inspections and permissible shortages. In Proceedings of the 5th NA International Conference on Industrial Engineering and Operations Management, Detroit, MI, USA, 10–14 August 2020; pp. 1153–1160. [Google Scholar]
 - Sebatjane, M. Inventory Management for Growing Items in Multi-Echelon Supply Chains. Ph.D. Thesis, University of Pretoria, Pretoria, South Africa, 2020. [Google Scholar]
 - Sebatjane, M.; Adetunji, O. Optimal lot-sizing and shipment decisions in a three-echelon supply chain for growing items with inventory level- and expiration date-dependent demand. Appl. Math. Model. 2021, 90, 1204–1225. [Google Scholar] [CrossRef]
 - Alfares, H.K.; Afzal, A.R. An Economic Order Quantity Model for Growing Items with Imperfect Quality and Shortages. Arab. J. Sci. Eng. 2021, 46, 1863–1875. [Google Scholar] [CrossRef]
 - Mittal, M.; Sharma, M. Economic Ordering Policies for Growing Items (Poultry) with Trade-Credit Financing. Int. J. Appl. Comput. Math. 2021, 7, 39. [Google Scholar] [CrossRef]
 - Luluah, L.; Rosyidi, C.N.; Aisyati, A. Optimization Model for Determining Order Quantity for Growing Item Considering Incremental Discount and Imperfect Quality. IOP Conf. Ser. Mater. Sci. Eng. 2021, 1096, 012023. [Google Scholar] [CrossRef]
 - Gharaei, A.; Almehdawe, E. Optimal sustainable order quantities for growing items. J. Clean. Prod. 2021, 307, 127216. [Google Scholar] [CrossRef]
 - Mahato, C.; De, S.K.; Mahata, G.C. Joint pricing and inventory management for growing items in a supply chain under trade credit. Soft Comput. 2021, 25, 7271–7295. [Google Scholar] [CrossRef]
 - De-La-Cruz-Márquez, C.G.; Cárdenas-Barrón, L.E.; Mandal, B. An Inventory Model for Growing Items with Imperfect Quality When the Demand Is Price Sensitive under Carbon Emissions and Shortages. Math. Probl. Eng. 2021, 2021, 6649048. [Google Scholar] [CrossRef]
 - Maity, S.; De, S.K.; Pal, M.; Mondal, S.P. A Study of an EOQ Model of Growing Items with Parabolic Dense Fuzzy Lock Demand Rate. Appl. Syst. Innov. 2021, 4, 81. [Google Scholar] [CrossRef]
 - Pourmohammad-Zia, N.; Karimi, B.; Rezaei, J. Dynamic pricing and inventory control policies in a food supply chain of growing and deteriorating items. Ann. Oper. Res. 2021, 1–40. [Google Scholar] [CrossRef]
 - Pourmohammad-Zia, N.; Karimi, B.; Rezaei, J. Food supply chain coordination for growing items: A trade-off between market coverage and cost-efficiency. Int. J. Prod. Econ. 2021, 242, 108289. [Google Scholar] [CrossRef]
 - Rana, K.; Singh, S.R.; Saxena, N.; Sana, S.S. Growing items inventory model for carbon emission under the permissible delay in payment with partially backlogging. Green Financ. 2021, 3, 153–174. [Google Scholar] [CrossRef]
 - Choudhury, M.; Mahata, G.C. RETRACTED: Sustainable integrated and pricing decisions for two-echelon supplier–retailer supply chain of growing items. RAIRO-Oper. Res. 2021, 55, 3171–3195. [Google Scholar] [CrossRef]
 - Pourmohammad-Zia, N. A review of the research developments on inventory management of growing items. J. Supply Chain. Manag. Sci. 2021, 2, 71–84. [Google Scholar]
 - Sharma, A.; Saraswat, A.K. An Inventory Model for Growing Items with Deterioration and Trade Credit. In Data Science and Security; Shukla, S., Unal, A., Varghese Kureethara, J., Mishra, D.K., Han, D.S., Eds.; Lecture Notes in Networks and Systems; Springer: Singapore, 2021; Volume 290. [Google Scholar]
 - Sharma, A.; Saraswat, A.K. Inventory model for the growing items with price dependent demand, mortality and deterioration. Int. J. Oper. Res. 2023, 47, 534–546. [Google Scholar] [CrossRef]
 - Sitanggang, I.V.; Rosyidi, C.N.; Aisyati, A. Development of Order Quantity Optimization Model for Growing Item Considering the Imperfect Quality and Incremental Discount in Three Echelon Supply Chain. J. Tek. Ind. 2021, 23, 101–110. [Google Scholar] [CrossRef]
 - Faraudo Pijuan, C. EOQ: Optimizing Price and Order Quantity for Growing Items with Imperfect Quality and Carbon Restrictions. Final Degree Thesis Report, Escuela Superior de Ciencias Sociales y de la Empresa, Barcelona, Spain, 2021. [Google Scholar]
 - Sebatjane, M.; Adetunji, O. Optimal inventory replenishment and shipment policies in a three-echelon supply chain for growing items with expiration dates. OPSEARCH 2022, 59, 809–838. [Google Scholar] [CrossRef]
 - Sebatjane, M. The impact of preservation technology investments on lot-sizing and shipment strategies in a three-echelon food supply chain involving growing and deteriorating items. Oper. Res. Perspect. 2022, 9, 100241. [Google Scholar] [CrossRef]
 - Abbasi, R.; Sedaghati, H.R.; Shafiei, S. Proposing an Economic Order Quantity (EOQ) model for imperfect quality growing goods with stochastic demand. J. Prod. Oper. Manag. 2022, 13, 105–127. [Google Scholar]
 - Sharma, M.; Mittal, M. Effect of credit financing on the supply chain for imperfect growing items. RAIRO-Oper. Res. 2022, 56, 2903–2917. [Google Scholar] [CrossRef]
