Experimental Research on the Settlement Feature of Two Ground Deformation Modes Induced by Tunnelling
Abstract
1. Introduction
2. Physical Model Test of Tunnel Excavation
2.1. Test Equipment
2.1.1. Model Strongbox
2.1.2. Model Tunnel and Excavation Simulation
2.1.3. Monitoring System
2.2. Soil for the Tests
2.3. Test Procedure and Conditions
2.3.1. Test Procedure
2.3.2. Test Conditions
3. Two Ground Deformation Modes
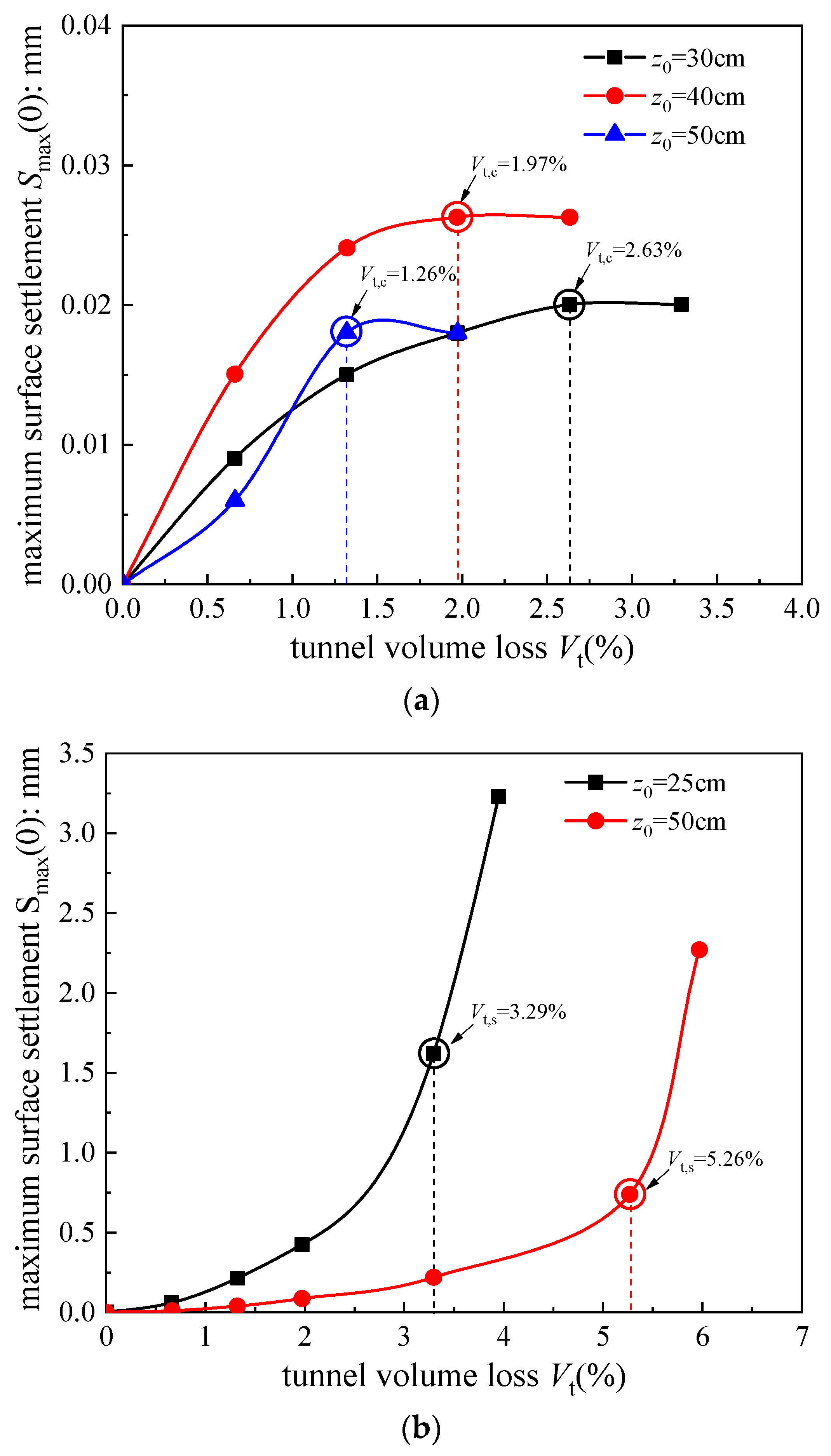
3.1. The Maximum Surface Settlement
3.2. Development Process of the Failure Surface
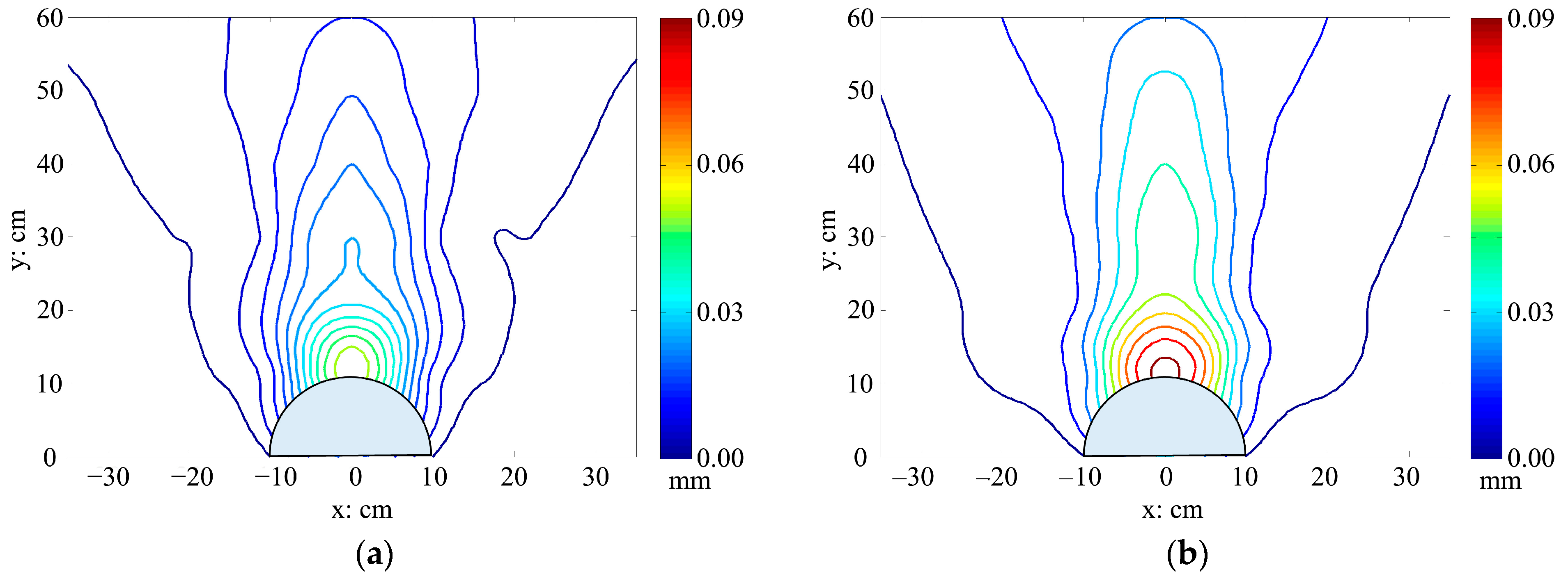
3.3. Ground Settlement Contours
3.4. Formation Mechanism of the Ground Deformation Mode
4. Surface and Subsurface Settlements
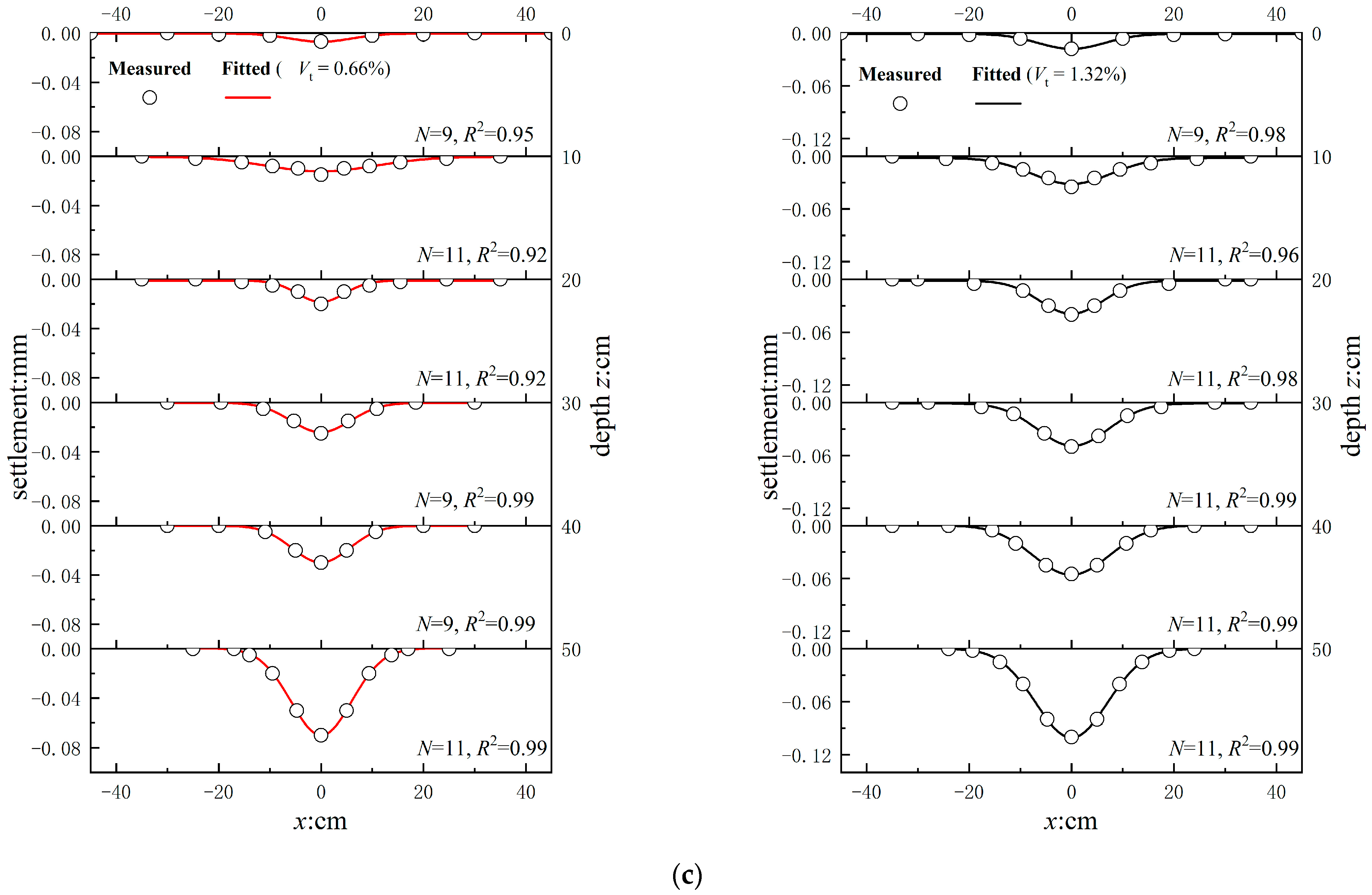
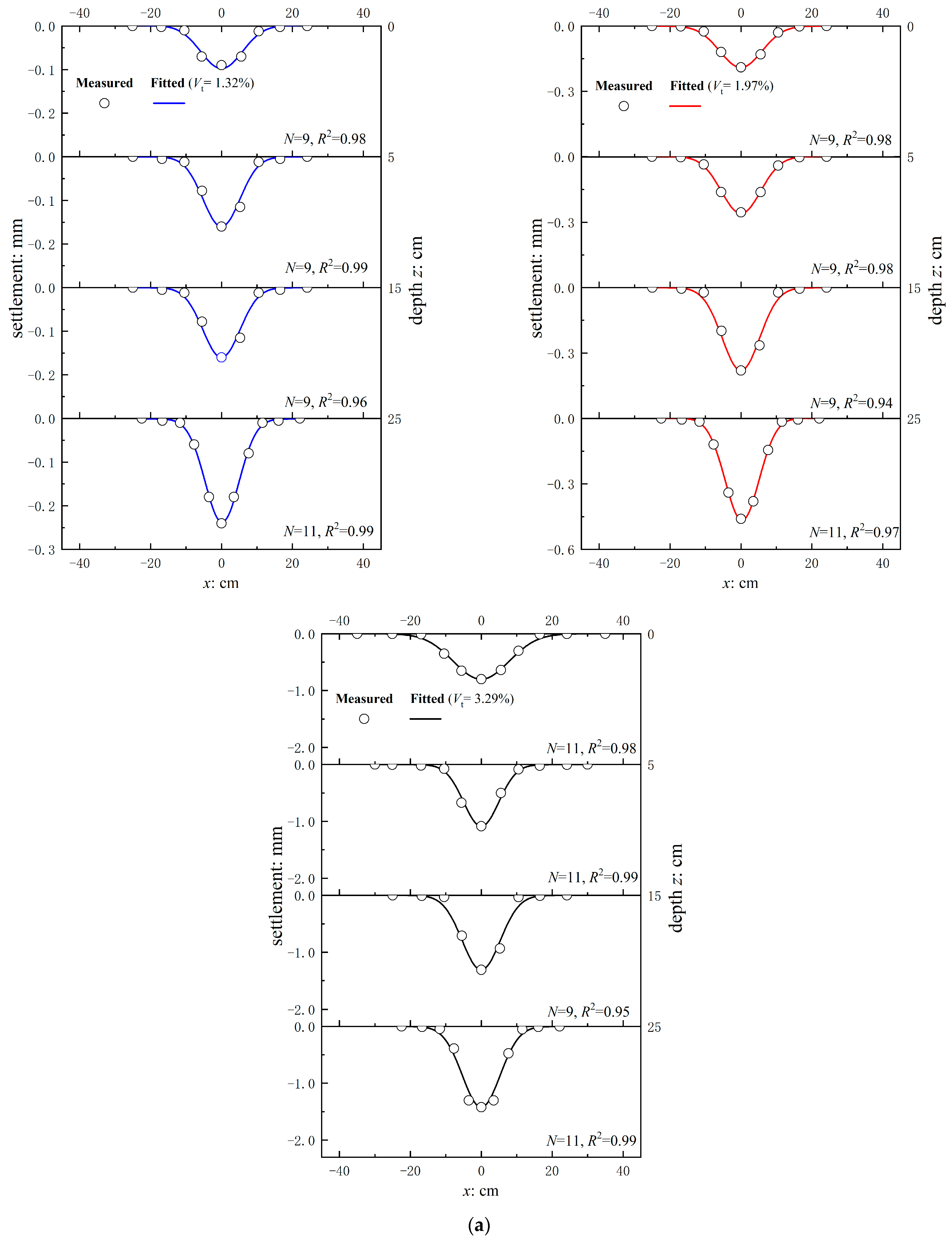
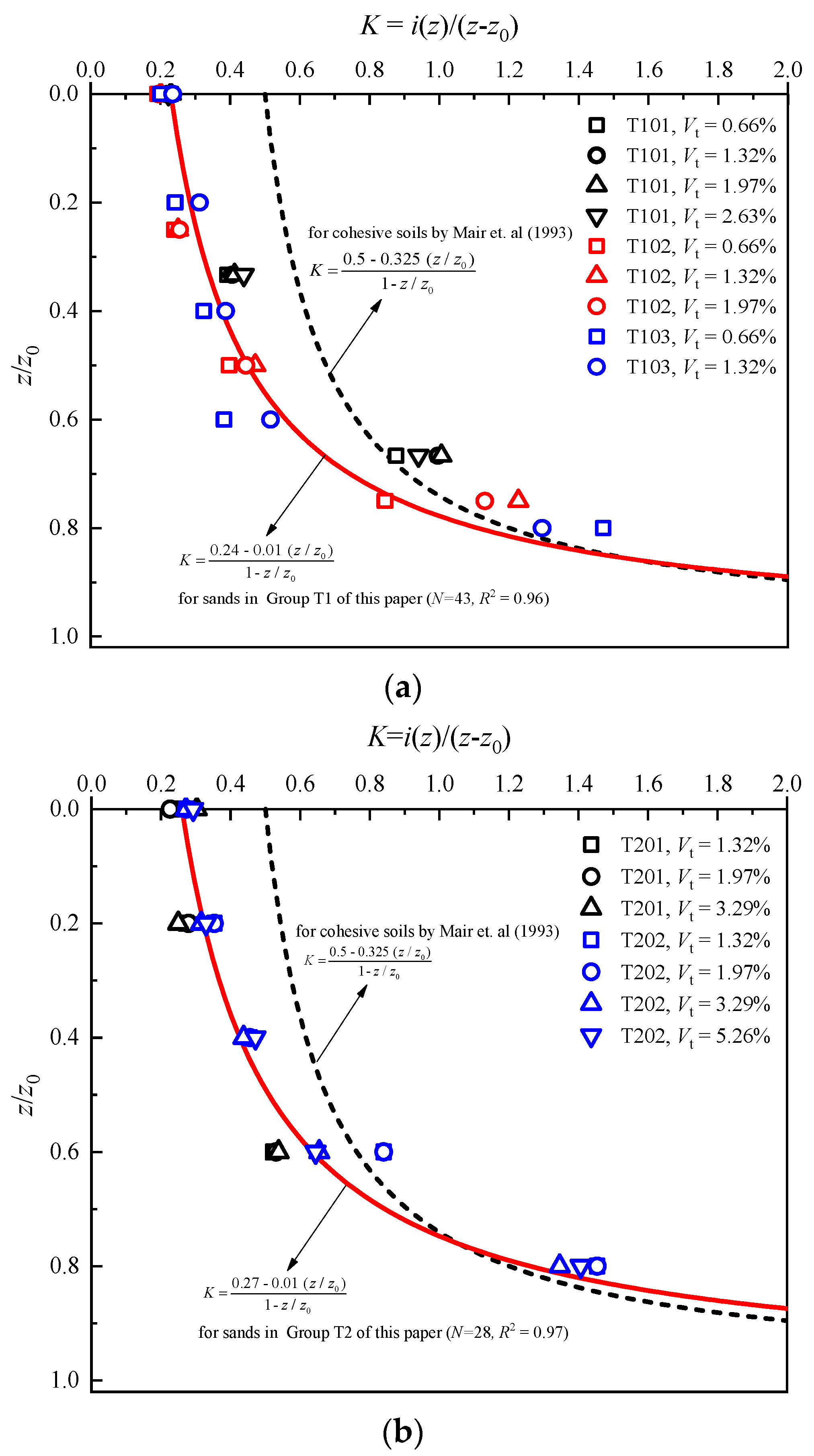
4.1. Settlement trough Width Coefficient i(z)
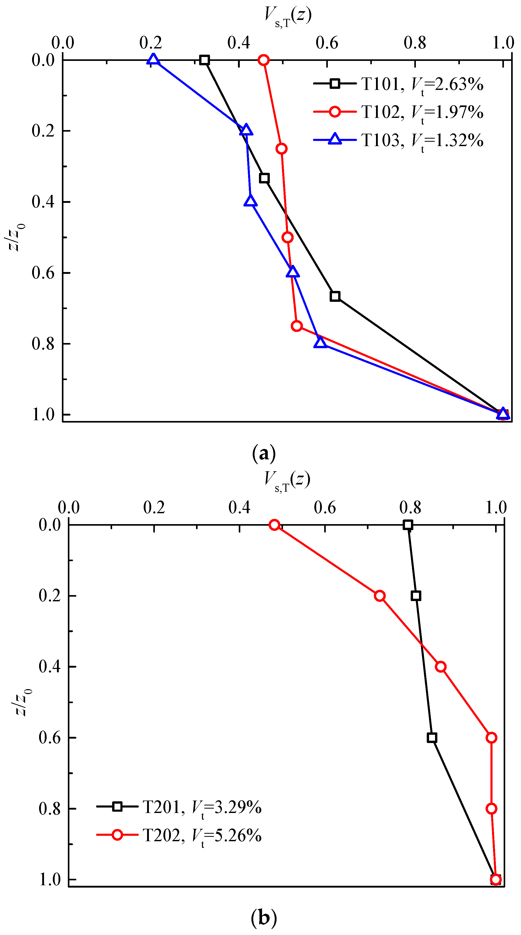
4.2. Ground Volume Loss Vs(z)
5. Conclusions
Author Contributions
Funding
Data Availability Statement
Conflicts of Interest
Abbreviations
| c | cohesion strength |
| D | tunnel diameter and water bag diameter |
