Next Article in Journal
Research on Real-Time Detection Algorithm for Pavement Cracks Based on SparseInst-CDSM
Next Article in Special Issue
Credit Risk Assessment of Heavy-Polluting Enterprises: A Wide-p Penalty and Deep Learning Approach
Previous Article in Journal
Parametric Iterative Method for Addressing an Embedded-Steel Constitutive Model with Multiple Roots
Previous Article in Special Issue
Efficiency Evaluation of China’s Provincial Digital Economy Based on a DEA Cross-Efficiency Model
 
 
Font Type:
Arial Georgia Verdana
Font Size:
Aa Aa Aa
Line Spacing:
Column Width:
Background:
Article

Supply Chain Scheduling Method for the Coordination of Agile Production and Port Delivery Operation

1
School of Atmospheric Sciences, Sun Yat-sen University, Zhuhai 519082, China
2
School of Electronic and Information Engineering, Tongji University, Shanghai 200092, China
3
School of Economics and Management, Anhui Normal University, Wuhu 241000, China
*
Author to whom correspondence should be addressed.
Mathematics 2023, 11(15), 3276; https://doi.org/10.3390/math11153276
Submission received: 17 May 2023 / Revised: 5 July 2023 / Accepted: 12 July 2023 / Published: 26 July 2023
(This article belongs to the Special Issue Data-Driven Decision Making: Models, Methods and Applications)

Abstract

The cost-reducing potential of intelligent supply chains (ISCs) has been recognized by companies and researchers. This paper investigates a two-echelon steel supply chain scheduling problem that considers the parallel-batching processing and deterioration effect in the production stage and sufficient vehicles in the port delivery stage. To solve this problem, we first analyze several sufficient and necessary conditions of the optimal scheme. We then propose a heuristic algorithm based on a dynamic programming algorithm to obtain the optimal solution for a special case where the assignment of all ingots to the soaking pits is known. Based on the results of this special case, we develop a modified biased random-key genetic algorithm (BRKGA), which incorporates genetic operations based on the flower pollination algorithm (FPA) to obtain joint production and distribution schedules for the general problem. Finally, we conduct a series of computational experiments, the results of which indicate that BRKGA-FPA has certain advantages in solving quality and convergence speed issues.

1. Introduction

To address the complexities of manufacturing markets and shifting customer demand, traditional supply chains are evolving toward agile and intelligent networks. In recent decades, advances in intelligent manufacturing technology (IMT) and intelligent manufacturing systems (IMS) have contributed to the development of supply chain networks [1,2,3,4]. Instead of considering production scheduling and distribution decisions separately, manufacturers integrate decisions with activities such as product R&D, procurement, manufacturing, distribution, and service [5,6]. With the development of the industrial internet and industrial robotics technology, manufacturing networks and logistics networks have gradually improved, thus enabling business, material, capital, and information flows in traditional supply chains to be efficiently linked [7,8].
On the other hand, steel production overcapacity has intensified the competition among steel companies in China and thus, shortened the product life cycle of steel products. In this context, steel companies in China have launched various intelligent manufacturing projects that are expected to improve the quality and efficiency of steel production. To explore intelligent supply chain collaboration between manufacturing units, marketing departments, logistics service providers, and customers, Baoshan Iron & Steel Co., Ltd., (Shanghai, China), (Baosteel) has built an intelligent supply chain system with full supply chain coordination by integrating new technologies such as the internet of things, cloud computing, and big data. The system framework includes the user layer, sales management layer, logistics management layer, and manufacturing management layer [9]. One of the essential aspects of the intelligent supply chain framework is the integration of production and transportation to satisfy downstream customer demand for just-in-time (JIT) production [10]. Maanshan Iron & Steel Co., Ltd., (Maanshan, Chian) (Masteel) is one of the largest iron and steel producers and marketers in China. The company also actively explores digital workshop solutions for the complete metallurgy process. To meet the needs of individualized customization, Masteel integrates the production execution process with the business intelligence decision-making process to achieve synergy between manufacturing and logistics [11].
In addition to the exploration of steel companies, their production coordination and transportation have attracted significant attention from production and operations management researchers [12]. Agnetis et al. [13] indicated that most previous studies on supply chain collaboration focused on the strategic and tactical levels, instead of on the operational level. Recent research has gradually begun to focus on supply chain collaboration at the executive level motivated by practical supply chain operations. A review of a production and delivery model from the perspective of scheduling was conducted by Chen [14] and Moons et al. [15]. Hall and Potts [16] first studied operational decision-making problems between production and distribution from the view of supply chain scheduling. They presented different collaborative scheduling problems in a three-stage supply chain. The authors analyzed the complexity of each problem and designed corresponding dynamic programming (DP) algorithms to solve the problems. Mahdavi-Mazdeh et al. [17,18,19] and Fu et al. [20] investigated a class of single production line scheduling problems with batch delivery in a two-stage supply chain formed by a manufacturer and a customer or multiple customers, and they proposed different branch-and-bound solutions (B&B) to solve the problems. The aforementioned papers provided optimal solutions for each entity of the supply chain by designing exact algorithms, that is, DP and B&B solutions. Given the impact of third-party logistics (3PL) and core manufacturing resources on the supply chain, Agnetis et al. [13] investigated integrated production and delivery scheduling problems by allowing outsourced distribution. Yin et al. [21,22] studied coordination between production and batch delivery with resource-dependent processing times in a single-machine setting. These articles revealed that some of the practical factors, such as specific processing methods and transportation modes in the supply chain, could significantly enhance the difficulty of coordination optimization. To this end, the articles demonstrated the NP-hardness of general problems and developed polynomial-time algorithms based on dynamic programming algorithms for several special cases.
However, due to the complexity of the algorithms (DP, B&B, polynomial-time algorithms), they can only solve small-scale problems. As an effective and efficient technology to large-scale combinatorial optimization problems, various improved Genetic Algorithms (GA) have been developed to solve the hybrid flow shop scheduling (HFS), slab stack shuffling (SSS), production planning and scheduling (PPS), and integrated production distribution (IPD) problems [23,24,25,26,27,28]. Besides GAs, other meta-heuristic algorithms, such as the imperialist competitive algorithm (ICA) [29] and improved variable neighborhood algorithms such as variable neighborhood search with harmony search (VNS-HS) [30] and shuffle frog leap algorithm with variable neighborhood search (SFLA-VNS) [31] were also proposed to provide decision support for manufacturers and transporters. For parallel-batching scheduling problems, hybrid or improved meta-heuristic algorithms such as estimation of distribution algorithm with differential evolution (EDA-DE) [32], cuckoo search algorithm with self-adaptive differential evolution (CS-JADE) [33], and artificial bee colony with tabu search (ABC-TS) [34] are proposed. Comparisons of these algorithms are shown in Table 1.
Given that the hybrid optimization algorithms have achieved good application effects on relevant problems, we develop a modified biased random-key genetic algorithm (BRKGA) incorporating a novel genetic operation based on the flower pollination algorithm (FPA) to solve this problem. The BRKGA-FPA can make the discrete solution space continuous to avoid the emergence of infeasible solutions, which makes it superior to the improved GAs discussed thus far.
In contrast to the features addressed in prior studies, for example, those on 3PL, release time, and resource-dependent processing time, this paper investigates two features that exist simultaneously in the steel production process: parallel-batching processing and deterioration effect. In the practical steel-making process, a steel ingot passes through four phases before being rolled—pouring, solidifying, stripping, and soaking. The soaking phase creates a bottleneck and is limited by the number of soaking pits. As defined in Tang et al. [35], the processing time of an ingot is the time required for reheating and soaking it in the soaking pit. All the ingots assigned to a soaking pit simultaneously are regarded as a batch, and the processing time of a batch is determined by the longest processing time of the ingots assigned to the batch. According to Patel et al. [36], the temperature of the ingot waiting to enter the soaking pit decreases over time. Thus, the soaking time for the required rolling temperature increases. Few studies in the literature have involved research on production coordination and delivery problems with deteriorating jobs in a setting with parallel-batching machines. Tang et al. [37] considered a series of parallel-batching scheduling problems with deteriorating processing times and a two-agent processing mode. According to the capacity of the batching machine, the authors divided the problems into bound and unbound cases. They proposed different dynamic programming algorithms to solve the problems in the unbound case, and gave the proof of NP-hardness for problems in the bound case. In fact, time-dependent processing is common in practical production such as machine maintenance assignments, firefighting, and hospital emergencies [38,39,40], where more effort and time is required for tasks if they are processed later. The concept of a deterioration effect was first introduced to a single-machine or multiple-machine scheduling environment by Gupta and Gupta [41] and Browne and Yechiali [42]. The authors proposed a linear deteriorating jobs model where the actual processing time of a job linearly increases as the processing start time increases (i.e., becomes later). Further information on deteriorating job scheduling can be found in Gawiejnowicz [43]. Motivated by the practical production and distribution process in the intelligent supply chains of steel companies, this paper investigates a two-stage supply chain scheduling problem with deteriorating jobs in a parallel machine setting to reduce supply chain inventory costs and shorten lead times.
To bridge the gap between academic research into supply chain management and steel industrial practice, this paper considers parallel-batching processing, deteriorating jobs, and delivery costs in two-stage steel supply chain scheduling. In contrast to prior studies [31,34,44], this paper proposes a hybrid meta-heuristic algorithm that expands the supply chain scheduling technique. The main contributions are summarized as follows.
  • Contribution to model building. Focusing on the critical segment, production, and distribution in an intelligent supply chain, we derive a collaborative optimization model of the manufacturing and transportation networks for a practical steel supply chain. We consider the parallel-batching processing method and deterioration effects in the steel production process.
  • Contribution to settlement thinking. This paper is organized as “local to global.” We begin with the production and transportation collaborative optimization problem involving a single soaking pit. We analyze the influence of deterioration effects on the total objective value and design a heuristic algorithm based on a backward dynamic programming algorithm (H-DP algorithm). Additionally, we develop a hybrid meta-heuristic algorithm-embedded H-DP algorithm to provide manufacturers and transporters their own production and transportation solutions.
  • Contribution to meta-heuristic algorithms. We select the BRKGA because of its superior performance in solving combinatorial optimization problems. Instead of the traditional parameterized uniform crossover operation proposed in BRKGA, we develop a novel genetic crossover operation based on the cross-pollination and self-pollination in the FPA algorithm, which helps improve the global optimization ability and convergence speed of the BRKGA.
The following content is arranged as follows: Section 2 mainly lists the notations and reports our problem in detail. Section 3 then presents several useful preliminaries of the proposed model. In Section 4, a heuristic algorithm is proposed to solve the collaborative optimization problem involving a single soaking pit. In Section 5, we introduce the meta-heuristic algorithm related to the proposed algorithm. A specific introduction to the hybrid meta-heuristic is given in Section 6, and experiment results are presented in Section 7. Finally, conclusions and future research priorities are given in Section 8.