 - Sharma, A.; Saraswat, A.K. Two inventory models for growing items under different payment policies with deterioration. Int. J. Procure. Manag. 2022, 15, 447. [Google Scholar] [CrossRef]
 - De-la-Cruz-Márquez, C.G.; Cárdenas-Barrón, L.E.; Mandal, B.; Smith, N.R.; Bourguet-Díaz, R.E.; Loera-Hernández, I.D.; Céspedes-Mota, A.; Treviño-Garza, G. An Inventory Model in a Three-Echelon Supply Chain for Growing Items with Imperfect Quality, Mortality, and Shortages under Carbon Emissions When the Demand Is Price Sensitive. Mathematics 2022, 10, 4684. [Google Scholar] [CrossRef]
 - Gharaei, A.; Diallo, C.; Venkatadri, U. Optimal economic growing quantity for reproductive farmed animals under profitable by-products and carbon emission considerations. J. Clean. Prod. 2022, 374, 133849. [Google Scholar] [CrossRef]
 - Sharma, M.; Mittal, M. Economic Ordering Policies for Growing Items with Linear Growth Function Under Trade-Credit Financing. In Advances in Industrial and Production Engineering; Phanden, R.K., Kumar, R., Pandey, P.M., Chakraborty, A., Eds.; FLAME 2022; Lecture Notes in Mechanical Engineering; Springer: Singapore, 2023. [Google Scholar] [CrossRef]
 - Nobil, A.H.; Nobil, E.; Cárdenas-Barrón, L.E.; Garza-Núñez, D.; Treviño-Garza, G.; Céspedes-Mota, A.; Loera-Hernández, I.D.J.; Smith, N.R. Economic Order Quantity for Growing Items with Mortality Function under Sustainable Green Breeding Policy. Mathematics 2023, 11, 1039. [Google Scholar] [CrossRef]
 - Nobil, A.H.; Nobil, E.; Cárdenas-Barrón, L.E.; Garza-Núñez, D.; Treviño-Garza, G.; Céspedes-Mota, A.; Loera-Hernández, I.D.J.; Smith, N.R. Economic Growing Quantity Model with Mortality in Newborn Items and Inhibition Cost of Ammonia Production under All-Units Discount Policy. Sustainability 2023, 15, 8086. [Google Scholar] [CrossRef]
 - Khan, A.-A.; Cárdenas-Barrón, L.E.; Treviño-Garza, G.; Céspedes-Mota, A.; Loera-Hernández, I.d.J. Integrating prepayment installment, pricing and replenishment decisions for growing items with power demand pattern and non-linear holding cost under carbon regulations. Comput. Oper. Res. 2023, 156, 106225. [Google Scholar] [CrossRef]
 - Nobil, A.H.; Nobil, E.; Cárdenas-Barrón, L.E.; Garza-Núñez, D.; Treviño-Garza, G.; Céspedes-Mota, A.; Loera-Hernández, I.d.J.; Smith, N.R. Discontinuous Economic Growing Quantity Inventory Model. Mathematics 2023, 11, 3258. [Google Scholar] [CrossRef]
 - Alamri, O.A. Sustainable Supply Chain Model for Defective Growing Items (Fishery) with Trade Credit Policy and Fuzzy Learning Effect. Axioms 2023, 12, 436. [Google Scholar] [CrossRef]
 - Sebatjane, M.; Adetunji, O. A four-echelon supply chain inventory model for growing items with imperfect quality and errors in quality inspection. Ann. Oper. Res. 2023, 1–33. [Google Scholar] [CrossRef]
 - Sharma, A.; Saraswat, A.K. Profit function Optimization for Growing Items Industry. In Proceedings of the 2023 6th International Conference on Information Systems and Computer Networks (ISCON), Mathura, India, 3–4 March 2023; pp. 1–5. [Google Scholar]
 - Singh, S.R.; Rana, K. A sustainable production inventory model for growing items with trade credit policy under partial backlogging. Int. J. Adv. Oper. Manag. 2023, 15, 64–81. [Google Scholar] [CrossRef]
 - Salameh, M.; Jaber, M. Economic production quantity model for items with imperfect quality. Int. J. Prod. Econ. 2000, 64, 59–64. [Google Scholar] [CrossRef]
 - Sanjai, M.; Periyasamy, S. An inventory model for imperfect production system with rework and shortages. Int. J. Oper. Res. 2019, 34, 66–84. [Google Scholar] [CrossRef]
 - Rezaei, J. Economic order quantity and sampling inspection plans for imperfect items. Comput. Ind. Eng. 2016, 96, 1–7. [Google Scholar] [CrossRef]
 - Öztürk, H. A deterministic production inventory model with defective items, imperfect rework process and shortages backordered. Int. J. Oper. Res. 2020, 39, 237–261. [Google Scholar] [CrossRef]
 - Hauck, Z.; Rabta, B.; Reiner, G. Analysis of screening decisions in inventory models with imperfect quality items. Int. J. Prod. Res. 2021, 59, 6528–6543. [Google Scholar] [CrossRef]
 - Alamri, O.A.; Jayaswal, M.K.; Khan, F.A.; Mittal, M. An EOQ Model with Carbon Emissions and Inflation for Deteriorating Imperfect Quality Items under Learning Effect. Sustainability 2022, 14, 1365. [Google Scholar] [CrossRef]
 - Cárdenas-Barrón, L.E.; Marquez-Rios, O.A.; Sánchez-Romero, I.; Mandal, B. Optimizing price, lot size and backordering level for products with imperfect quality, different holding costs and non-linear demand. Rev. Real Acad. Cienc. Exactas Fis. Nat. Ser. A Mat. 2022, 116, 48. [Google Scholar] [CrossRef]
 - Khan, M.; Jaber, M.Y.; Bonney, M. An economic order quantity (EOQ) for items with imperfect quality and inspection errors. Int. J. Prod. Econ. 2011, 133, 113–118. [Google Scholar] [CrossRef]
