Position and Attitude Tracking Finite-Time Adaptive Control for a VTOL Aircraft Using Global Fast Terminal Sliding Mode Control
Abstract
1. Introduction
2. Preliminaries and Problem Statement
2.1. Preliminaries
2.2. Problem Statement
3. Main Results
3.1. Horizontal Position Tracking Control Law Design
3.2. Vertical Position Tracking Control Law Design
3.3. Roll Angle Tracking Control Law Design
3.4. Finite-Time Stability Analysis
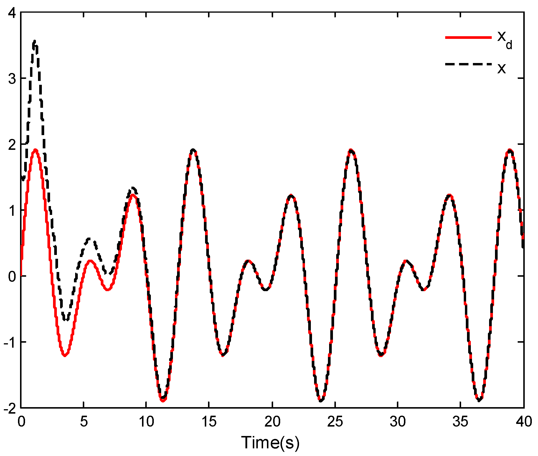
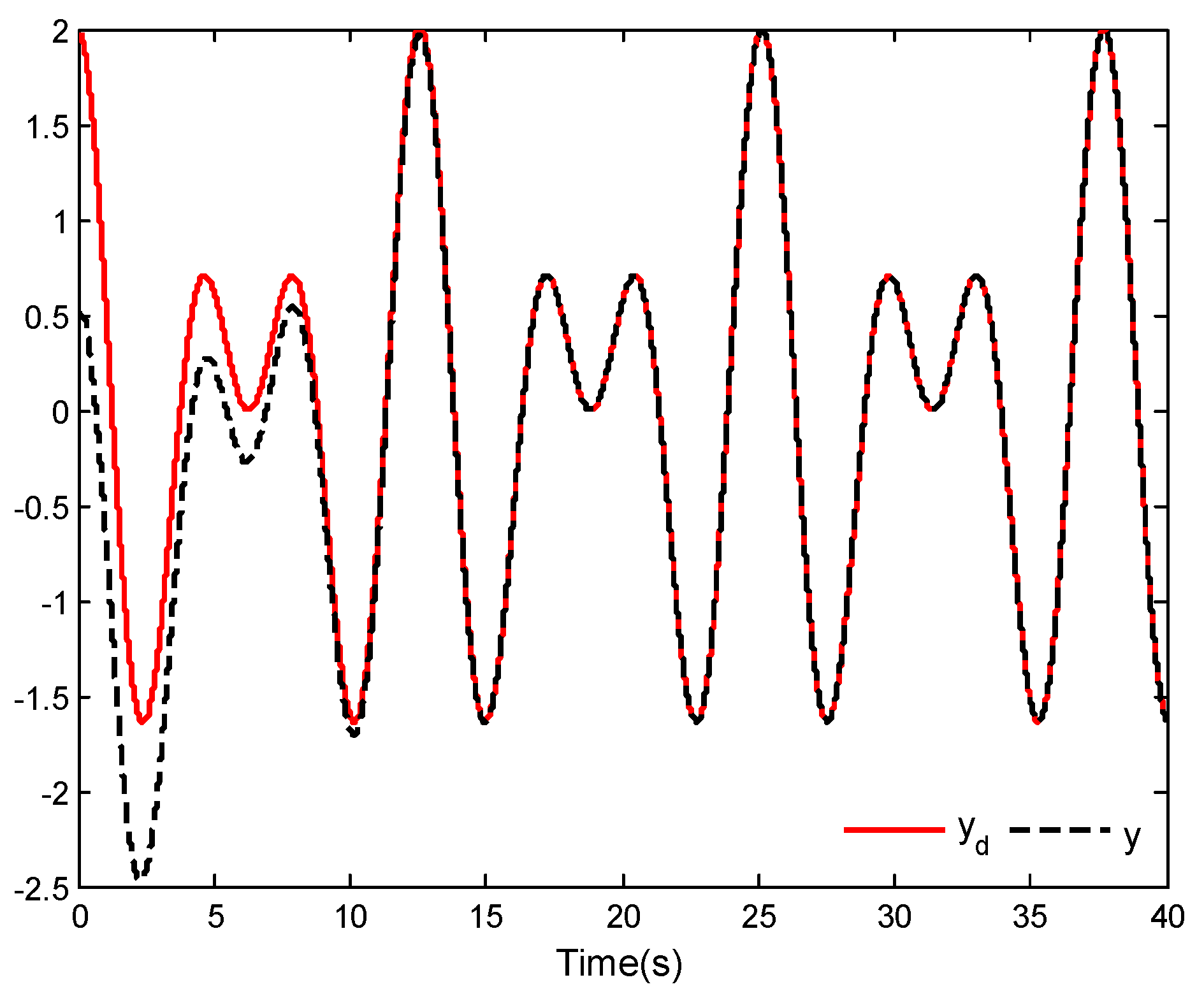
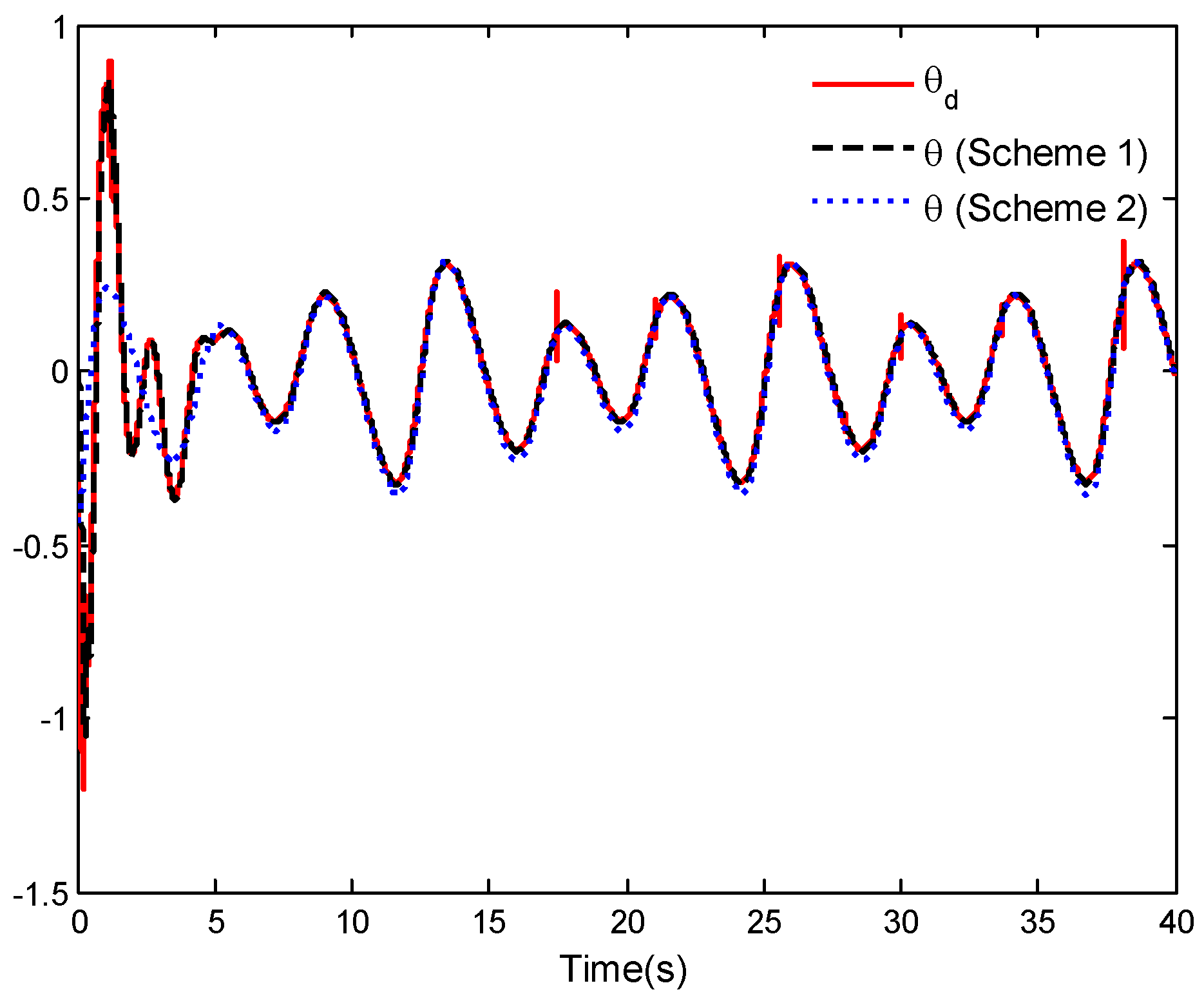
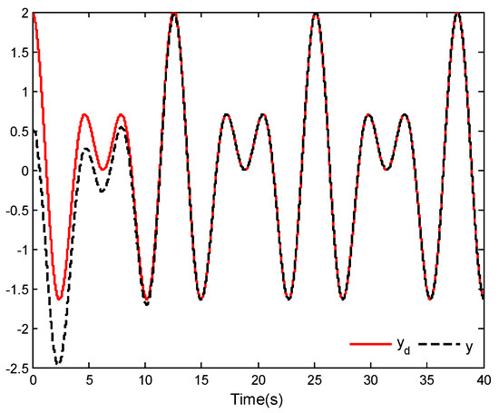
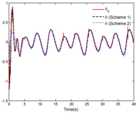
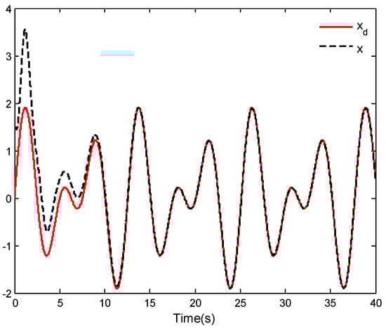
4. Simulation Analysis
5. Conclusions
Author Contributions
Funding
Data Availability Statement
Conflicts of Interest
Appendix A
References
- He, W.; Meng, T.; He, X.; Sun, C. Iterative learning control for a flapping wing micro aerial vehicle under distributed disturbances. IEEE Trans. Cybern. 2019, 49, 1524–1535. [Google Scholar] [CrossRef]
- He, W.; Yan, Z.; Sun, C.; Chen, Y. Adaptive neural network control of a flapping wing micro aerial vehicle with disturbance observer. IEEE Trans. Cybern. 2017, 47, 3452–3465. [Google Scholar] [CrossRef]
- Song, K.; Yeo, H. Development of optimal scheduling strategy and approach control model of multicopter VTOL aircraft for urban air mobility (UAM) operation. Transp. Res. Part C Emerg. Technol. 2021, 128, 103181. [Google Scholar] [CrossRef]
- Al-Rubaye, S.; Tsourdos, A.; Namuduri, K. Advanced air mobility operation and infrastructure for sustainable connected evtol vehicle. Drones 2023, 7, 319. [Google Scholar] [CrossRef]
- Olfati-Saber, R. Global configuration stabilization for the VTOL aircraft with strong input coupling. IEEE Trans. Autom. Control. 2002, 47, 1949–1952. [Google Scholar] [CrossRef]
- Chadli, M.; Aouaouda, S.; Karimic, H.R.; Shi, P. Robust fault tolerant tracking controller design for a VTOL aircraft. J. Frankl. Inst. 2013, 350, 2627–2645. [Google Scholar] [CrossRef]