| e0 | initial void ratio |
| i(z) | settlement trough width coefficient |
| K | trough width parameter |
| L | water bag length |
| Mf | peak failure stress ratio |
| Smax(0) | maximum settlement of ground surface |
| Smax(z) | maximum settlement at a depth of z |
| Vs | ground volume loss |
| Vt | tunnel volume loss |
| Vt,c | tunnel volume loss when the surface settlement begins to converge |
| Vt,s | tunnel volume loss when the surface settlement begins to increase sharply |
| Vw | volume of water bag |
| Vwd | volume of discharged water |
| z0 | depth of the buried tunnel crown |
| z | depth of one point in the model |
| λ | slope of the isotropic compression curve |
| κ | slope of the isotropic swelling curve |
| w | water content |
| φ | internal friction angle |
References
- Chen, R.P.; Tang, L.J.; Ling, D.S. Face stability analysis of shallow shield tunnels in dry sandy ground using the discrete element method. Comput. Geotech. 2011, 38, 187–195. [Google Scholar] [CrossRef]
- Chen, R.P.; Tang, L.J.; Yin, X.S.; Chen, Y.M.; Bian, X.C. An improved 3D wedge-prism model for the face stability analysis of the shield tunnel in cohesionless soils. Acta Geotech. 2015, 10, 683–692. [Google Scholar] [CrossRef]