 - Hsu, J.T.; Hsu, L.F. An EOQ model with imperfect quality items, inspection errors, shortage backordering, and sales returns. Int. J. Prod. Econ. 2013, 143, 162–170. [Google Scholar] [CrossRef]
 - Al-Salamah, M. Economic production quantity in batch manufacturing with imperfect quality, imperfect inspection, and destructive and non-destructive acceptance sampling in a two-tier market. Comput. Ind. Eng. 2016, 93, 275–285. [Google Scholar] [CrossRef]
 - Taheri-Tolgari, J.; Mohammadi, M.; Naderi, B.; Arshadi-Khamseh, A.; Mirzazadeh, A. An inventory model with imperfect item, inspection errors, preventive maintenance and partial backlogging in uncertainty environment. J. Ind. Manag. Optim. 2019, 15, 1317. [Google Scholar] [CrossRef]
 - Bose, D.; Guha, A. Economic production lot sizing under imperfect quality, on-line inspection, and inspection errors: Full vs. sampling inspection. Comput. Ind. Eng. 2021, 160, 107565. [Google Scholar] [CrossRef]
 - Rizky, N.; Wangsa, I.D.; Jauhari, W.A.; Wee, H.M. Managing a sustainable integrated inventory model for imperfect production process with type one and type two errors. Clean Technol. Environ. Policy 2021, 23, 2697–2712. [Google Scholar] [CrossRef]
 - Taghipour, E.; Seifbarghy, M.; Setak, M. Integration of pricing and inventory decision in a supply chain under vendor-managed inventory with defective items and inspection errors: A game-theoretic approach. Eng. Rev. 2022, 42, 275391. [Google Scholar] [CrossRef]
 - Zhu, G. Optimal pricing and ordering policy for defective items under temporary price reduction with inspection errors and price sensitive demand. J. Ind. Manag. Optim. 2022, 18, 2129–2161. [Google Scholar] [CrossRef]
 - Asadkhani, J.; Mokhtari, H.; Tahmasebpoor, S. Optimal lot-sizing under learning effect in inspection errors with different types of imperfect quality items. Oper. Res. 2022, 22, 2631–2665. [Google Scholar] [CrossRef]
 - McAuliffe, G.A.; Chapman, D.V.; Sage, C.L. A thematic review of life cycle assessment (LCA) applied to pig production. Environ. Impact Assess. Rev. 2016, 56, 12–22. [Google Scholar] [CrossRef]
 - Grossi, G.; Goglio, P.; Vitali, A.; Williams, A.G. Livestock and climate change: Impact of livestock on climate and mitigation strategies. Anim. Front. 2019, 9, 69–76. [Google Scholar] [CrossRef]
 - Gerber, P.J.; Steinfeld, H.; Henderson, B.; Mottet, A.; Opio, C.; Dijkman, J.; Faalcucci, A.; Tempio, G. Tackling Climate Change through Livestock: A Global Assessment of Emissions and Mitigation Opportunities; Food and Agriculture Organization of the United Nations (FAO): Rome, Italy, 2013. [Google Scholar]
 - Bonney, M.; Jaber, M.Y. Environmentally responsible inventory models: Non-classical models for a non-classical era. Int. J. Prod. Econ. 2011, 133, 43–53. [Google Scholar] [CrossRef]
 - Saga, R.S.; Jauhari, W.A.; Laksono, P.W.; Dwicahyani, A.R. Investigating carbon emissions in a production-inventory model under imperfect production, inspection errors and service-level constraint. Int. J. Logist. Syst. Manag. 2019, 34, 29–55. [Google Scholar] [CrossRef]
 - Yu, C.; Qu, Z.; Archibald, T.W.; Luan, Z. An inventory model of a deteriorating product considering carbon emissions. Comput. Ind. Eng. 2020, 148, 106694. [Google Scholar] [CrossRef]
 - Wee, H.-M.; Daryanto, Y. Imperfect quality item inventory models considering carbon emissions. In Optimization and Inventory Management; Springer: Singapore, 2020; pp. 137–159. [Google Scholar]
 - Singh, R.; Mishra, V.K. Sustainable Integrated Inventory Model for Substitutable Deteriorating Items Considering Both Transport and Industry Carbon Emissions. J. Syst. Sci. Syst. Eng. 2022, 31, 267–287. [Google Scholar] [CrossRef]
 - Astanti, R.D.; Daryanto, Y.; Dewa, P.K. Low-Carbon Supply Chain Model under a Vendor-Managed Inventory Partnership and Carbon Cap-and-Trade Policy. J. Open Innov. Technol. Mark. Complex. 2022, 8, 30. [Google Scholar] [CrossRef]
 - Hadley, G.; Whitin, T. Analysis of Inventory Systems; Prentice-Hall: Englewood Cliffs, NJ, USA, 1963. [Google Scholar]
 - Mashud, A.H.M.; Uddin, S.; Sana, S.S. A Two-Level Trade-Credit Approach to an Integrated Price-Sensitive Inventory Model with Shortages. Int. J. Appl. Comput. Math. 2019, 5, 121. [Google Scholar] [CrossRef]
 - Mashud, A.H.M. An EOQ deteriorating inventory model with different types of demand and fully backlogged shortages. Int. J. Logist. Syst. Manag. 2020, 36, 16. [Google Scholar] [CrossRef]
 - Priyamvada; Rini; Khanna, A.; Jaggi, C.K. An inventory model under price and stock dependent demand for controllable deterioration rate with shortages and preservation technology investment: Revisited. OPSEARCH 2021, 58, 181–202. [Google Scholar] [CrossRef]
 - Mishra, U.; Cárdenas-Barrón, L.E.; Tiwari, S.; Shaikh, A.A.; Treviño-Garza, G. An inventory model under price and stock dependent demand for controllable deterioration rate with shortages and preservation technology investment. Ann. Oper. Res. 2017, 254, 165–190. [Google Scholar] [CrossRef]