- Chwa, D. Fuzzy Adaptive output feedback tracking control of VTOL aircraft with uncertain input coupling and input-dependent disturbances. IEEE Trans. Fuzzy Syst. 2015, 23, 1505–1518. [Google Scholar] [CrossRef]
- Wang, X.; Liu, J.; Cai, K. Tracking control for a velocity-sensorless VTOL aircraft with delayed outputs. Automatica 2009, 45, 2876–2882. [Google Scholar] [CrossRef]
- Su, S.; Lin, Y. Output tracking control for a velocity-sensorless VTOL aircraft with measurement delays. Int. J. Syst. Sci. 2015, 46, 885–895. [Google Scholar] [CrossRef]
- Emami, A.; Rezaeizadeh, A. Adaptive model predictive control-based attitude and trajectory tracking of a VTOL aircraft. IET Control. Theory Appl. 2018, 12, 2031–2042. [Google Scholar] [CrossRef]
- Bauersfeld, L.; Spannagl, L.; Ducard, G.; Onder, C.H. MPC flight control for a tilt-rotor VTOL aircraft. IEEE Trans. Aerosp. Electron. Syst. 2021, 57, 2395–2409. [Google Scholar] [CrossRef]
- Gruszka, A.; Malisoff, M.; Mazenc, F. Tracking control and robustness analysis for PVTOL aircraft under bounded feedbacks. Int. J. Robust Nonlinear Control. 2012, 22, 1899–1920. [Google Scholar] [CrossRef]
- Zheng, X.; Yang, X. Improved adaptive NN backstepping control design for a perturbed PVTOL aircraft. Neurocomputing 2020, 410, 51–60. [Google Scholar] [CrossRef]
- Yao, Q. Robust constrained trajectory tracking control for a PVTOL aircraft subject to external disturbances. Int. J. Syst. Sci. 2021, 52, 2617–2629. [Google Scholar] [CrossRef]
- Irmawan, E.; Harjoko, A.; Dharmawan, A. Model, control, and realistic visual 3D simulation of VTOL fixed-wing transition flight considering ground effect. Drones 2023, 7, 330. [Google Scholar] [CrossRef]
- Peciak, M.; Skarka, W.; Mateja, K.; Gude, M. Impact analysis of solar cells on vertical take-off and landing (VTOL) fixed-wing UAV. Aerospace 2023, 10, 247. [Google Scholar] [CrossRef]
- Quan, Q.; Fu, R.; Li, M.; Wei, D.; Gao, Y.; Cai, K. Practical distributed control for VTOL UAVs to pass a virtual tube. IEEE Trans. Intell. Veh. 2022, 7, 342–353. [Google Scholar] [CrossRef]
