Next Article in Journal
Optimization of a Two-Echelon Supply Chain Considering Consumer Low-Carbon Preference
Previous Article in Journal
On the Application of Neural Networks Trained with FEM Data for the Identification of Stiffness Parameters of Improved Mechanical Beam Joints
 
 
Font Type:
Arial Georgia Verdana
Font Size:
Aa Aa Aa
Line Spacing:
Column Width:
Background:
Article

Identification of an Unknown Substance by the Methods of Multi-Energy Pulse X-ray Tomography

by
Vasily G. Nazarov
1,
Igor V. Prokhorov
1,* and
Ivan P. Yarovenko
1,2
1
Institute of Applied Mathematics FEB RAS, 690041 Vladivostok, Russia
2
Center for Research and Education in Mathematics, Institute of Mathematics and Computer Technologies, Far Eastern Federal University, 690922 Vladivostok, Russia
*
Author to whom correspondence should be addressed.
Mathematics 2023, 11(15), 3263; https://doi.org/10.3390/math11153263
Submission received: 19 June 2023 / Revised: 21 July 2023 / Accepted: 24 July 2023 / Published: 25 July 2023
(This article belongs to the Section E1: Mathematics and Computer Science)

Abstract

The inverse problem for the non-stationary radiative transfer equation is considered, which consists in finding the attenuation coefficient according to the pulsed multi-energy X-ray exposure. For a short duration of the probing pulse, the asymptotic solution of the inverse problem is found. The problem of identifying an unknown substance by attenuation coefficients approximately found on a finite set of energy values is formulated. Algorithms for solving identification problems are proposed. The results of the numerical simulation are presented for a wide range of substances of interest in medical computed tomography.

1. Introduction

The X-ray investigations of a medium, particularly an unknown substance identification, are of theoretical interest and possess significant practical value. Radiographic methods are valuable in cases where the non-destructive testing of an object under investigation is required or when direct access to the object of interest is hindered or undesired. The number of scientific publications on this subject remains notably high. Furthermore, different authors employ diverse approaches to solve the considered problem, and these approaches may exhibit substantial variations depending on the specific case. The dual-energy method has become the most prominent technique among substance identification methods. It was initially proposed by R.E. Alvarez and A. Makovsky [1] and subsequently developed by other researchers [2,3,4,5,6,7,8,9,10]. Of particular significance is the research of S.P. Osipov et al. [7], which addresses the problem of identifying an unknown substance using the dual-energy method. According to the authors, “the dual-energy method has essentially become the primary means of material recognition in radiation monitoring across a wide range of objects” [7]. Here, the main assumptions made in posing the identification problem are presented, along with the enumeration of the key factors influencing the solution accuracy.
A significant part of these works is devoted to the issue of the identification of substances of custom control. Another important application of this method is soft tissue differentiation, widely used in biological and medical imaging [11], and investigations of minerals with complex chemical composition [12]. In [13,14], the author proposes an alternative approach that focuses on solving the problem of identifying the partial chemical composition of an unknown medium by multi-energy X-ray exposure. The author constructs an indicator function, the values of which allow to establish sufficient conditions for distinguishing various substances.
Several studies contain only theoretical investigations, for example, the paper of G. Bal et al. [15], exploring local conditions for the global invertibility of the multi-energy computed tomography transform and providing explicit stability estimates that quantitatively describe the error propagation from measurements to reconstructions.
In this study, we assume a priori knowledge of a list of substances potentially present in the examined medium. Each substance is characterized by its energy-dependent linear attenuation coefficient. The projection data acquired through tomographic scanning of the medium at different energy levels are also known. The method proposed involves selecting from the list of potentially present substances those with minimal mean square deviation from the reconstructed values obtained from the projection data and declaring these substances as the “most probable” composition of the examined medium. In this context, the accuracy of reconstructing the attenuation coefficient values of the medium is crucial.
As a rule, within the framework of computed tomography, the radiation source is assumed to be collimated. This assumption allows one to neglect scattering in the medium and determine the attenuation coefficient values from the exponential attenuation law. This study considers the problem of identifying an unknown medium without assuming the collimation of the X-ray source. We employ pulsed radiation sources to suppress the scattered component of the measured signal. Within a model based on the integro-differential radiation transfer equation, we demonstrate that the solution to the radiation transfer equation contains only the ballistic component for extremely short pulse durations. In this case, the reconstruction of the attenuation coefficient reduces to a well-studied problem of Radon transform inversion [16,17]. Our recent studies [18,19] numerically show that using an ultrashort pulse in tomographic scanning schemes improves image quality by temporally discriminating the scattered signal. The last paper [19] announces a theoretical estimation for the rate of single scattered components vanishing with decreasing the probe pulse duration without proof. The present study proves this estimation and demonstrates the vanishing of the multiply scattered term through numerical simulations on a digital phantom.
It is worth noting that the usage of pulsed sources to improve imaging quality is not a new idea. For instance, A. Komarskiy et al. [12] apply pulses of 50 nanoseconds in duration for objects moving on a conveyor belt examination. However, for typical small-sized objects, such pulse duration does not allow scattered radiation component discrimination since the irradiation process becomes practically stationary in this case. At the same time, such duration of source pulses is sufficient to eliminate motion blur on X-ray images of moving objects captured by flat-panel detectors. To effectively suppress the scattered signal, ultrashort pulses with durations of about a few picoseconds are required. Generating such pulses is a rather challenging technical task. This field of research has progressed significantly in recent years [20], and there are grounds to believe that in the coming years, technical devices capable of generating pulses with the required parameters will become available to researchers.
In this study, we evaluate the proposed method’s effectiveness using computer simulations. A specially designed digital phantom is employed to determine the X-ray source pulse durations, enabling the accurate reconstruction of the attenuation coefficient. The precision achieved in attenuation coefficient determination allows for the complete resolution of the identification problem using projection data acquired at five specific energy levels (50, 60, 80, 100, and 150 keV), enabling the accurate differentiation of substances. The phantom represents a model that reproduces the internal tissue structure of the human body, encompassing both low-contrast inclusions that are difficult to differentiate and high-density inclusions that introduce distortions in the projection data due to strong scattering. For the list of potentially present substances, we select 31 materials from widely known tables, consisting of materials of interest in X-ray diagnostics [21,22] with attenuation coefficient values closest to those encountered in medical tomography. The conducted numerical experiments demonstrate the promise of the method proposed.