 - Duary, A.; Das, S.; Arif, G.; Abualnaja, K.M.; Khan, A.-A.; Zakarya, M.; Shaikh, A.A. Advance and delay in payments with the price-discount inventory model for deteriorating items under capacity constraint and partially backlogged shortages. Alex. Eng. J. 2022, 61, 1735–1745. [Google Scholar] [CrossRef]
 - Sicilia, J.; San-José, L.A.; Alcaide-López-de-Pablo, D.; Abdul-Jalbar, B. Optimal policy for multi-item systems with stochastic demands, backlogged shortages and limited storage capacity. Appl. Math. Model. 2022, 108, 236–257. [Google Scholar] [CrossRef]
 - San-José, L.A.; Sicilia, J.; Alcaide-López-De-Pablo, D. An inventory system with demand dependent on both time and price assuming backlogged shortages. Eur. J. Oper. Res. 2018, 270, 889–897. [Google Scholar] [CrossRef]
 - Ruidas, S.; Seikh, M.R.; Nayak, P.K. A production inventory model with interval-valued carbon emission parameters under price-sensitive demand. Comput. Ind. Eng. 2021, 154, 107154. [Google Scholar] [CrossRef]
 - Dey, B.K.; Sarkar, B.; Sarkar, M.; Pareek, S. An integrated inventory model involving discrete setup cost reduction, variable safety factor, selling price dependent demand, and investment. RAIRO-Oper. Res. 2019, 53, 39–57. [Google Scholar] [CrossRef]
 - Rezagholifam, M.; Sadjadi, S.J.; Heydari, M.; Karimi, M. Optimal pricing and ordering strategy for non-instantaneous deteriorating items with price and stock sensitive demand and capacity constraint. Int. J. Syst. Sci. Oper. Logist. 2022, 9, 121–132. [Google Scholar] [CrossRef]
 - Khan, M.A.A.; Ahmed, S.; Babu, M.S.; Sultana, N. Optimal lot-size decision for deteriorating items with price-sensitive demand, linearly time-dependent holding cost under all-units discount environment. Int. J. Syst. Sci. Oper. Logist. 2022, 9, 61–74. [Google Scholar] [CrossRef]
 










| Authors | Price Dependent Demand | Type of Price Dependent Demand | Allowed Shortages | Type of Backordering | Imperfect Quality | Mortality | Carbon Tax | Inspection Errors | Structure | Type of Objective Function | Optimize | Solution Method | 
|---|---|---|---|---|---|---|---|---|---|---|---|---|
| Rezaei [2] | No | No | No | No | No | No | 1S | Max. Profit | Order quantity and slaughter time  | Analytical | ||
| Ritha and Haripriya [3]  | No | Yes | Full | No | Yes | No | No | 1S | Max. Profit | Order quantity | Analytical | |
| Zhang et al. [4] | No | No | No | No | Yes | No | 1S | Min. Cost  | Order quantity and slaughter time  | Analytical | ||
| Dhanam and Jesintha [5] | No | No | No | No | No | No | 1S | Min. Cost  | Order quantity and cycle time  | Agreement index | ||
| Sebatjane [6] | No | No | Yes | No | No | No | 1S | Max. Profit | Order quantity and cycle time  | Heuristic | ||
| No | No | No | No | No | No | 1S | Min. Cost  | Order quantity and cycle time  | Analytical | |||
| No | No | No | No | No | No | 1S | Min. Cost  | Order quantity and cycle time  | Analytical | |||
| Nobil et al. [7] | No | Yes | Full | No | No | No | No | 1S | Min. Cost  | Order quantity, backordering quantity, and cycle time  | Analytical | |
| Sebatjane and Adetunji [8] | No | No | Yes | No | No | No | 1S | Max. Profit | Order quantity and cycle time  | Analytical | ||
| Sebatjane and Adetunji [9] | No | No | No | No | No | No | 1S | Min. Cost  | Order quantity and cycle time  | Analytical | ||
| Sebatjane and Adetunji [10] | No | No | No | No | No | No | 3S | Min. Cost  | Order quantity, cycle time, and number of shipments | Analytical | ||
| Khalilpourazari and Pasandideh [11] | No | No | No | No | No | No | 1S | Max. Profit | Order quantity, time period needed to grow each type of items | Meta-heuristic | ||
| Malekitabar et al. [12]  | Yes | Linear | No | No | Yes | No | No | 2S | Max. Profit | Selling price and cycle time | Analytical | |
| Nobil and Taleizadeh [13] | No | No | No | No | No | No | 1S | Min. Cost  | Order quantity | Analytical | ||
| Eveline and Ritha [14] | No | Yes | Full | No | No | No | No | 1S | Min. Cost  | Cycle time, shortage start point | Analytical | |
| Garza Cabello [15] | No | Yes | Full | Yes | No | No | No | 1S | Max. Profit | Cycle time | Analytical | |
| Sebatjane and Adetunji [16] | Yes | Exponential | No | No | Yes | No | No | 3S | Max. Profit  | Selling price, order quantity, cycle time, and number of shipments | Analytical | |
| Sebatjane and Adetunji [17] | No | No | Yes | Yes | No | No | 4S | Max. Profit  | Order quantity, cycle time, and number of shipments | Analytical | ||
| Gharaei and Almehdawe [18] | No | No | No | Yes | No | No | 1S | Min. Cost  | Order quantity and cycle time  | Analytical | ||
| Hidayat et al. [19] | No | No | No | No | No | No | 1S | Min. Cost  | Order quantity and cycle time  | Analytical | ||
| Mokhtari et al. [20] | No | No | No | No | No | No | 1S | Max. Profit  | Order quantity and slaughter time  | Meta-heuristic | ||
