ResInformer: Residual Transformer-Based Artificial Time-Series Forecasting Model for PM2.5 Concentration in Three Major Chinese Cities
Abstract
:1. Introduction
Main Objectives and Contributions
- Inspired by the Informer [28] model, we develop a new time-series forecasting model as a transformer-based scheme that shows significant prediction performance.
- We replace the self-attention distillation operation of the traditional Informer with a residual block for capturing dominating attention on the encoder side.
- We use new versions of the Informer and the developed ResInformer called InformerStack and ResInformerStack using the residual structure instead of the canonical convolution block. The four models are extensively compared using different performance indicators.
- We evaluate the mentioned models using PM2.5 datasets collected from three major Chinese cities, Beijing, Shijiazhuang, and Wuhan.
2. Literature Review
3. Proposed Deep Learning Model
| Algorithm 1: ResInformer ProbSparse Self-Attention Block. |
| Require: Ensure: |
4. Study Areas
5. Experiments
5.1. Experimental Setup
5.2. Dataset Description
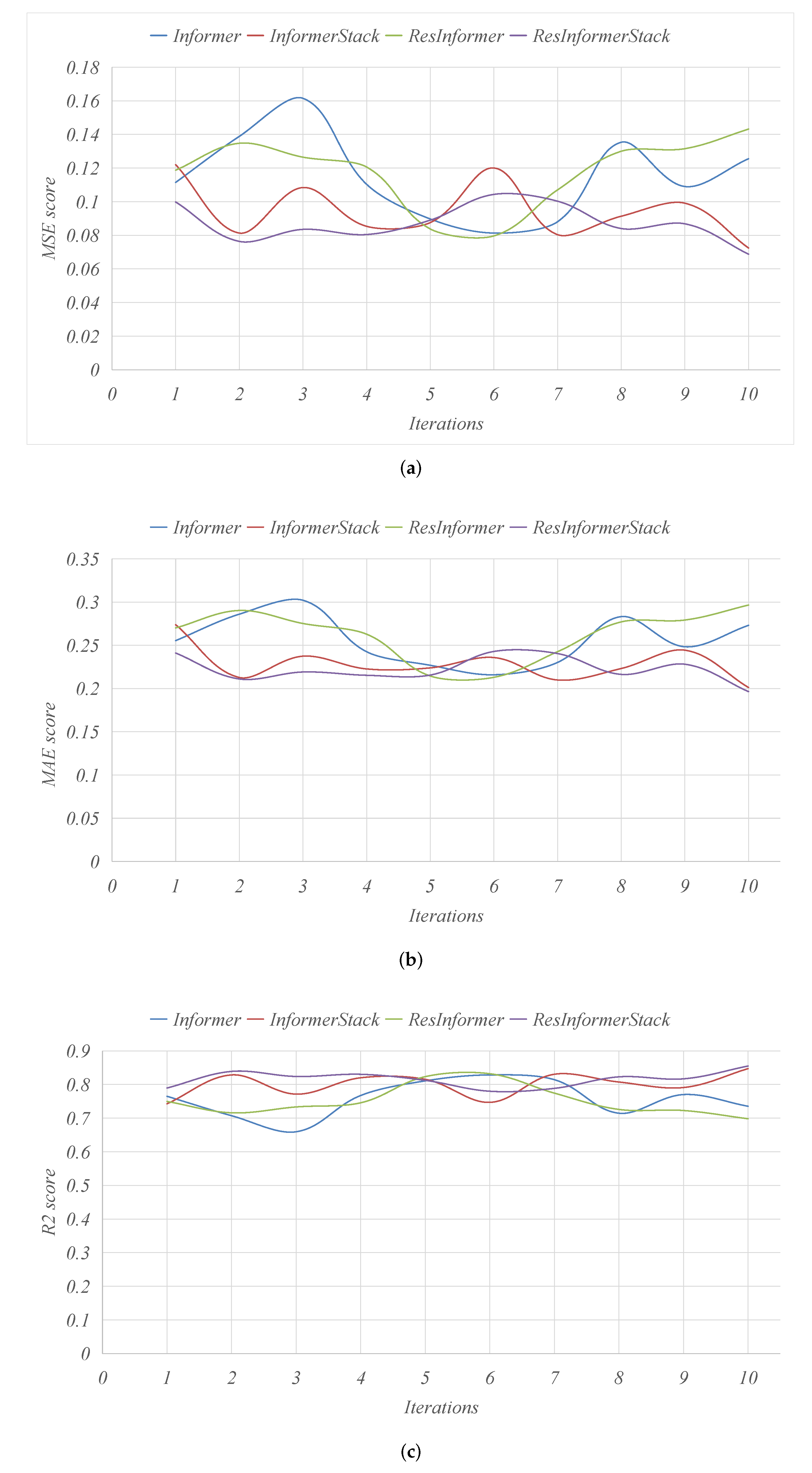
5.3. Results
6. Conclusions
Author Contributions
Funding
Data Availability Statement
Conflicts of Interest
References
- Barthwal, A.; Acharya, D.; Lohani, D. Prediction and analysis of particulate matter (PM2.5 and PM10) concentrations using machine learning techniques. J. Ambient. Intell. Humaniz. Comput. 2021, 1–16. [Google Scholar] [CrossRef]
- Zhang, Z.; Wu, L.; Chen, Y. Forecasting PM2.5 and PM10 concentrations using GMCN (1, N) model with the similar meteorological condition: Case of Shijiazhuang in China. Ecol. Indic. 2020, 119, 106871. [Google Scholar] [CrossRef]
- Wu, J.; Li, T.; Zhang, C.; Cheng, Q.; Shen, H. Hourly PM 2.5 Concentration Monitoring With Spatiotemporal Continuity by the Fusion of Satellite and Station Observations. IEEE J. Sel. Top. Appl. Earth Obs. Remote Sens. 2021, 14, 8019–8032. [Google Scholar] [CrossRef]
- Xiao, F.; Yang, M.; Fan, H.; Fan, G.; Al-Qaness, M.A. An improved deep learning model for predicting daily PM2.5 concentration. Sci. Rep. 2020, 10, 20988. [Google Scholar] [CrossRef] [PubMed]
- Al-Qaness, M.A.; Fan, H.; Ewees, A.A.; Yousri, D.; Abd Elaziz, M. Improved ANFIS model for forecasting Wuhan City air quality and analysis COVID-19 lockdown impacts on air quality. Environ. Res. 2021, 194, 110607. [Google Scholar] [CrossRef]
