Online Personalized Learning Path Recommendation Based on Saltatory Evolution Ant Colony Optimization Algorithm
Abstract
1. Introduction
2. Related Work
2.1. Learning Path Recommendations Based on Sequential Pattern Mining
2.2. Learning Path Recommendation Based on Combinatorial Optimization
3. Online Personalized Learning Path Recommendation Problem with a Time Window
3.1. Personalized Learning Path Recommendation Problem Description
3.2. Personalized Learning Path Optimization Model with a Time Window
3.3. The Principles That Affect Learning Effects
- The expected learning volume has a significant positive effect on learning effect, and the larger the expected learning volume, the better the learning effect;
- The level of learners’ education has a significant positive effect on learning effect, and the higher the education, the better the learning effect;
- The learning load has a significant negative effect on academic performance, and the greater the learning load, the worse the learning effect.
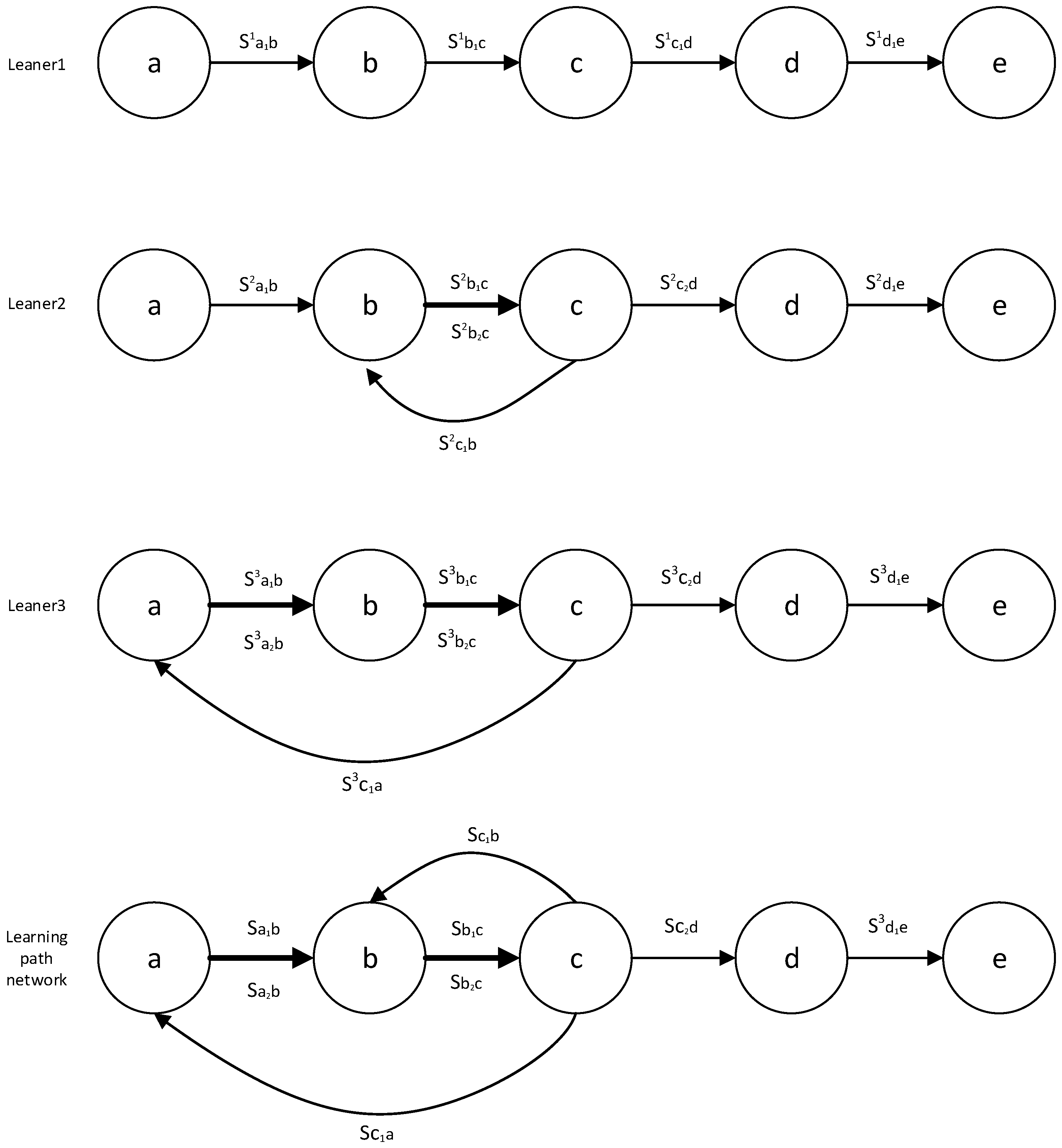
4. Personalized Learning Path Network with Review Behavior
4.1. Personalized Learning Path Matrix
4.2. Personalized Learning Path Weights
5. Personalized Learning Path Recommendation Model Based on SEACO
5.1. Personalized Learning Path Recommendations Based on Traditional Ant Colony Optimization Algorithm
5.2. SEACO Algorithm for Personalized Learning Path Recommendation
| Algorithm 1: Pseudocode of the SEACO algorithm |
| Initialization: Initialize SEACO parameters: the number of ants , the pheromone importance factor , the heuristic information impact factor , the pheromone volatility factor , the pheromone constant . Set the maximum iterations of the algorithm , the moment of optimal learning path prediction model injection , the learning scope V and the set of maximum learning times of learning resources K. |
| while |
| Initialize the positions of ants. Calculate the selection probability of each path: Select the next paths for ants one by one according to the roulette wheel method. Calculate the fitness of M ants: Output the maximum fitness as the result of this iteration. Update the pheromone value of each learning path: where if Calculate the average trend value of each learning path solution : |
| Predict the pheromone value of each learning path : |
| Update the pheromone matrix of traditional ACO algorithm. end if Update best solution. |
| end while |
| Return best solution |
| End |
6. Experimental Results and Analysis
6.1. Experimental Data and Design
6.2. Adaptation Analysis of Personalized Learning Path Recommendation Results
6.3. Analysis of SEACO Algorithm Effectiveness
7. Conclusions and Future Work
7.1. Conclusions
7.2. Future Work
Author Contributions
Funding
Data Availability Statement
Conflicts of Interest
References
- Imran, H.; Belghis-Zadeh, M.; Chang, T.; Graf, S. PLORS: A personalized learning object recommender system. Vietnam J. Comput. Sci. 2016, 3, 3–13. [Google Scholar] [CrossRef]
- Wan, H.; Yu, S. A recommendation system based on an adaptive learning cognitive map model and its effects. Interact. Learn. Environ. 2020, 32, 1821–1839. [Google Scholar] [CrossRef]