2. Statements of Direct and Inverse Problems

Let us consider the non-stationary radiation transfer equation [18,19]
1 c t + ω · r + μ ( r , E ) I ( r , ω , E , t ) = σ ( r , E ) Ω p ( r , ω · ω , E ) I ( r , ω , E , t ) d ω .
The function I ( r , ω , E , t ) represents the particle flux density at t [ 0 , T ] , position r R 3 , moving with velocity c along the unit vector ω Ω = { ω R 3 : | ω | = 1 } with energy E [ E ̲ , E ¯ ] . Here, μ and σ denote the attenuation and scattering coefficients, respectively, while p indicates the scattering phase function.
The object under study is contained in a cylinder G centered at the origin, base diameter d and height l, G = { r = ( r 1 , r 2 , r 3 ) R 3 : | r | = d / 2 , l / 2 < r 3 < l / 2 } . Denote by G 0 a dense subset of the domain G that admits a partition into a finite number of pairwise disjoint subdomains G 1 , G 2 , , G p
G 0 = G 1 G p , G ¯ 0 = G ¯ , G i G j = , for i j ,
and for the coefficients of Equation (1), suppose that μ ( r , E ) = μ i ( E ) , σ ( r , E ) = σ i ( E ) , p ( r , ω · ω , E ) = p i ( ω · ω , E ) for r G i , where μ i ( E ) , σ i ( E ) L [ E ̲ , E ¯ ] , p i ( ω · ω , E ) L ( [ 1 , 1 ] × [ E ̲ , E ¯ ] ) . All functions are non-negative, with σ μ being satisfied, while the scattering phase function p obeys the normalization condition:
Ω p ( r , ω · ω , E ) d ω = 1
holding for almost all ( r , E ) G × [ E ̲ , E ¯ ] .
Outside G, the functions μ and σ are extended by zero, signifying no radiation–medium interaction externally. The subdomains G i represent inclusions filled by specific substances comprising the inhomogeneous medium G, characterized by the attenuation and scattering coefficients μ i ( E ) and σ i ( E ) , respectively. In practice, only approximate values of these coefficients can be obtained via the tomography of the medium. Moreover, the errors may differ across energy levels. Hence, the unambiguous identification of substances from a predefined list of potentially present materials is a non-trivial problem, necessitating formalization and the development of algorithms, alongside validation across a wide range of chemicals and materials relevant to medical or industrial tomography applications.
Consider the plane Π ω tangent to the boundary of G and orthogonal to the vector ω . By definition, Π ω comprises the set of points r R 3 satisfying r · ω = d / 2 . The planes Π ω and Π ω are parallel, separated by the distance d. Tomographic scanning involves the synchronous rotation of the radiation sources plane Π ω * and detectors plane Π + ω * in horizontal cross sections ω * Ω * = { ω = ( ω 1 , ω 2 , ω 3 ) Ω : ω 3 = 0 } .
Considering the direct problem for Equation (1), we omit the parametric dependence of the solution of the equation I ω * ( r , ω , E , t ) from the direction ω * , which characterizes the position of the external source of irradiation. For succinctness, we introduce the following notations: X = G × Ω × [ E ̲ , E ¯ ] × [ 0 , T ] , X 0 = G × Ω × [ E ̲ , E ¯ ] × { t = 0 } , Ω ω * = { ω Ω : ω * · ω > 0 } , Y = Π ω * × Ω ω * × [ E ̲ , E ¯ ] × [ 0 , T ] , X = Y X 0 . Supplementing Equation (1), the initial and boundary conditions are
I | X 0 = h 0 ( r , ω , E ) ,
I | Y = h e x t ( z , ω , E , t ) .
Here, h 0 describes the initial state, while h e x t indicates the incident radiation flux density.
We construct a function
h ( z , ω , E , t ) = h 0 ( z , ω , E ) , if ( z , ω , E , t ) X 0 , h e x t ( z , ω , E , t ) , if ( z , ω , E , t ) Y ,
on the set X and consolidate conditions (2) and (3) into a unified initial-boundary condition:
I | X = h ( r , ω , E , t ) .
With respect to the function h in condition (4), it is assumed to belong to L ( X ) .
Problem 1. 
The direct problem is to determine the function I that satisfies Equation (1) and condition (4) for given parameters μ , σ , p , c , h .
Frequently, the solution to the initial-boundary value problem (1) and (4) is interpreted in a generalized sense. Here, the differential operator on the left-hand side of Equation (1) signifies the directional derivative at the point ( r , ω , E , t ) along the vector ( ω , 1 / c ) :
τ I ( r + τ ω , ω , E , t + τ / c ) τ = 0 .
This approach circumvents significant challenges in defining the problem’s solution.
For simplicity of presentation, we restrict ourselves to the case when the serial irradiation of the medium, which depends on the direction ω *, is carried out by rectangular pulses of duration ε of the form
h ( ξ , ω , E , t ) = 1 / ε , ( ξ , ω , E , t ) Π ω * × Ω ω * × [ E ̲ , E ¯ ] × ( 0 , ε ) , 0 , ( ξ , ω , E , t ) Π ω * × Ω ω * × [ E ̲ , E ¯ ] × ( 0 , ε ) .
From a physical perspective, this definition of function h places constraints solely on the pulse duration, without presuming collimation of the probing beam or spatial localization of the radiation sources; the latter are frequently utilized in tomography to mitigate the parasitic effects of scattering when determining the radiation attenuation coefficient
Denote by L r , ω the ray emanating from the point r R 3 in the direction ω , L r , ω = { r + ω τ : τ > 0 } , and by d ( r , ω ) the distance from the point r G to the plane Π ω * in the direction ω , and let d ( r , ω , t ) = min { d ( r , ω ) , c t } .
If the ray L r , ω has no common point with the plane Π ω * , then it is obvious that d ( r , ω , t ) = c t .
A solution to the direct problem is a function I from the space
W 1 = { I L ( X ) : 1 c t + ω · r I L ( X ) } ,
such that for almost all ( r , ω , t ) X the function I ( r τ ω , ω , t τ / c ) is absolutely continuous in τ on the set [ 0 , d ( r , ω , t ) ] { c ( t ε ) }, and satisfies Equation (1) and condition (4) almost everywhere on X and X , respectively.
In defining the direct problem, we take into account the possible appearance of discontinuities in the function I ( r τ ω , ω , E , t τ / c ) with respect to the variable τ , due to the structure of the discontinuity of the function h with respect to the variable t. Let us formulate the inverse problem for Equation (1), which we will also refer to as the tomography problem [18,19].
Problem 2. 
The inverse problem is to determine the function μ from relations (1), (4) and the additional constraint
d / c d / c + ε I ( η , ω * , E , t ) d t = H ( η , ω * , E ) , ( η , ω * , E ) Π ω * × Ω * × [ E ̲ , E ¯ ] ,
with the quantities c , d , ε and functions h ( ξ , ω * , E , t ) , H ( η , ω * , E ) predefined on: ( ξ , ω * , E , t ) Π ω * × Ω * × [ 0 , T ] × [ E ̲ , E ¯ ] , ( η , ω * , E ) Π ω * × Ω * × [ E ̲ , E ¯ ] .
The averaged flux density values are solely required to determine the attenuation coefficient. These values belong to a time frame that equals the pulse duration. This duration is offset by the travel interval of the ballistic constituent departing the probed signal from the source to the detector. This approach somewhat mitigates the requirements for the time resolution of the detection equipment.
Let us proceed to formulating the problem of identifying an unknown substance. As a rule, even a visual analysis of the reconstructed function μ ( r , E ) makes it quite easy to determine the boundaries of the domain G j . In particularly difficult cases, for instance, with weakly contrasting, strongly scattering inclusions, one can utilize algorithms to restore the boundaries of G j domains, based on the heterogeneity indicator [23]. Considering that in each subdomain, the coefficient attenuation is constant, there is no need to use the values of μ ( r , E ) at each point r G when identifying substances. To quantify the attenuation coefficient μ ( r , E ) in the G j subdomains, we can restrict ourselves to a finite set of functionals
M j ( E ) = 1 mes { G j } G j μ ( r , E ) d r , j = 1 , , p ,
where G j is some subset of the domain G j , G j G j .
Definition 1. 
Let S = { S 1 , , S m } be a list of all possible substances that can be contained in the environment G. For each substance, S k corresponds to its coefficient μ k ( E ) ,defined on some finite set of energies E = E i , i = 1 , , q . We say that the substance S j * S with the coefficient μ j * ( E ) is most probably contained in the domain G j , if the root-mean-square deviation
J j ( f ) = i = 1 q ( M j ( E i ) f ( E i ) ) 2
is minimal at f ( E ) = μ j * ( E ) .
Problem 3. 
The problem is to determine the list S * = { S 1 * , , S p * } of substances, where each substance S j * corresponds to the coefficient μ j * ( E ) that minimizes the functional J j ( f ) for all j = 1 , , p , for given values M j ( E i ) for i = 1 , , q and j = 1 , , p .