- Zou, Y.; Zhang, H.; He, W. Adaptive coordinated formation control of heterogeneous vertical takeoff and landing UAVs subject to parametric uncertainties. IEEE Trans. Cybern. 2022, 52, 3184–3195. [Google Scholar] [CrossRef]
- Wang, Z.; Mao, S.; Gong, Z.; Zhang, C.; He, J. Energy efficiency enhanced landing strategy for manned evtols using L1 adaptive control. Symmetry 2021, 13, 2125. [Google Scholar] [CrossRef]
- Liu, H.; Li, Z.; Miao, G.; Yang, J.; Wu, X. Insight into the chemical reaction process of coal during the spontaneous combustion latency. Energy 2023, 263, 125823. [Google Scholar] [CrossRef]
- Du, H.; Li, S.; Qian, C. Finite-time attitude tracking control of spacecraft with application to attitude synchronization. IEEE Trans. Autom. Control. 2011, 56, 2711–2717. [Google Scholar] [CrossRef]
- Wang, X.; Li, H.; Zong, G.; Zhao, X. Adaptive fuzzy tracking control for a class of high-order switched uncertain nonlinear systems. J. Frankl. Inst. 2017, 354, 6567–6587. [Google Scholar] [CrossRef]
- Khan, W.; Lin, Y.; Khan, S.U.; Ullah, N. Quantized adaptive decentralized control for interconnected nonlinear systems with actuator faults. Appl. Math. Comput. 2018, 320, 175–189. [Google Scholar] [CrossRef]
- Shojaei, F.; Arefi, M.M.; Khayatian, A.; Karimi, H.R. Observer-based fuzzy adaptive dynamic surface control of uncertain nonstrict feedback systems with unknown control direction and unknown dead-zone. IEEE Trans. Syst. Man Cybern. Syst. 2019, 49, 2340–2351. [Google Scholar] [CrossRef]
- Yang, W.; Cui, G.; Ma, Q.; Ma, J.; Guo, S. Finite-time adaptive optimal tracking control for a QUAV. Nonlinear Dyn. 2023, 111, 10063–10076. [Google Scholar] [CrossRef]
- Liu, R.; Xing, L.; Deng, H.; Zhong, W. Finite-time adaptive fuzzy control for unmodeled dynamical systems with actuator faults. Mathematics 2023, 11, 2193. [Google Scholar] [CrossRef]
- Li, H.; Hua, C.; Li, K.; Li, Q. Finite-Time control of high-order nonlinear random systems using state triggering signals. IEEE Trans. Circuits Syst. I Regul. Pap. 2023, 70, 2587–2598. [Google Scholar] [CrossRef]