- Tam, V.; Lam, E.Y.; Fung, S. A new framework of concept clustering and learning path optimization to develop the next-generation e-learning systems. J. Comput. Educ. 2014, 1, 335–352. [Google Scholar] [CrossRef]
- Kennedy, J.; Eberhart, R. Particle swarm optimization. In Proceedings of the ICNN’95—International Conference on Neural Networks, Perth, WA, Australia, 27 November–1 December 1995; IEEE: Piscataway, NJ, USA, 1995; Volume 4, pp. 1942–1948. [Google Scholar]
- Mehmood, K.; Chaudhary, N.I.; Khan, Z.A.; Cheema, K.M.; Raja, M.A.Z.; Milyani, A.H.; Azhari, A.A. Dwarf Mongoose Optimization Metaheuristics for Autoregressive Exogenous Model Identification. Mathematics 2022, 10, 3821. [Google Scholar] [CrossRef]
- Shi, D.; Wang, T.; Xing, H.; Xu, H. A learning path recommendation model based on a multidimensional knowledge graph framework for e-learning. Knowl. Based Syst. 2020, 195, 105618. [Google Scholar] [CrossRef]
- Rodriguez-Medina, A.E.; Dominguez-Isidro, S.; Ramirez-Martinell, A. A Microlearning path recommendation approach based on ant colony optimization. J. Intell. Fuzzy Syst. 2022, 42, 4699–4708. [Google Scholar] [CrossRef]
- Tarus, J.K.; Niu, Z.; Yousif, A. A hybrid knowledge-based recommender system for e-learning based on ontology and sequential pattern mining. Future Gener. Comput. Syst. 2017, 72, 37–48. [Google Scholar] [CrossRef]
- Salehi, M. Application of implicit and explicit attribute based collaborative filtering and BIDE for learning resource recommendation. Data Knowl. Eng. 2013, 87, 130–145. [Google Scholar] [CrossRef]
- Zhao, J.; Liu, S.; Zhang, J. Personalized Distance Learning System based on Sequence Analysis Algorithm. Int. J. Online Eng. 2015, 11, 33–36. [Google Scholar] [CrossRef]
- Gao, Y.; Zhai, X.; Andersson, B.; Zeng, P.; Xin, T. Developing a learning progression of buoyancy to model conceptual change: A latent class and rule space model analysis. Res. Sci. Educ. 2020, 50, 1369–1388. [Google Scholar] [CrossRef]
- Al-Muhaideb, S.; Menai, M.E.B. Evolutionary computation approaches to the Curriculum Sequencing problem. Nat. Comput. 2011, 10, 891–920. [Google Scholar] [CrossRef]
- Vanitha, V.; Krishnan, P. A modified ant colony algorithm for personalized learning path construction. J. Intell. Fuzzy Syst. 2019, 37, 6785–6800. [Google Scholar] [CrossRef]
- Elshani, L.; Nuçi, K.P. Constructing a personalized learning path using genetic algorithms approach. arXiv 2021, arXiv:2104.11276. [Google Scholar] [CrossRef]
- Niknam, M.; Thulasiraman, P. LPR: A bio-inspired intelligent learning path recommendation system based on meaningful learning theory. Educ. Inf. Technol. 2020, 25, 3797–3819. [Google Scholar] [CrossRef]
- Benmesbah, O.; Lamia, M.; Hafidi, M. An improved constrained learning path adaptation problem based on genetic algorithm. Interact. Learn. Environ. 2021, 1–18. [Google Scholar] [CrossRef]
- Son, N.T.; Jaafar, J.; Aziz, I.A.; Anh, B.N. Meta-heuristic algorithms for learning path recommender at MOOC. IEEE Access 2021, 9, 59093–59107. [Google Scholar] [CrossRef]