3. Asymptotic Solution of the Inverse Problem 2

It is well known that the solution of Problem 1 is equivalent to the solution of an equation of the integral type
I = I 0 + AS I .
To solve Equation (9), the representation is valid in the form of a uniformly convergent Neumann series [18,19]:
I = n = 0 ( AS ) n I 0 ,
where operators A : L ( X ) W ( X ) and S : L ( X ) L ( X ) are defined by expressions
A f ( r , ω , E , t ) = 0 d ( r , ω , t ) exp 0 τ μ ( r τ ω , E ) d τ f ( r ω τ , ω , E , t τ / c ) d τ ,
S f ( r , ω , E , t ) = σ ( r , E ) Ω p ( r , ω · ω , E ) f ( r , ω , E , t ) d ω .
In representation (9), the function
I 0 ( r , ω , E , t ) = h ( r d ( r , ω , t ) ω , ω , E , t d ( r , ω , t ) / c ) exp 0 d ( r , ω , t ) μ ( r τ ω , E ) d τ
has the meaning of the intensity of the not-scattered field, but the function I n = ( AS ) n I 0 for n = 1 , 2 , describes an n-fold scattered field. For simplicity, we assume p = 1 / 4 π , which is typical for the isotropic type of scattering in a medium.
Lemma 1. 
For all η Π ω * , the function I 1 satisfies the estimate
d / c d / c + ε I 1 ( η , ω * , E , t ) d t σ ¯ d 2 Φ ( ε ) ,
where σ ¯ = sup ( r , E ) G × [ E ̲ , E ¯ ] σ ( r , E ) and
Φ ( ε ) = 1 2 c ε d ln 1 + d c ε + 1 d c ε ln 1 + c ε d .
Proof. 
Since I 1 = A S I 0 , then
I 1 ( η , ω * , E , t ) = 0 d exp 0 τ μ ( η τ ω * , E ) d τ σ ( η τ ω * , E ) 4 π ×      Ω exp 0 d ( η τ ω * , ω ) μ ( η τ ω * τ ω , E ) d τ ×     h ( η τ ω * d ( η τ ω * , ω ) ω , ω , E , t τ / c d ( η τ ω * , ω ) / c ) d ω d τ .
Taking into account the pulse shape of the external radiation source (5) and parametrizing the vector ω in terms of spherical angles,
ω 1 = cos α 1 ν 2 , ω 2 = sin α 1 ν 2 , ω 3 = ν , ν = ω · ω * ,
from (16), we obtain
I 1 ( η , ω * , E , t ) σ ¯ 2 ε 0 d 0 1 χ ε ( t τ / c ( d τ ) / ( c ν ) ) d ν d τ ,
where χ ε ( t ) is the characteristic function of the interval [ 0 , ε ] . Let us apply a change of variables in expression (17) for function I 1
s = t τ / c ( d τ ) / ( c ν ) , ν = d τ c ( t s ) τ , d ν = c ( d τ ) d s ( c ( t s ) τ ) 2 ,
where the variable s changes on the interval ( 0 , min { ε , t d / c } ) . If the variable t lies in the range d / c t d / c + ε , then from (17), it follows
I 1 ( η , ω * , E , t ) σ ¯ c 2 ε 0 d 0 t d / c ( d τ ) d s d τ ( c ( t s ) τ ) 2 = σ ¯ 2 ε 0 d ( d τ ) ( c ( t s ) τ ) 0 t d / c d τ = σ ¯ 2 ε 0 d ( c t d ) ( d τ ) ( c t τ ) ( d τ ) d τ = σ ¯ 2 ε ( c t d ) ln c t c t d .
Therefore, for any t ( d / c , d / c + ε )
I 1 ( η , ω * , E , t ) σ ¯ 2 ε ( c t d ) ln c t c t d .
Integrating both sides of inequality (19) over the interval ( d / c , d / c + ε ) , we obtain
d / c d / c + ε I 1 ( η , ω * , E , t ) d t σ ¯ 2 ε d / c d / c + ε ( c t d ) ln c t c t d d t = σ ¯ 2 ε ( c t d ) 2 2 c ln c t c t d d / c d / c + ε     d / c d / c + ε ( c t d ) 2 2 c 1 t c c t d d t = σ ¯ 2 ε ( c ε ) 2 2 c ln d + c ε c ε + d / c d / c + ε d ( c t d ) 2 t d t =    = σ ¯ d 4 c ε d ln 1 + d c ε + 1 d c ε ln 1 + c ε d = σ ¯ d 2 Φ ( ε ) .
where the function Φ ( ε ) is defined in (15). The lemma is proven. □
It is evident that function Φ ( ε ) 0 at ε 0 , and Φ ( ε ) 1 at ε . Hence, the integral on the left side of (14) converges to zero for ε 0 , while for ε , it is bounded from above by the constant σ ¯ d 2 .
An analytical proof of asymptotic convergence to zero for ε 0 of functions
d / c d / c + ε I n ( η , ω * , E , t ) d t
for n > 1 is cumbersome and involves design difficulties.
To validate the asymptotic vanishing of the scattered component with decreasing pulse durations, we conduct Monte Carlo simulations on the digital phantom used further in numerical experiments (see Section 4). This phantom represents a cylinder 10 cm in diameter and 10 cm in height containing various inclusions. We calculate the scattered intensity
Ψ m ( ε ) = d / c d / c + ε n = 1 m I n ( η , ω * , E , t ) d t
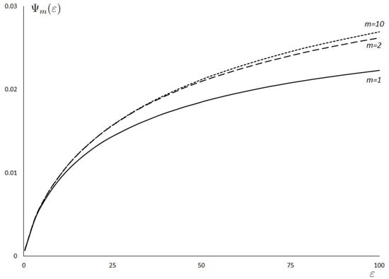
for different m, sampling points on the boundary and outward directions with attenuation and scattering coefficient values at 100 keV. The results presented in Figure 1 for specific point η = ( 5 , 0 , 2 ) and direction ω * = ( 1 , 0 , 0 ) demonstrate the overall tendency observed across the sampled points and directions. The curves Ψ 2 ( ε ) and Ψ 10 ( ε ) visually coincide for ε 30 , while Ψ 1 ( ε ) , Ψ 2 ( ε ) and Ψ 10 ( ε ) merge at ε 5 ps and converge to zero as ε 0 . This demonstrates the scattered component’s asymptotic vanishing with decreasing pulse durations.