| Nishandhi [21] | No | Yes | Full | Yes | Yes | No | No | 1S | Min. Cost  | Order quantity and backordering quantity  | Analytical | |
| Pourmohammad-Zia and Karimi [22] | No | No | Yes | No | No | No | 1S | Min. Cost  | Order quantity and cycle time  | Analytical | ||
| Afzal and Alfares [23] | No | Yes | Full | Yes | No | No | No | 1S | Min. Cost  | Order quantity, backordering quantity, and cycle time  | Analytical | |
| Sebatjane [24] | No | No | No | No | No | No | 3S | Min. Cost  | Cycle time and number of shipments | Analytical | ||
| No | No | No | No | No | No | 3S | Max. Profit  | Cycle time and number of shipments | Analytical | |||
| No | No | Yes | Yes | No | No | 4S | Max. Profit  | Order quantity, cycle time, and number of shipments | Analytical | |||
| No | No | No | Yes | No | No | 3S | Min. Cost  | Cycle time and number of shipments | Analytical | |||
| No | No | Yes | No | No | No | 4S | Max. Profit  | Order quantity, cycle time, and number of shipments | Analytical | |||
| No | No | No | Yes | No | No | 3S | Max. Profit  | Cycle time, number of shipments, and inventory amount | Analytical | |||
| Sebatjane and Adetunji [25] | No | No | No | Yes | No | No | 3S | Max. Profit  | Order quantity, cycle time, and number of shipments | Analytical | ||
| Alfares and Afzal [26] | No | Yes | Full | Yes | No | No | No | 1S | Min. Cost  | Order quantity, backordering quantity, and cycle time  | Analytical | |
| Mittal and Sharma [27]  | No | No | No | No | No | No | 1S | Max. Profit  | Order quantity | Analytical | ||
| Luluah et al. [28] | No | No | Yes | Yes | No | No | 1S | Max. Profit  | Order quantity and cycle time | Analytical | ||
| Gharaei and Almehdawe [29] | No | No | No | Yes | Yes | No | 1S | Min. Cost  | Order quantity and cycle time | Meta-heuristic | ||
| Mahato et al. [30] | No | No | No | No | No | No | 2S | Max. Profit  | Selling price, inventory cycle at the supplier (breeding period), inventory cycle at the retailer (consumption period) | Analytical | ||
| De-La-Cruz-Márquez et al. [31] | Yes | Polynomial | Yes | Full | Yes | No | Yes | No | 1S | Max. Profit | Selling price, order quantity, backordering quantity, and cycle time  | Analytical | 
| Maity et al. [32] | No | No | No | No | No | No | 1S | Min. Cost  | Order quantity, growing period, and selling period | Analytical | ||
| Pourmohammad-Zia et al. [33] | Yes | Linear | No | No | No | No | No | 2S | Max. Profit | Selling price, inventory cycle at the supplier (breeding period), inventory cycle at the retailer (consumption period)  | Analytical | |
| Pourmohammad-Zia et al. [34] | Yes | Linear | No | No | No | No | No | 3S | Max. Profit | Order quantity, cycle time, and selling price | Analytical | |
| Rana et al. [35] | No | Yes | Partial | No | No | Yes | No | 1S | Min. Cost  | Order quantity, cycle time, breeding period, and consumption period | Analytical | |
| Choudhury and Mahata [36] | Yes | Linear | No | No | No | Yes | No | 2S | Max. Profit | Cycle time and selling price | Analytical | |
| Pourmohammad-Zia [37] | No | No | No | No | No | No | 1S | Min. Cost  | Breeding period and consumption period | Analytical | ||
| Sharma and Saraswat [38] | No | Yes | Full | No | Yes | No | No | 1S | Max. Net Present Value Profit | Order quantity, shortage period, and consumption period | Analytical | |
| Saraswat and Sharma [39] | Yes | Partial | No | Yes | No | No | 1S | Max. Profit | Order quantity, cycle length, and backorders | Analytical | ||
| Sitanggang et al. [40] | No | No | Yes | Yes | No | No | 3S | Max. Profit | Order quantity, cycle time, and number of shipments | Analytical | ||
| Faraudo Pijuan [41] | Yes | polynomial | No | Yes | No | Yes | No | 1S | Max. Profit | Selling price | Analytical | |
| Sebatjane and Adetunji [42] | No | No | No | Yes | No | No | 3S | Min. Cost  | Cycle time and number of shipments | Analytical | ||
| Sebatjane [43] | No | No | No | No | No | No | 3S | Min. number of storage facilities | Supply center, farmer’s growing period, processor’s non-processing period per processing cycle, and preservation technology cost | Analytical | ||
| Abbasi et al. [44] | No | No | Yes | No | No | No | 1S | Max. Profit | Cycle time | Analytical | ||
| Sharma and Mittal [45] | No | No | Yes | No | No | No | 2S | Max. Profit | Order quantity | Analytical | ||
| Sharma and Saraswat [46] | No | Yes | Full | No | Yes | No | No | 1S | Max. net present value profit | Order quantity, backordering quantity, length of consumption period, length of shortage period | Analytical | |
| De la Cruz Márquez et al. [47] | Yes | Polynomial | Yes | Full | Yes | Yes | Yes | No | 3S | Max. Profit | Selling price, order quantity, backordering quantity, and cycle time  | Analytical | 
| Gharaei et al. [48] | No | No | No | Yes | Yes | No | 1S | Max. Profit | Growth cycle, growing quantity, average inventory, UGF, and weight of slaughtering | Analytical | ||
