Simulation Cognitive Modeling Approach to the Regional Sustainable Complex System Development for Improving Quality of Life
Abstract
:1. Introduction
2. Materials and Methods
2.1. Object Definition
2.1.1. Sustainability
2.1.2. Quality of Life
2.1.3. Complex System Development
2.1.4. Metamodel System
2.2. Cognitive Modeling Approach
3. Results
3.1. Cognitive Map Development
3.2. Analysis of Cognitive Map Properties
3.3. Perturbation Robustness Analysis
3.4. Analysis of Paths, Cycles and Structural Stability
4. Discussion
4.1. Scenario Modeling
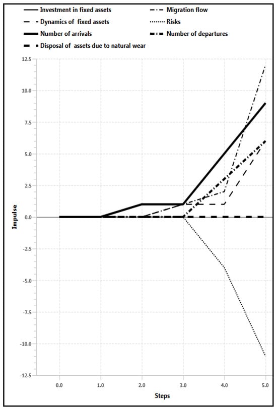
4.2. Introducing Perturbations into One Vertex
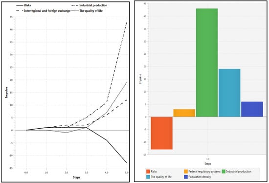
4.3. Introducing Perturbations in Two Vertexs
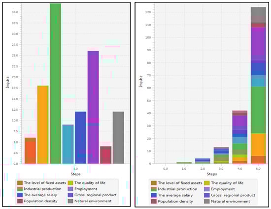
4.4. Introducing Perturbations in Three Vertexs
5. Conclusions
Author Contributions
Funding
Data Availability Statement
Acknowledgments
Conflicts of Interest
References
- Axelrod, R. The Structure of Decision: Cognitive Maps of Political Elites; Princeton University Press: Princeton, NJ, USA, 1976. [Google Scholar]
- Casti, J. Connectivity, Complexity and Catastrophe in Large-Scale Systems; John Wiley & Sons: Toronto, ON, Canada, 1979; 216p. [Google Scholar]
- Eden, C. Cognitive Mapping. Eur. J. Oper. Res. 1998, 36, 1–13. [Google Scholar] [CrossRef]
- Kosko, B. Fuzzy Cognitive Maps. Int. J. Man-Mach. Stud 1986, 24, 65–75. [Google Scholar] [CrossRef]
- Langley, P. Cognitive architectures: Research Issues and Challenges. Cogn. Syst. Res. 2009, 10, 141–160. [Google Scholar] [CrossRef]
- Roberts, F. Graph Theory and Its Applications to Problems of Society; Society for Industrial and Applied Mathematics: Philadelphia, PA, USA, 1978. [Google Scholar]
- Atkin, R.H. Combinatorial Connectivies in Social Systems. An Application of Simplicial Complex Structures to the Study of Large Organisations. In Interdisciplinary Systems Research; Springer: Berlin/Heidelberg, Germany, 1997. [Google Scholar]
- Carvalho, J.P. Rule Based Fuzzy Cognitive Maps in Humanities, Social Sciences and Economics. Soft Computing in Humanities and Social Sciences; Volume 273 of the Series Studies in Fuzziness and Soft Computing; Springer: Berlin/Heidelberg, Germany, 2012; pp. 289–300. [Google Scholar]
- Abramova, N.A.; Avdeeva, Z.K. Cognitive analysis and management of the development of situations: The problems of methodology, theory and practice. Probl. Manag. 2008, 3, 85–87. [Google Scholar]
- Ginis, L.A.; Kolodenkova, A.E. Fuzzy cognitive modeling for the prevention of risk situations at critical infrastructure facilities. Izv. Ufa State Aviat. Tech. Univ. 2017, 4, 113–120. [Google Scholar]
- Avdeeva, Z.K.; Kovriga, S.V. On Governance Decision Support in the Area of Political Stability Using Cognitive Maps. IFAC Pap. OnLine 2018, 51, 498–503. [Google Scholar] [CrossRef]
- Gorelova, G.V. Cognitive Modeling of Complex Systems: State and Prospects. In Proceedings of the International Conference System Analysis in Engineering and Control, St. Petersburg, Russia, 13–14 October 2021; Lecture Notes in Networks and Systems. Volume 442 LNNS, pp. 212–224. [Google Scholar]
- Firsova, A.A.; Makarova, E.L.; Tugusheva, R.R. Institutional Management Elaboration through Cognitive Modeling of the Balanced Sustainable Development of Regional Innovation Systems. J. Open Innov. Technol. Mark. Complex. 2020, 6, 32. [Google Scholar] [CrossRef]
- Gorelova, G.; Melnik, E.; Safronenkova, I. The Problem Statement of Cognitive Modeling in Social Robotic Systems. In Interactive Collaborative Robotics, Proceedings of the 6th International Conference, ICR 2021, St. Petersburg, Russia, 27–30 September 2021; Lecture Notes in Computer Science; Springer International Publishing: Cham, Switzerland, 2021; Volume 12998 LNAI, pp. 62–75. [Google Scholar]
- Makarova, E.L.; Firsova, A.A. Computer Cognitive Modeling of the Innovative System for the Exploration of the Regional Development Strategy. In Proceedings of the CEUR-WS Second Workshop on Computer Modelling in Decision Making (CMDM 2017), Saratov, Russia, 9–10 November 2017; Volume 2018, pp. 113–125. [Google Scholar]
- Gorelova, G.V.; Pankratova, N.D.; Borisova, D.V. Problems of interregional integration, cognitive modeling. IFAC-PapersOnLine 2019, 52, 168–173. [Google Scholar] [CrossRef]
- Bell, S.; Morse, S. Sustainability Indicators: Measuring the immeasurable? 2nd ed.; Routledge: London, UK, 2008; 256p. [Google Scholar] [CrossRef]