- Şahin, C.B.; Dinler, Ö.B.; Abualigah, L. Prediction of software vulnerability based deep symbiotic genetic algorithms: Phenotyping of dominant-features. Appl. Intell. 2021, 51, 8271–8287. [Google Scholar] [CrossRef]
- Danandeh Mehr, A.; Rikhtehgar Ghiasi, A.; Yaseen, Z.M.; Sorman, A.U.; Abualigah, L. A novel intelligent deep learning predictive model for meteorological drought forecasting. J. Ambient. Intell. Humaniz. Comput. 2022, 1–15. [Google Scholar] [CrossRef]
- Goudarzi, G.; Hopke, P.K.; Yazdani, M. Forecasting PM2.5 concentration using artificial neural network and its health effects in Ahvaz, Iran. Chemosphere 2021, 283, 131285. [Google Scholar] [CrossRef]
- Jamei, M.; Karbasi, M.; Mosharaf-Dehkordi, M.; Olumegbon, I.A.; Abualigah, L.; Said, Z.; Asadi, A. Estimating the density of hybrid nanofluids for thermal energy application: Application of non-parametric and evolutionary polynomial regression data-intelligent techniques. Measurement 2021, 189, 110524. [Google Scholar] [CrossRef]
- Barbera, E.; Curro, C.; Valenti, G. A hyperbolic model for the effects of urbanization on air pollution. Appl. Math. Model. 2010, 34, 2192–2202. [Google Scholar] [CrossRef] [Green Version]
- Manojkumar, N.; Srimuruganandam, B. Health effects of particulate matter in major Indian cities. Int. J. Environ. Health Res. 2021, 31, 258–270. [Google Scholar] [CrossRef] [PubMed]
- Yang, M.C.; Chen, M.C. Composite Neural Network: Theory and Application to PM2.5 Prediction. IEEE Trans. Knowl. Data Eng. 2021, 35, 1311–1323. [Google Scholar] [CrossRef]
- Liu, H.; Duan, Z.; Chen, C. A hybrid multi-resolution multi-objective ensemble model and its application for forecasting of daily PM2.5 concentrations. Inf. Sci. 2020, 516, 266–292. [Google Scholar] [CrossRef]
- He, J.; Christakos, G.; Jankowski, P. Comparative Performance of the LUR, ANN, and BME Techniques in the Multiscale Spatiotemporal Mapping of PM 2.5 Concentrations in North China. IEEE J. Sel. Top. Appl. Earth Obs. Remote Sens. 2019, 12, 1734–1747. [Google Scholar] [CrossRef]
- Duan, W.; Wang, X.; Cheng, S.; Wang, R. Regional collaboration to simultaneously mitigate PM2.5 and O3 pollution in Beijing-Tianjin-Hebei and the surrounding area: Multi-model synthesis from multiple data sources. Sci. Total. Environ. 2022, 820, 153309. [Google Scholar] [CrossRef]