- Lu, H.; Wang, H.; Liu, M. How to transform the school education model in the digital economy era?—Interpretation of the report “Schools of the future: Defining new models of education for the fourth industrial revolution”. Mod. Educ. Technol. 2021, 31, 42–49. [Google Scholar]
- Wang, T.-I.; Wang, K.-T.; Huang, Y.-M. Using a style-based ant colony system for adaptive learning. Expert. Syst. Appl. 2008, 34, 2449–2464. [Google Scholar] [CrossRef]
- Lin, Y.; Gong, Y.; Zhang, J. An adaptive ant colony optimization algorithm for constructing cognitive diagnosis tests. Appl. Soft Comput. 2017, 52, 1–13. [Google Scholar] [CrossRef]
- Krynicki, K.; Jaen, J.; Navarro, E. An ACO-based personalized learning technique in support of people with acquired brain injury. Appl. Soft Comput. 2016, 47, 316–331. [Google Scholar] [CrossRef]
- Wong, L.-H.; Looi, C.-K. Adaptable learning pathway generation with ant colony optimization. J. Educ. Techno. Soc. 2009, 12, 309–326. [Google Scholar]
- Li, S.; Wei, Y.; Liu, X.; Zhu, H.; Yu, Z. A New Fast Ant Colony Optimization Algorithm: The Saltatory Evolution Ant Colony Optimization Algorithm. Mathematics 2022, 10, 925. [Google Scholar] [CrossRef]
- Lalitha, T.; Sreeja, P. Personalised self-directed learning recommendation system. Procedia Comput. Sci. 2020, 171, 583–592. [Google Scholar] [CrossRef]
- Ly, A.; Marsman, M.; Wagenmakers, E.J. Analytic posteriors for Pearson’s correlation coefficient. Stat. Neerl. 2018, 72, 4–13. [Google Scholar] [CrossRef] [PubMed]
- Dorigo, M.; Birattari, M.; Stutzle, T. Ant colony optimization. IEEE Comput. Intell. Mag. 2006, 1, 28–39. [Google Scholar] [CrossRef]
- Wei, X. Task scheduling optimization strategy using improved ant colony optimization algorithm in cloud computing. J. Ambient. Intell. Humaniz. Comput. 2020, 1–12. [Google Scholar] [CrossRef]
- Lipowski, A.; Lipowska, D. Roulette-wheel selection via stochastic acceptance. Phys. A 2012, 391, 2193–2196. [Google Scholar] [CrossRef]
- Martens, D.; De Backer, M.; Haesen, R.; Vanthienen, J.; Snoeck, M.; Baesens, B. Classification with ant colony optimization. IEEE Trans. Evol. 2007, 11, 651–665. [Google Scholar] [CrossRef]
- Ng, S.T.; Zhang, Y. Optimizing construction time and cost using ant colony optimization approach. J. Constr. Eng. 2008, 134, 721–728. [Google Scholar] [CrossRef]
- Chu, C.-P.; Chang, Y.-C.; Tsai, C.-C. PC2PSO: Personalized e-course composition based on Particle Swarm Optimization. Appl. Intell. 2011, 34, 141–154. [Google Scholar] [CrossRef]
- Mehmood, K.; Chaudhary, N.I.; Khan, Z.A.; Cheema, K.M.; Raja, M.A.Z. Variants of Chaotic Grey Wolf Heuristic for Robust Identification of Control Autoregressive Model. Biomimetics 2023, 8, 141. [Google Scholar] [CrossRef] [PubMed]
- Mehmood, K.; Chaudhary, N.I.; Khan, Z.A.; Cheema, K.M.; Raja, M.A.Z.; Milyani, A.H.; Azhari, A.A. Nonlinear Hammerstein System Identification: A Novel Application of Marine Predator Optimization Using the Key Term Separation Technique. Mathematics 2022, 10, 4217. [Google Scholar] [CrossRef]





| Statistical Quantities | Average Academic Performance | Average Learning Efficiency | Average Length of Learning Path |
|---|---|---|---|
| Recommended learning path | 82.89 | 0.535 | 155 |
| Learners’ actual learning path | 69.57 | 0.526 | 196.4 |