4. Numerical Experiments and Discussion

To evaluate the proposed algorithm, we developed a digital phantom mimicking typical X-ray interaction properties of various human body tissues for further numerical experiments. Figure 2 illustrates the geometry of the simulated tomographic scanner and the digital phantom. The phantom has a cylindrical shape with a radius of 10 cm and a height of 10 cm and contains a substance simulating soft tissue. There are four cylindrical inclusions with a 9 mm diameter and 100 mm height inside the cylinder. Two inclusions ( G 2 , G 3 ) contain bone-equivalent material, while the others ( G 4 , G 5 ) are filled with adipose tissue-equivalent material. To study the effect of inclusion location, we position each material in two places—near the center and the edge of the phantom. Such a design enables the evaluation of the impacts of outer boundary closeness on the attenuation coefficient reconstruction quality. As is known, the reconstruction quality of the attenuation coefficient for inclusions located far from the edge is lower, while such errors can affect the identification of low-contrast materials. To analyze the recovery accuracy depending on the position within the background medium ( G 1 ), we designate two regions marked by the red dotted line in Figure 2. The first lies in the center, and the other is closer to the edge.
The numerical experiments involved a simulated tomograph with 201 detectors and a 400-direction angle discretization. To model the serial irradiation of the medium, we use a pulsed source defined by Formula (5). The XCOM database [22] provides data on attenuation coefficient values for the materials comprising the medium at various energies.
The experiments consist of three stages.
First, Monte Carlo simulation [18] is performed to obtain projection data functions corresponding to pulse durations ε i and incoming radiation energies E j . The projection data modeling involve 10 6 simulated particle trajectories and account for up to 10 interactions between the radiation and matter. These parameters ensure projection data accuracy with relative errors not exceeding 1 % .
Second, the problem of inverting the Radon transform is solved using the projection data and a convolution and back-projection algorithm [16]. After that, for each inclusion, we find the average value of the attenuation coefficient corresponding to the pulse durations ε i and energies E j of the incoming radiation.
Finally, we calculate the distances between the averaged coefficient μ values in each domain and the attenuation coefficients for the substances from the list of potential materials. As such a list, in our experiments, the substances provided in the Hubble–Seltzer tables corresponding to biological tissues are selected [21]. The complete substance list is then ranked by increasing distance, with the closest substance declared as the “most probable” for each domain. These substances are included in the final list containing the “most probable” composition of the examined medium.
For numerical experiments, we use a list S = { S 1 , , S m } with 31 substances from the Hubble–Seltzer tables [21]. Listing the complete set of substances from S, including the attenuation and scattering coefficient values for all energies, would likely be redundant in the article. Thus, we only note that beyond adipose, bone, and soft tissues, S also includes brain, chest, lung, ovarian, gonadal, and muscle tissues. The most complex substance in S is blood (whole). Its attenuation and scattering coefficients are calculated per [21], accounting for 10 constitutive chemical elements. Additionally, S encompasses various plastics frequently employed in medicine: A-150 tissue-equivalent plastic, B-100 bone-equivalent plastic, Bakelite, C-552 air-equivalent plastic, vinyltoluene, polyethylene, Mylar, polymethyl methacrylate, polystyrene, Teflon, polyvinyl chloride and others. This extensive material list provides confidence that the obtained results may be of practical value.
Figure 3 demonstrates phantom reconstruction examples. Figure 3a,b present tomographic images corresponding to the reference attenuation coefficient values at 50 keV and 150 keV energies, respectively. Figure 3c,e show tomographic images obtained by reconstructing the phantom from projection data using a 50 keV pulsed source with 3 ps and 30 ps pulse durations. Figure 3d,f provide similar reconstruction outcomes at a 150 keV radiation energy. The results indicate degradation in the reconstruction quality with increasing the pulse duration. This is manifested in both the reduced accuracy of the reconstructed attenuation coefficient values and lower image contrast. Specifically, in Figure 3f, the 30 ps pulse duration renders adipose tissue inclusions barely distinguishable. Increasing the radiation energy also decreases the contrast between inclusions with different fillers. This is evident across Figure 3b,d,f, where adipose tissue inclusions become progressively less discernible, despite being barely distinguishable even on the tomogram with the reference attenuation coefficient values. Their contrast continues diminishing with longer incoming pulse durations. Given these outcomes, attempting substance identification from single-energy transmission data is unlikely to succeed.
To formally appraise the reconstruction quality improvement linked to decreased probing pulse duration, we calculate the mean squared error (MSE), structural similarity index (SSIM), and peak signal-to-noise ratio (PSNR) between the reference image and each reconstructed image in Figure 3 [24]. Table 1 presents the computed values. The data analysis reveals substantially enhanced attenuation coefficient reconstruction accuracy with shortened incident radiation pulse duration. Notably, this enhancement manifests across all three quality metrics, unambiguously evidencing the efficacy of scattering discrimination due to reducing the pulse duration.
To determine the “most probable” substances, we calculate the average attenuation coefficient values for each material in the phantom. The closest substances from the reference list are identified by distance. Table 2 provides the single-energy 100 keV identification outcomes. Table 3 shows the results for repeated exposure at 50 , 60 , 80 , 100 , and 150 keV energies.
Table 2 and Table 3 demonstrate a clear tendency of improved identification accuracy with decreasing the probing pulse duration. However, even ultrashort 1 ps pulses fail to fully mitigate scattering effects in the central phantom region to enable the reliable identification of the medium composition from single-energy X-ray projection data. Acquiring the multi-energy projections in the 50–150 keV range provides the correct recovery of all phantom components for the given pulse duration by leveraging supplemental energy information. Meanwhile, even a minor increase in the probing pulse duration to 3 ps leads to rising error in the projection data, resulting in incorrect identification problem solutions for low-contrast inclusions.
We performed additional calculations with a broader energy range beyond the 50, 60, 80, 100, 150 keV dataset. These supplementary simulations demonstrated identification quality improvement when using lower energies, particularly below 50 keV. However, the rapid attenuation coefficient increase at smaller energies significantly complicates the effective irradiation of anatomically sized domains. Employing over 150 keV energies is possible but offers minimal further identification enhancement. Consequently, we constrained the experiments to an energy range of 50–150 keV. Nonetheless, we posit that small energies may efficiently solve identification issues for reduced-size areas, such as in microtomography.

