Next Article in Journal
Short Memory-Based Human Strategy Modeling in Social Dilemmas
Previous Article in Journal
RDAF-IIoT: Reliable Device-Access Framework for the Industrial Internet of Things
 
 
Font Type:
Arial Georgia Verdana
Font Size:
Aa Aa Aa
Line Spacing:
Column Width:
Background:
Article

HAPC Model of Crowd Behavior during Crises

by
Marcello Pompa
1,2,*,
Antonio Cerasa
3,4,5,
Simona Panunzi
1,† and
Andrea De Gaetano
1,3,6,†
1
Institute of Systems Analysis and Informatics “A. Ruberti” (IASI)—National Research Council of Italy, Via dei Taurini 19, 00185 Rome, Italy
2
Università Cattolica del Sacro Cuore di Roma, Largo Francesco Vito 1, 00168 Rome, Italy
3
Institute for Biomedical Research and Innovation (IRIB), National Research Council of Italy (CNR), Via Ugo La Malfa 153, 90146 Palermo, Italy
4
S’Anna Institute, Via Siris 11, 88900 Crotone, Italy
5
Pharmacotechnology Documentation and Transfer Unit, Preclinical and Translational Pharmacology, Department of Pharmacy, Health Science and Nutrition, University of Calabria, Via Pietro Bucci, 87036 Rende, Italy
6
Department of Biomatics, Óbuda University, Bécsi út 96/B, 1034 Budapest, Hungary
*
Author to whom correspondence should be addressed.
These authors contributed equally to this work.
Mathematics 2023, 11(12), 2711; https://doi.org/10.3390/math11122711
Submission received: 8 May 2023 / Revised: 9 June 2023 / Accepted: 13 June 2023 / Published: 15 June 2023
(This article belongs to the Section E: Applied Mathematics)

Abstract

The dynamics of pedestrian crowds during exceptional tragic events are very complex depending on a series of human behaviors resulting from combinations of basic interaction principles and self-organization. The Alert–Panic–Control (APC) model is one of the mathematical models in the literature for representing such complicated processes, mainly focusing on psychologists’ points of view (i.e., emotion contagion). This work proposes a Hybrid APC (HAPC) model including new processes, such as the effect of resonance, the victims caused by people in state of panic, new interactions between populations based on imitation and emotional contagion phenomena and the ability to simulate multiple disaster situations. Results from simulated scenarios showed that in the first 5 min 54.45% of population move towards a state of alert, 13.82% enter the control state and 31.73% pass to the state of panic, highlighting that individuals respond to a terrible incident very quickly, right away after it occurs.
MSC:
91C99; 92D25

1. Introduction

Due to the significant human and financial costs associated with disasters or adverse events, their management remains a major concern. Hurricanes, floods, and earthquakes are some of the most calamitous events causing devastating economic, social, and psychological consequences in wide geographical areas. These exceptional events determine social and geographic spatial disarray of the territories as well as specific human behavioral disorganization. Indeed, during these events, the extremely high stress levels induce groups of people to adopt uncontrolled behaviors [1,2]. These collective human reactions are generally affected by a mixture of socio-psychological and physical forces, such as the nature of dangers, the population characteristics, and the disaster’s time of onset and geographic location [3,4]. Generally, before natural disasters actually take place, collective behavior can be molded by the ability to predict when a disaster will occur: the pre-planned, rational intervention of the authorities enables the population to better face the risk. Once the disaster strikes, however, the population responses are more instinctive and individualistic (e.g., freeze response or panic) [5]. The characteristics of the area where the disaster occurs typically set limits on human behavior and movement: indeed, the people’s responses are influenced by the crowd density and by the availability of open spaces or structures providing some degree of safety [6]. Concerning the time progression of the disaster, some Authors have added to the traditional unexpected alert also further more or less well-defined characteristic stages. For example, Henry W. Fischer suggests five phases: pre-impact, impact, post-impact, recovery, and reconstruction [7].
Regardless of their degree of modern sophistication, our communities are still not properly prepared for natural or anthropogenic catastrophes with their potential cascading impacts. In fact, both regulated and uncontrolled behavior in either individuals, small groups, or crowds have been noted throughout a number of disaster situations. Despite the already described social and physical features affecting collective human reactions during extreme events, these responses are also influenced by psychobiological dynamics, such as emotional contagion, facial mimicry, and mirror neurons, which ultimately determine the well-known panic situation [8].
Emotion contagion is a social process whereby a person partially adopts the feeling that is conveyed by other people [9]. Based on the embodiment of emotion theory [10], emotional contagion is thought to be a complex multilevel phenomenon, which can happen through different, non-exclusive pathways. Automatic mimicry is the foundation of the main type of emotional contagion. In this process, traits of another person, such as facial expressions, speech patterns, body posture, gestures, and gaze direction, are imitated reflexively. These impersonations frequently take place without the subject being aware of them [11].
Population training, which prepares people to modify their behavior in the face of catastrophic circumstances, is thus a vital tool for lowering human vulnerability to such events.
Several models at different micro-/macro-scales have been described in the literature for modeling crowd dynamics in these conditions [4,12,13,14]. However, most of these mathematical models only consider the panic reaction and ignore what is now well-known in the human sciences [5]: during a catastrophe, the population can exhibit other concurrent reactions in addition to panic, and any given person does not need to behave consistently throughout the duration of the event. These models thus fail to recognize that a person’s mental state, and thus their behavior, can change over time [15].
One of the most fruitful approaches used to simulate collective human behavior has been inspired by classical epidemic models such as the Susceptible–Infected–Recovered (SIR) model [16]. This is a compartmental model, in which a population is divided into separate compartments: the group S of individuals who are susceptible to the disease and may become infected; the group I of individuals who are infected and can therefore spread the disease to susceptible individuals; and group R, containing recovered individuals who have gained lifelong immunity after recovery and thus cannot contract the disease again (this last assumption, as well as assumptions about the number or type of the compartments, may all be relaxed). SIR models were first proposed by Kermack and McKendrick [17], and since then they have been the focus of numerous analyses and have appeared in several variations, including as extensions of the formalism for representing human behavior.
A recent model, proposed to predict and explain behavioral changes in crowds during calamities, is the Alert–Panic–Control (APC) model [18]. The temporal patterns of key behavioral responses during catastrophic events are described by this model. The wide range of behaviors that the affected population may exhibit after a disaster [19] are categorized by the APC model into three primary classes: alert, panic, and control responses. These classes are based on the severity of the emotional charge and the emotional regulation of this charge. The APC model focuses on a psychologist’s points of view (i.e., emotion contagion) and is an evolution of the previously proposed PCR (Panic–Control–Reflex) model [20,21]. Indeed, the PCR model was the first SIR-like model attempting to represent the dynamics of human collective behavior in a disaster scenario.
Based on the established PCR and APC models, the present work attempted to describe in more detail a population’s behavior during a catastrophe by introducing an enlarged model, the HAPC (hybrid APC) model, which represents an innovative formulation including some elements from the previously proposed models. The motivation for the introduction of a new model was the inclusion of some characteristics of the interactions among individuals that have hitherto not been considered:
  • Following Cristiani et al., 2010 [14], we considered non-locality in space and anisotropy. The inclusion of these factors made our models capable of explaining the differences observed in the self-organization and dynamical pattern formation of groups of agents due to different visual fields and sensing zones.
  • Verdière et al., 2022 [15] concentrated on the main types of psychological behavior in a crowd and the processes of switching from one behavior to another during a crisis: reflex behavior other than panic, panic, and controlled behavior. Following Hatfield 1994 [22], we assumed that imitation and emotional contagion processes underlie the interactions between the different subsets of a population.
  • We considered a multiple-disaster situation, describing the effect of a concatenation of multiple catastrophic events on population dynamics.
  • We also took account of the resonance effect, which connects people so that they present the same behavior in an action environment.
  • Finally, we considered the effect of panic on the mortality rate.
The next section describes in detail the HAPC model, highlighting the differences with the PCR and APC models.