| Sharma and Mittal [49] | No | No | No | No | No | No | 1S | Max. Profit | quantity of the items | Analytical | ||
| Nobil et al. [50] | No | No | No | Yes | Yes | No | 1S | Min. Cost  | Slaughter age, number of newborn chicks, purchased from the supplier | Analytical | ||
| Nobil et al. [51] | No | No | No | Yes | No | No | 1S | Min. Cost  | Number of growth items ordered at the beginning of each cycle and slaughter age | Analytical | ||
| Khan et al. [52] | Yes | Power form | No | No | No | Yes | No | 1S | Max. Profit | Selling price, time span of each cycle, and prepayment installment facility | Analytical | |
| Nobil et al. [53] | No | No | No | No | No | No | 1S | Min. Cost  | Number of periods in each cycle and slaughter age | Analytical | ||
| Alamri [54] | No | No | Yes | No | Yes | No | 1S | Max. Profit | Number of newborn items demanded | Analytical | ||
| Sebatjane and Adetunji [55] | No | No | Yes | Yes | No | Yes | 4S | Max. Profit | Order quantity for live inventory items, number of shipments of processed inventory delivered from the processing facility to the inspection facility per processing cycle, and number of shipments of processed inventory delivered from the inspection facility to the retail facility per inspection cycle. | Analytical | ||
| Sharma and Saraswat [56] | No | Yes | Full | No | Yes | No | No | 1S | Max. Profit | Backordering quantity and cycle time | Analytical | |
| Singh and rana [57] | No | Yes | Partial | No | No | No | No | 1S | Min. Cost  | Purchasing quantity of the newborn animals and breeding period | Analytical | |
| This paper | Yes | Polynomial | Yes | Full | Yes | Yes | Yes | Yes | 1S | Max. Profit | Selling price, order quantity, backordering quantity, and cycle time | Analytical | 
| Inventory Model | ||
|---|---|---|
| With Carbon Emissions Policy | Without Carbon Emissions Policy | |
| 582,256.9421 | 582,256.8876 | |
| 30.29370 | 30.18259 | |
| 34,176.59 | 34,034.27 | |
| 6.565519 | 6.565373 | |
| Total Emissions | 10,461.98 | 10,477.59 | 
| Parameters | % Change | y* | B* | s* | E[TPU*] | ||||
|---|---|---|---|---|---|---|---|---|---|
| Base case | 30.2937 | 34,176.59 | 6.56552 | 582,256.9 | |||||
| −40 | 24.5287 | −19.03 | 27,865.24 | −18.47 | 5.0916 | −22.45 | 269,021.3 | −53.80 | |
| π | −20 | 0.0000 | −100.00 | 0 | −100.00 | 10.14185 | 54.47 | 2.05 × 108 | 35,135.98 | 
| +20 | 32.5030 | 7.29 | 36,541.4 | 6.92 | 7.18989 | 9.51 | 766,566.9 | 31.65 | |
| +40 | 34.4152 | 13.61 | 38,556.07 | 12.81 | 7.76415 | 18.26 | 967,061.9 | 66.09 | |
| −40 | 30.3014 | 0.03 | 34,184.92 | 0.02 | 8.47051 | 29.02 | 753,705.8 | 29.45 | |
| ρ | −20 | 0.0000 | −100.00 | 0 | −100.00 | 12.67731 | 93.09 | 307.1733 | −99.95 | 
| +20 | 0.0000 | −100.00 | 0 | −100.00 | 10.35098 | 57.66 | 1,914,611 | 228.83 | |
| +40 | 0.0000 | −100.00 | 0 | −100.00 | 9.58315 | 45.96 | 2.55 × 108 | 43,613.78 | |
| −40 | 27.9737 | −7.66 | 31,657.98 | −7.37 | 29.69326 | 352.26 | 2,178,549 | 274.16 | |
| n | −20 | 0.0000 | −100.00 | 0 | −100.00 | 20.80728 | 216.92 | 3,328,837 | 471.71 | 
| +20 | 0.0000 | −100.00 | 0 | −100.00 | 7.56502 | 15.22 | 7.18 × 107 | 12,236.69 | |
| +40 | 31.4802 | 3.92 | 35,451.11 | 3.73 | 3.53205 | −46.20 | 342,409.7 | −41.19 | |
| −40 | 30.2935 | 0.00 | 34,176.34 | 0.00 | 6.56564 | 0.00 | 582,223.5 | −0.01 | |
| v | −20 | 30.2936 | 0.00 | 34,176.46 | 0.00 | 6.56558 | 0.00 | 582,240.2 | 0.00 | 
| +20 | 30.2938 | 0.00 | 34,176.71 | 0.00 | 6.56546 | 0.00 | 582,273.6 | 0.00 | |
| +40 | 30.2939 | 0.00 | 34,176.83 | 0.00 | 6.56539 | 0.00 | 582,290.3 | 0.01 | |
| −40 | 23.5384 | −22.30 | 26,555.24 | −22.30 | 6.56318 | −0.04 | 583,290.4 | 0.18 | |
| K | −20 | 27.1275 | −10.45 | 30,604.47 | −10.45 | 6.56442 | −0.02 | 582,741.3 | 0.08 | 
| +20 | 33.1584 | 9.46 | 37,408.59 | 9.46 | 6.56651 | 0.02 | 581,818.6 | −0.08 | |
| +40 | 35.7942 | 18.16 | 40,382.28 | 18.16 | 6.56742 | 0.03 | 581,415.4 | −0.14 | |
| −40 | 33.0344 | 9.05 | 34,725.54 | 1.61 | 6.56409 | −0.02 | 582,640.9 | 0.07 | |
| H | −20 | 31.4843 | 3.93 | 34,568.64 | 1.15 | 6.56484 | −0.01 | 582,431.9 | 0.03 | 
| +20 | 29.3086 | −3.25 | 33,684.19 | −1.44 | 6.56614 | 0.01 | 582,101.4 | −0.03 | |
| +40 | 28.4582 | −6.06 | 33,150.72 | −3.00 | 6.56673 | 0.02 | 581,958.5 | −0.05 | |
| −40 | 30.2965 | 0.01 | 34,179.6 | 0.01 | 6.56399 | −0.02 | 582,666.3 | 0.07 | |
| h | −20 | 30.2951 | 0.00 | 34,178.09 | 0.00 | 6.56476 | −0.01 | 582,461.6 | 0.04 | 
| +20 | 30.2923 | 0.00 | 34,175.08 | 0.00 | 6.56628 | 0.01 | 582,052.3 | −0.04 | |
| +40 | 30.2909 | −0.01 | 34,173.57 | −0.01 | 6.56704 | 0.02 | 581,847.6 | −0.07 | |
| −40 | 35.4564 | 17.04 | 41,853.72 | 22.46 | 6.56467 | −0.01 | 582,931.2 | 0.12 | |
| b | −20 | 32.5149 | 7.33 | 37,512.75 | 9.76 | 6.56511 | −0.01 | 582,573.3 | 0.05 | 
| +20 | 28.5452 | −5.77 | 31,506.64 | −7.81 | 6.56591 | 0.01 | 581,973.3 | −0.05 | |