- Rui, R.; Tol, F.V.; Xia XLEekelen, S.V.; Hu, G.; Xia, Y.Y. Evolution of soil arching; 2D DEM simulations. Comput. Geotech. 2016, 73, 199–209. [Google Scholar] [CrossRef]
- Dewoolkar, M.M.; Santichaianant, K.; Ko, H.Y. Centrifuge modeling of granular soil response over active circular trapdoors. Soils Found. 2007, 47, 931–945. [Google Scholar] [CrossRef]
- Chevalier, B.; Combe, G.; Villard, P. Experimental and discrete element modeling studies of the trapdoor problem: Influence of the macro-mechanical frictional parameters. Acta Geotech. 2012, 7, 15–39. [Google Scholar] [CrossRef]
- Lu, D.C.; Dong, H.Y.; Lin, Q.T.; Guo, C.X.; Gao, Z.W.; Du, X.L. A method for characterizing the deformation localization in granular materials using the relative particle motion. Comput. Geotech. 2023, 156, 105262. [Google Scholar] [CrossRef]
- Shahin, H.M.; Nakai, T.; Ishii, K.; Iwata, T.; Kuroi, S. Investigation of influence of tunneling on existing building and tunnel: Model tests and numerical simulations. Acta Geotech. 2016, 11, 679–692. [Google Scholar] [CrossRef]