2. Methods

2.1. Modeling

The model proposed in this work stemmed from the APC formulation, which considers, unlike the PCR model, a non-constant population during the catastrophe simulation by introducing death rates for the considered groups (alert, panic, and control). Furthermore, the HAPC model includes the following innovative features:
  • A function called “resonance” was included to represent the effect of resonance. In physics, resonance occurs when two or more elements in a physical environment have their actions synced via a spontaneous, unconscious vibrational transmission mechanism. Moving from the physical to the psychological level, the term resonance originated from the innate ability to unconsciously imitate the actions of other humans. Imitation is the result of synchronization between behaviors issued from two elements in the same environment. In other words, resonance is a mechanism for coordinating non-linearly connected people to express the same behavior in an ever-changing environment. The mirror neuron system is the main biological support for resonance between individuals, whatever the context (physical or social). Within natural social contexts, the actions of individuals imply interactions with other individuals using the mirror neuron system [23].
  • A death term was considered in Equation (4) depending on the catastrophe function γ ( t ) (Equation (6)), as a catastrophic event might lead to instantaneous victims.
  • A death term was added to the “alert” and “control” compartment depending on the number of people in the “panic” compartment.
  • Some relationships between categories were modified (subjects in the “panic” compartment could not pass to the “control” compartment without regressing first to “alert”, and subjects in “control” could not regress to “alert” except in the case of a multi-disaster situation).
  • A multi-disaster situation could be modeled in HAPC: this is particularly relevant when sequences of catastrophic events occur naturally, as in a series of seismic events during a major earthquake.
  • The rate of people in the “control” compartment who enter a post-catastrophe state depended on the γ ( t ) disaster function.
A block diagram of the model is shown in Figure 1.
This model represents the dynamics of a population before and after a disaster. The model is composed of 10 equations, of which 6 are ordinary differential equations and 4 are algebraic equations. The mathematical formulation is expressed in a dimensionless form; therefore, each compartment represents a fraction of the population. The equations of the model are reported below.
d a ( t ) d t = ( R ( t ) + γ ( t ) ) ( q ( t ) + b ( t ) + c ( t ) χ ( t t 2 ) ) + B 3 p ( t ) + ( B 1 + B 2 + D a ) a ( t ) F ( a ( t ) , c ( t ) ) a ( t ) c ( t ) G ( a ( t ) , p ( t ) ) a ( t ) p ( t ) + D p a p ( t ) a ( t ) , a ( 0 ) = 0
d p ( t ) d t = B 2 a ( t ) ( B 3 + D p ) p ( t ) + G ( a ( t ) , p ( t ) ) a ( t ) p ( t ) , p ( 0 ) = 0
d c ( t ) d t = B 1 a ( t ) + F ( a ( t ) , c ( t ) ) a ( t ) c ( t ) φ ( t ) c ( t ) D p c p ( t ) c ( t ) + D c c ( t ) ( R ( t ) + γ ( t ) ) c ( t ) χ ( t t 2 ) , c ( 0 ) = 0
d q ( t ) d t = ( R ( t ) + γ ( t ) ) q ( t ) k E q γ ( t ) q ( t ) + k q b b ( t ) , q ( 0 ) = 1
d b ( t ) d t = φ ( t ) c ( t ) ( R ( t ) + γ ( t ) ) b ( t ) k E q γ ( t ) b ( t ) k q b b ( t ) , b ( 0 ) = 0
d γ ( t ) d t = i = 1 N δ ( t t i ) γ i γ ( t ) k E γ , γ ( 0 ) = 0
F ( a ( t ) , c ( t ) ) = α η ( c ( t ) a ( t ) + ε ) , F ( a ( 0 ) , c ( 0 ) ) = 0
G ( a ( t ) , p ( t ) ) = β 1 η ( p ( t ) a ( t ) + ε ) + β 2 η ( a ( t ) p ( t ) + ε ) , G ( a ( 0 ) , p ( 0 ) ) = 0
R ( t ) = ( a ( t ) + p ( t ) ) γ ( t ) , R ( 0 ) = 0
φ ( t ) = m γ ( t ) + m , φ ( 0 ) = 1
where:
  • a ( t ) represents the fraction of people in the alert state.
  • p ( t ) represents the fraction of people in the panic state.
  • c ( t ) represents the fraction of people in the control state.
  • q ( t ) represents the population before the occurrence of the disaster.
  • b ( t ) represents the fraction of people after the disaster who have been affected by the disaster and whose mental status differs from that of the people in q ( t ) .
  • γ ( t ) (1/min) is the disaster function γ , representing the effects of a catastrophe (earthquake, terrorist attack, tsunami, etc.) in terms of the rate of transfer from the state “Before the disaster” to the alert state. The γ ( t ) function varies over time: it assumes its maximum value at the beginning of the event when the catastrophic impact is at its peak and decreases when the effect of the disaster fades.
  • η = s 2 1 + s 2 is the functional form employed for the imitation functions F ( a ( t ) , c ( t ) ) and G ( a ( t ) , p ( t ) ) , with s being the argument of the η function appearing in the F ( a ( t ) , c ( t ) ) and G ( a ( t ) , p ( t ) ) equations (Equations (7) and (8)).
  • F ( a ( t ) , c ( t ) ) represents the imitation function between people in the alert state and people in the controlled state, that is, the ability of people in the alert state to mimic the behavior of people in the ‘controlled’ compartment. The larger the ‘controlled’ group, the faster the individuals in a state of panic move towards the controlled state.
  • G ( a ( t ) , p ( t ) ) represents the imitation function between people in alert and people in panic, with both groups tending to resemble the behavior of the largest group.
  • R ( t ) is the resonance effect, i.e., the function that induces people in alert and panic states to influence individuals in the “before the disaster” compartment, making them transition rapidly to a state of alert.
  • φ ( t ) (1/min) is the rate (varying over time) according to which people in the control state move towards the “after the disaster” compartment. It is assumed to be a decreasing function of γ ( t ) ; therefore, it increases over time as the effect of the catastrophic event is reduced.
The death caused by the disaster is considered in following forms:
  • In Equations (4) and (5), it is represented with the term γ ( t ) k E q q ( t ) , corresponding to the portion of people who quickly die at the start of the catastrophe.
  • In Equations (1)–(3), it is represented by the constant rates D a , D p , and D c , respectively.
  • In Equations (1) and (3), it is represented by the terms D p a a ( t ) p ( t ) and D p c c ( t ) p ( t ) , respectively, corresponding to the portion of people who die because of the presence of those in the panic compartment (e.g., people who are trampled).
People reaching the state of control are assumed to not regress any more to the alert or panic states, except in the case of multi-disaster events: at the start of the second catastrophe, people in c ( t ) no longer move to the safe state, instead coming back to the alert state.
The imitation functions F ( a ( t ) , c ( t ) ) and G ( a ( t ) , p ( t ) ) allow people in greater numbers to be followed by people in the minority: the greater the difference in size between the two groups, the faster the transition between the two states.
All model parameters are reported in Table 1.