5. Conclusions

This paper explores the problem of identifying an unknown substance based on a set of tomographic projection data acquired at discrete energy levels. The problem involves selecting, from a list of those that are potentially present in the medium materials, substances with attenuation coefficient values closest to the approximate attenuation coefficients reconstructed from the projection data across the entire energy range. The auxiliary problem of finding the approximate attenuation coefficient values is formulated in the paper as the inverse problem for the nonstationary radiative transfer equation, and an asymptotic solution is obtained for a short pulse duration of the X-ray radiation source. The numerical experiments performed on a specially designed digital phantom mimicking human tissues show that decreasing the irradiation pulse duration increases the likelihood of the unambiguous identification of the unknown composition of the examined medium. We correctly identify the substance in all the inclusions of the digital phantom using an X-ray pulse duration of 1 picosecond. We need to use such ultrashort pulses for the tomography of the medium because of the low-contrast inclusions presented in the phantom. In many other cases, pulse durations much longer than one picosecond may suffice for unambiguous substance identification. The algorithm proposed makes it possible to determine a specific probing pulse duration required to find a unique solution to the identification problem by performing a computer simulation without requiring additional hazardous and costly patient exposures. Note that the primary focus of this work is reducing errors caused by scattering, as it is one of the crucial factors spoiling the tomographic images’ quality. The approach proposed to improve the accuracy of reconstructing the medium’s attenuation coefficient relies solely on filtering the scattered component and does not address other aspects affecting the attenuation coefficient reconstruction quality in tomography, hence the identification problem solution. In particular, issues like the impact of geometric errors (shifts, distortions) or non-ideal radiation detectors remain outside the scope of this work. Of course, from a practical application standpoint, this imposes certain limitations on our work. Nevertheless, we believe that even such modest advances in scattering mitigation are of interest and warrant attention when solving complex problems like substance identification via X-ray diagnostic methods.

Author Contributions

Methodology, V.G.N. and I.P.Y.; investigation, V.G.N. and I.P.Y.; writing—original draft, V.G.N., I.V.P. and I.P.Y.; conceptualization, I.V.P. All authors have read and agreed to the published version of the manuscript.

Funding

The work was carried out within the framework of the state order R&D AAAA-A20-120120390006-0, and with the financial support of the Ministry of Education and Science of the Russian Federation (agreement No. 075-02-2023-946).

Institutional Review Board Statement

Not applicable.

Informed Consent Statement

Not applicable.

Data Availability Statement

The data presented in this study are available on request from the corresponding author.

Conflicts of Interest

The authors declare no conflict of interest.

References

  1. Alvarez, R.E.; Macovski, A. Energy-selective reconstructions in X-ray computerized tomography. Phys. Med. Biol. 1976, 21, 733–744. [Google Scholar] [CrossRef] [PubMed]
  2. Brooks, R.A. A quantitative theory of the Hounsfield unit and its application to dual energy scanning. J. Comput. Assist. Tomog. 1977, 1, 487–493. [Google Scholar] [CrossRef] [PubMed]
  3. Ying, Z.; Naidu, R.; Crawford, C. Dual energy computed tomography for explosive detection. J. X-ray Sci. Technol. 2006, 14, 235–256. [Google Scholar]
  4. Rebuffel, V.; Dinten, J.-M. Dual-energy X-ray imaging: Benefits and limits. Insight 2007, 49, 589–594. [Google Scholar] [CrossRef]
  5. Klimenov, V.A.; Osipov, S.P.; Temnik, A.K. Identification of the substance of a test object using the dual energy method. Russ. J. Nondestruct. Test. 2013, 49, 642–649. [Google Scholar] [CrossRef]
  6. Osipov, S.P.; Libin, E.E.; Chakhlov, S.V.; Osipov, O.S.; Shtein, A.M. Parameter identification method for dual-energy X-ray imaging. NDT & E Int. 2015, 76, 38–42. [Google Scholar]
  7. Osipov, S.P.; Udod, V.A.; Wang, Y. Identification of Materials in X-ray Inspections of Objects by the Dual-Energy Method. Russ. J. Nondestruct. Test. 2017, 53, 568–587. [Google Scholar] [CrossRef]
  8. Alvarez, R.E. Topics in Energy-Selective X-ray Imaging. 2015. Available online: https://www.researchgate.net/publication/312385192_Topics_in_Energy-selective_X-ray_Imaging (accessed on 15 January 2017).
  9. Jumanazarov, D.; Koo, J.; Busi, M.; Poulsen, H.F.; Olsen, U.L.; Iovea, M. System-independent material classification through X-ray attenuation decomposition from spectral X-ray CT. NDT E Int. 2020, 116, 102336. [Google Scholar]
  10. Ahmed, O.M.H.; Song, Y.; Xie, Z. Material Identification Approach Based on the Counting Technique and Beam Hardening Correction under Industrial X-ray Computed Tomography: A Simulation Study. Braz. J. Phys. 2022, 52, 26. [Google Scholar] [CrossRef]
  11. Yokhana, V.S.K.; Arhatari, B.D.; Abbey, B. Materials Separation via the Matrix Method Employing Energy-Discriminating X-ray Detection. Appl. Sci. 2022, 12, 3198. [Google Scholar] [CrossRef]
  12. Komarskiy, A.; Korzhenevskiy, S.; Ponomarev, A.; Chepusov, A. Dual-Energy Processing of X-ray Images of Beryl in Muscovite Obtained Using Pulsed X-ray Sources. Sensors 2023, 23, 4393. [Google Scholar] [CrossRef] [PubMed]
  13. Nazarov, V.G. The problem of identification an unknown substance by the radiographic method. J. Phys. Conf. Ser. 2021, 2099, 012043. [Google Scholar] [CrossRef]
  14. Nazarov, V.G. Method of Hyperplanes in the Problem of Identification of an Unknown Substance. J. Appl. Ind. Math. 2021, 15, 451–465. [Google Scholar] [CrossRef]
  15. Bal, G.; Gong, R.; Terzioglu, F. An inversion algorithm for P-functions with applications to multi-energy CT. Inverse Probl. 2022, 38, 035011. [Google Scholar] [CrossRef]
  16. Natterer, F. The Mathematics of Computerized Tomography; Wiley: Chichester, UK, 1986. [Google Scholar]
  17. Herman, G.; Natterer, F. Mathematical Aspects of Computerized Tomography; Springer Science & Business Media: Oberwolfach, Germany, 2013. [Google Scholar]
  18. Prokhorov, I.V.; Yarovenko, I.P. Determination of the attenuation coefficient for the nonstationary radiative transfer equation. Comput. Math. Math. Phys. 2021, 61, 2088–2101. [Google Scholar] [CrossRef]
  19. Prokhorov, I.V.; Yarovenko, I.P. Improving the Quality of Tomographic Images of a Medium Using Irradiation with Pulses of Different Duration. Dokl. Math. 2022, 106, 272–278. [Google Scholar] [CrossRef]
  20. Fetisov, G.V. X-ray diffraction methods for structural diagnostics of materials: Progress and achievements. Physics-Uspekhi 2020, 63, 2–32. [Google Scholar] [CrossRef]
  21. Hubbell, J.H.; Seltzer, S.M. Tables of X-ray Mass Attenuation Coefficients and Mass Energy Absorption Coefficients 1 keV to 20 MeV for Elements Z = 1 to 92 and 48 Additional Substances of Dosimetric Interest; NISTIR-5632; National Institute of Standards and Technology: Gaithersburg, MD, USA, 1995. [Google Scholar]
  22. Berger, M.J.; Hubbell, J.H.; Seltzer, S.M.; Chang, J.; Coursey, J.S.; Sukumar, R.; Zucker, D.S. XCOM: Photon Cross Section Database; National Institute of Standards and Technology: Gaithersburg, MD, USA, 2005. Available online: http://www.physics.nist.gov/xcom (accessed on 26 November 2019).