| +40 | 27.1261 | −10.46 | 29,305.76 | −14.25 | 6.56627 | 0.01 | 581,716.3 | −0.09 | |
| −40 | 30.2951 | 0.00 | 34,178.09 | 0.00 | 6.56476 | −0.01 | 582,461.6 | 0.04 | |
| c | −20 | 30.2944 | 0.00 | 34,177.34 | 0.00 | 6.56514 | −0.01 | 582,359.3 | 0.02 | 
| +20 | 30.2930 | 0.00 | 34,175.83 | 0.00 | 6.5659 | 0.01 | 582,154.6 | −0.02 | |
| +40 | 30.2923 | 0.00 | 34,175.08 | 0.00 | 6.56628 | 0.01 | 582,052.3 | −0.04 | |
| −40 | 30.2953 | 0.01 | 34,178.26 | 0.00 | 6.56467 | −0.01 | 582,484.4 | 0.04 | |
| M | −20 | 30.2945 | 0.00 | 34,177.42 | 0.00 | 6.5651 | −0.01 | 582,370.6 | 0.02 | 
| +20 | 30.2929 | 0.00 | 34,175.75 | 0.00 | 6.56594 | 0.01 | 582,143.2 | −0.02 | |
| +40 | 30.2922 | −0.01 | 34,174.91 | 0.00 | 6.56637 | 0.01 | 582,029.5 | −0.04 | |
| −40 | 30.2940 | 0.00 | 34,176.88 | 0.00 | 6.56537 | 0.00 | 582,296.6 | 0.01 | |
| P | −20 | 30.2938 | 0.00 | 34,176.73 | 0.00 | 6.56545 | 0.00 | 582,276.7 | 0.00 | 
| +20 | 30.2936 | 0.00 | 34,176.44 | 0.00 | 6.56559 | 0.00 | 582,237.1 | 0.00 | |
| +40 | 30.2934 | 0.00 | 34,176.29 | 0.00 | 6.56567 | 0.00 | 582,217.3 | −0.01 | |
| −40 | 30.2938 | 0.00 | 34,176.66 | 0.00 | 6.56548 | 0.00 | 582,266.3 | 0.00 | |
| Z | −20 | 30.2937 | 0.00 | 34,176.62 | 0.00 | 6.5655 | 0.00 | 582,261.6 | 0.00 | 
| +20 | 30.2937 | 0.00 | 34,176.55 | 0.00 | 6.56554 | 0.00 | 582,252.2 | 0.00 | |
| +40 | 30.2936 | 0.00 | 34,176.52 | 0.00 | 6.56555 | 0.00 | 582,247.5 | 0.00 | |
| −40 | 30.2940 | 0.00 | 34,176.92 | 0.00 | 6.56535 | 0.00 | 582,302.9 | 0.01 | |
| cr | −20 | 30.2939 | 0.00 | 34,176.76 | 0.00 | 6.56543 | 0.00 | 582,279.9 | 0.00 | 
| +20 | 30.2935 | 0.00 | 34,176.42 | 0.00 | 6.5656 | 0.00 | 582,233.9 | 0.00 | |
| +40 | 30.2934 | 0.00 | 34,176.25 | 0.00 | 6.56569 | 0.00 | 582,210.9 | −0.01 | |
| −40 | 30.2937 | 0.00 | 34,176.62 | 0.00 | 6.5655 | 0.00 | 582,261.6 | 0.00 | |
| ca | −20 | 30.2937 | 0.00 | 34,176.6 | 0.00 | 6.56551 | 0.00 | 582,259.3 | 0.00 | 
| +20 | 30.2937 | 0.00 | 34,176.57 | 0.00 | 6.56553 | 0.00 | 582,254.6 | 0.00 | |
| +40 | 30.2937 | 0.00 | 34,176.55 | 0.00 | 6.56554 | 0.00 | 582,252.2 | 0.00 | |
| θ | −40 | 30.2493 | −0.15 | 34,119.76 | −0.17 | 6.56546 | 0.00 | 582,275.8 | 0.00 | 
| −20 | 30.2715 | −0.07 | 34,148.19 | −0.08 | 6.56549 | 0.00 | 582,266.3 | 0.00 | |
| +20 | 30.3158 | 0.07 | 34,204.95 | 0.08 | 6.56555 | 0.00 | 582,247.5 | 0.00 | |
| +40 | 30.3379 | 0.15 | 34,233.28 | 0.17 | 6.56558 | 0.00 | 582,238.1 | 0.00 | |
| −40 | 30.2396 | −0.18 | 34,115.6 | −0.18 | 6.5655 | 0.00 | 582,265.2 | 0.00 | |
| −20 | 30.2667 | −0.09 | 34,146.11 | −0.09 | 6.56551 | 0.00 | 582,261.1 | 0.00 | |
| +20 | 30.3207 | 0.09 | 34,207.04 | 0.09 | 6.56553 | 0.00 | 582,252.8 | 0.00 | |
| +40 | 30.3477 | 0.18 | 34,237.46 | 0.18 | 6.56554 | 0.00 | 582,248.7 | 0.00 | |
| −40 | 30.3034 | 0.03 | 34,180.69 | 0.01 | 6.56551 | 0.00 | 582,258.4 | 0.00 | |
| −20 | 30.2985 | 0.02 | 34,178.64 | 0.01 | 6.56552 | 0.00 | 582,257.7 | 0.00 | |
| +20 | 30.2889 | −0.02 | 34,174.53 | −0.01 | 6.56552 | 0.00 | 582,256.2 | 0.00 | |
| +40 | 30.2841 | −0.03 | 34,172.48 | −0.01 | 6.56552 | 0.00 | 582,255.5 | 0.00 | |
| −40 | 30.2937 | 0.00 | 34,176.6 | 0.00 | 6.56551 | 0.00 | 582,258.8 | 0.00 | |
| −20 | 30.2937 | 0.00 | 34,176.59 | 0.00 | 6.56552 | 0.00 | 582,257.9 | 0.00 | |
| +20 | 30.2937 | 0.00 | 34,176.58 | 0.00 | 6.56552 | 0.00 | 582,256 | 0.00 | |
| +40 | 30.2937 | 0.00 | 34,176.57 | 0.00 | 6.56553 | 0.00 | 582,255.1 | 0.00 | |
| −40 | 30.2937 | 0.00 | 34,176.61 | 0.00 | 6.56551 | 0.00 | 582,259.9 | 0.00 | |
| −20 | 30.2937 | 0.00 | 34,176.6 | 0.00 | 6.56551 | 0.00 | 582,258.4 | 0.00 | |
| +20 | 30.2937 | 0.00 | 34,176.58 | 0.00 | 6.56552 | 0.00 | 582,255.4 | 0.00 | |
| +40 | 30.2937 | 0.00 | 34,176.56 | 0.00 | 6.56553 | 0.00 | 582,253.9 | 0.00 | |
| −40 | 30.2937 | 0.00 | 34,176.59 | 0.00 | 6.56552 | 0.00 | 582,257.4 | 0.00 | |
| −20 | 30.2937 | 0.00 | 34,176.59 | 0.00 | 6.56552 | 0.00 | 582,257.2 | 0.00 | |
| +20 | 30.2937 | 0.00 | 34,176.58 | 0.00 | 6.56552 | 0.00 | 582,256.7 | 0.00 | |
| +40 | 30.2937 | 0.00 | 34,176.58 | 0.00 | 6.56552 | 0.00 | 582,256.4 | 0.00 | |
| −40 | 30.2937 | 0.00 | 34,176.61 | 0.00 | 6.56551 | 0.00 | 582,259.6 | 0.00 | |
| −20 | 30.2937 | 0.00 | 34,176.6 | 0.00 | 6.56551 | 0.00 | 582,258.3 | 0.00 | |
| +20 | 30.2937 | 0.00 | 34,176.58 | 0.00 | 6.56552 | 0.00 | 582,255.6 | 0.00 | |
| +40 | 30.2937 | 0.00 | 34,176.57 | 0.00 | 6.56553 | 0.00 | 582,254.3 | 0.00 | |
| −40 | 30.2937 | 0.00 | 34,176.59 | 0.00 | 6.56552 | 0.00 | 582,257.8 | 0.00 | |
| −20 | 30.2937 | 0.00 | 34,176.59 | 0.00 | 6.56552 | 0.00 | 582,257.4 | 0.00 | |
| +20 | 30.2937 | 0.00 | 34,176.58 | 0.00 | 6.56552 | 0.00 | 582,256.5 | 0.00 | |
| +40 | 30.2937 | 0.00 | 34,176.58 | 0.00 | 6.56552 | 0.00 | 582,256.1 | 0.00 | |
| −40 | 30.2937 | 0.00 | 34,176.59 | 0.00 | 6.56552 | 0.00 | 582,257.1 | 0.00 | |
| −20 | 30.2937 | 0.00 | 34,176.59 | 0.00 | 6.56552 | 0.00 | 582,257 | 0.00 | |
| +20 | 30.2937 | 0.00 | 34,176.59 | 0.00 | 6.56552 | 0.00 | 582,256.8 | 0.00 | |