| Average optimization value | 13.32 | 0.009 | −41.4 |
| Optimized learner ratio | 96% | 75% | 60.92% |
| Algorithm | Iteration | Average Best Objective Value | STD |
|---|---|---|---|
| ACO | 13th | 0.257 | 0.0043 |
| 23rd | 0.320 | 0.0048 | |
| 33rd | 0.351 | 0.0042 | |
| SEACO | 13th | 0.296 (save 12 iterations) | 0.0039 |
| 23rd | 0.376 (save 6 iterations) | 0.0040 | |
| 33rd | 0.391 (save 2 iteration) | 0.0039 |
| Algorithm | Description | Parameter |
|---|---|---|
| PSO | Inspired from the motion of bird flocks and schooling fish. | Population size N = 100 Cognitive component C1 = 0.1 Social component C2 = 0.075 Minimum inertia Wmin = 0.5 Maximum inertia Wmax = 1 |
| DMO | Inspired from the social structure and foraging nature of dwarf mongooses in their natural environment. | Population size N = 100 Number of babysitters Nb = 20 Babysitter exchange parameter K = 7 Female vocalization α = 2 |
| Algorithm | Iteration | Average Best Objective Value | STD |
|---|---|---|---|
| ACO | 13th | 0.371 | 0.0042 |
| 23rd | 0.402 | 0.0046 | |
| 33rd | 0.479 | 0.0044 | |
| PSO | 13th | 0.319 | 0.0049 |
| 23rd | 0.348 | 0.0048 | |
| 33rd | 0.415 | 0.0049 | |
| DMO | 13th | 0.403 | 0.0059 |
| 23rd | 0.431 | 0.0060 | |
| 33rd | 0.484 | 0.0060 | |
| SEACO | 13th | 0.413 | 0.0038 |
| 23rd | 0.449 | 0.0036 | |
| 33rd | 0.492 | 0.0039 |
| Algorithm | ACO | PSO | DMO |
|---|---|---|---|
| 13th iteration | 11 iterations | 13 iterations | 3 iterations |
| 23rd iteration | 13 iterations | 22 iterations | 8 iterations |
| 33rd iteration | 1 iteration | 19 iterations | 1 iteration |
Disclaimer/Publisher’s Note: The statements, opinions and data contained in all publications are solely those of the individual author(s) and contributor(s) and not of MDPI and/or the editor(s). MDPI and/or the editor(s) disclaim responsibility for any injury to people or property resulting from any ideas, methods, instructions or products referred to in the content. |
© 2023 by the authors. Licensee MDPI, Basel, Switzerland. This article is an open access article distributed under the terms and conditions of the Creative Commons Attribution (CC BY) license (https://creativecommons.org/licenses/by/4.0/).
Share and Cite
Li, S.; Chen, H.; Liu, X.; Li, J.; Peng, K.; Wang, Z. Online Personalized Learning Path Recommendation Based on Saltatory Evolution Ant Colony Optimization Algorithm. Mathematics 2023, 11, 2792. https://doi.org/10.3390/math11132792
Li S, Chen H, Liu X, Li J, Peng K, Wang Z. Online Personalized Learning Path Recommendation Based on Saltatory Evolution Ant Colony Optimization Algorithm. Mathematics. 2023; 11(13):2792. https://doi.org/10.3390/math11132792
Chicago/Turabian StyleLi, Shugang, Hui Chen, Xin Liu, Jiayi Li, Kexin Peng, and Ziming Wang. 2023. "Online Personalized Learning Path Recommendation Based on Saltatory Evolution Ant Colony Optimization Algorithm" Mathematics 11, no. 13: 2792. https://doi.org/10.3390/math11132792
APA StyleLi, S., Chen, H., Liu, X., Li, J., Peng, K., & Wang, Z. (2023). Online Personalized Learning Path Recommendation Based on Saltatory Evolution Ant Colony Optimization Algorithm. Mathematics, 11(13), 2792. https://doi.org/10.3390/math11132792