2.2. Qualitative Analysis

The following subsection explores the theoretical aspects of the model, investigating the existence of the solutions, their positivity, and their boundedness.

Positivity of the Model Solutions and Model Persistence

Theorem 1.
The system (1)–(6) admits positive solutions for any positive initial condition.
Proof. 
Let us start by proving that the function γ ( t ) is non-negative for any non-negative initial condition γ ( 0 ) 0 . According to the continuity of the solution of a differential equation, γ ( t ) would become non-positive if there existed t * > 0 such that γ ( t * ) = 0 , γ ( t ) > 0 for any 0 t < t * , and d γ ( t ) d t | t = t * < 0 . This cannot be the case, because under these hypotheses:
d γ ( t ) d t | t = t * = i = 1 N δ ( t t i ) γ i > 0 for γ i > 0 and at least one t i in [ 0 , t * ] .
In the case γ i = 0 t i , γ ( t ) would always be 0 t . This proves that γ ( t ) 0 (it never becomes negative). Furthermore, if γ ( 0 ) = 0 ( t i > 0 ), d γ ( t ) d t | t = 0 = 0 , which implies that γ ( t ) in 0 is a non-decreasing function.
Similarly, it can be proven that a ( t ) is non-negative for any a ( 0 ) 0 . In fact, if a ( t ) became negative for some t, there would exist t * > 0 such that a ( t * ) = 0 , a ( t ) > 0 for any 0 t < t * , and d a ( t ) d t | t = t * < 0 . However, this cannot be verified, because under these hypotheses:
d a ( t ) d t | t = t * = γ ( t * ) ( q ( t * ) + b ( t * ) + c ( t * ) ) + B 3 p ( t * ) > 0
since q ( t ) , b ( t ) , p ( t ) , and c ( t ) are positive. In fact, if p ( t ) < 0 , there would exist t 0 < t * , such that p ( t 0 ) = 0 and d p ( t ) d t | t = t 0 < 0 . This cannot be the case, because:
d p ( t ) d t | t = t 0 = B 2 a ( t 0 ) > 0 since a ( t ) > 0 for any 0 t < t * , which implies a ( t 0 ) > 0 .
In the same way, it can be proved that c ( t ) , b ( t ) , and q ( t ) are positive t in [ 0 , t * ) . In fact, if c ( t ) < 0 , b ( t ) < 0 , and q ( t ) < 0 , then t 0 < t * such that c ( t ) 0 = 0 , b ( t 0 ) = 0 , q ( t 0 ) = 0 ; d c ( t ) d t | t = t 0 < 0 , d b ( t ) d t | t = t 0 < 0 ; and d q ( t ) d t | t = t 0 < 0 . This cannot be the case, because:
(i)
d c ( t ) d t | t = t 0 = B 1 a ( t 0 ) > 0
(ii)
d b ( t ) d t | t = t 0 = φ ( t 0 ) c ( t 0 ) > 0
(iii)
d q ( t ) d t | t = t 0 = k q b b ( t 0 ) > 0
since, as above, a ( t 0 ) > 0 for any 0 t < t * , which proves (i) and therefore c ( t ) > 0 t in ( t 0 , t * ) . This implies (ii) ( φ ( t ) being always positive), so that b ( t ) > 0 t in ( t 0 , t * ) , which implies (iii), so that q ( t ) > 0 t in ( t 0 , t * ) .
Given a ( t ) 0 t and applying the same reasoning, it is straightforward to show that p ( t ) , c ( t ) , b ( t ) , and q ( t ) are always positive. □
Theorem 2.
The system of Equations (1)–(6) is bounded from above.
Proof. 
According to the definition b ( t ) q ( t 0 ) = Q M = B M , b ( t ) represents the fraction of the population after the disaster, which cannot be greater than q ( t 0 ) (the population at the beginning of the catastrophe, expressed as a proportion, q ( t 0 ) = 1 ). Notice that all model parameters are positive. In the following, we prove that q ( t ) is bounded t .
We begin by proving that the function γ ( t ) is bounded.
Let γ m < γ M < + , where:
  • γ m = lim inf t + γ ( t )
  • γ M = lim sup t + γ ( t )
In order to show that γ ( t ) is bounded from above, assume that γ M = + . Under this hypothesis, we can define a sequence of time points { t n } such that:
  • t n + as n + ;
  • γ ( t n ) + as n + ;
  • d γ ( t ) d t | t = t n > 0 t n .
If we consider Equation (6) at each of these time points t n , we find that:
d γ ( t ) d t | t = t n = i = 1 N δ ( t n t i ) γ i k E γ γ ( t n ) ,
which is a contradiction; therefore, γ M < + .
From the previous result, it follows that:
lim inf t + γ ( t ) = γ m < γ M < +
This means that we can define a sequence of time points { t n } such that:
  • t n + as n + ;
  • γ ( t n ) γ m as n + ;
  • lim n + d γ ( t ) d t | t = t n = 0 t n .
That is,
0 = lim inf n + i = 1 N δ ( t n t i ) γ i k E γ γ ( t n ) i = 1 N δ ( t n t i ) γ i k E γ γ m ,
0 i = 1 N δ ( t n t i ) γ i k E γ γ m k E γ γ m i = 1 N δ ( t n t i ) γ i ,
and
γ m i = 1 N δ ( t n t i ) γ i k E γ
Since k E γ is a positive parameter and i = 1 N δ ( t n t i ) γ i is a non-negative number, since γ ( t ) is also always non-negative, it follows that:
0 γ m i = 1 N δ ( t t i ) γ i k E γ
proving that γ ( t ) is bounded.
Now, with the aim of showing the boundedness of the state variable q ( t ) , and following the same reasoning as before, let us assume that Q M = + . Since q ( t ) is differentiable and Q M = lim sup t + q ( t ) , we can define a sequence { t n } such that:
  • t n + as n + ;
  • q ( t n ) + as n + ;
  • d q ( t ) d t | t = t n > 0 t n .
From Equation (4), we find that:
  • d q ( t ) d t | t = t n = ( R ( t n ) + γ ( t n ) ) q ( t n ) k E q γ ( t n ) q ( t n ) + k q b b ( t n )
  • ( R m + γ m ) q ( t n ) k E q γ m q ( t n ) + k q b B M
whatever the R m , since we know that it must be a positive number due to the positiveness of the system solutions (Theorem 1). The above inequality is a contradiction, so Q M < + .
By definition, the state variables a ( t ) , p ( t ) , and c ( t ) are a proportion of q ( 0 ) . Having proved that q ( t ) is bounded and that the system is positive, a ( t ) , p ( t ) , and c ( t ) admit an inferior and superior bound.
In the following, we aim to prove that q ( t ) is always bounded above by q ( 0 ) .
From the system (1)–(10), it is evident that the equilibrium point for the system (in the absence of disaster events, i.e., γ ( t ) = 0 ) is [ a e , p e , c e , q e , b e , γ e ] = [ 0 , 0 , 0 , q e , 0 , 0 ] for any q e > 0 . This means that the initial point [ 0 , 0 , 0 , q ( 0 ) , 0 , 0 ] is an equilibrium point.
We intend to prove that q ( t ) is bounded above by its equilibrium point q e , q e > 0 , t > 0 . According to the continuity of the solution of a differential equation, q ( t ) would become greater than q e if there existed a t * > 0 such that q ( t * ) = q e , q ( t ) < q e for any 0 < t < t * and d q ( t ) d t | t = t * > 0 . However, this cannot be the case, because:
d q ( t ) d t | t = t * = ( R ( t * ) + γ ( t * ) ) q ( t * ) k E q γ ( t * ) q ( t * ) + k q b b ( t * ) = 0
since in t * q ( t * ) = q e , the system is at an equilibrium point where all the other state variables are zero ( [ 0 , 0 , 0 , q e , 0 , 0 ] ). Therefore, the previous equation leads to a contradiction.
As a consequence of Theorems 1 and 2, the system (1)–(10) admits positive (or non-negative) bounded solutions for any non-negative initial condition. □