  23. Anikonov, D.S.; Kovtanyuk, A.E.; Prokhorov, I.V. Transport Equation and Tomography; VSP: Utrecht, The Netherlands; Boston, MA, USA, 2002. [Google Scholar]
  24. Wang, Z.; Bovik, A.; Sheikh, H.; Simoncelli, E. Image Quality Assessment: From Error Visibility to Structural Similarity. IEEE Trans. Image Process. 2004, 13, 600–612. [Google Scholar] [CrossRef] [PubMed]
Figure 1. Graphs illustrate the decay of the scattered component Ψ m ( ε ) of the solution to the radiative transfer equation as the incoming radiation pulse duration (in picoseconds) decreases. The continuous line shows single scattering, the dashed line represents the sum of singly and doubly scattered photons, and the dotted line corresponds to sums up to ten scattering events.
Figure 1. Graphs illustrate the decay of the scattered component Ψ m ( ε ) of the solution to the radiative transfer equation as the incoming radiation pulse duration (in picoseconds) decreases. The continuous line shows single scattering, the dashed line represents the sum of singly and doubly scattered photons, and the dotted line corresponds to sums up to ten scattering events.
Mathematics 11 03263 g001
Figure 2. Phantom geometry and sections.
Figure 2. Phantom geometry and sections.
Mathematics 11 03263 g002
Figure 3. The results of the reconstruction of the phantom for the energy of the incident radiation 50 keV (left) and 150 keV (right) depending on on the pulse duration. (a,b) Tomographic images corresponding to the reference values of absorption coefficient; (c,d) tomographic images corresponding to a pulse duration of 3 ps; (e,f) tomographic images corresponding to a pulse duration of 30 ps.
Figure 3. The results of the reconstruction of the phantom for the energy of the incident radiation 50 keV (left) and 150 keV (right) depending on on the pulse duration. (a,b) Tomographic images corresponding to the reference values of absorption coefficient; (c,d) tomographic images corresponding to a pulse duration of 3 ps; (e,f) tomographic images corresponding to a pulse duration of 30 ps.
Mathematics 11 03263 g003
Table 1. Quality metrics for phantom tomographic images depending on pulse duration.
Table 1. Quality metrics for phantom tomographic images depending on pulse duration.
Energy 50 keVEnergy 150 keV
MSE = 0.0023MSE = 0.0014
Pulse duration 3 psSSIM = 0.8912SSIM = 0.9024
PSNR = 26.44PSNR = 19.35
MSE = 0.0027MSE = 0.002
Pulse duration 30 psSSIM = 0.8892SSIM = 0.9
PSNR = 24.18PSNR = 16.97
Table 2. Identification of a substance by transillumination at an energy of 100 keV.
Table 2. Identification of a substance by transillumination at an energy of 100 keV.
Inclusion Gi
(Substance)
Pulse
Duration 1 ps
Pulse
Duration 3 ps
Pulse
Duration 30 ps
G 2 (Adipose tissue)Adipose tissuePolyethyleneAdipose tissue
G 3 (Adipose tissue)Adipose tissuePolyethyleneAdipose tissue
G 4 (Bone, Cortical)Bone, CorticalBone, CorticalTeflon
G 5 (Bone, Cortical)Bone, CorticalBone, CorticalTeflon
G 1 (Soft tissue, reg. 2)Soft tissuePolyethyleneAdipose tissue
G 1 (Soft tissue, reg. 1)Vinyl toluenePolyethylenePolyethylene
Table 3. Identification of matter in multiple transillumination at energies of 50 , 60 , 80 , 100 and 150 keV.
Table 3. Identification of matter in multiple transillumination at energies of 50 , 60 , 80 , 100 and 150 keV.
Inclusion Gi
(Substance)
Pulse
Duration 1 ps
Pulse
Duration 3 ps
Pulse
Duration 30 ps
G 2 (Adipose tissue)Adipose tissueAdipose tissuePolyethylene
G 3 (Adipose tissue)Adipose tissueAdipose tissuePolyethylene
G 4 (Bone, Cortical)Bone, CorticalBone, CorticalBone, Cortical
G 5 (Bone, Cortical)Bone, CorticalBone, CorticalBone, Cortical
G 1 (Soft tissue, reg. 2)Soft tissueSoft tissueAdipose tissue
G 1 (Soft tissue, reg. 1)Soft tissueVinyl tolueneAdipose tissue
Disclaimer/Publisher’s Note: The statements, opinions and data contained in all publications are solely those of the individual author(s) and contributor(s) and not of MDPI and/or the editor(s). MDPI and/or the editor(s) disclaim responsibility for any injury to people or property resulting from any ideas, methods, instructions or products referred to in the content.