- Hu, S.; Zhao, G.; Tan, T.; Li, C.; Zong, T.; Xu, N.; Zhu, W.; Hu, M. Current challenges of improving visibility due to increasing nitrate fraction in PM2.5 during the haze days in Beijing, China. Environ. Pollut. 2021, 290, 118032. [Google Scholar] [CrossRef]
- Yang, X.; Zheng, M.; Liu, Y.; Yan, C.; Liu, J.; Liu, J.; Cheng, Y. Exploring sources and health risks of metals in Beijing PM2.5: Insights from long-term online measurements. Sci. Total Environ. 2022, 814, 151954. [Google Scholar] [CrossRef]
- Pan, J.; Xue, Y.; Li, S.; Wang, L.; Mei, J.; Ni, D.; Jiang, J.; Zhang, M.; Yi, S.; Zhang, R.; et al. PM2.5 induces the distant metastasis of lung adenocarcinoma via promoting the stem cell properties of cancer cells. Environ. Pollut. 2022, 296, 118718. [Google Scholar] [CrossRef]
- Yang, S.; Tan, Y.; Mei, H.; Wang, F.; Li, N.; Zhao, J.; Zhang, Y.; Qian, Z.; Chang, J.J.; Syberg, K.M.; et al. Ambient air pollution the risk of stillbirth: A prospective birth cohort study in Wuhan, China. Int. J. Hyg. Environ. Health 2018, 221, 502–509. [Google Scholar] [CrossRef]
- Zhao, J.; Zhang, B.; Yang, S.; Mei, H.; Qian, Z.; Liang, S.; Zhang, Y.; Hu, K.; Tan, Y.; Xian, H.; et al. Maternal exposure to ambient air pollutant and risk of oral clefts in Wuhan, China. Environ. Pollut. 2018, 238, 624–630. [Google Scholar] [CrossRef]
- Yang, Z.; Hao, J.; Huang, S.; Yang, W.; Zhu, Z.; Tian, L.; Lu, Y.; Xiang, H.; Liu, S. Acute effects of air pollution on the incidence of hand, foot, and mouth disease in Wuhan, China. Atmos. Environ. 2020, 225, 117358. [Google Scholar] [CrossRef]
- Qian, Z.; Liang, S.; Yang, S.; Trevathan, E.; Huang, Z.; Yang, R.; Wang, J.; Hu, K.; Zhang, Y.; Vaughn, M.; et al. Ambient air pollution and preterm birth: A prospective birth cohort study in Wuhan, China. Int. J. Hyg. Environ. Health 2016, 219, 195–203. [Google Scholar] [CrossRef] [PubMed]
- Wang, Q.; Zhu, H.; Xu, H.; Lu, K.; Ban, J.; Ma, R.; Li, T. The spatiotemporal trends of PM2.5-and O3-related disease burden coincident with the reduction in air pollution in China between 2005 and 2017. Resour. Conserv. Recycl. 2022, 176, 105918. [Google Scholar] [CrossRef]
- Gao, X.; Koutrakis, P.; Coull, B.; Lin, X.; Vokonas, P.; Schwartz, J.; Baccarelli, A.A. Short-term exposure to PM2.5 components and renal health: Findings from the Veterans Affairs Normative Aging Study. J. Hazard. Mater. 2021, 420, 126557. [Google Scholar] [CrossRef] [PubMed]
- Shao, M.; Wang, W.; Yuan, B.; Parrish, D.D.; Li, X.; Lu, K.; Wu, L.; Wang, X.; Mo, Z.; Yang, S.; et al. Quantifying the role of PM2.5 dropping in variations of ground-level ozone: Inter-comparison between Beijing and Los Angeles. Sci. Total Environ. 2021, 788, 147712. [Google Scholar] [CrossRef]
- Lyu, B.; Cai, Y.; Sun, Z.; Li, J.; Liang, L. Evaluating temporally decomposed associations between PM2.5 and hospitalisation risks of AECOPD: A case study in Beijing from 2010 to 2019. Atmos. Pollut. Res. 2022, 13, 101356. [Google Scholar] [CrossRef]
- Yang, J.; Yan, R.; Nong, M.; Liao, J.; Li, F.; Sun, W. PM2.5 concentrations forecasting in Beijing through deep learning with different inputs, model structures and forecast time. Atmos. Pollut. Res. 2021, 12, 101168. [Google Scholar] [CrossRef]
- Zhou, H.; Zhang, S.; Peng, J.; Zhang, S.; Li, J.; Xiong, H.; Zhang, W. Informer: Beyond efficient transformer for long sequence time-series forecasting. In Proceedings of the AAAI Conference on Artificial Intelligence, Online, 2–9 February 2021; Volume 35, pp. 11106–11115. [Google Scholar]
- Howard, A.; Sandler, M.; Chu, G.; Chen, L.C.; Chen, B.; Tan, M.; Wang, W.; Zhu, Y.; Pang, R.; Vasudevan, V.; et al. Searching for mobilenetv3. In Proceedings of the IEEE International Conference on Computer Vision, Seoul, Republic of Korea, 27 October–2 November 2019; pp. 1314–1324. [Google Scholar]
- Chang, J.H.; Tseng, C.Y. Analysis of correlation between secondary PM2.5 and factory pollution sources by using ANN and the correlation coefficient. IEEE Access 2017, 5, 22812–22822. [Google Scholar] [CrossRef]
- Guo, C.; Liu, G.; Lyu, L.; Chen, C.H. An unsupervised PM2.5 estimation method with different spatio-temporal resolutions based on KIDW-TCGRU. IEEE Access 2020, 8, 190263–190276. [Google Scholar] [CrossRef]
- Cheng, X.; Liu, Y.; Xu, X.; You, W.; Zang, Z.; Gao, L.; Chen, Y.; Su, D.; Yan, P. Lidar data assimilation method based on CRTM and WRF-Chem models and its application in PM2.5 forecasts in Beijing. Sci. Total Environ. 2019, 682, 541–552. [Google Scholar] [CrossRef]
- Qiao, W.; Tian, W.; Tian, Y.; Yang, Q.; Wang, Y.; Zhang, J. The forecasting of PM2.5 using a hybrid model based on wavelet transform and an improved deep learning algorithm. IEEE Access 2019, 7, 142814–142825. [Google Scholar] [CrossRef]
- Huang, G.; Li, X.; Zhang, B.; Ren, J. PM2.5 concentration forecasting at surface monitoring sites using GRU neural network based on empirical mode decomposition. Sci. Total Environ. 2021, 768, 144516. [Google Scholar] [CrossRef] [PubMed]
- Zhao, Y.; Wang, L.; Huang, T.; Tao, S.; Liu, J.; Gao, H.; Luo, J.; Huang, Y.; Liu, X.; Chen, K.; et al. Unsupervised PM2.5 anomalies in China induced by the COVID-19 epidemic. Sci. Total Environ. 2021, 795, 148807. [Google Scholar] [CrossRef] [PubMed]
- Menares, C.; Perez, P.; Parraguez, S.; Fleming, Z.L. Forecasting PM2.5 levels in Santiago de Chile using deep learning neural networks. Urban Clim. 2021, 38, 100906. [Google Scholar] [CrossRef]
- Zhou, W.; Wu, X.; Ding, S.; Ji, X.; Pan, W. Predictions and mitigation strategies of PM2.5 concentration in the Yangtze River Delta of China based on a novel nonlinear seasonal grey model. Environ. Pollut. 2021, 276, 116614. [Google Scholar] [CrossRef]
- Bar, S.; Parida, B.R.; Mandal, S.P.; Pandey, A.C.; Kumar, N.; Mishra, B. Impacts of COVID-19 lockdown on NO2 and PM2.5 levels in major urban cities of Europe and USA. Cities 2021, 117, 103308. [Google Scholar] [CrossRef]
- Liou, N.C.; Luo, C.H.; Mahajan, S.; Chen, L.J. Why Is Short-Time PM2.5 Forecast Difficult? The Effects of Sudden Events. IEEE Access 2019, 8, 12662–12674. [Google Scholar] [CrossRef]
- Deng, F.; Ma, L.; Gao, X.; Chen, J. The MR-CA models for analysis of pollution sources and prediction of PM 2.5. IEEE Trans. Syst. Man, Cybern. Syst. 2017, 49, 814–820. [Google Scholar] [CrossRef]
- Nguyen, M.H.; Le Nguyen, P.; Nguyen, K.; Nguyen, T.H.; Ji, Y. PM2.5 Prediction Using Genetic Algorithm-Based Feature Selection and Encoder-Decoder Model. IEEE Access 2021, 9, 57338–57350. [Google Scholar] [CrossRef]
- Mahajan, S.; Liu, H.M.; Tsai, T.C.; Chen, L.J. Improving the accuracy and efficiency of PM2.5 forecast service using cluster-based hybrid neural network model. IEEE Access 2018, 6, 19193–19204. [Google Scholar] [CrossRef]
- Gu, K.; Qiao, J.; Li, X. Highly efficient picture-based prediction of PM2.5 concentration. IEEE Trans. Ind. Electron. 2018, 66, 3176–3184. [Google Scholar] [CrossRef]
- Sun, Y.; Zeng, Q.; Geng, B.; Lin, X.; Sude, B.; Chen, L. Deep learning architecture for estimating hourly ground-level PM 2.5 using satellite remote sensing. IEEE Geosci. Remote Sens. Lett. 2019, 16, 1343–1347. [Google Scholar] [CrossRef]
- Vaswani, A.; Shazeer, N.; Parmar, N.; Uszkoreit, J.; Jones, L.; Gomez, A.N.; Kaiser, Ł.; Polosukhin, I. Attention is all you need. In Proceedings of the 31st Conference on Neural Information Processing Systems (NIPS 2017), Long Beach, CA, USA, 4–9 December 2017; Volume 30.
- Yu, F.; Koltun, V.; Funkhouser, T. Dilated residual networks. In Proceedings of the IEEE Conference on Computer Vision and Pattern Recognition, Honolulu, HI, USA, 21–26 July 2017; pp. 472–480. [Google Scholar]
- Clevert, D.A.; Unterthiner, T.; Hochreiter, S. Fast and accurate deep network learning by exponential linear units (elus). arXiv 2015, arXiv:1511.07289. [Google Scholar]
- Kingma, D.P.; Ba, J. Adam: A method for stochastic optimization. arXiv 2014, arXiv:1412.6980. [Google Scholar]








| Characteristics | Informer | InformerStack | ResFormer | ResFormerStack |
|---|---|---|---|---|
| Transformer-based | 🗸 | 🗸 | 🗸 | 🗸 |
| ProbSparse self-attention | 🗸 | 🗸 | 🗸 | 🗸 |
| Self-attention distilling | 🗸 | 🗸 | ✗ | ✗ |
| Generative style decoder | 🗸 | 🗸 | 🗸 | 🗸 |
| Encoders/decoders | 1/1 | 2/1 | 1/1 | 2/1 |
| Residual distilation block | ✗ | ✗ | 🗸 | 🗸 |
| City | Model | MSE | MAE | RMSE | MAPE | MSPE | |
|---|---|---|---|---|---|---|---|
| Beijing | Informer | 0.0813 | 0.2159 | 0.8285 | 0.2852 | 0.8064 | 9.79 |
| InformerStack | 0.0725 | 0.2012 | 0.8472 | 0.2692 | 0.8921 | 16.30 | |
| ResInformer | 0.0796 | 0.2130 | 0.8320 | 0.2822 | 0.8565 | 11.96 | |
| ResInformerStack | 0.0688 | 0.1964 | 0.8549 | 0.2623 | 0.7561 | 7.73 | |
| Wuhan | Informer | 0.2730 | 0.4180 | 0.5329 | 0.5225 | 1.44 | 29.94 |
| InformerStack | 0.1380 | 0.2911 | 0.7621 | 0.3716 | 1.49 | 26.94 | |
| ResInformer | 0.2215 | 0.3782 | 0.6142 | 0.4706 | 1.54 | 32.72 | |
| ResInformerStack | 0.1378 | 0.2982 | 0.7656 | 0.3712 | 1.39 | 21.19 | |
| Shijiazhuang | Informer | 0.2614 | 0.2890 | 0.6433 | 0.5112 | 1.79 | 137.91 |
| InformerStack | 0.2925 | 0.3081 | 0.6020 | 0.5408 | 2.25 | 263.97 | |
| ResInformer | 0.2158 | 0.3138 | 0.5857 | 0.4646 | 2.00 | 212.94 | |
| ResInformerStack | 0.2855 | 0.3055 | 0.4937 | 0.5343 | 1.91 | 185.91 |
Disclaimer/Publisher’s Note: The statements, opinions and data contained in all publications are solely those of the individual author(s) and contributor(s) and not of MDPI and/or the editor(s). MDPI and/or the editor(s) disclaim responsibility for any injury to people or property resulting from any ideas, methods, instructions or products referred to in the content. |
© 2023 by the authors. Licensee MDPI, Basel, Switzerland. This article is an open access article distributed under the terms and conditions of the Creative Commons Attribution (CC BY) license (https://creativecommons.org/licenses/by/4.0/).
Share and Cite
Al-qaness, M.A.A.; Dahou, A.; Ewees, A.A.; Abualigah, L.; Huai, J.; Abd Elaziz, M.; Helmi, A.M. ResInformer: Residual Transformer-Based Artificial Time-Series Forecasting Model for PM2.5 Concentration in Three Major Chinese Cities. Mathematics 2023, 11, 476. https://doi.org/10.3390/math11020476
Al-qaness MAA, Dahou A, Ewees AA, Abualigah L, Huai J, Abd Elaziz M, Helmi AM. ResInformer: Residual Transformer-Based Artificial Time-Series Forecasting Model for PM2.5 Concentration in Three Major Chinese Cities. Mathematics. 2023; 11(2):476. https://doi.org/10.3390/math11020476
Chicago/Turabian StyleAl-qaness, Mohammed A. A., Abdelghani Dahou, Ahmed A. Ewees, Laith Abualigah, Jianzhu Huai, Mohamed Abd Elaziz, and Ahmed M. Helmi. 2023. "ResInformer: Residual Transformer-Based Artificial Time-Series Forecasting Model for PM2.5 Concentration in Three Major Chinese Cities" Mathematics 11, no. 2: 476. https://doi.org/10.3390/math11020476
APA StyleAl-qaness, M. A. A., Dahou, A., Ewees, A. A., Abualigah, L., Huai, J., Abd Elaziz, M., & Helmi, A. M. (2023). ResInformer: Residual Transformer-Based Artificial Time-Series Forecasting Model for PM2.5 Concentration in Three Major Chinese Cities. Mathematics, 11(2), 476. https://doi.org/10.3390/math11020476

