ASIDS: A Robust Data Synthesis Method for Generating Optimal Synthetic Samples
Abstract
1. Introduction
2. Related Work
3. Proposed Method
3.1. Overview
- Linear interpolation can only be performed between two samples belonging to different adjacent subspace sets.
- Interpolation must be performed for each sample.
- Participation of each sample point is restricted to a single interpolation instance.
| Algorithm 1: ASIDS. |
![]() |
- is a continuous function.
- The linear fitting error is .
- and y are continuous variables.
3.2. K-Space
- Each subspace contains an equal number of samples, i.e., ;
- Each sample belongs to only one subset, i.e., .
| Algorithm 2: K-Space. |
![]() |
3.3. K-Match
| Algorithm 3: K-Match. |
Input: Subset Output: Matching scheme 1 Fit the dataset and obtain 2 Obtain using Equation (10) 3 Sort the samples in and according to the value of , and obtain and 4 Combine and into |
3.4. Supplementary Notes
- The choice of the hyperparameter k is crucial, as different datasets require different values of k. Conversely, the hyperparameter tends to exhibit a better performance as its value increases, which will be illustrated in the experimental results in the following section.
- It is necessary to normalize the data if there is a significant difference in the dimensional scale between the features of the data. This avoids the issue of generating an excessive number of samples.
- In most cases, is not an integer, and for the excess samples, we usually have two solutions for handling this. The first one is to use the LOF algorithm [27] to filter out the excess samples that are not needed for ASIDS, as is shown in Figure 2c. Another solution is to treat the excess samples as a dataset of a subspace . When interpolating between and other subspaces , we choose an appropriate linear regression method to fit the dataset and obtain . Then, we use the same method to sort and . Only interpolations are performed, with each sample in being interpolated, while for , only samples are interpolated. Moreover, we interpolate the samples with the opposite signs of as much as possible, as is shown in Figure 3.
4. Verification of the Performances of ASIDS
4.1. Simulated Datasets
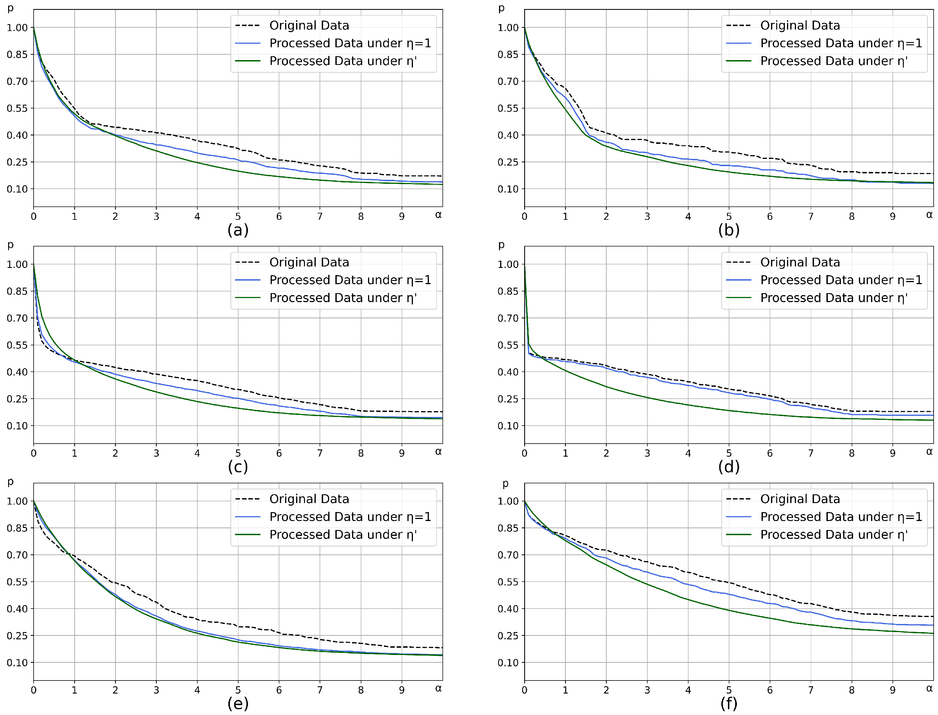
4.1.1. Hyperparameter Selection
4.1.2. Comparison of Optimization Performance
4.2. Benchmark Datasets
5. Conclusions
Author Contributions
Funding
Data Availability Statement
Conflicts of Interest
References
- ALRikabi, H.T.S.; Hazim, H.T. Enhanced data security of communication system using combined encryption and steganography. iJIM 2021, 15, 145. [Google Scholar] [CrossRef]
- Kollias, D. ABAW: Learning from synthetic data & multi-task learning challenges. In Computer Vision—ECCV 2022 Workshops; Springer: Cham, Switzerland, 2022; pp. 157–172. [Google Scholar]
- Mahesh, B. Machine learning algorithms—A review. Int. J. Sci. Res. (IJSR) 2020, 9, 381–386. [Google Scholar]
- Lepot, M.; Aubin, J.B.; Clemens, F.H.L.R. Interpolation in time series: An introductive overview of existing methods, their performance criteria and uncertainty assessment. Water 2017, 9, 796. [Google Scholar] [CrossRef]
- Chlap, P.; Min, H.; Vandenberg, N.; Dowling, J.; Holloway, L.; Haworth, A. A review of medical image data augmentation techniques for deep learning applications. J. Med. Imaging Radiat. Oncol. 2021, 65, 545–563. [Google Scholar] [CrossRef] [PubMed]
- Shorten, C.; Khoshgoftaar, T.M. A survey on image data augmentation for deep learning. J. Big Data 2019, 6, 1–48. [Google Scholar] [CrossRef]
- Chawla, N.V.; Bowyer, K.W.; Hall, L.O.; Kegelmeyer, W.P. SMOTE: Synthetic minority over-sampling technique. J. Artif. Intell. Res. 2002, 16, 321–357. [Google Scholar] [CrossRef]
- Dablain, D.; Krawczyk, B.; Chawla, N.V. DeepSMOTE: Fusing deep learning and SMOTE for imbalanced data. IEEE Trans. Neural Netw. Learn. Syst. 2022. [Google Scholar] [CrossRef] [PubMed]
- Han, H.; Wang, W.Y.; Mao, B.H. Borderline-SMOTE: A new over-sampling method in imbalanced data sets learning. In Proceedings of the International Conference on Intelligent Computing, Hefei, China, 23–26 August 2005; Springer: Berlin/Heidelberg, Germany, 2005; pp. 878–887. [Google Scholar]
- Bunkhumpornpat, C.; Sinapiromsaran, K.; Lursinsap, C. Safe-level-smote: Safe-level-synthetic minority over-sampling technique for handling the class imbalanced problem. In Advances in Knowledge Discovery and Data Mining, Proceedings of the 13th Pacific-Asia Conference, PAKDD 2009 Bangkok, Thailand, 27–30 April 2009; Springer: Berlin/Heidelberg, Germany, 2009; pp. 475–482. [Google Scholar]
- Ha, T.; Dang, T.K.; Dang, T.T.; Truong, T.A.; Nguyen, M.T. Differential privacy in deep learning: An overview. In Proceedings of the 2019 International Conference on Advanced Computing and Applications (ACOMP), Nha Trang, Vietnam, 26–28 November 2019; pp. 97–102. [Google Scholar]
- Meng, D.; De La Torre, F. Robust matrix factorization with unknown noise. In Proceedings of the IEEE International Conference on Computer Vision, Sydney, Australia, 1–8 December 2013; pp. 1337–1344. [Google Scholar]
- Raghunathan, T.E. Synthetic data. Annu. Rev. Stat. Its Appl. 2021, 8, 129–140. [Google Scholar] [CrossRef]
- Sibson, R. A brief description of natural neighbour interpolation. In Interpreting Multivariate Data; Wiley: New York, NY, USA, 1981; pp. 21–36. [Google Scholar]
- Tachev, G.T. Piecewise linear interpolation with nonequidistant nodes. Numer. Funct. Anal. Optim. 2000, 21, 945–953. [Google Scholar] [CrossRef]
- Blu, T.; Thévenaz, P.; Unser, M. Linear interpolation revitalized. IEEE Trans. Image Process. 2004, 13, 710–719. [Google Scholar] [CrossRef] [PubMed]
- Berrut, J.P.; Trefethen, L.N. Barycentric lagrange interpolation. SIAM Rev. 2004, 46, 501–517. [Google Scholar] [CrossRef]
- Musial, J.P.; Verstraete, M.M.; Gobron, N. Comparing the effectiveness of recent algorithms to fill and smooth incomplete and noisy time series. Atmos. Chem. Phys. 2011, 11, 7905–7923. [Google Scholar] [CrossRef]
- Fornberg, B.; Zuev, J. The Runge phenomenon and spatially variable shape parameters in RBF interpolation. Comput. Math. Appl. 2007, 54, 379–398. [Google Scholar] [CrossRef]
- Rabbath, C.A.; Corriveau, D. A comparison of piecewise cubic Hermite interpolating polynomials, cubic splines and piecewise linear functions for the approximation of projectile aerodynamics. Def. Technol. 2019, 15, 741–757. [Google Scholar] [CrossRef]
- Habermann, C.; Kindermann, F. Multidimensional spline interpolation: Theory and applications. Comput. Econ. 2007, 30, 153–169. [Google Scholar] [CrossRef]
- Ganzburg, M.I. The Bernstein constant and polynomial interpolation at the Chebyshev nodes. J. Approx. Theory 2002, 119, 193–213. [Google Scholar] [CrossRef][Green Version]
- Bové, D.S.; Held, L.; Kauermann, G. Objective Bayesian Model Selection in Generalized Additive Models With Penalized Splines. J. Comput. Graph. Stat. 2015, 24, 394–415. [Google Scholar] [CrossRef]
- Cleveland, W.S. Robust locally weighted regression and smoothing scatterplots. J. Am. Stat. Assoc. 1979, 74, 829–836. [Google Scholar] [CrossRef]
- Lichti, D.D.; Chan, T.O.; Belton, D. Linear regression with an observation distribution model. J. Geod. 2021, 95, 1–14. [Google Scholar] [CrossRef]
- Liu, C.; Li, B.; Vorobeychik, Y.; Oprea, A. Robust linear regression against training data poisoning. In Proceedings of the 10th ACM Workshop on Artificial Intelligence and Security, Dallas, TX, USA, 3 November 2017; pp. 91–102. [Google Scholar]
- Breunig, M.M.; Kriegel, H.P.; Ng, R.T.; Sander, J. LOF: Identifying density-based local outliers. In Proceedings of the 2000 ACM SIGMOD International Conference on Management of Data, Dallas, TX, USA, 16–18 May 2000; pp. 93–104. [Google Scholar]
- Guo, Y.; Wang, W.; Wang, X. A robust linear regression feature selection method for data sets with unknown noise. IEEE Trans. Knowl. Data Eng. 2021, 35, 31–44. [Google Scholar] [CrossRef]
- Cukierski, W. Bike Sharing Demand. Kaggle. 2014. Available online: https://kaggle.com/competitions/bike-sharing-demand (accessed on 25 October 2014).
- Dua, D.; Craff, C. UCI Machine Learning Repository. 2017. Available online: http://archive.ics.uci.edu/ml (accessed on 25 January 2017).







| Simulated Datasets | Distribution | Sample Size | () |
|---|---|---|---|
| 20%-N(0, 64) 30%-U(−8,8) 50%-N(0, 0.04) | 500 | (5, 3) | |
| 20%-N(0, 64) 30%-U(−8,8) 50%-N(0, 0.04) | 200 | (5, 3) | |
| 20%-N(0, 64) 30%-U(−8,8) 50%-N(0, 0.04) | 1500 | (5, 3) | |
| 20%-N(0, 64) 30%-U(−8,8) 50%-N(0, 0.04) | 500 | (1, 3) | |
| 20%-N(0, 64) 30%-U(−8,8) 50%-N(0, 0.04) | 500 | (20, 10) | |
| 40%-N(0, 64) 45%-U(−8,8) 15%-N(0, 0.04) | 500 | (5, 3) |
| Datasets | Processing | Hyperparameter | Testing MAE () | ||||
|---|---|---|---|---|---|---|---|
| KNN | RF | MLP | SVR | GBDT | |||
| Bike Sharing | - | - | 0.12 | ||||
| ASIDS | 0.06 | ||||||
| - | - | 1.33 | |||||
| ASIDS | |||||||
| Air Quality | - | - | |||||
| ASIDS | |||||||
| Forest Fires | - | - | |||||
| ASIDS | |||||||
Disclaimer/Publisher’s Note: The statements, opinions and data contained in all publications are solely those of the individual author(s) and contributor(s) and not of MDPI and/or the editor(s). MDPI and/or the editor(s) disclaim responsibility for any injury to people or property resulting from any ideas, methods, instructions or products referred to in the content. |
© 2023 by the authors. Licensee MDPI, Basel, Switzerland. This article is an open access article distributed under the terms and conditions of the Creative Commons Attribution (CC BY) license (https://creativecommons.org/licenses/by/4.0/).
Share and Cite
Du, Y.; Cai, Y.; Jin, X.; Wang, H.; Li, Y.; Lu, M. ASIDS: A Robust Data Synthesis Method for Generating Optimal Synthetic Samples. Mathematics 2023, 11, 3891. https://doi.org/10.3390/math11183891
Du Y, Cai Y, Jin X, Wang H, Li Y, Lu M. ASIDS: A Robust Data Synthesis Method for Generating Optimal Synthetic Samples. Mathematics. 2023; 11(18):3891. https://doi.org/10.3390/math11183891
Chicago/Turabian StyleDu, Yukun, Yitao Cai, Xiao Jin, Hongxia Wang, Yao Li, and Min Lu. 2023. "ASIDS: A Robust Data Synthesis Method for Generating Optimal Synthetic Samples" Mathematics 11, no. 18: 3891. https://doi.org/10.3390/math11183891
APA StyleDu, Y., Cai, Y., Jin, X., Wang, H., Li, Y., & Lu, M. (2023). ASIDS: A Robust Data Synthesis Method for Generating Optimal Synthetic Samples. Mathematics, 11(18), 3891. https://doi.org/10.3390/math11183891