- Zhang, P.; Xue, H.; Gao, S.; Zuo, X.; Zhang, J. Finite-time adaptive cooperative fault-tolerant control for multi-agent system with hybrid actuator faults. IEEE Syst. J. 2022, 16, 3590–3601. [Google Scholar] [CrossRef]
- Dong, G.; Li, H.; Ma, H.; Lu, R. Finite-time consensus tracking neural network FTC of multi-agent systems. IEEE Trans. Neural Netw. Learn. Syst. 2021, 32, 653–662. [Google Scholar] [CrossRef]
- Kamalamiri, A.; Shahrokhi, M.; Mohit, M. Adaptive finite-time neural control of non-strict feedback systems subject to output constraint, unknown control direction, and input nonlinearities. Inf. Sci. 2020, 520, 271–291. [Google Scholar] [CrossRef]
- Yu, J.; Shi, P.; Chen, X. Finite-time command filtered adaptive control for nonlinear systems via immersion and invariance. Sci. China 2021, 64, 151–164. [Google Scholar] [CrossRef]
- Wang, K.; Liu, X.; Jing, Y. Adaptive finite-time command filtered controller design for nonlinear systems with output constraints and input nonlinearities. IEEE Trans. Neural Netw. Learn. Syst. 2022, 33, 6893–6904. [Google Scholar] [CrossRef] [PubMed]
- Sheng, N.; Ai, Z.; Tang, J. Fuzzy adaptive command filtered backstepping fault-tolerant control for a class of nonlinear systems with actuator fault. J. Frankl. Inst. 2021, 358, 6526–6544. [Google Scholar] [CrossRef]
- Yu, J.; Shi, P.; Zhao, L. Finite-time command filtered backstepping control for a class of nonlinear systems. Automatica 2018, 92, 173–180. [Google Scholar] [CrossRef]
- Silaa, M.Y.; Derbeli, M.; Barambones, O.; Cheknane, A. Design and implementation of high order sliding mode control for PEMFC power system. Energies 2020, 13, 4317. [Google Scholar] [CrossRef]
- Zhang, H.; Zhao, X.; Wang, H.; Zong, G.; Xu, N. Hierarchical sliding-mode surface-based adaptive actor-critic optimal control for switched nonlinear systems with unknown perturbation. IEEE Trans. Neural Netw. Learn. Syst. 2022. [Google Scholar] [CrossRef]
- Wang, T.; Wang, H.; Xu, N.; Zhang, L.; Alharbi, K.H. Sliding-mode surface-based decentralized event-triggered control of partially unknown interconnected nonlinear systems via reinforcement learning. Inf. Sci. 2023, 641, 119070. [Google Scholar] [CrossRef]