- Ritter, S.; Giardina, G.; DeJong, M.J.; Mair, R.J. Centrifuge modelling of building response to tunnel excavation. Int. J. Phys. Model. Geotech. 2018, 18, 146–161. [Google Scholar] [CrossRef]
- Lin, Q.T.; Lu, D.C.; Lei, C.M.; Tian, Y.; Kong, F.C.; Du, X.L. Mechanical response of existing tunnels for shield under-crossing in cobble strata based on the model test. Tunn. Undergr. Space Technol. 2022, 125, 104505. [Google Scholar] [CrossRef]
- Nakai, T.; Xu, L.; Yamazaki, H. 3D and 2D model tests and numerical analyses of settlements and earth pressures due to tunnel excavation. Soils Found. 1997, 37, 31–42. [Google Scholar] [CrossRef]
- Marshall, A.M.; Farrell, R.; Klar, A.; Mair, R. Tunnels in sands: The effect of size, depth and volume loss on greenfield displacements. Géotechnique 2012, 62, 385–399. [Google Scholar] [CrossRef]
- Lin, Q.T.; Lu, D.C.; Lei, C.M.; Tian, Y.; Gong, Q.M.; Du, X.L. Model test study on the stability of cobble strata during shield under-crossing. Tunn. Undergr. Space Technol. 2021, 110, 103807. [Google Scholar] [CrossRef]