2. Background and Problem Formulation

2.1. Practical Background

Our model is motivated by the ingot-soaking process in the steel industry [35,36,37]. A steel ingot goes through four stages before being rolled: pouring, solidifying, stripping, and soaking (see Figure 1). The molten steel from a steel-making furnace is first poured into several empty molds. When the liquid molten steel in each mold is solidified, stripping removes the molds. Finally, the ingots are reheated and soaked in a soaking pit until they reach a predetermined rolling temperature and are delivered at the required temperature.
The soaking pit can process several ingots simultaneously. Thus, it is considered a parallel-batching machine, and all the ingots assigned to it simultaneously are considered a batch. The ingot processing time is the time required to re-heat and soak the ingot in the soaking pit. Since the soaking process cannot be interrupted once it starts, the processing time of a batch is the longest processing time of the ingots assigned to the batch. As defined in Patel et al. [36], we consider the time taken including pouring, solidifying, and stripping as track time. During track time, ingots are cast and kept on platforms, which can be transported on the rail. The temperature of the ingot decreases over time and the temperature decrease causes the required soaking time to increase.

2.2. Problem Description

A two-echelon supply chain is composed of an upstream steel-making factory that has m soaking pits, a transporter that owns sufficient vehicles, and a downstream rolling plant. In the steel-making phase, suppose there are n ingots waiting to be soaked in the buffering platform after going through the pouring, solidifying, and stripping stages. These n ingots are then reheated and soaked in batches by m identical soaking pits. That is, an ingot only needs to be reheated and soaked in any soaking pit, and a soaking pit, M i { M 1 , , M i , , M m } , can reheat and soak up to c ingots simultaneously. The capacity of the soaking pits is no less than n, that is, c n . As stated, the set of ingots sharing a soaking pit at the same time is called a batch, and the longest processing time among all ingots in a batch is used to represent the processing time of the batch. Once a batch of ingots is completed, these completed ingots are delivered to the customer immediately.
An ingot, that is, J j { J 1 , , J j , , J n } , is characterized by two parameters: the normal processing time p j and the actual processing time p j A . The normal processing time of an ingot is its required soaking time without reheating, while the actual processing time includes the ingot reheating and soaking time. As the ingots wait to be rolled, they gradually cool down in the platform, and the ingots processed later require extra time to reheat to the pre-determined rolling temperature. Specifically, according to the deterioration model defined in Yin et al. [45], the relationship between the normal processing time and the actual processing time is illustrated by the following formula (see Equation (1)).
p j A = p j ( 1 + a t )
where t is the starting time of ingot J j and a is the deterioration rate with a 0 .
For the k t h batch processed in soaking pit M i , say, B i k , the number of ingots in this batch is denoted by n i k , and the normal processing time and the completion time of this batch are denoted by P ( B i k ) as well as C ( B i k ) , respectively. Note that the normal processing time of the batch is the maximum normal processing time of all the ingots in the batch; that is, P ( B i k ) = m a x { p j | J j B i k } ) .
In the delivery phase, suppose there are sufficient vehicles to deliver the completed batches in the upstream production phase to the downstream port. Some assumptions of the delivery strategy are as follows.
  • The capacity of the vehicle is no less than that of the soaking pit.
  • Once the production of a batch is completed, it is immediately transported by vehicle to a port.
  • Each vehicle only delivers a batch at a time, and there are L batches in total.
  • The transportation time of each vehicle is the same and is denoted by T.
  • The delivery cost for each delivery batch is identical and denoted by D.
In this paper, the time interval from the beginning of the planning horizon to the time that ingot J j is received by the downstream rolling plant is denoted by F j , which is called the flow time of ingot J j . This paper provides the optimal decision support for both manufacturers and transporters, such that the objective value F j + D L is minimized, where F j is the total flow time of all the ingots and D L is the total delivery costs. Adopting the five-field notation presented in Chen [14], this problem can be expressed as P m | p b a t c h , p j A = p j ( 1 + a t ) | V ( , ) | 1 | F j + D L , where P m means the parallel machines setting, p b a t c h and p j A = p j ( 1 + a t ) show that the ingots should be processed by parallel-batching method and the actual processing time of the ingots is influenced by linear deterioration effect, V ( , ) means both the number and capacity of the vehicles are sufficient, 1 shows that there is only one port, and finally, the objective function is to minimize F j + D L . To offer an intuitive understanding of our problem, Figure 2 shows the production and distribution process studied in this paper. The mathematical model of the proposed problem is given in Appendix A.
The solution to this problem should respond to the following decisions.
  • How to assign the ingots to each soaking pit?
  • What is the processing order of the ingots assigned to each of the soaking pits?
  • How to determine the delivery points to deliver the ingots in batch?

3. Preliminaries

We analyze several structural properties to facilitate the presentation of the algorithm proposed in the next section. It is obvious that all the batches processed in a soaking pit should be processed continuously, and each batch should be delivered immediately after its production in the optimal solution of the proposed problem. Thus, according to the lemma proposed in Chen [14], we propose Lemma 1, which shows that idle time is not allowed between two continuous batches. In Lemma 2, we present the delivery policy of each batch, where the batches are transported to the port immediately after processing.
Lemma 1. 
For the problem P m | p b a t c h , p j A = p j ( 1 + a t ) | V ( , ) | 1 | F j + D L , there is an optimal schedule where any idle time between two continuous batches processed in each soaking pit in the steel-making stage is not allowed.
Proof. 
Suppose there is an optimal scheme in which there is idle time between adjacent batches (i.e., B i k and B i ( k + 1 ) ). If we remove the idle time by processing batch B i ( k + 1 ) immediately after batch B i k is completed, then the completion time of B i ( k + 1 ) will be advanced. Thus, the schedule without idle time does not affect the delivery solution. Therefore, the objective value will not be changed and the schedule without idle time is also an optimal schedule.    □
Lemma 2. 
For the problem P m | p b a t c h , p j A = p j ( 1 + a t ) | V ( , ) | 1 | F j + D L , there is an optimal scheme where the departure time of a delivery batch is the completion time of the batch.
Proof. 
Assume there is an optimal scheme in which there is idle time between the completion time and departure time of a batch. If we remove this idle time, then the total flow time of this batch will be smaller. Furthermore, the objective value will be smaller. Hence, a schedule without idle time is also an optimal solution.    □
In the following Lemmas 3 to 4, and Corollary 1, we show the calculation of the objective function value for a given schedule. Suppose there are b i batches that are re-heated and soaked in soaking pit M i . Similar to the lemmas proposed in Yin et al. [45], the completion of the time of each batch is given in Lemma 3 accordingly. Based on the result of Lemma 3, the contribution of b i batches processed in soaking pit M i to the objective function value is obtained in Lemma 4. The calculation of the objective function value is reported in Corollary 1.
Lemma 3. 
For the problem P m | p b a t c h , p j A = p j ( 1 + a t ) | V ( , ) | 1 | F j + D L , the completion time of the k t h batch reheated and soaked in soaking pit M i is given by
C ( B i k ) = ( t 0 + 1 a ) r = 1 k ( 1 + a P ( B i r ) ) 1 a
Proof. 
According to the increment in batch quantity, we utilize mathematical induction to demonstrate this lemma. Firstly, for k = 1 , we have
C ( B i 1 ) = t 0 ( 1 + a P ( B i 1 ) ) + P ( B i 1 )
thus, (3) holds for k = 1 . For all 2 k b i 1 , if (3) holds, then
C ( B i k ) = ( t 0 + 1 a ) r = 1 k ( 1 + a P ( B i r ) ) 1 a
Moreover, the completion time of batch B i ( k + 1 ) can be expressed as
C ( B i ( k + 1 ) ) = ( 1 + a P ( B i ( k + 1 ) ) ) ( ( t 0 + 1 a ) ( r = 1 k ( 1 + a P ( B i r ) ) 1 a ) + P ( B i ( k + 1 ) ) = ( t 0 + 1 a ) r = 1 k + 1 ( 1 + a P ( B i r ) ) 1 a
Thus, (2) holds for the batch B i ( k + 1 ) and B i b i .    □
Lemma 4. 
For the problem P m | p b a t c h , p j A = p j ( 1 + a t ) | V ( , ) | 1 | F j + D L , the contribution of all the ingots processed in soaking pit M i to the total objective function is
O V i = k = 1 b i n i k ( ( t 0 + 1 a ) r = 1 k ( 1 + a P ( B i r ) ) 1 a + T ) + D )
Proof. 
Based on Lemma 3, we can infer that the total flow time of the ingots in batch B i k (denoted by F B i k ) is
F B i k = n i k ( ( t 0 + 1 a ) r = 1 k ( 1 + a P ( B i r ) ) 1 a + T )
Moreover, the delivery costs of this batch are D. Thus, we have
O V i = k = 1 b i F B i k + b i D = k = 1 b i ( n i k ( ( t 0 + 1 a ) r = 1 k ( 1 + a P ( B i r ) ) 1 a + T ) + D )
The proof is finished.    □
Corollary 1. 
For the problem P m | p b a t c h , p j A = p j ( 1 + a t ) | V ( , ) | 1 | F j + D L , the total objective function value is
O V = i = 1 m k = 1 b i n i k ( ( t 0 + 1 a ) r = 1 k ( 1 + a P ( B i r ) ) 1 a + T ) + D )
In Lemmas 1–4 and Corollary 1, the calculation and sequence policy only consider the level of batch. Similar to the exchange procedure presented in our previous study [31], we present the sequence of the ingots with respect to the optimal solution of the proposed problem in Lemma 5.
Lemma 5. 
For the problem P m | p b a t c h , p j A = p j ( 1 + a t ) | V ( , ) | 1 | F j + D L , there is an optimal schedule where all the ingots assigned to the same soaking pit are processed by the smallest normal processing time (SNPT) rule. That is, the longest normal processing time of the ingots in the r t h batch is no more than the smallest normal processing time of the ingots in the ( r + 1 ) t h batch.
Proof. 
The simple ingot-shifting argument is used to prove this lemma. Suppose that S and S are two schedules and S is the optimal schedule. The difference between S = { π , B i x , B i y , π } and S = { π , B i x J y , B i y / J y , π } is to remove J y from B i y and add it to B i x , where π and π denote partial sequences and can be empty, where π is the production and delivery schedule for the ingots processed before batch B i x and π the production and delivery schedule for the ingots processed after batch B i y . For simplicity, let B i x J y be B i x and B i y / J y be B i y . In addition, let A and B be the sum of total flow time and batch delivery costs of the ingots in π and π , respectively. S T represents the completion of the last batch in π .
Let O V ( S ) be the objective value of the schedule S; thus, we have
O V ( S ) = A + n i x S T ( 1 + a P ( B i x ) + P ( B i x ) + T ) + D + n i y ( S T ( 1 + a P ( B i x ) + P ( B i x ) ) ( 1 + a P ( B i y ) ) + P ( B i y ) + T ) + D + B
Similarly, we denote the objective value of the schedule S by O V ( S ) . Let B be the sum of total flow time and batch delivery costs of the ingots in π under S . Hence,
O V ( S ) = A + n i x S T ( 1 + a P ( B i x ) + P ( B i x ) + T ) + D + n i y ( S T ( 1 + a P ( B i x ) + P ( B i x ) ) ( 1 + a P ( B i y ) ) + P ( B i y ) + T ) + D + B
suppose p y is no more than the largest processing time of the ingots in the batch B i x , we have P ( B i x ) = P ( B i x ) and P ( B i y ) P ( B i y ) . According to Lemma 3, we have B B . Hence, we have O V ( S ) O V ( S ) such that S is also the optimal schedule. This proof is finished.    □