- Jiang, B.; Karimi, H.R.; Li, B. Adaptive sliding mode control of Markov jump systems with completely unknown mode information. Int. J. Robust Nonlinear Control. 2023, 33, 3749–3763. [Google Scholar] [CrossRef]
- Hong, M.; Gu, X.; Liu, L.; Guo, Y. Finite time extended state observer based nonsingular fast terminal sliding mode control of flexible-joint manipulators with unknown disturbance. J. Frankl. Inst. 2023, 360, 18–37. [Google Scholar] [CrossRef]
- Shen, G.; Xia, Y.; Cui, B.; Huang, P. Integral terminal sliding-mode-based singularity-free finite-time tracking control for entry vehicle with input saturation. Aerosp. Sci. Technol. 2023, 136, 108260. [Google Scholar] [CrossRef]
- Nian, X.; Zhou, W.; Li, S.; Wu, H. 2-D path following for fixed wing UAV using global fast terminal sliding mode control. ISA Trans. 2022, 136, 162–172. [Google Scholar] [CrossRef] [PubMed]
- Silaa, M.Y.; Derbeli, M.; Barambones, O.; Napole, C.; Cheknane, A.; De Durana, J.M.G. An efficient and robust current control for polymer electrolyte membrane fuel cell power system. Sustainability 2021, 13, 2360. [Google Scholar] [CrossRef]
- Deng, X.; Zhang, C.; Ge, Y. Adaptive neural network dynamic surface control of uncertain strict-feedback nonlinear systems with unknown control direction and unknown actuator fault. J. Frankl. Inst. 2022, 359, 4054–4073. [Google Scholar] [CrossRef]
- Wu, J.; Chen, X.; Zhao, Q.; Li, J.; Wu, Z. Adaptive neural dynamic surface control with prespecified tracking accuracy of uncertain stochastic nonstrict-feedback systems. IEEE Trans. Cybern. 2022, 52, 3408–3421. [Google Scholar] [CrossRef]
- Yu, X.; Man, Z. Fast terminal sliding-mode control design for nonlinear dynamical systems. IEEE Trans. Circuits Syst. I Fundam. Theory Appl. 2002, 49, 261–264. [Google Scholar]
- Luo, L.; Jian, J.; Zheng, S. Non-fragile state estimation for second-order memristive neural networks with unbounded time-varying delays. Int. J. Adapt. Control. Signal Process. 2022, 36, 88–103. [Google Scholar] [CrossRef]