2.3. Simulation

The mathematical model was implemented in Matlab on an 8-core CPU (i7-10750H CPU @ 2.60 GHz). The numerical integration for the model solution computation was performed by applying the 4th order Runge–Kutta method.
Two scenarios were simulated in order to demonstrate the main characteristics of the model. The first scenario showed the behavior of a population after the occurrence of a single disaster. The second scenario showed the distribution of a population between the different states after the occurrence of a series of consecutive disasters. The model was not validated with observed data; therefore, all the model parameters were calibrated to have alert, panic, and control dynamics in accordance with the following hypotheses:
  • The population in the“before the disaster” compartment quickly moves towards the “alert” and “panic” compartments;
  • At the beginning of the simulation, the population in the “alert” compartment slowly moves towards the “control” compartment; the transfer rate increases over time due to the imitation function.

2.4. Sensitivity Analysis

As there were no data available, the model was not subjected to a fitting procedure. However, a sensitivity analysis was performed to identify the most sensitive parameters and how these modified the trend of the alert, control, and panic variables.
The sensitivity analysis was performed by varying 16 parameters, excluding γ i and t i , with 1000 simulations carried out for the variation of each. Each parameter was individually changed by increasing it by 30% of the baseline value reported in Table 1. The results of the sensitivity analysis are shown in figures, which report the forecasts of alert, panic, and control variables over time, showing the 90% coverage envelope of the forecasts obtained from the sensitivity analysis.
A further analysis was performed with an additional series of 1000 simulations in which all 16 parameters were varied simultaneously.

3. Results

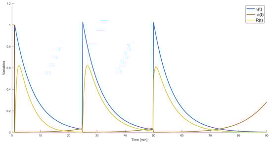
Figure 2 and Figure 3 show the behavior of a population after a single disaster: the q ( t ) compartment quickly emptied to fill the a ( t ) compartment, from which people moved towards the control and panic states.
The variable c ( t ) reached its maximum slowly, since people at the beginning of the catastrophe moved quickly towards the other two states ( a ( t ) and p ( t ) ). Finally, when the disaster function γ ( t ) reached the 0 value, ϕ ( t ) increased, allowing people in c ( t ) to pass into the safe state b ( t ) .
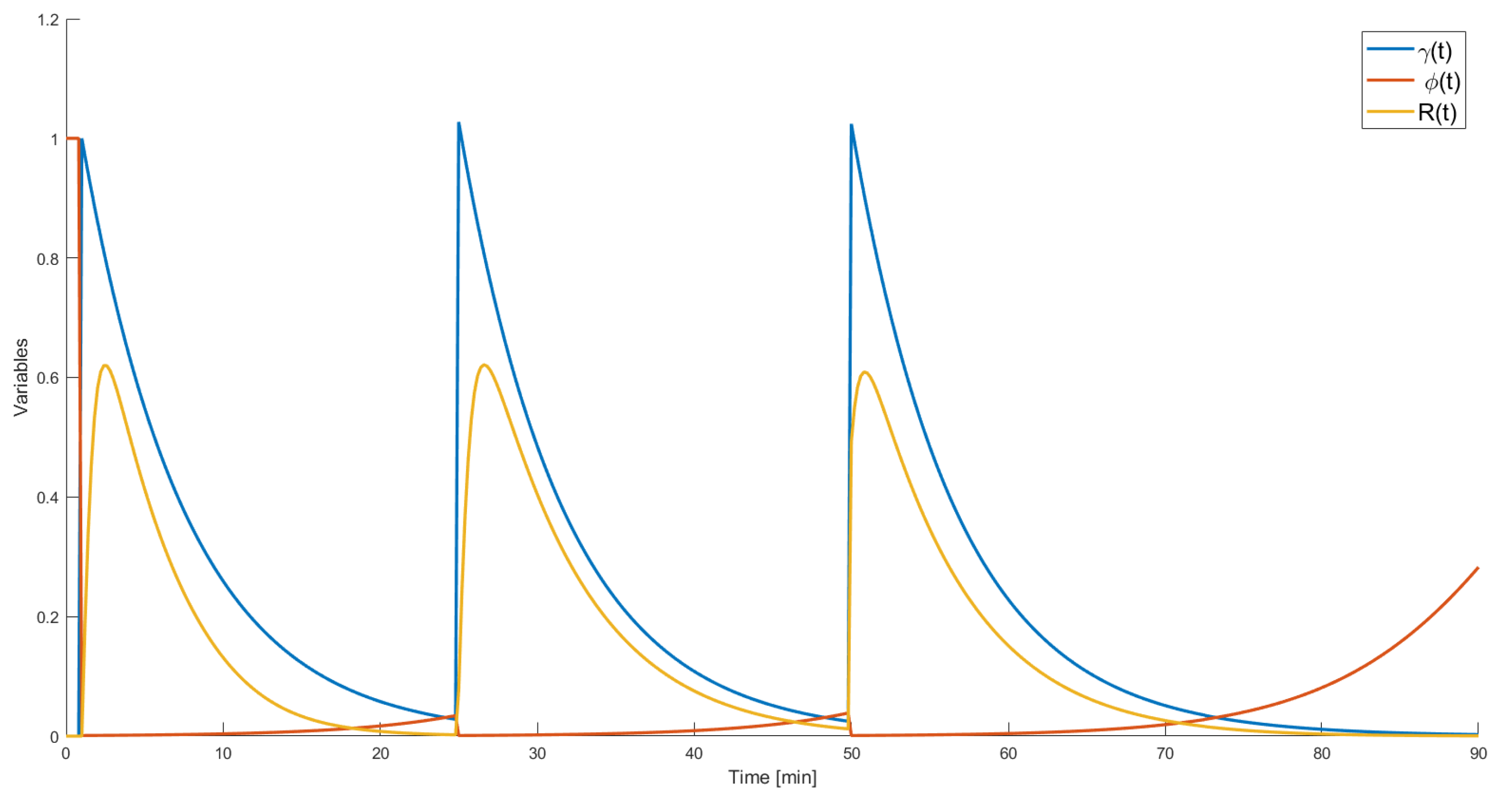
Figure 4 and Figure 5 show the behavior of a population after three disaster events occurring in series: initially, people moved from one state to another as in the case of only one catastrophe; however, when the second disaster occurred, c ( t ) quickly regressed to a ( t ) , along with the fraction of “saved” people in b ( t ) .
The dynamics of the state variables, after the occurrence of subsequent disasters, resembled those observed at the beginning of the simulation.
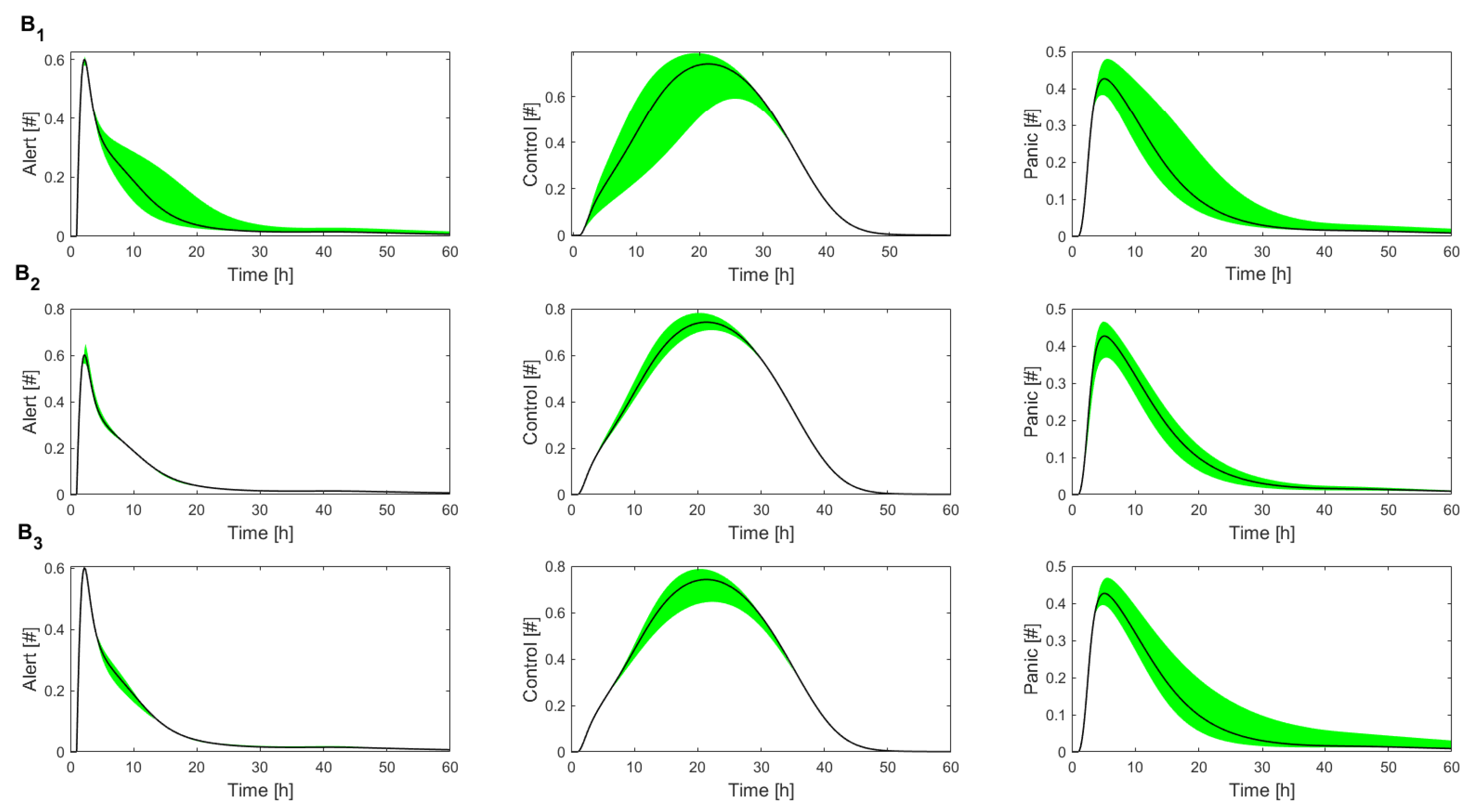
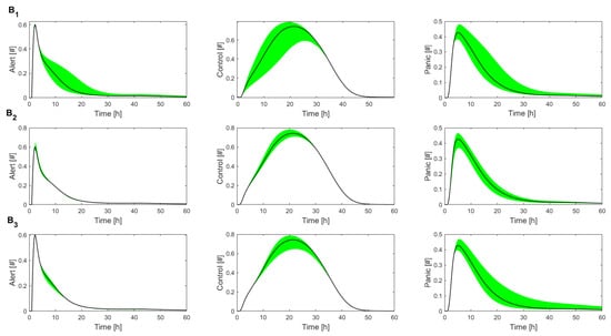
Figure 6, Figure 7 and Figure 8 show the results from the sensitivity analysis, wherein each model parameter was varied by 30% of its original value. Each figure shows, for each varied parameter, the trend over time of the variables a ( t ) , c ( t ) , and p ( t ) . The shaded areas represent 90% of the simulated time course. The figures report the behaviors of the state variables obtained by individually varying only eight parameters ( B 1 , B 2 , B 3 , α , β 2 , ϵ , m, and k e g ), which were found to be the parameters to which the model was most sensitive.
Figure 9 shows the results obtained when all the parameters were allowed to vary simultaneously.