- Miao, J.; Lu, D.; Lin, Q.; Kong, F.; Du, X. Time-dependent surrounding soil pressure and mechanical response of tunnel lining induced by surrounding soil viscosity. Sci. China Technol. Sci. 2021, 64, 2453–2468. [Google Scholar] [CrossRef]
- Zhang, J.Z.; Phoon, K.K.; Zhang, D.M.; Huang, H.W.; Tang, C. Novel approach to estimate vertical scale of fluctuation based on CPT data using convolutional neural networks. Eng. Geol. 2021, 294, 106342. [Google Scholar] [CrossRef]
- Zhang, J.Z.; Huang, H.W.; Zhang, D.M.; Phoon, K.K.; Liu, Z.Q.; Tang, C. Quantitative evaluation of geological uncertainty and its influence on tunnel structural performance using improved coupled Markov chain. Acta Geotech. 2021, 16, 3709–3724. [Google Scholar] [CrossRef]
- Lu, D.C.; Ma, Y.D.; Kong, F.C.; Guo, C.X.; Miao, J.B.; Du, X.L. Support vector regression with heuristic optimization algorithms for predicting the ground surface displacement induced by EPB shield tunnelling. Gondwana Res. 2022. [Google Scholar] [CrossRef]
- Kong, F.C.; Lu, D.C.; Ma, Y.D.; Li, J.L.; Tian, T. Analysis and intelligent prediction for displacement of stratum and tunnel lining by shield tunnel excavation in complex geological conditions: A case study. IEEE Trans. Intell. Transp. Syst. 2022, 23, 22206–22216. [Google Scholar] [CrossRef]