- Liu, Y. Adaptive dynamic surface asymptotic tracking for a class of uncertain nonlinear systems. Int. J. Robust Nonlinear Control. 2018, 28, 1233–1245. [Google Scholar] [CrossRef]
- Ma, R.; Zhang, G. Sliding mode tracking control with differential evolution optimisation algorithm using integralchain differentiator in uncertain nonlinear systems. Int. J. Syst. Sci. 2018, 49, 1345–1352. [Google Scholar] [CrossRef]













Disclaimer/Publisher’s Note: The statements, opinions and data contained in all publications are solely those of the individual author(s) and contributor(s) and not of MDPI and/or the editor(s). MDPI and/or the editor(s) disclaim responsibility for any injury to people or property resulting from any ideas, methods, instructions or products referred to in the content. |
© 2023 by the authors. Licensee MDPI, Basel, Switzerland. This article is an open access article distributed under the terms and conditions of the Creative Commons Attribution (CC BY) license (https://creativecommons.org/licenses/by/4.0/).
Share and Cite
Deng, X.; Huang, Y.; Xu, B.; Tao, L. Position and Attitude Tracking Finite-Time Adaptive Control for a VTOL Aircraft Using Global Fast Terminal Sliding Mode Control. Mathematics 2023, 11, 2732. https://doi.org/10.3390/math11122732
Deng X, Huang Y, Xu B, Tao L. Position and Attitude Tracking Finite-Time Adaptive Control for a VTOL Aircraft Using Global Fast Terminal Sliding Mode Control. Mathematics. 2023; 11(12):2732. https://doi.org/10.3390/math11122732
Chicago/Turabian StyleDeng, Xiongfeng, Yiqing Huang, Binzi Xu, and Liang Tao. 2023. "Position and Attitude Tracking Finite-Time Adaptive Control for a VTOL Aircraft Using Global Fast Terminal Sliding Mode Control" Mathematics 11, no. 12: 2732. https://doi.org/10.3390/math11122732
APA StyleDeng, X., Huang, Y., Xu, B., & Tao, L. (2023). Position and Attitude Tracking Finite-Time Adaptive Control for a VTOL Aircraft Using Global Fast Terminal Sliding Mode Control. Mathematics, 11(12), 2732. https://doi.org/10.3390/math11122732