4. Discussion

The aim of the present work was to build a new compartmental model for forecasting the behavior of a population subjected to a single catastrophe or to consecutive repeated catastrophic events. The model was composed of a system of six ordinary differential equations (ODEs) and four algebraic equations, with a total of 16 free parameters. The proposed HAPC model attempted to incorporate the most relevant aspects from previous models, specifically those already taken into account by the APC and PCR models [18]; to modify and update some relationships between the model compartments; and to include the representation of processes that have not been considered yet, such as the effect of resonance, the victims harmed by people in a state of panic, and the possibility of simulating multiple-disaster situations.
Figure 2 and Figure 3 show the behavior of the model variables after the occurrence of a single disaster. In the first 5 min of the simulation, 54.45% of the population moved towards a state of alert, 13.82% entered the control state, and 31.73% passed to the state of panic. These values were obtained by integrating a ( t ) , c ( t ) , and p ( t ) between 0 and 5 min and by dividing each quantity by the sum of the three integrals. While no data were available to conduct a formal parameter estimation procedure, a limited validation of the model could be represented by the fact that the predicted percentages of individuals in the three states were in accordance with the report of Robinson [24]. The variability shown in Figure 6, Figure 7, Figure 8 and Figure 9, resulting from the sensitivity analysis, highlights that with the subsequent changes these percentages were still in a plausible range. Figure 6, Figure 7 and Figure 8 show the model behavior when each parameter was varied one at the time, while Figure 9 reports the simulated time courses when all the considered parameters where varied simultaneously. Most of the variability in the alert model behavior was noticeable after the first 5 min of the simulation, since at the start of the disaster most individuals passed from the “before the disaster” compartment to the “alert” and “panic” compartments. This was due to the fact that people react to a catastrophic event very early, immediately after its occurrence. In Figure 6, the variation in parameters B 1 B 2 , and B 3 affected all three variables considered, highlighting the importance of constant transport rates throughout the entire simulation period (the variability, expressed by the green shading, enveloped the baseline from the start to the end of the simulations). The forecasts were, however, less sensitive to parameters α β 2 , and ϵ in Figure 7, showing an appreciable variability only at the middle and end of the simulation. This was reasonable, because these parameters appeared in the equations that represented the imitation of states, and their effect increases only when the “alert” and/or “panic” variables increase. In Figure 8, the parameters m and k E γ had a stronger effect on the "control" variable, since the emptying function ϕ , allowing those in the “control” compartment to move to the “after the disaster” compartment, directly depended on the γ function, which is a function of these two parameters.
Figure 4 and Figure 5 show the behavior of the model variables when three consecutive disasters occurred. Between the end of the first catastrophe and the beginning of the second event, people in a state of control regressed to a state of alert, being thereafter subjected to a new disaster. An example of a series of catastrophic events could be a bombarded war theater, wherein people, even after reaching the state of “control”, are continually subjected to new series of events, which cause them to regress back to a state of “alert”. Another example is that of earthquake “swarms”. In the proposed model, a repeated disaster was the only possible case in which people in the control state could regress to an alert state, in contrast to what can be predicted with Equation (1) of the APC model [18], where people in a disaster can move from y ( t ) (control) to x ( t ) (reflex, i.e., alert) and z ( t ) (panic). This is a very important difference, since if a subject can regress from a “control” state to another state without a valid stimulus (as in the APC model), it may also be supposed that a person who finds the “exit” from a catastrophic situation can change their state, for example, to “panic”, and suddenly lose “the way out”. This in fact does not normally happen, as subjects who achieve the “control” state typically find their way to safety [1,2,3,4].
While the qualitative conclusions that could be drawn from the simulations were wholly plausible, and while a limited validation could be attributed to the quantitative concordance with literature results [24], the main limitation of the present study was clearly the lack of real-life data against which to validate the proposed model. Still, even with this caveat in mind, the exercise of mathematically modeling such rare events based upon realistic hypotheses can be of concrete help to decision makers when preventive measures are contemplated to mitigate the likely impact of disasters in a given theater. In this sense, the present model, which is certainly not definitive, furthers our understanding, formal representation, and ability to computationally simulate dangerous situations, which would otherwise be addressed only by subjective judgment, however expert.

5. Conclusions

The sensitivity analysis and calibration procedure based on the results of [24] performed herein made it possible to determine the most impactful dynamics in a disaster situation, highlighting the importance of the type of concatenation of catastrophic events and how this impacts the mental states of the individuals involved. A future version of the model could include the effect of decisions taken by disaster managers, with the aim of providing different outputs according to different strategies of response.

Author Contributions

Conceptualization, A.D.G. and A.C.; methodology, M.P. and S.P.; software, M.P.; formal analysis, M.P., S.P. and A.D.G.; writing—original draft preparation, M.P., S.P. and A.C.; writing—review and editing, S.P., A.C. and A.D.G. All authors have read and agreed to the published version of the manuscript.

Funding

This research received no external funding.

Data Availability Statement

Not applicable.

Conflicts of Interest

The authors declare no conflict of interest.

Abbreviations

The following abbreviations are used in this manuscript:
APCAlert–Panic–Control
HAPCHybrid Alert–Panic–Control
PCRPanic–Control–Reflex

References

  1. Bunge, M. Emergence and the mind. Neuroscience 1977, 2, 501–509. [Google Scholar] [CrossRef] [PubMed]
  2. Dauphiné, A.; Provitolo, D. Risques et Catastrophes. Observer, Spatialiser, Comprendre, Gérer; Armand Colin: Paris, France, 2013; p. 412. [Google Scholar]
  3. Costello, D.E.; Virginia, B. The Psychology of Disaster; University of Denver: Denver, CO, USA, 1967; Volume 2, pp. 349–358. [Google Scholar]
  4. Helbing, D.; Farkas, I.; Vicsek, T. Simulating dynamical features of escape panic. Nature 2000, 407, 487–490. [Google Scholar] [CrossRef] [PubMed]
  5. Provitolo, D. Structural and dynamic complexities of risk and catastrophe systems: An approach by system dynamics modelling. In Proceedings of the European Simulation and Modelling Conference, Toulouse, France, 13–14 September 2006; pp. 430–434. [Google Scholar]
  6. Murray, J.D. Mathematical Biology: I. An Introduction; Number 3; Springer: New York, NY, USA, 2002. [Google Scholar]
  7. Webb, G.R. 21st Century Sociology; SAGE Publications, Inc.: New York, NY, USA, 2007. [Google Scholar] [CrossRef]
  8. Bellomo, N.; Dogbe, C. On the Modeling of Traffic and Crowds: A Survey of Models, Speculations, and Perspectives. SIAM Rev. 2011, 53, 409–463. [Google Scholar] [CrossRef]
  9. Van Kleef, G.A.; Heerdink, M.W.; Homan, A.C. Emotional influence in groups: The dynamic nexus of affect, cognition, and behavior. Curr. Opin. Psychol. 2017, 17, 156–161. [Google Scholar] [CrossRef] [PubMed]
  10. Niedenthal, P.M. Embodying Emotion. Science 2007, 316, 1002–1005. [Google Scholar] [CrossRef] [PubMed]
  11. Van Haeringen, E.S.; Gerritsen, C.; Hindriks, K.V. Emotion contagion in agent-based simulations of crowds: A systematic review. Auton. Agents Multi-Agent Syst. 2022, 37, 6. [Google Scholar] [CrossRef]
  12. Maury, B.; Venel, J. A mathematical framework for a crowd motion model. Comptes Rendus Math. 2008, 346, 1245–1250. [Google Scholar] [CrossRef]
  13. Pan, X.; Han, C.S.; Dauber, K.; Law, K.H. A multi-agent based framework for the simulation of human and social behaviors during emergency evacuations. AI Soc. 2007, 22, 113–132. [Google Scholar] [CrossRef]
  14. Cristiani, E.; Piccoli, B.; Tosin, A. Modeling self-organization in pedestrians and animal groups from macroscopic and microscopic viewpoints. In Mathematical Modeling of Collective Behavior in Socio-Economic and Life Sciences; Naldi, G., Pareschi, L., Toscani, G., Eds.; Birkhäuser Boston: Boston, MA, USA, 2010; pp. 337–364. [Google Scholar] [CrossRef]
  15. Mikiela, I.; Lanza, V.; Verdière, N.; Provitolo, D. Optimal strategies to control human behaviors during a catastrophic event. AIMS Math. 2022, 7, 18450–18466. [Google Scholar] [CrossRef]
  16. Hethcote, H.W. The Mathematics of Infectious Diseases. SIAM Rev. 2000, 42, 599–653. [Google Scholar] [CrossRef]
  17. Kermack, W.O.; McKendrick, A.G. A Contribution to the Mathematical Theory of Epidemics. Proc. R. Soc. London. Ser. A Contain. Pap. A Math. Phys. Character 1927, 115, 700–721. [Google Scholar]
  18. Verdière, N.; Lanza, V.; Charrier, R.; Provitolo, D.; Dubos-Paillard, E.; Bertelle, C.; Alaoui, A. Mathematical modeling of human behaviors during catastrophic events. In Proceedings of the 4th International Conference on Complex Systems and Applications (ICCSA2014), Guimaraes, Portugal, 30 June–3 July 2014; Volume 20, pp. 67–74. [Google Scholar]
  19. Provitolo, D.; Dubos Paillard, E.; Müller, J.P. Emergent Human Behaviour During a Disaster: Thematic Versus Complex Systems Approaches. In Proceedings of the EPNACS 2011 within ECCS’11 Emergent Properties in Natural and Artificial Complex Systems, Vienna, Austria, 15 September 2011. [Google Scholar]
  20. Cantin, G.; Verdiére, N.; Lanza, V.; Aziz-Alaoui, M.A.; Charrier, R.; Bertelle, C.; Provitolo, D.; Dubos-Paillard, E. Mathematical Modeling of Human Behaviors During Catastrophic Events: Stability and Bifurcations. Int. J. Bifurc. Chaos 2016, 26, 1630025. [Google Scholar] [CrossRef]
  21. Provitolo, D.; Dubos-Paillard, E.; Verdière, N.; Lanza, V.; Charrier, R.; Bertelle, C. Les comportements humains en situation de catastrophe: De l’observation à la modélisation conceptuelle et mathématique. Cybergeo 2015. [Google Scholar] [CrossRef]
  22. Hatfield, E.; Cacioppo, J.T.; Rapson, R.L. Emotional Contagion; Cambridge University Press: Cambridge, UK, 1994. [Google Scholar]
  23. Dinet, J.; Kitajima, M. The Concept of Resonance: From Physics to Cognitive Psychology. In Proceedings of the Twelfth International Conference on Advanced Cognitive Technologies and Applications COGNITIVE 2020, Nice, France, 25–29 October 2020. [Google Scholar]
  24. Robinson, S.J. When Disaster Strikes: Human Behaviour in Emergency Situations; Central Lancashire online Knowledge: Preston, UK, 2012. [Google Scholar]
Figure 1. Block diagram of the HAPC model. Blue lines represent movements of people according to constant transfer rates; red lines represent flows of people depending on a particular function or on a different model state variable; box in black represents the states of the subjects. The simulation starts with the catastrophe, moving the population from the “before the disaster” compartment to the “alert” compartment (following the red line). Once in the “alert” compartment, some of the subjects are transferred to the “control” compartment, and others move towards the “panic” compartment (red and blue lines). The population that reaches the “control” compartment fills the “after the disaster” compartment at a rate of φ ( t ) (following the red line). Only in the event of a multi-disaster situation do the subjects in the “control” compartment move back to the "alert" compartment; otherwise, they move into the “After the disaster” compartment. The population that reaches the “After the disaster” state slowly returns (after about one year, with the rate k q b ) to the "Before the disaster" compartment. In all the considered compartments, subjects die at a constant rate and/or as a function of the number of people in panic ( p ( t ) ), also depending on the disaster function ( γ ( t ) ).
Figure 1. Block diagram of the HAPC model. Blue lines represent movements of people according to constant transfer rates; red lines represent flows of people depending on a particular function or on a different model state variable; box in black represents the states of the subjects. The simulation starts with the catastrophe, moving the population from the “before the disaster” compartment to the “alert” compartment (following the red line). Once in the “alert” compartment, some of the subjects are transferred to the “control” compartment, and others move towards the “panic” compartment (red and blue lines). The population that reaches the “control” compartment fills the “after the disaster” compartment at a rate of φ ( t ) (following the red line). Only in the event of a multi-disaster situation do the subjects in the “control” compartment move back to the "alert" compartment; otherwise, they move into the “After the disaster” compartment. The population that reaches the “After the disaster” state slowly returns (after about one year, with the rate k q b ) to the "Before the disaster" compartment. In all the considered compartments, subjects die at a constant rate and/or as a function of the number of people in panic ( p ( t ) ), also depending on the disaster function ( γ ( t ) ).
Mathematics 11 02711 g001
Figure 2. Model simulation with the occurrence of a single catastrophic event. All the state variables are expressed as a fraction of the starting population.