Share and Cite

MDPI and ACS Style

Nazarov, V.G.; Prokhorov, I.V.; Yarovenko, I.P. Identification of an Unknown Substance by the Methods of Multi-Energy Pulse X-ray Tomography. Mathematics 2023, 11, 3263. https://doi.org/10.3390/math11153263

AMA Style

Nazarov VG, Prokhorov IV, Yarovenko IP. Identification of an Unknown Substance by the Methods of Multi-Energy Pulse X-ray Tomography. Mathematics. 2023; 11(15):3263. https://doi.org/10.3390/math11153263

Chicago/Turabian Style

Nazarov, Vasily G., Igor V. Prokhorov, and Ivan P. Yarovenko. 2023. "Identification of an Unknown Substance by the Methods of Multi-Energy Pulse X-ray Tomography" Mathematics 11, no. 15: 3263. https://doi.org/10.3390/math11153263

APA Style

Nazarov, V. G., Prokhorov, I. V., & Yarovenko, I. P. (2023). Identification of an Unknown Substance by the Methods of Multi-Energy Pulse X-ray Tomography. Mathematics, 11(15), 3263. https://doi.org/10.3390/math11153263

Note that from the first issue of 2016, this journal uses article numbers instead of page numbers. See further details here.

Article Metrics

Back to TopTop