- Kong, F.C.; Lu, D.C.; Ma, Y.C.D.; Tian, T.; Yu, H.T.; Du, X.L. Novel hybrid method to predict the ground-displacement field caused by shallow tunnel excavation. Sci. China-Technol. Sci. 2023, 66, 101–114. [Google Scholar] [CrossRef]
- Wang, F.; Miao, L.C.; Yang, X.M.; Du, Y.J.; Liang, F.Y. The Volume of Settlement Trough Change with Depth Caused by Tunneling in Sands. J. Civ. Eng. KSCE 2016, 20, 2719–2724. [Google Scholar] [CrossRef]
- Zheng, G.; Dai, X.; Diao, Y.; Zeng, C.F. Experimental and simplified model study of the development of ground settlement under hazards induced by loss of groundwater and sand. Nat. Hazards 2016, 82, 1869–1893. [Google Scholar] [CrossRef]
- Zhou, M.; Wang, F.; Du, Y.J.; Liu, M.D. Laboratory evaluation of buried high-density polyethylene pipes subjected to localized ground subsidence. Acta Geotech. 2019, 14, 1081–1099. [Google Scholar] [CrossRef]
- Peck, R.B. Deep excavations and tunnelling in soft ground. In Proceedings of the 7th International Conference on Soil Mechanics and Foundation Engineering, State of the Art Volume, Mexico City, Mexico; 1969; pp. 225–290. [Google Scholar]