4. A Special Case Where Ingot Assignment Is Known

In this section, we investigate a special case where the ingot’s assignment to each soaking pit is given. In this case, the furnaces on which given ingots will be processed are known in advance. Based on Lemmas 1–5, all the batches assigned to a given soaking pit should be processed by the shortest normal batch processing time (SNBPT) rule in an optimal schedule, and the largest normal processing time of the ingot in the former batch should not be longer than the shortest normal processing time of the ingot in the later batch. Without loss of generality, we re-index all the ingots to be processed in a specific soaking pit by the SNPT rule, that is, p i 1 p i n i . The remaining decisions are how to batch the ingots in each soaking pit in the production stage and deliver the completed batches to the port in the delivery section.
To balance the inventory and delivery costs, we develop a polynomial-time algorithm based on backward dynamic programming to batch the ingots assigned to a given soaking pit. In a backward dynamic programming algorithm, the recursions start from the last stage and end at the first stage [46]. V i ( j , l ) represents the best objective value of a partial schedule in soaking pit M i containing the last n i j + 1 ingots, and the total number of batches is exactly l. The partial schedule starts at time t 0 , and if a new batch is to be processed at the beginning of this schedule, there will be a delay in the actual processing time of subsequent batches. Specifically, suppose there is a given batch { J i j , , J i ( k 1 ) } with actual processing time p i ( k 1 ) ( 1 + a t 0 ) . If the batch is inserted at the beginning of a schedule { J i k , , J i n i } , the starting time of these ingots increases from t 0 to t 0 + p i ( k 1 ) ( 1 + a t 0 ) . Based on Lemma 3, the completion time of any batch in the schedule { J i k , , J i n i } denoted by C ( B i x ) , increases to ( 1 + a p i ( k 1 ) ) C ( B i x ) + p i ( k 1 ) . Figure 3 depicts this process.
Combining the discussion above, we devise the following boundary conditions, recursive functions, and the optimal value of the backward dynamic programming algorithm.
The boundary conditions:
V i ( j , l ) = 0 , i f   j = n i + 1 , l = 0 , o t h e r w i s e
The recursive functions:
V i ( j , l ) = min j < k n i + 1 { ( k j ) ( t 0 ( 1 + a p i ( k 1 ) ) + p i ( k 1 ) ) + ( 1 + a p i ( k 1 ) ) ( V i ( k , l 1 ) D ( l 1 ) ( n i k + 1 ) T ) + D l + ( n i j + 1 ) T + ( n i k + 1 ) p i ( k 1 ) }
The optimal value:
min { V i ( 1 , l ) | 0 < l n i }
The optimal solution to this special case can be obtained by applying the dynamic programming (DP) algorithm for the ingots in each soaking pit. In summary, the algorithm required to solve this special case is described as follows (Algorithm 1):
Algorithm 1 Heuristic algorithm based on dynamic programming (H-DP)
Step 1.Re-index all the ingots in each soaking pit by the SNPT rule.
Step 2.Execute Steps 3 and 5 for each soaking pit until all the soaking pits are covered.
Step 3.[Initialization] Set the boundary conditions via (12)
Step 4.[Generation] Generate V i ( j , l )
For j = 1 to n i
   For l = 0 to n i
      Generate V i ( j , l ) via (13);
   End for
End for
Step 5.        [Optimal solution value] record the optimal solution value obtained via (14)
Step 6.Accumulate all the recorded optimal values in Step 5 to determine the optimal solution.

5. Basic BRKGA and FPA

To coordinate production in multiple parallel-batching processing lines and delivery decisions, two nature-inspired algorithms, a biased random key genetic algorithm (BRKGA) and a flower pollination algorithm (FPA) are integrated to obtain the near-optimal solution for the proposed problem. A detailed description of BRKGA and FPA is provided in the following subsections.

5.1. Basic BRKGA

Biased Random Key Genetic Algorithm (BRKGA) is a variant of Genetic Algorithm (GA), and it is first developed by Goncalves and Resende [47] to avoid the emergence of infeasible solutions in traditional GA. BRKGA and its variants have been employed to solve two-stage capacitated facility location [48], multi-item lot-sizing [49], machine loading [50], and capacitated centered clustering [51] problems. BRKGA is also applied to solve the job scheduling problems. Goncalves and Resende [52] developed an improved BRKGA algorithm with a novel local search heuristic to solve the job-shop scheduling problems. Andrade et al. [53] applied the BRKGA algorithm to solve a permutation flow-shop scheduling problem. Li and Zhang [54] used the BRKGA algorithm to provide near-optimal solutions for a parallel-batching scheduling problem with two-dimensional space constraints on a single machine. For the performance on solving the flow shop scheduling problem with delivery dates and cumulative payoffs, Pessoa and Andrade [55] found that the BRKGA algorithm is better than Iterated Local Search (ILS) and Iterated Greedy Search (IGS) algorithms. Ma et al. [56] proposed a modified BRKGA algorithm for a parallel-batching scheduling problem with dynamic job arrival and step-deterioration effect. In the BRKGA, a solution to the proposed model is represented by a random vector of real numbers. The decoder is a mapping algorithm that takes a random key vector as input, maps these random keys to a corresponding feasible solution, and outputs the objective value or fitness of this feasible solution [57,58]. The procedure of the BRKGA is shown as follows (Algorithm 2):
Algorithm 2 Procedure of BRKGA
Step 1.        Initialize five algorithm parameters, namely, population size (Psize), max iteration (MIt), number of elite individuals ( p e ), number of mutants ( p m ), crossover rate ( C R )
Step 2.Randomly initialize the population and calculate the fitness of all the individuals.
Step 3.Set I t e r = 1 and Repeat Steps 4–8 until I t e r > M I t .
Step 4.Array all the solutions according to the ascending order of their fitness.
Step 5.Copy the top p e elite individuals to the I t e r + 1 generation.
Step 6.Execute parameterized uniform crossover for the individuals belonged to { i n d i v i d u a l i | p e < i < P s i z e p m } as follows:
(6.1)Randomly select a parent solution x e I t e r = ( x e 1 I t e r x e j I t e r x e n I t e r ) from the elite individuals and select another parent solution x f I t e r = ( x f 1 I t e r x f j I t e r x f n I t e r ) from the non-elite individuals
(6.2)Set j = 1 , repeat (6.3) and (6.4) until j > n
(6.3)If r a n d < C R , then x i j I t e r + 1 = x e j I t e r ; otherwise, x i j I t e r + 1 = x f j I t e r
(6.4)Let j = j + 1
(6.5)Access the new solution. If it is better than their parents’ solution, then update the population
Step 7.Introduce the p m random mutants to the I t e r + 1 generation
Step 8.Let I t e r = I t e r + 1