- Shelekhov, A.M. (Ed.) Basic Provisions of the Strategy of Sustainable Development of Russia; Commission of the State Dumas on the Problems of Sustainable Development: Moscow, Russia, 2002; 161p. [Google Scholar]
- Gorodnova, N.V.; Samarskaya, N.A. Improving the quality of life of the population in the current economic conditions of Russia. Discussion 2019, 3, 48–58. [Google Scholar]
- Bobylev, S. Sustainable Development: Paradigm for the Future. World Economy Int. Relat. 2017, 61, 107–113. [Google Scholar] [CrossRef]
- Matrosov, V.M.; Koptyuga, V.A.; Levashova, V.K. A New Paradigm of Russia’s Development (Comprehensive Studies of Sustainable Development Problems); Academia RITs GP «Oblinformpechat»: Moscow/Irkutsk, Russia, 2000; 460p. [Google Scholar]
- Gorelova, G.V.; Maslennikova, A.V. Simulation Based Cognitive Methodology and System Dynamics, Analysis of the “South of Russia” System. In Proceedings of the Scientific and Practical Conference “System Analysis in Economics—2012”, Section 2, Moscow, Russia, 27–28 November 2012; CEMI RAN: Moscow, Russia, 2012. 172p. [Google Scholar]
- Indicators of Sustainable Development: Guidelines and Methodologies, 3rd ed.; Nations Publication Sales No. E.08.II.A.2; United Nations: New York, NY, USA, 2007.
- Volkova, V.N.; Denisov, A.A. Systems Theory and System Analysis: Textbook; Yurayt Publishing: Moscow, Russia, 2014; 616p. [Google Scholar]
- Kulba, V.V.; Kononov, D.A.; Kovalevsky, S.S.; Kosyachenko, S.A.; Nizhegorodtsev, R.M.; Chernov, I.V. Scenario Analysis of the Dynamics of the Behavior of Socio-Economic Systems; IPU RAS: Moscow, Russia, 2002; p. 122. [Google Scholar]
- Gorelova, G.V. The system of models and methods for cognitive modeling of complex systems. In Proceedings of the XVIII International Scientific and Practical Conference “Systems Analysis in Engineering and Management”, Saint Petersburg, Russia, 1–3 July 2014; St. Petersburg Polytechnic University of Peter the Great: Saint Petersburg, Russia, 2015; pp. 41–51. [Google Scholar]
- Gorelova, G.V.; Makarova, E.L. Cognitive modeling of the evaluation characteristics for innovative projects to substantiate management decisions. In the System Analysis in Design and Management, Proceedings of the Collection of Scientific Papers of the XXVI International Scientific and Practical Conference, St. Petersburg, Russia, 13–14 October 2022; Polytech-Press: St. Petersburg, Russia, 2023; pp. 225–234. [Google Scholar] [CrossRef]
- Makarova, E.L.; Firsova, A.A. Factors affecting the innovative development of the region. Izv. Saratov Univ. Econ. Manag. Law 2017, 17, 141–147. [Google Scholar]
- Makarova, E.L.; Firsova, A.A. Cognitive analysis of the structural stability for the knowledge-intensive sectors of the regional economy. Izv. Saratov Univ. Math. Mech. Inform. 2022, 22, 401–412. [Google Scholar]
- Gasitashvili, Z.; Kiknadze, M.; Zhvania, T.; Kapanadze, D. Factors Affecting Sustainable Development and Modelling. In Proceedings of the Recent Developments in Mathematical, Statistical and Computational Sciences, AMMCS 2019, Waterloo, ON, Canada, 18–23 August 2021; Kilgour, D.M., Kunze, H., Makarov, R., Melnik, R., Wang, X., Eds.; Springer Proceedings in Mathematics & Statistics. Springer: Cham, Switzerland, 2021; Volume 343. [Google Scholar]
- Tuzhyk, K.; Hewelke, E.; Hewelke, P. Dynamic simulation of sustainable farm development scenarios using cognitive modeling. Ann. Wars. Univ. Life Sci.—SGGW Land Reclam 2017, 49, 43–53. [Google Scholar]
- Zgurovsky, M.Z.; Romanenko, V.D.; Milyavskiy, Y.L. Principles and methods of impulse processes control in cognitive maps of complex systems Part I. J. Autom. Inf. Sci. 2016, 48, 36–45. [Google Scholar] [CrossRef]
- Gorelova, G.V.; Kalinichenko, A.I.; Kuzminov, A.N. Program for Cognitive Modeling and Analysis of Socio-Economic Systems of the Regional Level, Certificate of Registration of a Computer Program RU 2018661506; Rospatent: Moscow, Russia, 2018. [Google Scholar]
- Granberg, A.G. Fundamentals of Regional Economics: Textbook for Universitie, 4th ed.; House of the State University Higher School of Economics: Moscow, Russia, 2004; 495p. [Google Scholar]
- Regiony Rossii. Social’no-Ekonomicheskie Pokazateli (Regions of Russia. Socio-Economic Indicators 2019). 2019. Available online: https://gks.ru/bgd/regl/b19_14p/Main.htm (accessed on 12 April 2023).