Figure 2. Model simulation with the occurrence of a single catastrophic event. All the state variables are expressed as a fraction of the starting population.
Mathematics 11 02711 g002
Figure 3. Time course of the γ ( t ) (disaster), φ ( t ) (saving), and R ( t ) (resonance) functions after the occurrence of a single catastrophic event.
Figure 3. Time course of the γ ( t ) (disaster), φ ( t ) (saving), and R ( t ) (resonance) functions after the occurrence of a single catastrophic event.
Mathematics 11 02711 g003
Figure 4. Model simulation of the occurrence of three consecutive catastrophic events. All the state variables are expressed as fractions of the starting population.
Figure 4. Model simulation of the occurrence of three consecutive catastrophic events. All the state variables are expressed as fractions of the starting population.
Mathematics 11 02711 g004
Figure 5. Time course of the γ ( t ) (disaster), φ ( t ) (saving), and R ( t ) (resonance) functions after the occurrence of three consecutive catastrophic events.
Figure 5. Time course of the γ ( t ) (disaster), φ ( t ) (saving), and R ( t ) (resonance) functions after the occurrence of three consecutive catastrophic events.
Mathematics 11 02711 g005
Figure 6. Sensitivity analysis with a variation of 30% of the parameter initial values B 1 (on top), B 2 (in the middle) and B 3 (at the bottom). Black continuous lines represent the model predictions of alert, control and panic population fractions (pure number “#”) in correspondence of the baseline (unmodified, Table 1) parameter values; green shadow areas represent the 90% envelopes of the predictions obtained from 1000 simulations.
Figure 6. Sensitivity analysis with a variation of 30% of the parameter initial values B 1 (on top), B 2 (in the middle) and B 3 (at the bottom). Black continuous lines represent the model predictions of alert, control and panic population fractions (pure number “#”) in correspondence of the baseline (unmodified, Table 1) parameter values; green shadow areas represent the 90% envelopes of the predictions obtained from 1000 simulations.
Mathematics 11 02711 g006
Figure 7. Sensitivity analysis with a variation of 30% in the initial parameter values α (on top), β 2 (in the middle), and ϵ (at the bottom). Black continuous lines represent the model predictions of alert, control, and panic population fractions (pure number “#”) in correspondence with the original (unmodified, Table 1) parameter values; green shaded areas represent the 90% envelopes of the predictions obtained from 1000 simulations.
Figure 7. Sensitivity analysis with a variation of 30% in the initial parameter values α (on top), β 2 (in the middle), and ϵ (at the bottom). Black continuous lines represent the model predictions of alert, control, and panic population fractions (pure number “#”) in correspondence with the original (unmodified, Table 1) parameter values; green shaded areas represent the 90% envelopes of the predictions obtained from 1000 simulations.
Mathematics 11 02711 g007
Figure 8. Sensitivity analysis with a variation of 30% in the initial parameter values m (on top) and k E γ (at the bottom). Black continuous lines represent the model predictions of alert, control, and panic population fractions (pure number “#”) in correspondence with the original (unmodified, Table 1) parameter values; green shaded areas represent the 90% envelopes of the predictions obtained from 1000 simulations.
Figure 8. Sensitivity analysis with a variation of 30% in the initial parameter values m (on top) and k E γ (at the bottom). Black continuous lines represent the model predictions of alert, control, and panic population fractions (pure number “#”) in correspondence with the original (unmodified, Table 1) parameter values; green shaded areas represent the 90% envelopes of the predictions obtained from 1000 simulations.
Mathematics 11 02711 g008
Figure 9. Sensitivity analysis with a simultaneous 30% variation in all initial parameter values. Black continuous lines represent the model predictions of alert, control, and panic population fractions (pure number “#”) in correspondence with the original (unmodified, Table 1) parameter values; green shaded areas represent the 90% envelopes of the predictions obtained from 1000 simulations.
Figure 9. Sensitivity analysis with a simultaneous 30% variation in all initial parameter values. Black continuous lines represent the model predictions of alert, control, and panic population fractions (pure number “#”) in correspondence with the original (unmodified, Table 1) parameter values; green shaded areas represent the 90% envelopes of the predictions obtained from 1000 simulations.
Mathematics 11 02711 g009
Table 1. Model parameters.
Table 1. Model parameters.
ParameterUnitsMeaningValue
t 0 minStarting time for numerical integration0
t e n d minFinal time for numerical integration90
t Δ minTime integration step0.2
B 1 1/minTransfer rate from alert to control compartment0.12
B 2 1/minTransfer rate from alert to panic compartment0.2
B 3 1/minTransfer rate from panic to alert compartment0.2
k q b 1/minTransfer rate from “after the disaster” to “before the disaster” (return to normality) compartment1.903 × 10 6
D a 1/minMortality rate in the alert compartment0.004
D p 1/minMortality rate in the panic compartment0.006
D c 1/minMortality rate in the control compartment0.002
α 1/minParameter of the imitation function F ( a ( t ) , c ( t ) ) 0.6
β 1 1/minParameter of the imitation function G ( a ( t ) , p ( t ) ) 0.5
β 2 1/minParameter of the imitation function G ( a ( t ) , p ( t ) ) 1.8
γ 1 1/minMagnitude of disaster 11
γ 2 1/minMagnitude of disaster 21
γ 3 1/minMagnitude of disaster 31
ε #Parameter of the imitation functions0.2
m1/minParameter of the saving function0.001
k E γ 1/minRate of decrease in the disaster function0.15
k E q #Fraction of death in the “before the disaster” compartment proportional to the disaster function ( γ ( t ) )0.01
D p a 1/minRate of death in the “alert” compartment dependent on the “panic” state variable0.01
D p c 1/minRate of death in the “control” compartment dependent on the “panic” state variable0.001
t 1 minStart time of disaster 11
t 2 minStart time of disaster 225
t 3 minStart time of disaster 350
Disclaimer/Publisher’s Note: The statements, opinions and data contained in all publications are solely those of the individual author(s) and contributor(s) and not of MDPI and/or the editor(s). MDPI and/or the editor(s) disclaim responsibility for any injury to people or property resulting from any ideas, methods, instructions or products referred to in the content.

Share and Cite

MDPI and ACS Style

Pompa, M.; Cerasa, A.; Panunzi, S.; De Gaetano, A. HAPC Model of Crowd Behavior during Crises. Mathematics 2023, 11, 2711. https://doi.org/10.3390/math11122711

AMA Style

Pompa M, Cerasa A, Panunzi S, De Gaetano A. HAPC Model of Crowd Behavior during Crises. Mathematics. 2023; 11(12):2711. https://doi.org/10.3390/math11122711

Chicago/Turabian Style

Pompa, Marcello, Antonio Cerasa, Simona Panunzi, and Andrea De Gaetano. 2023. "HAPC Model of Crowd Behavior during Crises" Mathematics 11, no. 12: 2711. https://doi.org/10.3390/math11122711

APA Style

Pompa, M., Cerasa, A., Panunzi, S., & De Gaetano, A. (2023). HAPC Model of Crowd Behavior during Crises. Mathematics, 11(12), 2711. https://doi.org/10.3390/math11122711

Note that from the first issue of 2016, this journal uses article numbers instead of page numbers. See further details here.

Article Metrics

Back to TopTop