| +40 | 30.2937 | 0.00 | 34,176.58 | 0.00 | 6.56552 | 0.00 | 582,256.7 | 0.00 | |
| −40 | 30.2937 | 0.00 | 34,176.59 | 0.00 | 6.56552 | 0.00 | 582,257 | 0.00 | |
| −20 | 30.2937 | 0.00 | 34,176.59 | 0.00 | 6.56552 | 0.00 | 582,256.9 | 0.00 | |
| +20 | 30.2937 | 0.00 | 34,176.59 | 0.00 | 6.56552 | 0.00 | 582,256.9 | 0.00 | |
| +40 | 30.2937 | 0.00 | 34,176.59 | 0.00 | 6.56552 | 0.00 | 582,256.9 | 0.00 | |
| −40 | 30.2841 | −0.03 | 34,166.2 | −0.03 | 6.57078 | 0.08 | 580,846.2 | −0.24 | |
| λ | −20 | 30.2901 | −0.01 | 34,172.69 | −0.01 | 6.56749 | 0.03 | 581,727.8 | −0.09 | 
| +20 | 30.2961 | 0.01 | 34,179.18 | 0.01 | 6.56420 | −0.02 | 582,609.8 | 0.06 | |
| +40 | 30.2978 | 0.01 | 34,181.03 | 0.01 | 6.56327 | −0.03 | 582,861.9 | 0.10 | |
| w1 | −40 | 50.4905 | 66.67 | 34,177.23 | 0.00 | 6.56519 | −0.01 | 582,345.1 | 0.02 | 
| −20 | 37.8675 | 25.00 | 34,176.94 | 0.00 | 6.56534 | 0.00 | 582,305.6 | 0.01 | |
| +20 | 25.2444 | −16.67 | 34,176.18 | 0.00 | 6.56573 | 0.00 | 582,201.3 | −0.01 | |
| +40 | 21.6378 | −28.57 | 34,175.72 | 0.00 | 6.56596 | 0.01 | 582,139.4 | −0.02 | |
| Parameters | % Change | y* | B* | s* | E[TPU*] | ||||
|---|---|---|---|---|---|---|---|---|---|
| Base case | 30.2937 | 34,176.59 | 6.56552 | 582,256.9 | |||||
| −40 | 30.0826 | −0.7 | 34,208.19 | 0.09 | 6.56547 | 0.00 | 582,268.5 | 0.00 | |
| E[x] | −20 | 30.1861 | −0.36 | 34,190.52 | 0.04 | 6.56549 | 0.00 | 582,262.5 | 0.00 | 
| +20 | 30.4056 | 0.37 | 34,166.46 | −0.03 | 6.56554 | 0.00 | 582,251.9 | 0.00 | |
| +40 | 30.5218 | 0.75 | 34,160.21 | −0.05 | 6.56557 | 0.00 | 582,247.3 | 0.00 | |
| Parameters | % Change | y* | B* | s* | E[TPU*] | ||||
|---|---|---|---|---|---|---|---|---|---|
| Base case | 30.2937 | 34,176.59 | 6.56552 | 582,256.9 | |||||
| −40 | 29.9859 | −1.02 | 34,176.15 | 0.00 | 6.56531 | 0.00 | 582,307.6 | 0.01 | |
| E[m1] | −20 | 30.1364 | −0.52 | 34,173.33 | −0.01 | 6.56541 | 0.00 | 582,282 | 0.00 | 
| +20 | 30.4583 | 0.54 | 34,186.12 | 0.03 | 6.56563 | 0.00 | 582,232.5 | 0.00 | |
| +40 | 30.6303 | 1.11 | 34,202.13 | 0.07 | 6.56573 | 0.00 | 582,208.6 | −0.01 | |
| Parameters | % Change | y* | B* | s* | E[TPU*] | ||||
|---|---|---|---|---|---|---|---|---|---|
| Base case | 30.2937 | 34,176.59 | 6.56552 | 582,256.9 | |||||
| −40 | 30.3216 | 0.09 | 34,200.92 | 0.07 | 6.56550 | 0.00 | 582,264.5 | 0.00 | |
| E[m2] | −20 | 30.3077 | 0.05 | 34,188.75 | 0.04 | 6.56551 | 0.00 | 582,260.7 | 0.00 | 
| +20 | 30.2798 | −0.05 | 34,164.44 | −0.04 | 6.56553 | 0.00 | 582,253.2 | 0.00 | |
| +40 | 30.2659 | −0.09 | 34,152.32 | −0.07 | 6.56554 | 0.00 | 582,249.4 | 0.00 | |
Disclaimer/Publisher’s Note: The statements, opinions and data contained in all publications are solely those of the individual author(s) and contributor(s) and not of MDPI and/or the editor(s). MDPI and/or the editor(s) disclaim responsibility for any injury to people or property resulting from any ideas, methods, instructions or products referred to in the content.  | 
© 2023 by the authors. Licensee MDPI, Basel, Switzerland. This article is an open access article distributed under the terms and conditions of the Creative Commons Attribution (CC BY) license (https://creativecommons.org/licenses/by/4.0/).
Share and Cite
De-la-Cruz-Márquez, C.G.; Cárdenas-Barrón, L.E.; Porter, J.D.; Loera-Hernández, I.d.J.; Smith, N.R.; Céspedes-Mota, A.; Treviño-Garza, G.; Bourguet-Díaz, R.E. An Inventory Model for Growing Items When the Demand Is Price Sensitive with Imperfect Quality, Inspection Errors, Carbon Emissions, and Planned Backorders. Mathematics 2023, 11, 4421. https://doi.org/10.3390/math11214421
De-la-Cruz-Márquez CG, Cárdenas-Barrón LE, Porter JD, Loera-Hernández IdJ, Smith NR, Céspedes-Mota A, Treviño-Garza G, Bourguet-Díaz RE. An Inventory Model for Growing Items When the Demand Is Price Sensitive with Imperfect Quality, Inspection Errors, Carbon Emissions, and Planned Backorders. Mathematics. 2023; 11(21):4421. https://doi.org/10.3390/math11214421
Chicago/Turabian StyleDe-la-Cruz-Márquez, Cynthia Griselle, Leopoldo Eduardo Cárdenas-Barrón, J. David Porter, Imelda de Jesús Loera-Hernández, Neale R. Smith, Armando Céspedes-Mota, Gerardo Treviño-Garza, and Rafael Ernesto Bourguet-Díaz. 2023. "An Inventory Model for Growing Items When the Demand Is Price Sensitive with Imperfect Quality, Inspection Errors, Carbon Emissions, and Planned Backorders" Mathematics 11, no. 21: 4421. https://doi.org/10.3390/math11214421
APA StyleDe-la-Cruz-Márquez, C. G., Cárdenas-Barrón, L. E., Porter, J. D., Loera-Hernández, I. d. J., Smith, N. R., Céspedes-Mota, A., Treviño-Garza, G., & Bourguet-Díaz, R. E. (2023). An Inventory Model for Growing Items When the Demand Is Price Sensitive with Imperfect Quality, Inspection Errors, Carbon Emissions, and Planned Backorders. Mathematics, 11(21), 4421. https://doi.org/10.3390/math11214421
        
                                                