- Kulba, V.; Zaikin, O.; Shelkov, A.; Chernov, I. Scenario analysis of management processes in the prevention and the elimination of consequences of man-made disasters. Procedia Comput. Sci. 2017, 112, 2066–2075. [Google Scholar] [CrossRef]
- Adler, Y.P.; Markova, E.V.; Granovsky, Y.V. Planning an Experiment in the Search for Optimal Conditions, 2nd ed.; Nauka: Moscow, Russia, 1976; 139p. [Google Scholar]























| Code | Vertice Name | Vertice Role |
|---|---|---|
| V0 | The quality of life | Goal |
| V1 | Population density | Basic |
| V2 | The level of fixed assets | Managed |
| V3 | Disposal of assets due to natural wear | Basic |
| V4 | Investment in fixed assets | Basic |
| V5 | The market value of fixed assets | Perturb |
| V6 | The current price level | Indicator |
| V7 | Inflation | Perturb |
| V8 | The average salary | Managed |
| V9 | Salary rate | Managed |
| V10 | Industrial production | Control |
| V11 | Employment | Managed |
| V12 | Gross regional product | Indicator, goal |
| V13 | Final consumption. Number of goods purchased for salary | Basic |
| V14 | Interregional and currency foreign currency exchange | Control |
| V15 | Federal regulatory system | Control |
| V16 | Nature environment | Basic |
| V17 | Number of departures | Perturb |
| V18 | Migration flow | Perturb |
| V19 | Dynamics of fixed assets | Basic |
| V20 | Economic and political risks | Perturb |
| V21 | The value of fixed assets at current price | Basic |
| V22 | The level of costs for the construction of fixed assets | Basic, Indicator |
| V23 | Number of arrivals | Managed |
Disclaimer/Publisher’s Note: The statements, opinions and data contained in all publications are solely those of the individual author(s) and contributor(s) and not of MDPI and/or the editor(s). MDPI and/or the editor(s) disclaim responsibility for any injury to people or property resulting from any ideas, methods, instructions or products referred to in the content. |
© 2023 by the authors. Licensee MDPI, Basel, Switzerland. This article is an open access article distributed under the terms and conditions of the Creative Commons Attribution (CC BY) license (https://creativecommons.org/licenses/by/4.0/).
Share and Cite
Firsova, A.; Gorelova, G.; Makarova, E.L.; Makarova, E.A.; Chernyshova, G. Simulation Cognitive Modeling Approach to the Regional Sustainable Complex System Development for Improving Quality of Life. Mathematics 2023, 11, 4369. https://doi.org/10.3390/math11204369
Firsova A, Gorelova G, Makarova EL, Makarova EA, Chernyshova G. Simulation Cognitive Modeling Approach to the Regional Sustainable Complex System Development for Improving Quality of Life. Mathematics. 2023; 11(20):4369. https://doi.org/10.3390/math11204369
Chicago/Turabian StyleFirsova, Anna, Galina Gorelova, Elena L. Makarova, Elena A. Makarova, and Galina Chernyshova. 2023. "Simulation Cognitive Modeling Approach to the Regional Sustainable Complex System Development for Improving Quality of Life" Mathematics 11, no. 20: 4369. https://doi.org/10.3390/math11204369
APA StyleFirsova, A., Gorelova, G., Makarova, E. L., Makarova, E. A., & Chernyshova, G. (2023). Simulation Cognitive Modeling Approach to the Regional Sustainable Complex System Development for Improving Quality of Life. Mathematics, 11(20), 4369. https://doi.org/10.3390/math11204369