5.2. Basic FPA

Motivated by the flower pollination process, the flower pollination algorithm (FPA) was developed by Yang et al. [59]. According to a recent review paper [60], FPA has been applied to solve many complex problem in the field of operation research. Reddy et al. [61] utilized the FPA algorithm to determine the optimal location and sizing of distributed generators. Mishra and Deb [62] found that compared to the genetic algorithm (GA), ant colony optimization (ACO), and improved harmony search (IHS), the FPA-based approach has better performance on solving assembly process planning problems. Bibiks et al. [63] showed that the resource-constrained project scheduling problem (RCPSP) could be addressed effectively by the discrete flower pollination algorithm (DFPA). In the process of flower reproduction, pollination has two forms: cross-pollination and self-pollination. In the case of cross-pollination, through the action of birds and insects, pollination can be achieved between different plants. This pollination process can be mathematically described as follows:
x i t + 1 = x i t + γ L ( λ ) ( g * x i t )
where x i t is the pollen vector x i at generation t, and g * is the best solution found so far. γ is a scaling factor, and L ( λ ) is the step size based Lévy-flights. More definitions of the L ( λ ) can be found in [64]. Self-pollination refers to mutual pollination within the same plant species. This pollination process can be mathematically described as follows:
x i t + 1 = x i t + ϵ ( x j t x k t )
where x j t and x k t are pollen vectors of different flowers belonging to the same plant species. ϵ is a number generated from a uniform distribution in the interval [0, 1]. The basic FPA is described as follows (Algorithm 3):
Algorithm 3 Procedure of FPA
Step 1.        Initialize four algorithm parameters, namely, population size ( P s i z e ), max iteration ( M I t ), switch probability ( S P )
Step 2.Randomly generate an initial population and find the best solution g *
Step 3.Set I t e r = 1 and conduct Steps 4–6 until I t e r > M I t
Step 4.Execute pollination operators for each individual:
(4.1)if r a n d < S P ,
   perform cross-pollination via x i I t e r + 1 = x i I t e r + γ L ( λ ) ( g * x i I t e r )
else
   accomplish self-pollination via x i I t e r + 1 = x i I t e r + ϵ ( x j I t e r x k I t e r )
end if
(4.2)Access the new solution, if the new solution is better than the original solution, then update the population
Step 5.Record the current best solution g *
Step 6.Let I t e r = I t e r + 1

6. Proposed Algorithms

In view of the complexity of the proposed problem, it is hard to apply the exact algorithms (i.e., dynamic programming algorithm and branch and bound algorithm) to obtain the optimal solution within a reasonable timeframe, even in small-scale contexts. Consequently, to solve a coordination scheduling problem between the production network and delivery network with deteriorating ingots, we design a simple heuristic (which is SNPT-based) and a hybrid meta-heuristic (BRKGA-FPA) to generate satisfactory solutions within an acceptable computation time. We discuss these two algorithms in the following subsections.

6.1. SNPT-Based Heuristic

In the SNPT-based heuristic algorithm, we first sort the ingots according to their normal processing time and arrange these ingots in turn with respect to the soaking pit. Subsequently, we apply the H-DP algorithm to obtain the contribution of each soaking pit to the total objective value and finally, the outputs of total flow time and delivery costs. We summarize the pseudo-code of the SNPT-based heuristic algorithm as follows (Algorithm 4):
Algorithm 4 Pseudo-code of the SNPT-based heuristic algorithm
Input: Ingots set ( J 1 , , J j , , J n ) , Soaking pit set ( M 1 , , M i , , M m )
Output: The objective value of the proposed problem
1.        Re-index all the ingots by the non-increasing order of their normal processing time;
2.Set h = 1 ;
3.For j = 1 to n
4.   Assign the ingot J j to soaking pit M h ;
5.   If ( h = m ) then h = 1 ; Else h + + ; End if
6.End for
7.For i = 1 to m
8.   Apply H-DP algorithm to obtain the contribution of the ingots processed by each soaking pit to the objective value;
9.End for
10.Output the total objective value of the proposed problem.

6.2. BRKGA-FPA Algorithm

6.2.1. Framework of BRKGA-FPA

BRKGA-FPA starts from the randomly generated initial population and evolves over a number of generations to explore the solution space and avoid being trapped into local optima. At each generation, a new population is produced by the FPA-based genetic operators. According to Toso and Resende [65], the BRKGA-FPA can be classified into problem-independent and problem-dependent parts. Problem-independent part is composed of the genetic algorithm with its chromosome methods and generations while the decoder is composed of the problem-dependent part. Figure 4 shows the conceptual design of BRKGA-FPA.

6.2.2. Solution Representation and Fitness Calculation

In this paper, a solution to the proposed problem is represented as a vector containing n random keys from the interval (0, 1). The decoding procedure includes two steps. First, we sort the ingots in ascending order according to their corresponding random key values. Subsequently, we employ elements that are no less than n m + 1 to indicate which ingots should be assigned to which machines. Figure 5 shows a numerical instance of this decoding process. In this example, there are four ingots and two soaking pits. The original sequence is (1, 2, 3, 4, 5). After sorting by their random keys, the final ingot sequence becomes (3, 1, 2, 5, 4). Consequently, the ingot set (3, 1, 2) should be processed by machine 1, and the remaining ingots should be processed by machine 2.
As mentioned earlier, the ingot set to be processed by each soaking pit can be obtained by the decoding process. Then, the contribution of the ingots processed by each soaking pit to the total objective value can be calculated by the H-DP algorithm. The total objective value for processing the ingots in a sequence is viewed as the fitness of this sequence. We organize the process above as the following fitness measure algorithm (Algorithm 5).
Algorithm 5 Procedure for the Fitness Measure Algorithm
Step 1.   Obtain the ingot set to be processed in each soaking pit by the decoding process
Step 2.Calculate the contribution of the ingots in each soaking pit to the objective outcome
Step 3.Output the total objective value as the fitness of a solution

6.2.3. FPA-Based Genetic Operator

In traditional BRKGA, the parameterized uniform crossover is employed to obtain the new generation of solutions. In order to improve the exploitation ability of BRKGA, we develop a new FPA-based genetic Operator, which increases the speed of convergence. The FPA-based genetic Operator is presented as follows (Algorithm 6):
Algorithm 6 Pseudo-code of FPA-based Genetic Operator
1.        Given the individuals not including p e elite individuals and the p m mutants;
2.For i = 1 to P s i z e p e p m
3.   If r a n d < S P
4.      Global pollination via x i t + 1 = x i t + γ L ( λ ) ( g * x i t ) , where g * is the best solution in the current population;
5.   Else if S P r a n d < C R
6.      Local pollination via x i t + 1 = x i t + ϵ ( x j t x k t ) , where x j t is an individual selected from the elite individuals in the current population and x k t is an individual selected from the non-elite individuals in the current population;
7.   Else if r a n d C R
8.      Execute the parameterized uniform crossover;
9.   End if
10.   Evaluate the new solution, if the new solution is better, then update it in population
11.End for
12.Output the best solution found.

6.2.4. Procedure for BRKGA-FPA

The whole procedure for BRKGA-FPA is described below (Algorithm 7).
Algorithm 7 Procedure of BRKGA-FPA
Step 1.        Initialize the algorithm parameters; namely, population size ( P s i z e ), max iteration ( M I t ), number of elite individuals ( p e ), number of mutants ( p m ), crossover rate ( C R ), and switch probability ( S P )
Step 2.Randomly initialize a population with Psize solutions and record the best individual as g *
Step 3.Set I t e r = 1 , re-run steps 4-8 until I t e r > M I t
Step 4.Sort solutions in non-decreasing order by their fitness
Step 5.Copy the first p e solution to the I t e r + 1 generation
Step 6.Perform FPA-based genetic operator for the individuals belonging to { i n d i v i d u a l i | p e < i < P s i z e p m }
Step 7.Randomly introduce p m mutants to the I t e r + 1 generation
Step 8.Set I t e r = I t e r + 1

7. Computational Experiments

To evaluate the performance of the proposed algorithms, we formulate 10 instances with different ingot quantities and compare the convergence speed and solution quality of each algorithm applied in each instance. All the meta-heuristic algorithms BRKGA-FPA, BRKGA, FPA, and particle swarm optimization (PSO) [66] are coded in C++ and carried out on a Lenovo PC with Intel Core i5, 2.30 GHz CPU and 8 GB RAM. As a comparison, an SNPT heuristic algorithm is also employed to solve the presented model. The details of the experimental process and results are described in the following subsections.

7.1. Experimental Design

Since the coordination scheduling model of production and distribution with delivery costs, deterioration effects, and parallel-batching processing is different from any model proposed in the literature, no benchmark datasets are available. To assess the performance of the proposed approaches more comprehensively and precisely, the 10 instances are divided into small-scale problems and large-scale problems according to the ingot quantity. For the small-scale problems, the number of ingots ranges from 50 to 90. In the large-scale problems, the ingot quantity ranges from 100 to 300. For each instance, the parameters regarding processing time, delivery costs, and deterioration rate are randomly generated. Table 2 shows the details.
Similar to Wang et al. [67], we apply the relative percentage deviation (RPD) to measure the performance of the heuristic algorithm. We also use the average relative percentage deviation (ARPD) and best relative percentage deviation (BRPD) to evaluate the effectiveness of the meta-heuristic algorithm, such as BRKGA-FPA, BRKGA, FPA, and PSO. The RPD, ARPD, and BRPD are expressed as
R P D = C i r C b e s t C b e s t × 100
B R P D = B C i C b e s t C b e s t × 100
A R P D = 1 10 × r = 1 10 ( C i r C b e s t ) C b e s t × 100
where C i r is the solution generated through the algorithm i in the r t h run, B C i is the best objective value generated through a certain algorithm i over 10 runs, and C b e s t is the best objective value yielded by all algorithms over 10 runs.