- Mair, R.J.; Taylor, R.N.; Bracegirdle, A. Subsurface settlement profiles above tunnels in clays. Géotechnique 1993, 43, 315–320. [Google Scholar] [CrossRef]
- Lu, D.; Kong, F.; Du, X.; Shen, C.; Gong, Q.; Li, P. A unified displacement function to analytically predict ground deformation of shallow tunnel. Tunn. Undergr. Space Technol. 2019, 88, 129–143. [Google Scholar] [CrossRef]
- Lu, D.C.; Lin, Q.T.; Tian, Y.; Du, X.L.; Gong, Q.M. Formula for predicting ground settlement induced by tunnelling based on Gaussian function. Tunn. Undergr. Space Technol. 2020, 103, 103443. [Google Scholar] [CrossRef]
- Lin, Q.T.; Tian, Y.; Lu, D.C.; Gong, Q.M.; Du, X.L.; Gao, Z.W. A prediction method of ground volume loss variation with depth induced by tunnel excavation. Acta Geotech. 2021, 16, 3689–3707. [Google Scholar] [CrossRef]
- Celestino, T.B.; Gomes, R.A.M.P.; Bortolucci, A.A. Errors in ground distortions due to settlement trough adjustment. Tunn. Undergr. Space Technol. 2000, 15, 97–100. [Google Scholar] [CrossRef]
- Grant, R.J.; Taylor, R.N. Tunnelling-induced ground movements in clay. ICE Proc. Geotech. Eng. 2000, 143, 43–55. [Google Scholar] [CrossRef]
- Huang, Z.K.; Zhang, D.M.; Pitilakis, K.; Tsinidis, G.; Huang, H.W.; Zhang, D.M.; Argyroudis, S. Resilience assessment of tunnels: Framework and application for tunnels in alluvial deposits exposed to seismic hazard. Soil Dyn. Earthq. Eng. 2022, 162, 107456. [Google Scholar] [CrossRef]
- Li, Y.J.; Zhang, D.L.; Fang, Q.; Yu, Q.C.; Xia, L. A physical and numerical investigation of the failure mechanism of weak rocks surrounding tunnels. Comput. Geotech. 2014, 61, 292–307. [Google Scholar] [CrossRef]
- Escario, V.; Juca, F.T. Strength and deformation partly saturated soils. In Proceedings of the 12th International Conference of Soil Mechanics and Foundation Engineering, Rio de Janeiro, Brazil, 13–18 August 1989; pp. 43–46. [Google Scholar]
- Lu, N.; Wu, B.; Tan, C.P. Tensile strength characteristics of unsaturated sands. Journal of Geotechnical and Geoenvironmental Engineering. ASCE 2007, 133, 144–154. [Google Scholar]
- Kim, T.H.; Sture, S. Capillary-induced tensile strength in unsaturated sands. