Abstract
In a recent work we introduced a semi-Markovian discrete-time generalization of the telegraph process. We referred to this random walk as the ‘squirrel random walk’ (SRW). The SRW is a discrete-time random walk on the one-dimensional infinite lattice where the step direction is reversed at arrival times of a discrete-time renewal process and remains unchanged at uneventful time instants. We first recall general notions of the SRW. The main subject of the paper is the study of the SRW where the step direction switches at the arrival times of a generalization of the Sibuya discrete-time renewal process (GSP) which only recently appeared in the literature. The waiting time density of the GSP, the ‘generalized Sibuya distribution’ (GSD), is such that the moments are finite up to a certain order () and diverging for orders capturing all behaviors from broad to narrow and containing the standard Sibuya distribution as a special case (). We also derive some new representations for the generating functions related to the GSD. We show that the generalized Sibuya SRW exhibits several regimes of anomalous diffusion depending on the lowest order m of diverging GSD moment. The generalized Sibuya SRW opens various new directions in anomalous physics.
Keywords:
non-markovian random walk; telegraph (Cattaneo) process; generalized Sibuya distribution; discrete-time renewal process MSC:
60K15; 60K50
1. Introduction
The telegraph process is an important model for transport where the velocity of the moving particle remains finite with a wide range of applications in physically existing and observable transport phenomena []. The classical telegraph process (Poisson–Kac process) [,] is defined as a one-dimensional motion of a particle with constant velocity where the velocity direction is switched randomly at Poisson renewal times. The classical telegraph process is Markovian, inheriting this feature from the Poisson process. Its time evolution is governed by the (hyperbolic) telegrapher’s (also called Cattaneo) equation avoiding physically forbidden infinite propagation velocities of the moving particle as occurring in the parabolic standard diffusion equation. Meanwhile, a wide range of semi-Markovian variants of the telegraph process, including fractional generalizations, were developed to model anomalous transport (see among others [,,,,,]) as well as a tempered space-fractional generalization []. Compte and Metzler considered phenomenological fractional generalizations [,] and related this model to the Montroll–Weiss continuous-time random walk (CTRW) framework. They found ballistic behavior for long times when the waiting time distribution has a diverging mean, and enhanced non-ballistic transport in cases in which the waiting time distribution has a finite mean. Such behavior also occurs in the large-time asymptotics in our recent SRW model [] and in the model studied in the present paper. Further works considered the occurrence of random velocities [], a relativistic model, and analysis of occupation times, respectively [,], Erlang distributed velocity reversals [,], and distribution of the maximum [] (consult also the references therein).
These works refer to continuous-time variants of the telegraph process. On the other hand, many real-world datasets for instance in finance refer to discrete observation times []. Therefore, it appears natural to consider discrete-time variants of (generalized) telegraph-type processes calling still for thorough analytical investigation. In a recent work [], we introduced a discrete-time semi-Markovian version of the telegraph process, the ‘squirrel random walk’ (SRW), which is also the subject of the present paper. We chose that name since the SRW walker (the ‘squirrel’) in a sense has a ‘weaker’ memory than walks with a full memory of their history, such as the ‘elephant’ walker in the so-called elephant random walk (ERW) [].
Our paper is organized as follows. In Section 2 we give a brief account of discrete-time renewal processes and introduce pertinent generating functions for the present study. These generating functions will be used in Section 3 where we give an outline of basic notions of the SRW. Section 4 is devoted to a generalization of the Sibuya distribution which appeared in the literature only recently []. The speciality of the ‘generalized Sibuya distribution’ (GSD) is that it has existing integer order moments only up to a certain order. In this way the GSD covers a wide range of behaviors from narrow to broad. In Section 5 we analyze the SRW where the step direction is reversed at generalized Sibuya arrival times. We call this walk the ‘generalized Sibuya SRW’. The (anomalous) diffusive features of this walk are analyzed in Section 6.
2. Discrete-Time Renewal Process and Related Generating Functions
The theory of renewal processes generally provides a simple but powerful framework within the theory of point processes in the case in which the waiting times between the events are independent. It is well known that for the Markovian (memoryless) cases, the waiting times can be either exponentially distributed when time is continuous or geometrically distributed for discrete time. However, in many real-world situations the Markov property no longer holds and the process has a memory. This leads to the study of semi-Markov processes [,,,,] (and see the references therein).
Most of the mentioned models, and many others, deal with renewal processes defined for continuous time. Compared to their continuous-time counterparts, the appearance of discrete-time renewal processes in the literature is relatively rare. Based on the theory of semi-Markov processes, Barbu and Limnios analyzed [] discrete-time renewal processes and recent works [,,] are devoted to the analysis and applications of discrete-time renewal processes. In the present section we recall some of their features as far as we need them for the SRW model. We consider a discrete-time counting (renewal) process as follows:
The arrival times (renewal times) (time instants of events, arrivals) are characterized by the random variables
with IID (independent and identically distributed) strictly positive integer increments (‘interarrival times’ or ‘waiting times’ in the renewal interpretation). The renewal chain (2) is a discrete version of a strictly increasing subordinator. We refer to the recent article [] elaborating essential elements of the related theory of discrete-time semi-Markov processes. The increments follow a discrete-time probability density function (PDF)
supported on positive integers with ensuring strictly positive waiting times. We employ the terms PDF and ‘density’ in both cases, discrete-time and continuous-time. The inverse of the renewal chain (2) is the discrete-time counting process (1) which counts the events (renewals) up to time t. In the present paper, we extensively use generating functions (GFs). It is useful to introduce the GF of the waiting time density
which fulfills , indicating normalization of (3), and be reminded that is supported on non-zero integers . Generally, the notation
(with suitably chosen u) stands for the generating function (GF) of discrete functions supported on . We employ as equivalent notations for expectation values where we will often use
It is convenient to introduce the indicator function
which is one for and null else. Then, the ‘state probabilities’ (probabilities for n arrivals up to time t) are given by [] (and see [] for a related analysis for continuous time renewal processes)
A quantity of interest is the variable containing information on the persistence of in state n and which gives a connection to the ‘aged renewal process’ [] (and consult [,,] for the continuous time cases). We have (read as the probability of conditional to )
We consider its double GF () which yields
where recovers the GF of the state probabilities. In these derivations we always use the IID feature of the and (4). The following two relations are related to the SRW propagator, namely
recovering for the state probabilities and
The function in Equation (11) has the GF
with corresponding to the normalization of the state probabilities
For the SRW, the particular case when alternates as and is pertinent. Then we have for (13) the GF
We will come back to these GFs in the context of the SRW propagator in the subsequent section.
3. The Squirrel Random Walk—SRW
Here we give a brief outline of the ‘squirrel random walk’ (SRW), for an extensive study we refer to our recent work []. The SRW is a discrete-time random walk where directed unit steps are performed at integer time instants (we denote with the time variable)
The directions of steps are switched at arrival times of a discrete-time renewal process . A precise definition of the SRW is as follows:
- (i)
- At uneventful time instants t, the squirrel performs a unit step in the same direction as at where this holds for .
- (ii)
- At arrival times t, the squirrel changes the step direction with respect to the previous step .
- (iii)
- We define that no step is performed at in order to ensure the initial condition . The first step is performed at in the direction if is uneventful and if there is an event at . The direction can be thought of as either prescribed or randomly chosen.
In the following, we consider as given. From the above, it follows that the steps can be represented as
where the Kronecker- ensures that no step is performed at . Therefore, given ,
with initial condition and where cover the steps in - and in the opposite direction, respectively. Now we introduce the propagator (probability that the squirrel at time t is sitting on ) as follows
with the Kronecker symbol . Now using
we have
and with (18) and (15) the characteristic function is written as
In addition, the GF is useful where tells us that the propagator is a (spatially) normalized PDF. Then we introduce
which is a polynomial of degree t (‘state polynomial’) since for as with initial condition . The feature reflects normalization of the state probabilities, and for the average step is contained, namely
where takes into account that no step is performed at maintaining the initial condition . The GF of the average steps then takes
with the GF of the state polynomial
The GF of the expected position then reads
with the initial condition . We will focus on the ‘generalized Sibuya SRW’ where the instants of the step reversals are drawn from a generalization of the Sibuya distribution, which is the subject of the subsequent section.
4. Generalized Sibuya Counting Process
Here we consider a discrete-time counting process with IID generalized Sibuya waiting times. The resulting generalized Sibuya distribution (GSD) was to our knowledge first introduced and thoroughly studied by Kozubowski and Podgórski []. In the present section, we recall the GSD in the light of discrete-time renewal processes and derive some auxiliary GFs needed in Section 5 and Section 6. To this end, we introduce the GSP waiting time PDF as follows
where ⌈⌉ indicates the ceiling function, producing the smallest integer larger than or equal to where we mainly focus on non-integer . The positiveness of this expression is easily confirmed by accounting for , (see especially (37)). For , i.e., (27) recovers the standard Sibuya distribution []. We refer to PDF (27) as the ‘generalized Sibuya distribution’ (GSD).
We construct the ‘generalized Sibuya counting process’ (GSP) such that it has a discrete waiting-time PDF with finite moments up to order () and diverging moments of orders . This implies that is finite for and for (). The GSD has the following GF
with
which removes the terms with alternating signs in the expansion ; thus, contains all non-alternating orders for of this expansion. One can easily verify that the sign of these terms is ; thus, (28) contains only non-negative coefficients and is of the form
where shifts the distribution by to the left, ensuring that is non-zero from . The normalization factor is obtained as
Let us remark that, although , integer values are admissible retrieving corresponding to the trivial (deterministic) counting process and coinciding with the limit of a Bernoulli counting process where p indicates the probability of a Bernoulli success. By construction, and we employ the Pochhammer symbol
and we mention the useful features . We notice for later use the property
thus, () and for . Then we can expand (29) with respect to as follows
Therefore, the GF (28) can be written compactly as
In the large-time limit we have for (27) the representation (we employ the symbol ∼ for asymptotic equality and use as )
which holds for any . Thus, the GSD (27) covers any power-law from narrow (large ) to broad (small ). In particular, for () (27) recovers the fat-tailed (broad) standard Sibuya distribution with diverging first moment [,]. The long-time asymptotics (33), by invoking Tauberian theorems, is obtained from the asymptotic expansion of (32) for with the relevant part (in which we can safely neglect the integer powers () as they do not have distributions with long tails).
It appears instructive to consider the GSP in the light of a sequential trial scheme that can be adopted for any discrete-time renewal process (see [,] for details). Perform a sequence of (GSP-) trials where each trial has two possible outcomes, ‘success’ or ‘fail’, where we introduce the random variables () with if the outcome is a success and for a fail and (no trial at ). Then introduce the conditional probability of a success in the kth trial given there was no success in earlier trials. Then performing at each integer time instant t a trial we have for the GSP counting variable
Then the waiting time density has the interpretation as the probability of the first GSP-success at time t [], i.e.,
Here, is the probability of a sequence of k GSP fails (probability of no GSP success in k trials, ‘survival probability’). We point out that any discrete PDF indeed can be represented by such a sequential trial scheme with (see [] for details).
Let us elaborate on this structure for the GSP. Unlike in a Bernoulli trial process (characterized by the memoryless property independent of t) the GSD has a memory which is reflected by (35) containing the complete history up to this first GSP success. Then we can rewrite (27) in terms of Pochhammer symbols as follows
Now, since , we have ()
coinciding with the representation which ad hoc was introduced by Kozubowski and Podgórski [] and clearly has the structure (35), where we identify
with . Indeed () retrieves the standard Sibuya process.
We notice that if the trivial counting process is recovered where each trial is a success with .
From (37) we obtain the ‘survival probability’, i.e., the probability of no event up to time t in a GSP (which we now denote with )
with initial condition . The large-time asymptotics are obtained as
where for and these relations recover the case of the standard Sibuya process.
For what follows we recall the Gauss hypergeometric function defined as []
It is sufficient to consider here with where for large r the coefficients decay with a power-law as (). In this case (41) converges for and the Gauss summation theorem holds []:
The GF of the GSP survival probability (39) has then the form
converging for for standard Sibuya and for for (see the asymptotic relation (40)). Using (39) with and by using (42) we reconfirm (38), namely
We evaluate the first moment of the random variable T having GSD (27) existing for (), which yields
which is also conveniently obtained by accounting for representation (32). Note that, since on positive integers, it is necessarily , which is fulfilled by this relation as . We also observe that when we put the first moment is consistent with the behavior of the corresponding trivial counting process (with ). Further, for we have
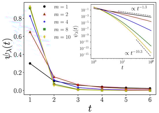
reflecting that, for large , the GSD becomes extremely narrow. Figure 1 shows the GSD for different values of m. Notice that with increasing m the GSD becomes more narrow, and this is also reflected by the large-time power-law scaling (33).

Bernoulli Time-Changed with GSP and Scaling Limits
Before we return to the SRW, it appears instructive to highlight some connections of the GSP with pertinent counting processes which have recently appeared in the literature and to consider scaling limits to continuous time. To this end, we introduce the composed counting process where is a Bernoulli process and a GSP independent of . This composition is a Bernoulli counting process time-changed with a GSP where Bernoulli trials are performed at arrival times of the GSP (which describes a random clock). For outlines on such compositions, we refer to [,,]. The GF of the waiting time PDF of this composition is given by
with the Bernoulli waiting time GF with where p denotes the probability of success in each single Bernoulli trial. The limit (i.e., ) retrieves the GSP.
In the Sibuya case , the composed process contains the so-called ‘fractional Bernoulli counting process’ (of type B). The fractional Bernoulli counting process was introduced in [] and has the waiting time GF
Evoking Tauberian arguments, the long-time asymptotics of the waiting time density of the composed process can be obtained by expanding (46) for and considering only the lowest non-integer order in (see (32)), namely
where is the mean waiting time in a Bernoulli process. We skip in this asymptotic relation all integer orders in . Hence, we get the density of the composed process
having the same tail of the GSD (33) up to the multiplier (Bernoulli mean).
Now we can define a well-scaled limit to continuous time where (see [] for a thorough outline of such continuum limit procedures)
with the scaling assumption ( is an arbitrary constant independent of the time increment h and of the physical dimension ). The scaling exponent has to be chosen such that this limit exists. Then, accounting for (32) with , we have the asymptotic relation
with given by (45). Therefore, there exist only two possible limits for (50), namely for (standard Sibuya case) we have ; thus, we obtain for that limit
which is the Laplace transform of the Mittag–Leffler density, obtained in [] as the continuous time limit of fractional Bernoulli to the fractional Poisson renewal process (see, e.g., [] among the many papers on the subject). For , this limit exists only if we choose thus we get (by introducing the new constant time scale constant )
which is the Laplace transform of the exponential density of the standard Poisson process. For the composition converges in the above defined scaling limit to the standard Poisson process.
These features also come into play when we consider the scaling limit of the expectation of the rescaled GSP renewal chain for (see Equation (2)) and choose exponent such that this limit exists
where we use the IID feature of the interarrival times together with (4) and we have to choose for (standard Sibuya) and for . Hence is a stable subordinator.
5. Generalized Sibuya SRW
Large Time Asymptotics of the Expected Squirrel Position
Here we explore the diffusive features of the generalized Sibuya SRW where the step directions are switched at GSP arrival times. To this end, consider first the large-time asymptotics of the expected position. From (32) we have in the asymptotic expansion three cases
We denote with the symbol a power series in containing solely integer powers of orders larger than one. Further we use as . The constant is positive (existing for ) and yields with (32)
where the non-negativeness of can be seen from . Since , this coefficient also contains the second moment of the GSD
where was determined in (45). Of further interest is the variance existing for () which yields
The GSP variance (58) coincides with the expression given in [] (see there Definition 1 with Remark 4 and Equation (22) in that paper and identify , in their notation). Recall that we mainly consider and bear in mind that integer values are admissible by defining the deterministic counting process , where for () the variance (58) exists and is vanishing.
Now with (26) and (55) we obtain for the GF of the expected squirrel position the asymptotic relation
The first line in this relation corresponds to standard Sibuya. In order to capture the leading contributions for large times, by Tauberian arguments, we have, respectively, picked up the lowest integer and non-integer orders in (Remark: For since we have which is consistent with our previous result []—see Equation (26) and identify with for ). This yields
For (standard Sibuya) the squirrel escapes to infinity along the direction of by a -power law. Physically, this can be interpreted by the occurrence of very long waiting times between the step reversals.
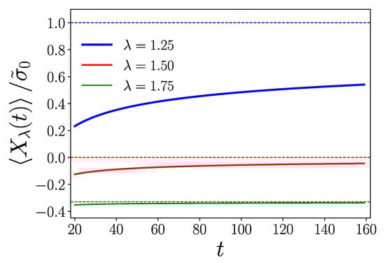
For narrower GSDs with (shorter waiting times with existing mean ) the squirrel remains trapped close to the departure site where the value is approached by a -power law term which has opposite sign to (see (61)). For we have and , where the walk is in the large-time limit unbiased (in the average any second step is reversed). For (i.e., and with ), the waiting times between the step reversals are still relatively long (the GSD being relatively broad) where has the same sign as . In this case, the squirrel does not escape in -direction, but in the average remains trapped on the same side of the departure site (). This behavior changes for , which means shorter waiting times between the step switches and narrower GSD (): the sign of changes and becomes opposite to . We can see this more closely if we rewrite (60) for ( and ) as
This relation is plotted in Figure 2 for three values of including the asymptotically unbiased case , where the squirrel approaches the departure site with a –law.

Figure 2.
Large-time behavior of the expected position (61) for , , and . The case (red curve) corresponds to an asymptotically unbiased walk with . Dashed lines denote .
6. Anomalous Diffusive Features
In this section, we analyze the mean square displacement (MSD) which we denote with (with respect to the initial position ) and especially focus on the large-time asymptotics. The MSD is given by
where the new quantity comes into play
of the so-called aged (generalized Sibuya) counting process , and recovers the original GSP. Aged renewal processes have been introduced and analyzed for continuous-time renewal processes [,,] and only recently for discrete-time counting processes []. We emphasize that the aged renewal process (apart of the Markovian cases, Bernoulli, and Poisson) depends on the ‘aging parameter’ r and is different from the original counting process reflecting non-markovianity of the latter. To evaluate (62) (see [] for more details) it is useful to consider first the GF (we suppress here in to emphasize that this deduction holds for any discrete-time renewal process):
We further introduce the auxiliary function and its double GF
where in the second line we substitute and introduced the discrete Heaviside step function for and else (especially ). We then can write for the MSD GF
where and with (65) we have
To evaluate this relation we need to determine , which is the GF of the state polynomial of the aged counting process
where stands for the double GF of the state probabilities of the aged process which we determine as
Note that indicates that , i.e., that a state n at time still persists at time . Using the IID feature of the and this yields
Now we can evaluate (68) to arrive at
This relation contains the GF of the state polynomial (25) of the original counting process . Then we obtain for (67), which determines the MSD GF (66), the expression
Now consider the large-time asymptotics of the MSD for the case when is the GSP where we denote then (72) with . Using (55) for and we have
where is an expansion containing only integer powers with . Thus, we obtain ()
where only the first two terms in (72) contain the relevant orders. Inversion of (74) yields ()
The MSD (62) then scales as
where all quantities are non-negative and with the GSD variance determined in (58) and the mean waiting time in (45). Hence this relation is written as
In view of the power laws governing the expected position (60), one can see that . Therefore, the MSD (77) dominates the large-time asymptotics of the spatial variance of the squirrel motion. The normal diffusive behavior occurring for breaks down at the limits () where we have (see (56)–(58)) with deterministic oscillatory squirrel motions. Contrarily to these cases, the limit is non-deterministic which is expressed by (see (77)) corresponding to persistent normal diffusion (Brownian motion) of the squirrel with spatial Gaussian limiting distribution of propagator (20). The limiting cases and () exhibit distinct behaviors that are considered more closely in the Appendix A.
We identify three different diffusive large-time regimes for the generalized Sibuya SRW:
- (i)
- A ballistic superdiffusive regime when the GSD is broad with (standard Sibuya) with a –law.
- (ii)
- A superdiffusive regime for with a –law with scaling exponent .
- (iii)
- A normal diffusive regime when the GSD is narrow for with the emergence of Brownian motion.
These results are consistent with those obtained in our recent paper [] by considering general asymptotic features of discrete-time renewal processes. Superdiffusive large-time regimes of these types were also reported for continuous time Cattaneo transport models [,]. The generalized Sibuya SRW of the present study covers for different ranges of the whole spectrum from anomalous–ballistic (i), over anomalous (ii), to normal (Brownian) diffusion (iii).
7. Conclusions
In the present paper, we have studied a semi-Markovian discrete-time generalization of the telegraph (Cattaneo) process where the waiting times between the step reversals follow the generalized Sibuya distribution—GSD. We called this walk the generalized Sibuya SRW. It turns out that the presented model has a large flexibility to cover a wide range of behaviors including superdiffusive-ballistic, superdiffusive, and normal diffusive transport. We have shown that these features are solely governed by the ‘broadness’ of the GSD waiting time density. For follow-up research, an interesting subject is an analysis of scaling limits to continuous time and space which define new semi-Markovian generalizations of telegraph (Cattaneo) processes.
Moreover, variants of SRW models in multidimensional spaces appear to be interesting directions. For instance, in problems where a walker is moving with constant velocity in a D-dimensional infinite space and changing its velocity direction randomly at the renewal times of a discrete-time counting process such as the GSD or others. The class of generalized Sibuya SRW and similar models open various new directions in random walk theory, general fractional calculus, and non-Markovian dynamics in complex systems.
Author Contributions
Conceptualization, T.M.M., F.P. and A.P.R.; Methodology, T.M.M., F.P. and A.P.R. All authors have read and agreed to the published version of the manuscript.
Funding
F. Polito has been partially supported by INdAM/GNAMPA.
Data Availability Statement
Not applicable.
Conflicts of Interest
The authors declare no conflict of interest.
Appendix A
Let us discuss here the behaviors emerging in the limiting cases and (), respectively.
(a) ( with and ): Then we have and thus
i.e., for the MSD (77)
is singular where the average position , see (61). In the limit emerges for large observation times Brownian diffusion (according to case (iii)) where the squirrel position is in the average on the departure site, but with extremely large fluctuations. We observe in (77) that the normal diffusive behavior is not singular at the limits () for and it is also different at the limit which we consider next.
(b) ( with and ): let us compare this limit with (a). We then have and with (77)
where with (61) we see that . This limit corresponds to the Brownian motion of the squirrel and is different from the (deterministic) trivial oscillatory motion of the case and is also different from the fast Brownian motion emerging in the limit of (a).
It is worthy of mention that relation (A2) can be re-derived in the following different way. GF (28) has for the form
with small . For we have
Now consider the second derivative
inversion yields a Dirac -distribution concentrated at . Although the second derivative does not exist at we can define it in a distributional (Gelfand–Shilov) sense [,,] to define constant for the (‘forbidden’) limit
In fact, what we are using in (A4) is that the asymptotic expansion of for captures the dominating contribution of the GSD power-law tail , namely
where we use the Gelfand–Shilov distributional relation which only captures the information of the highest moment . The contribution (A8) is in a sense due to the power law tail of of which is dying out for and which is null for the deterministic case with the exact value .
In the same way, we can consider the mth moment in the limit for any . We then have for the tail (33) the distributional relation
which leads to the finite limiting value for the mth moment
For , this yields and is different from singular limiting case . For a further discussion of the (standard Sibuya) limit , we refer to our recent paper [].
Now it is instructive to compare with where . In the latter case we have thus (33) takes the form
which remains ‘broad’ behaving as when (contrarily to the limit , see (A9) for ). Therefore, the nth moment
has a -singularity.
Considering now again the two limits and , their difference becomes clear when we look at the tails of the GSD (33) where . Finally, we have
Contrary to the PDF (A13) remains broad for . Therefore,
Then we further have ; thus
bringing us back to (A1).
References
- Giona, M.; Cairoli, A.; Klages, R. Extended Poisson-Kac Theory: A Unifying Framework for Stochastic Processes with Finite Propagation Velocity. Phys. Rev. X 2022, 12, 021004. [Google Scholar] [CrossRef]
- Goldstein, S. On diffusion by discontinuous movements, and on the telegraph equation. Q. J. Mech. Appl. Math. 1951, 4, 129–156. [Google Scholar] [CrossRef]
- Kac, M. A stochastic model related to the telegrapher’s equation. Rocky Mt. J. Math. 1974, 4, 497–509. [Google Scholar] [CrossRef]
- D’Ovidio, M.; Orsingher, E.; Toaldo, B. Time-Changed Processes Governed by Space-Time Fractional Telegraph Equations. Stoch. Anal. Appl. 2014, 32, 1009–1045. [Google Scholar] [CrossRef]
- D’Ovidio, M.; Polito, F. Fractional Diffusion-Telegraph Equations and their Associated Stochastic Solutions. Theory Probab. Its Appl. 2017, 62, 692–718. [Google Scholar] [CrossRef]
- Garra, R.; Orsingher, E.; Polito, F. Fractional Klein–Gordon Equations and Related Stochastic Processes. J. Stat. Phys. 2014, 155, 777–809. [Google Scholar] [CrossRef]
- Górska, K.; Horzela, A.; Lenzi, E.K.; Pagnini, G.; Sandev, T. Generalized Cattaneo (telegrapher’s) equations in modeling anomalous diffusion phenomena. Phys. Rev. E 2020, 102, 022128. [Google Scholar] [CrossRef] [PubMed]
- Masoliver, J. Fractional telegrapher’s equation from fractional persistent random walks. Phys. Rev. E 2016, 93, 052107. [Google Scholar] [CrossRef]
- Orsingher, E.; Beghin, L. Time-fractional telegraph equations and telegraph processes with brownian time. Probab. Theory Relat. Fields 2003, 128, 141–160. [Google Scholar] [CrossRef]
- Beghin, L.; Garra, R.; Mainardi, F.; Pagnini, G. The tempered space-fractional Cattaneo equation. Probabilistic Eng. Mech. 2022, 70, 103374. [Google Scholar] [CrossRef]
- Compte, A.; Metzler, R. The generalized Cattaneo equation for the description of anomalous transport processes. J. Phys. A Math. Gen. 1997, 30, 7277–7289. [Google Scholar] [CrossRef]
- Compte, A.; Metzler, E. Stochastic foundation of normal and anomalous Cattaneo-type transport. Phys. A 1999, 268, 454–468. [Google Scholar]
- Michelitsch, T.M.; Polito, F.; Riascos, A.P. Squirrels can little remember: A random walk with jump reversals induced by a discrete-time renewal process. Commun. Nonlinear Sci. Numer. Simul. 2023, 118, 107031. [Google Scholar] [CrossRef]
- Stadje, W.; Zacks, S. Telegraph processes with random velocities. J Appl. Probab. 2004, 41, 665–678. [Google Scholar] [CrossRef]
- Beghin, L.; Nieddu, L.; Orsingher, E. Probabilistic analysis of the telegrapher’s process with drift by means of relativistic transformations. J. Appl. Math. Stoch. Anal. 2001, 14, 11–25. [Google Scholar] [CrossRef]
- Bogachev, L.; Ratanov, N. Occupation time distributions for the telegraph process. Stoch. Process. Their Appl. 2011, 121, 1816–1844. [Google Scholar] [CrossRef]
- Di Crescenzo, A. On random motions with velocities alternating at Erlang-distributed random times. Adv. Appl. Probab. 2001, 33, 690–701. [Google Scholar] [CrossRef]
- Di Crescenzo, A.; Martinucci, B. On the Generalized Telegraph Process with Deterministic Jumps. Methodol. Comput. Appl. Probab. 2011, 15, 215–235. [Google Scholar] [CrossRef]
- Cinque, F.; Orsingher, E. On the distribution of the maximum of the telegraph process. Theory Probab. Math. Stat. 2020, 102, 73–95. [Google Scholar] [CrossRef]
- De Gregorio, A.; Iacus, S.M. Parametric estimation for the standard and geometric telegraph process observed at discrete times. Stat. Inference Stoch. Process. 2008, 11, 249–263. [Google Scholar] [CrossRef]
- Schütz, G.M.; Trimper, S. Elephants can always remember: Exact long-range memory effects in a non-Markovian random walk. Phys. Rev. E 2004, 70, 045101. [Google Scholar] [CrossRef] [PubMed]
- Kozubowski, T.J.; Podgórski, K. A generalized Sibuya distribution. Ann. Inst. Math. 2018, 70, 855–887. [Google Scholar] [CrossRef]
- Cox, D.R. Renewal Theory; Methuen: London, UK, 1962. [Google Scholar]
- Feller, W. An Introduction to Probability Theory and Its Applications, 3rd ed.; Wiley: New York, NY, USA, 1993; Volume 1. [Google Scholar]
- Lévy, P. Processus semi-markoviens. Proc. Int. Congr. Math. (Amsterdam) 1954, 3, 416–426. [Google Scholar]
- Pyke, R. Markov Renewal Processes with Finitely Many States. Ann. Math. Stat. 1961, 32, 1243–1259. [Google Scholar] [CrossRef]
- Smith, W.L. Regenerative stochastic processes. Proc. R. Soc. Lond. Ser. A Math. Phys. Sci. 1955, 232, 6–31. [Google Scholar]
- Barbu, V.S.; Limnios, N. Semi-Markov Chains and Hidden Semi-Markov Models Toward Applications, Lecture Notes in Statistics, 191; Springer: New York, NY, USA, 2008. [Google Scholar] [CrossRef]
- Michelitsch, T.M.; Polito, F.; Riascos, A.P. On discrete time Prabhakar-generalized fractional Poisson processes and related stochastic dynamics. Phys. A 2021, 565, 125541. [Google Scholar] [CrossRef]
- Michelitsch, T.M.; Polito, F.; Riascos, A.P. Asymmetric random walks with bias generated by discrete-time counting processes. Commun. Nonlinear Sci. Numer. Simul. 2021, 109, 106121. [Google Scholar] [CrossRef]
- Pachon, A.; Polito, F.; Ricciuti, C. On discrete-time semi-Markov processes. Discret. Contin. Dyn. Syst. Ser. B 2021, 26, 1499–1529. [Google Scholar] [CrossRef]
- Godrèche, C.; Luck, J.-M. Statistics of the Occupation Time of Renewal Processes. J. Stat. Phys. 2001, 104, 489–524. [Google Scholar] [CrossRef]
- Barkai, E.; Cheng, Y.-C. Aging continuous time random walks. J. Chem. Phys. 2003, 118, 6167–6178. [Google Scholar] [CrossRef]
- Schulz, J.H.P.; Barkai, E.; Metzler, R. Aging Renewal Theory and Application to Random Walks. Phys. Rev. X 2014, 4, 011028. [Google Scholar] [CrossRef]
- Sibuya, M. Generalized hypergeometric, digamma, and trigamma distributions. Ann. Inst. Stat. Math. 1979, 31, 373–390. [Google Scholar] [CrossRef]
- Whittaker, E.T.; Watson, G.N. A Course of Modern Analysis; Cambridge University Press: Cambridge, UK, 1927. [Google Scholar]
- Orsingher, E.; Polito, F. Compositions, Random Sums and Continued Random Fractions of Poisson and Fractional Poisson Processes. J. Stat. Phys. 2012, 148, 233–249. [Google Scholar] [CrossRef]
- Laskin, N. Fractional Poisson process. Commun. Nonlinear Sci. Numer. Simul. 2003, 8, 201–213. [Google Scholar] [CrossRef]
- Gel’fand, I.M.; Shilov, G.E. Generalized Functions, Volume I; Academic Press: New York, NY, USA, 1968. [Google Scholar]
- Gel’fand, I.M.; Shilov, G.E. Generalized Functions, Volume II; Academic Press: New York, NY, USA, 1968. [Google Scholar]
- Gel’fand, I.M.; Shilov, G.E. Generalized Functions, Volume III; Academic Press: New York, NY, USA, 1968. [Google Scholar]
Disclaimer/Publisher’s Note: The statements, opinions and data contained in all publications are solely those of the individual author(s) and contributor(s) and not of MDPI and/or the editor(s). MDPI and/or the editor(s) disclaim responsibility for any injury to people or property resulting from any ideas, methods, instructions or products referred to in the content. |
© 2023 by the authors. Licensee MDPI, Basel, Switzerland. This article is an open access article distributed under the terms and conditions of the Creative Commons Attribution (CC BY) license (https://creativecommons.org/licenses/by/4.0/).