7.2. Parameter Setting

As described in Yang et al. [64] and Wang et al. [67], the Taguchi method is often used to adjust the parameters of the meta-heuristic algorithm. Compared with a full factorial design, orthogonal array experiments in the Taguchi method can study a large number of decision variables with fewer experiments. In this paper, we conduct a series of orthogonal array experiments with three levels and four factors. The BRKGA algorithm involves three parameters, such as (population size, max iteration), (number of elite individuals, number of mutants), and crossover rate. In FPA, two parameters (population size, max iteration) and switch probability are considered. The BRKGA-FPA algorithm must consider all the parameters involved in BRKGA and FPA. Thus, four parameters (population size, max iteration), (number of elite individuals, number of mutants), crossover rate, and switch probability should be considered. Table 3 presents all the parameters and their three levels.
Based on the Taguchi method, we give the orthogonal array for BRKGA-FPA in Table 4. According to Table 4, only nine groupings of factor levels should be inspected for the BRKGA-FPA.
In this test instance, the number of ingots is 80, the number of machines is three, the delivery costs are 50, the deterioration rate is 0.4, and the delivery time is 10. The BRKGA-FPA algorithm with each combination of parameters runs ten times for this test instance, and we recorded the objective value of every run. The performance of each parameter level is shown in Figure 6.
According to the experimental results shown in Figure 6, the best levels of parameters ( P s i z e , M I t ), ( p e , p m ), C R , and S P are (40, 200), (5, 5), 0.80, and 0.75, respectively. Table 5 shows the best combination of parameters.

7.3. Experimental Results and Discussion

For a reasonable performance evaluation, the algorithm parameters used in BRKGA and FPA are assigned the same values as those adopted in the proposed BRKGA-FPA. Table 6 compares the experimental data on the small-scale test problems. The results of the large-scale instances are presented in Table 7.
Based on the observed experimental results in Table 6 and Table 7, the most striking result to emerge from the data is that among these four meta-heuristic algorithms and heuristic algorithm, the BRKGA-FPA algorithm provides the best BRPD and ARPD in each instance. Other important conclusions can also be drawn.
  • For small-scale test problems, the BRKGA-FPA outperforms the other algorithms with an average ARPD of 0.34% and an average BRPD of 0%. The BRKGA algorithm performs second to the BRKGA-FPA with an average ARPD of 2.37% and an average BRPD of 2.35%. PSO ranks third among all the algorithms with an average ARPD of 3.43% and an average BRPD of 3.30%. The fourth-ranked algorithm is FPA with an average ARPD of 5.26% and an average BRPD of 5.26%. The weakest algorithm is SNPT with an average RPD of 7.22%.
  • For large-scale test problems, the BRKGA-FPA outperforms the other algorithms with an average ARPD of 1.19% and an average BRPD of 0%. The BRKGA algorithm performs second to the BRKGA-FPA with an average ARPD of 2.18% and an average BRPD of 1.94%. The third-ranked algorithm is PSO with an average ARPD of 2.72% and an average BRPD of 2.02%. The fourth-ranked algorithm is SNPT with an average RPD of 4.24%. The weakest algorithm is FPA with an average ARPD of 4.62% and an average BRPD of 4.62%.
We conduct several statistical tests to verify the performance of the five algorithms above. Figure 7 illustrates the means plots with 95% confidence intervals for BRPD and ARPD, respectively. From these figures, we conclude that the BRKGA-FPA outperforms the other algorithms statistically. In contrast to FPA and SNPT, BRKGA and PSO have better performance with respect to searching efficiency, and there is no significant difference between BRKGA and PSO. In addition, these figures indicate that FPA and SNPT also do not exhibit a significant difference at the 95% confidence interval.
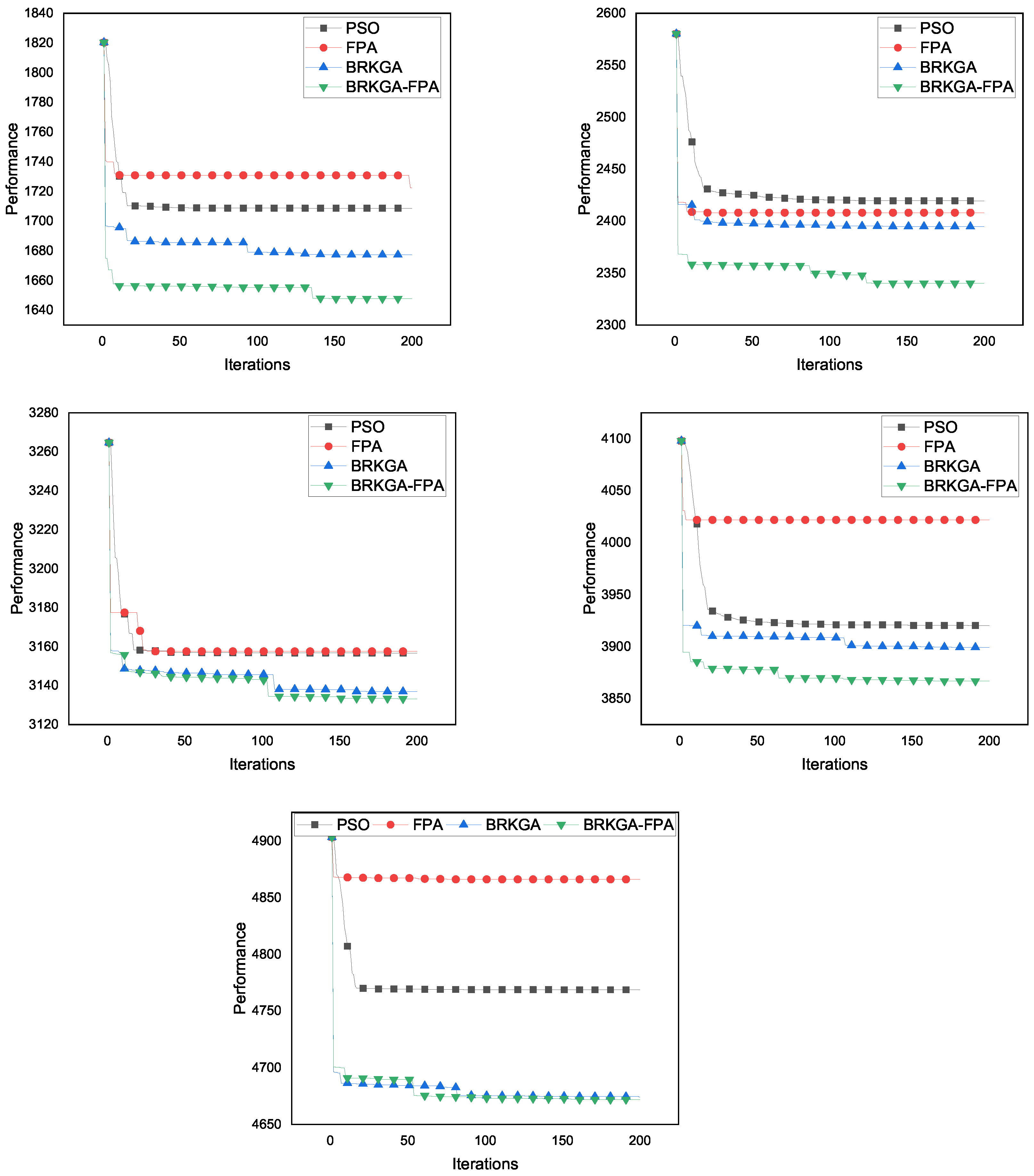
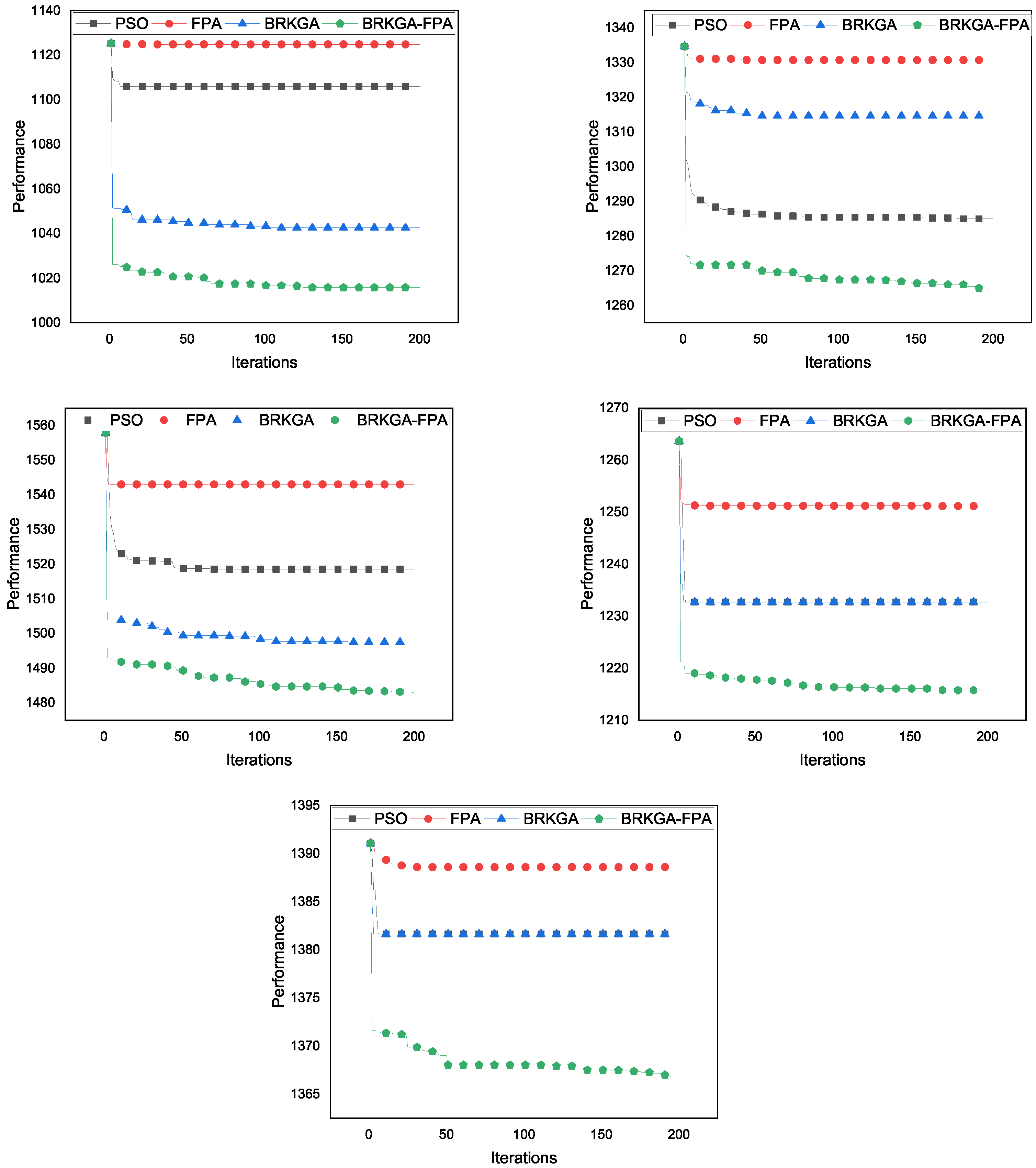
We record the best fitness that can be found in each generation for each run. Then, the average of the best fitness found in each generation over 10 runs is used to draw the convergent curves of each algorithm. Figure 8 reports the convergent curves of each algorithm for small-scale problems, while the convergent curves of large-scale problems are shown in Figure 9.
From Figure 8 and Figure 9, we conclude the following: (i) BRKGA-FPA can converge to the better level with fewer iterations; (ii) BRKGA-FPA can obtain the best solutions of any of the compared algorithms for all instances. Thus, we conclude that, regardless of the convergence speed and solving quality, BRKGA-FPA is superior to BRKGA, FPA, and PSO.

8. Conclusions

To improve the collaborative capability of intelligent manufacturing systems in the steel industry, this paper investigates a production and distribution two-stage supply chain scheduling problem. According to the practical deterioration effects in the continuous casting process in a steel-making factory, we introduce deteriorating jobs to our model. An optimal algorithm for the special case is presented where the ingot assignment for each machine is given. Based on this optimal algorithm, we develop a BRKGA-FPA algorithm to schedule production and delivery tasks. The results of computational experiments indicate that the BRKGA-FPA algorithm is effective and efficient compared with other existing algorithms such as PSO, FPA, and BRKGA.
Because of the advantages of the BRKGA-FPA algorithm in solving quality and running time, the algorithm is expected to help manufacturers and transporters in the same supply chain to make better operational decisions when deteriorating jobs and parallel-batching processing are considered. In the future, we will refine a more realistic deteriorating job and parallel-batching processing model for steel manufacturing and include additional features such as multiple ports or uncertainty [68].

Author Contributions

Conceptualization, X.Y.; Methodology, M.K.; Software, Y.Z.; Validation, J.Q. All authors have read and agreed to the published version of the manuscript.

Funding

Independent research and development project of China Aerospace Science and Technology Corporation.

Data Availability Statement

The authors confirm that the data supporting the findings of this study are available within the article.

Acknowledgments

This research has received financial support from various sources, including the Ministry of Education of Humanities and Social Science Project [grant number 22YJC630050], the China Postdoctoral Science Foundation [grant number 2022M710996], the Educational Commission of Anhui Province [grant number KJ2020A0069], the Natural Science Foundation of Anhui Province [grant numbers 2108085QG291 and 2108085QG287], Anhui Province University Collaborative Innovation Project [grant number GXXT-2021-021], Science and Technology Plan Project of Wuhu [grant number 2021yf49, 2022rkx07], National Natural Science Foundation of China [grant numbers 72101071 and 72071056], the Key Research and Development Project of Anhui Province [grant number 2022a05020023].

Conflicts of Interest

The authors declare no conflict of interest.

Appendix A. Mathematical Model for the Proposed Problem

Similar to the mixed integer programming formulation proposed in [69], we give the mathematical model for problem P m | p b a t c h , p j A = p j ( 1 + a t ) | V ( , ) | 1 | F j + D L as follows.
Indices:
j: index of the ingots, j = 1 , , n
k: index of the batches, k = 1 , , n
i: index of the soaking pits, i = 1 , , m
Parameters:
n: total number of ingots
m: total number of soaking pits
T: delivery time
D: delivery costs
p j : normal processing time of J j , j = 1 , , n
Decision variables:
x j k i : if ingot j is processed in the k t h batch on soaking pit i, then x j k i = 1 . Otherwise, x j k i = 0
y k i : if j = 1 n x j k i = 0 , then y k i = 0 . Otherwise, y k i = 1
S k i : Starting time of the k t h batch on soaking pit i
F k i : Departure time of the k t h batch on soaking pit i
n b : number of batches with at least one ingot
n j k i : number of ingots in the k t h batch on soaking pit i
The mathematical model is as follows.
M i n k = 1 n i = 1 m F k i n j k i + n b D
Subject to:
k = 1 n i = 1 m x j k i = 1 , j = 1 , , n
S ( k + 1 ) i ( p j + ( 1 + a ) S k i ) x j k i , j , k = 1 , , n ; i = 1 , , m
F k i S ( k + 1 ) i + T , k = 1 , , n ; i = 1 , , m
n b = k = 1 n i = 1 m y k i
n j k i = j = 1 n x j k i , k = 1 , , n ; i = 1 , , m
S k i 0 , k = 1 , , n ; i = 1 , , m
F k i 0 , k = 1 , , n ; i = 1 , , m
x j k i { 0 , 1 } , j , k = 1 , , n ; i = 1 , , m
y k i { 0 , 1 } , k = 1 , , n ; i = 1 , , m
The objective function is to minimize the sum of total flow time and delivery costs. Constraint set (A2) guarantees that each ingot should be only processed in a batch on a soaking pit. Constraint sets (A3) and (A4) give the starting time and departure time of the i t h batch on soaking pit i, respectively. Constraint set (A5) determines the total number of batches with at least one ingot. Constraint set (A6) gives the total number of ingots in each batch. Constraint sets (A7)–(A10) shows the range of the decision variables.

References

  1. Goncalves, R.; Agostinho, C.; Sarraipa, J.; de Togores, A.R.; Nunez, M.J.; Panetto, H. Standards Framework for Intelligent Manufacturing Systems Supply Chain. Intell. Manuf. 2011, 22, 725–735. [Google Scholar] [CrossRef]
  2. Ioannis, M.; Balan, S.; Vera, I. Time-based responsive logistics for a maintenance service network: A case study of an automated teller manufacturer. J. Qual. Maint. Eng. 2019, 25, 589–611. [Google Scholar] [CrossRef]
  3. Balan, S.; Aneesh, A.; Angappa, G. Big data driven supply chain design and applications for blockchain: An action research using case study approach. Omega 2021, 102, 102452. [Google Scholar] [CrossRef]
  4. Sachin, S.K.; Angappa, G.; Harsh, P.; Venkatesh, M. Digital twin for sustainable manufacturing supply chains: Current trends, future perspectives, and an implementation framework. Technol. Forecast. Soc. Change 2022, 176, 121448. [Google Scholar] [CrossRef]
  5. Pei, J.; Pardalos, P.; Liu, X.; Fan, W.; Yang, S. Serial batching scheduling of deteriorating jobs in a two-stage supply chain to minimize the makespan. Eur. J. Oper. Res. 2015, 244, 13–25. [Google Scholar] [CrossRef]
  6. Pei, J.; Liu, X.; Pardalos, P.M.; Fan, W.; Wang, L.; Yang, S. Solving a supply chain scheduling problem with non-identical job sizes and release times by applying a novel effective heuristic algorithm. Int. J. Syst. Sci. 2016, 47, 765–776. [Google Scholar] [CrossRef]
  7. Klug, F. Analysing the interaction of supply chain synchronisation and material flow stability. Int. J. Log. Res. Appl. 2017, 20, 181–199. [Google Scholar] [CrossRef]
  8. Kaipia, R. Coordinating material and information flows with supply chain planning. Int. J. Log. Man. 2017, 20, 144–162. [Google Scholar] [CrossRef]
  9. Steel, B.I. Exploration and Practice of Smart Manufacturing of Baosteel in the Whole Supply Chain Collaboration. China Steel Focus 2018, 4, 45–48. [Google Scholar]
  10. Ransikarbum, K.; Pitakaso, R.; Kim, N. A decision-support model for additive manufacturing scheduling using an integrative analytic hierarchy process and multi-objective optimization. Appl. Sci. 2020, 15, 5159. [Google Scholar] [CrossRef]
  11. Maanshan Iron and Steel Co., Ltd. Maanshan Iron and Steel Co., Ltd.’s 2022 ESG Report. 2023. Available online: https://www.magang.com.cn/d3/shzr/shzr56/395095/index.html (accessed on 11 July 2023).
  12. Saglam, U.; Banerjee, A. Integrated multiproduct batch production and truck shipment scheduling under different shipping policies. Omega 2018, 74, 70–81. [Google Scholar] [CrossRef]
  13. Agnetis, A.; Aloulou, M.A.; Fu, L. Coordination of production and interstage batch delivery with outsourced distribution. Eur. J. Oper. Res. 2014, 238, 130–142. [Google Scholar] [CrossRef]
  14. Chen, Z.L. Integrated production and outbound distribution scheduling: Review and extensions. Oper. Res. 2014, 58, 130–148. [Google Scholar] [CrossRef]
  15. Moons, S.; Ramaekers, K.; Caris, A.; Arda, Y. Integrating production scheduling and vehicle routing decisions at the operational decision level: A review and discussion. Comput. Ind. Eng. 2017, 104, 224–245. [Google Scholar] [CrossRef]
  16. Hall, N.G.; Potts, C.N. Supply Chain Scheduling: Batching and Delivery. Oper. Res. 2003, 51, 566–584. [Google Scholar] [CrossRef][Green Version]
  17. Mahdavi-Mazdeh, M.; Sarhadi, M.; Hindi, K.S. A branch-and-bound algorithm for single-machine scheduling with batch delivery minimizing flow times and delivery costs. Eur. J. Oper. Res. 2007, 183, 74–86. [Google Scholar] [CrossRef]
  18. Mahdavi-Mazdeh, M.; Sarhadi, M.; Hindi, K.S. A branch-and-bound algorithm for single-machine scheduling with batch delivery and job release times. Comput. Oper. Res. 2008, 35, 1099–1111. [Google Scholar] [CrossRef]
  19. Mahdavi-Mazdeh, M.; Sarhadi, M.; Hindi, K.S. Single-machine batch scheduling minimizing weighted flow times and delivery costs. Appl. Math. Model. 2011, 35, 563–570. [Google Scholar] [CrossRef]
  20. Fu, L.L.; Aloulou, M.A.; Artigues, C. Integrated production and outbound distribution scheduling problems with job release dates and deadlines. J. Sched. 2018, 21, 443–460. [Google Scholar] [CrossRef]
  21. Yin, Y.Q.; Cheng, T.C.E.; Xu, D.H.; Wu, C.C. Common Due Date Assignment and Scheduling with a Rate-modifying Activity to Minimize the Due Date, Earliness, Tardiness, Holding, and Batch Delivery Cost. Comput. Ind. Eng. 2012, 63, 223–234. [Google Scholar] [CrossRef]
  22. Yin, Y.Q.; Cheng, T.C.E.; Wu, C.C.; Cheng, S. Single-machine Common Due-date Scheduling with Batch Delivery Costs and Resource-dependent Processing Times. Int. J. Prod. Res. 2013, 51, 5083–5099. [Google Scholar] [CrossRef]
  23. Basir, S.A.; Mazdeh, M.M.; Namakshenas, M. Bi-level genetic algorithms for a two-stage assembly flow-shop scheduling problem with batch delivery system. Comput. Ind. Eng. 2018, 126, 217–231. [Google Scholar] [CrossRef]
  24. Yu, C.; Semeraro, Q.; Matta, A. A genetic algorithm for the hybrid flow shop scheduling with unrelated machines and machine eligibility. Comput. Oper. Res. 2018, 100, 211–229. [Google Scholar] [CrossRef]
  25. Mohapatra, P.; Nayak, A.; Kumar, S.; Tiwari, M. Multi-objective process planning and scheduling using controlled elitist non-dominated sorting genetic algorithm. Int. J. Prod. Res. 2015, 53, 1712–1735. [Google Scholar] [CrossRef]
  26. Ashutosh, K.; Srinivas, S.; Tiwari, M.K. Modelling the slab stack shuffling problem in developing steel rolling schedules and its solution using improved Parallel Genetic Algorithms. Int. J. Prod. Econ. 2004, 91, 135–147. [Google Scholar]
  27. Senoussi, A.; Dauzere-Peres, S.; Brahimi, N.; Penz, B.; Mouss, N. Heuristics based on genetic algorithms for the capacitated multi vehicle production distribution problem. Comput. Oper. Res. 2018, 96, 108–119. [Google Scholar] [CrossRef]
  28. Ransikarbum, K.; Mason, S.J. A bi-objective optimisation of post-disaster relief distribution and short-term network restoration using hybrid NSGA-II algorithm. Int. J. Prod. Res. 2022, 60, 5769–5793. [Google Scholar] [CrossRef]
  29. Ahmadizar, F.; Farhadi, S. Single-machine batch delivery scheduling with job release dates, due windows and earliness, tardiness, holding and delivery costs. Comput. Oper. Res. 2015, 53, 194–205. [Google Scholar] [CrossRef]
  30. Liu, X.; Lu, S.; Pei, J.; Pardalos, P.M. A hybrid VNS-HS algorithm for a supply chain scheduling problem with deteriorating jobs. Int. J. Prod. Res. 2018, 56, 5758–5775. [Google Scholar] [CrossRef]
  31. Kong, M.; Liu, X.; Pei, J.; Pardalos, P.M.; Mladenovic, N. Parallel-batching scheduling with nonlinear processing times on a single and unrelated parallel machines. J. Glob. Optim. 2020, 78, 693–715. [Google Scholar] [CrossRef]
  32. Liu, S.; Pei, J.; Cheng, H.; Liu, X.; Pardalos, P.M. Two-stage hybrid flow shop scheduling on parallel batching machines considering a job-dependent deteriorating effect and non-identical job sizes. Appl. Soft Comput. 2019, 84, 105701. [Google Scholar] [CrossRef]
  33. Liu, S.; Liu, X.; Pei, J.; Pardalos, P.M.; Song, Q. Parallel-batching machines scheduling problem with a truncated time-dependent learning effect via a hybrid CS-JADE algorithm. Optim. Methods Softw. 2020, 35, 116–141. [Google Scholar] [CrossRef]
  34. Lu, S.; Liu, X.; Pei, J.; Thai, M.T.; Pardalos, P.M. A hybrid ABC-TS algorithm for the unrelated parallel-batching machines scheduling problem with deteriorating jobs and maintenance activity. Appl. Soft Comput. 2018, 66, 168–182. [Google Scholar] [CrossRef]
  35. Tang, L.; Liu, J.; Rong, A.; Yang, Z. A review of planning and scheduling systems and methods for integrated steel production. Eur. J. Oper. Res. 2001, 133, 1–20. [Google Scholar] [CrossRef]
  36. Patel, C.; Ray, W.H.; Szekely, J. Computer simulation and optimal scheduling of a soaking pit-slabbing mill system. Metall. Trans. B 1967, 78, 119–130. [Google Scholar] [CrossRef]
  37. Tang, L.; Zhao, X.; Liu, J.; Leung, Y.T. Competitive two-agent scheduling with deteriorating jobs on a single parallel-batching machine. Eur. J. Oper. Res. 2017, 263, 401–411. [Google Scholar] [CrossRef]
  38. Ji, M.; He, Y.; Cheng, T.C.E. Scheduling linear deteriorating jobs with an availability constraint on a single machine. Theor. Comput. Sci. 2006, 362, 115–126. [Google Scholar] [CrossRef]
  39. Yin, Y.; Cheng, T.C.E.; Wan, L.; Wu, C.C.; Liu, J. Two-agent single-machine scheduling with deteriorating jobs. Comput. Ind. Eng. 2015, 81, 177–185. [Google Scholar] [CrossRef]
  40. Zhang, X.; Yin, Y.Q.; Wu, C.C. Scheduling with non-decreasing deterioration jobs and variable maintenance activities on a single machine. Eng. Opt. 2017, 49, 84–97. [Google Scholar] [CrossRef]
  41. Gupta, J.; Gupta, S. Single facility scheduling with nonlinear processing times. Comput. Ind. Eng. 1988, 14, 387–393. [Google Scholar] [CrossRef]
  42. Browne, S.; Yechiali, U. Scheduling deteriorating jobs on a single processor. Oper. Res. 1990, 38, 495–498. [Google Scholar] [CrossRef]
  43. Gawiejnowicz, S. Time-Dependent Scheduling, Monographs in Theoretical Computer Science; Springer: Berlin/Heidelberg, Germany, 2008. [Google Scholar]
  44. Pei, J.; Liu, X.; Fan, W.; Pardalos, P.M.; Lu, S. A hybrid BA-VNS algorithm for coordinated serial-batching scheduling with deteriorating jobs, financial budget, and resource constraint in multiple manufacturers. Omega 2019, 82, 55–69. [Google Scholar] [CrossRef]
  45. Yin, Y.; Wang, Y.; Cheng, T.C.E.; Liu, W.; Li, J. Parallel-machine scheduling of deteriorating jobs with potential machine disruptions. Omega 2017, 69, 17–28. [Google Scholar] [CrossRef]
  46. Hwang, F.J.; Kovalyov, M.Y.; Lin, B.M. Total completion time minimization in two-machine flow shop scheduling problems with a fixed job sequence. Discret. Optim. 2012, 9, 29–39. [Google Scholar] [CrossRef]
  47. Goncalves, J.; Resende, M. Biased random-key genetic algorithms for combinatorial optimization. J. Heuristics 2011, 17, 487–525. [Google Scholar] [CrossRef]
  48. Biajoli, F.L.; ChavesLuiz, A.A.; Lorena, A.N. A biased random-key genetic algorithm for the two-stage capacitated facility location problem. Exp. Syst. Appl. 2019, 115, 418–426. [Google Scholar] [CrossRef]
  49. Chan, F.T.S.; Tibrewal, R.K.; Prakash, A.; Tiwari, M.K. Inventory Based Multi-Item Lot-Sizing Problem in Uncertain Environment: BRKGA Approach. In Advances in Sustainable and Competitive Manufacturing Systems; Springer: Heidelberg, Germany, 2013; pp. 1197–1206. [Google Scholar] [CrossRef]
  50. Prakash, A.; Shukla, N.; Shankar, R.; Tiwari, M.K. Solving Machine Loading Problem of FMS: An Artificial Intelligence (AI) Based Random Search Optimization Approach. In Handbook of Computational Intelligence in Manufacturing and Production Management; Idea Group Reference: Quebec, QC, Canada, 2008; pp. 19–43. [Google Scholar]
  51. Chaves, A.A.; Gonçalves, J.F.; Lorena, L.A.N. Adaptive biased random-key genetic algorithm with local search for the capacitated centered clustering problem. Comput. Ind. Eng. 2018, 124, 331–346. [Google Scholar] [CrossRef]
  52. Goncalves, J.F.; Resende, M.G. An extended Akers graphical method with a biased random-key genetic algorithm for job-shop scheduling. Int. Trans. Oper. Res. 2014, 21, 215–246. [Google Scholar] [CrossRef]
  53. Andrade, C.E.; Silva, T.; Pessoa, L.S. Minimizing flowtime in a flowshop scheduling problem with a biased random-key genetic algorithm. Exp. Syst. Appl. 2019, 128, 67–80. [Google Scholar] [CrossRef]
  54. Li, X.; Zhang, K. Single batch processing machine scheduling with two-dimensional bin packing constraints. Int. J. Prod. Econ. 2018, 196, 113–121. [Google Scholar] [CrossRef]
  55. Pessoa, L.S.; Andrade, C.E. Heuristics for a flowshop scheduling problem with stepwise job objective function. Eur. J. Oper. Res. 2018, 266, 950–962. [Google Scholar] [CrossRef]
  56. Ma, C.; Kong, M.; Pei, J.; Pardalos, P. BRKGA–VNS for parallel-batching scheduling on a single machine with step-deteriorating jobs and release times. In International Workshop on Machine Learning, Optimization, and Big Data; Springer: Cham, Switzerland, 2017; pp. 414–425. [Google Scholar]
  57. Goncalves, J.; Resende, M. A biased random key genetic algorithm for 2D and 3D bin packing problems. Int. J. Prod. Econ. 2013, 145, 500–510. [Google Scholar] [CrossRef]
  58. Spears, W.M.; Jong, K.A.D. On the virtues of parameterized uniform crossover. In Proceedings of the Fourth International Conference on Genetic Algorithms, San Diego, CA, USA, 1 July 1991. [Google Scholar]
  59. Yang, X. Flower pollination algorithm for global optimization. In Proceedings of the International Conference on Unconventional Computing and Natural Computation, Orleans, France, 3–7 September 2012. [Google Scholar]
  60. Abdel-Basset, M.; Shawky, L.A. Flower pollination algorithm: A comprehensive review. Artif. Intell. Rev. 2019, 52, 2533–2557. [Google Scholar] [CrossRef]
  61. Reddy, P.D.P.; Reddy, V.V.; Manohar, T.G. Application of flower pollination algorithm for optimal placement and sizing of distributed generation in Distribution systems. J. Electr. Syst. Inf. Technol. 2016, 3, 14–22. [Google Scholar] [CrossRef]
  62. Mishra, A.; Deb, S. Assembly sequence optimization using a flower pollination algorithm-based approach. J. Intell. Manuf. 2019, 30, 461–482. [Google Scholar] [CrossRef]
  63. Bibiks, K.; Li, J.; Hu, F. Discrete flower pollination algorithm for resource constrained project scheduling problem. Int. J. Comput. Sci. Inf. Secur. 2015, 13, 8. [Google Scholar]
  64. Yang, X.; Karamanoglu, M.; He, X. Flower pollination algorithm: A novel approach for multi-objective optimization. Eng. Optim. 2014, 46, 1222–1237. [Google Scholar] [CrossRef]
  65. Toso, R.; Resende, M.A. Application programming interface for biased random-key genetic algorithms. Eng. Optim. 2015, 30, 81–93. [Google Scholar] [CrossRef]
  66. Kennedy, J.; Eberhart, R. Particle swarm optimization. In Proceedings of the IEEE International Conference on Neural Networks, Perth, WA, Australia, 27 November–1 December 1995; pp. 1942–1948. [Google Scholar]
  67. Wang, K.; Luo, H.; Liu, F.; Yue, X. Permutation Flow Shop Scheduling with Batch Delivery to Multiple Customers in Supply Chains. IEEE Trans. Syst. Man Cybern. 2017, 9, 1–12. [Google Scholar] [CrossRef]
  68. Ji, Y.; Ma, Y. The robust maximum expert consensus model with risk aversion. Inf. Fusion 2023, 99, 101866. [Google Scholar] [CrossRef]
  69. Arroyo, J.E.C.; Leung, J.Y.T. Scheduling unrelated parallel batch processing machines with non-identical job sizes and unequal ready times. Comput. Oper. Res. 2017, 78, 117–128. [Google Scholar] [CrossRef]
Figure 1. Ingot production processing.
Figure 1. Ingot production processing.
Mathematics 11 03276 g001
Figure 2. Process of production and delivery.
Figure 2. Process of production and delivery.
Mathematics 11 03276 g002
Figure 3. The dynamic programming algorithm process.
Figure 3. The dynamic programming algorithm process.
Mathematics 11 03276 g003
Figure 4. Flowchart of BRKGA-FPA.
Figure 4. Flowchart of BRKGA-FPA.
Mathematics 11 03276 g004
Figure 5. Decoding of an ingot sequence.
Figure 5. Decoding of an ingot sequence.
Mathematics 11 03276 g005
Figure 6. ARPD for each parameter level of BRKGA-FPA.
Figure 6. ARPD for each parameter level of BRKGA-FPA.
Mathematics 11 03276 g006
Figure 7. Mean plot with 95% CIs for BRPD and ARPD.
Figure 7. Mean plot with 95% CIs for BRPD and ARPD.
Mathematics 11 03276 g007
Figure 8. Convergent curves for n = 50, 60, 70, 80, 90.
Figure 8. Convergent curves for n = 50, 60, 70, 80, 90.
Mathematics 11 03276 g008
Figure 9. Convergent curves for n = 100, 150, 200, 250, 300.
Figure 9. Convergent curves for n = 100, 150, 200, 250, 300.
Mathematics 11 03276 g009
Table 1. Comparison of relevant algorithms.
Table 1. Comparison of relevant algorithms.
ReferencesMachine’s FeaturesJob’s FeaturesDeliveryApproaches
[29]single machinerelease datesYICA
[30]parallel machinesdeterioration effectYVNS-HS
[31]parallel machinesdeterioration effectNSFLA-VNS
[32]flowshopdeterioration effectNEDA-DE
and non-identical sizes
[33]parallel machineslearning effectNCS-JADE
[34]parallel machinesdeterioration effectNABC-TS
Table 2. Parameters and their values.
Table 2. Parameters and their values.
NotationsDefinitionValue
nThe total number of ingots50, 60, 70, 80, and 90 for small-scale problems
100, 150, 200, 250, and 300 for large-scale problems
mThe total number of soaking pits3 for small-scale problems 5 for large-scale problems
TThe delivery timeU[10, 20]
DThe delivery costsU[20, 50] for small-scale problems U[70, 200] for large-scale problems
p j The normal processing time of J j U(0, 5]
aThe constant deteriorating effectU(0, 1)
U[x,y] means a number generated from a continuous uniform distribution in the interval [x,y].
Table 3. Parameters and their level values.
Table 3. Parameters and their level values.
AlgorithmsParametersLevels
123
BRKGA(population size ( P s i z e ), max iteration ( M I t ))(40,200)(30,300)(20,250)
(number of elite individuals( p e ), number of mutants( p m ))(7,7)(5,5)(3,3)
crossover rate ( C R )0.800.850.90
FPAswitch probability ( S P )0.650.700.75
Table 4. Orthogonal Array L 9 ( 3 4 ) for BRKGA-FPA.
Table 4. Orthogonal Array L 9 ( 3 4 ) for BRKGA-FPA.
TrialsParametersARPD
( Psize , MIt )( p e , p m ) CR SP
111110.8
212221.3
313331.4
421231.2
522311.5
623121.3
731322.1
832131.1
933211.8
Table 5. Optimal tuning parameters for BRKGA-FPA.
Table 5. Optimal tuning parameters for BRKGA-FPA.
Parameters( Psize , MIt )( p e , p m ) CR SP
Best Level1213
Level value(40,200)(5,5)0.800.75
Table 6. Experimental Results for Small-scale Instances.
Table 6. Experimental Results for Small-scale Instances.
nSNPTPSO FPA BRKGA BRKGA-FPA
RPDBRPDARPDBRPDARPDBRPDARPDBRPDARPD
5011.698.968.9610.8210.822.722.720.000.07
608.011.742.225.865.864.584.580.000.59
707.512.742.94.554.551.391.470.000.48
804.631.561.563.073.081.561.560.000.17
904.251.491.502.012.011.491.500.000.38
Ave.7.223.303.435.265.262.352.370.000.34
Table 7. Experimental Results for Large-scale Instances.
Table 7. Experimental Results for Large-scale Instances.
nSNPTPSO FPA BRKGA BRKGA-FPA
RPDBRPDARPDBRPDARPDBRPDARPDBRPDARPD
10010.980.601.957.117.113.363.490.001.90
1503.953.354.363.883.892.893.310.000.96
2001.590.861.161.191.200.400.530.000.41
2502.751.672.435.095.091.571.880.001.04
3001.953.643.725.815.841.501.670.001.62
Ave.4.242.022.724.624.621.942.180.001.19
Disclaimer/Publisher’s Note: The statements, opinions and data contained in all publications are solely those of the individual author(s) and contributor(s) and not of MDPI and/or the editor(s). MDPI and/or the editor(s) disclaim responsibility for any injury to people or property resulting from any ideas, methods, instructions or products referred to in the content.

Share and Cite

MDPI and ACS Style

Yu, X.; Qian, J.; Zhang, Y.; Kong, M. Supply Chain Scheduling Method for the Coordination of Agile Production and Port Delivery Operation. Mathematics 2023, 11, 3276. https://doi.org/10.3390/math11153276

AMA Style

Yu X, Qian J, Zhang Y, Kong M. Supply Chain Scheduling Method for the Coordination of Agile Production and Port Delivery Operation. Mathematics. 2023; 11(15):3276. https://doi.org/10.3390/math11153276

Chicago/Turabian Style

Yu, Xiaoyu, Jingyi Qian, Yajing Zhang, and Min Kong. 2023. "Supply Chain Scheduling Method for the Coordination of Agile Production and Port Delivery Operation" Mathematics 11, no. 15: 3276. https://doi.org/10.3390/math11153276

APA Style

Yu, X., Qian, J., Zhang, Y., & Kong, M. (2023). Supply Chain Scheduling Method for the Coordination of Agile Production and Port Delivery Operation. Mathematics, 11(15), 3276. https://doi.org/10.3390/math11153276

Note that from the first issue of 2016, this journal uses article numbers instead of page numbers. See further details here.

Article Metrics

Back to TopTop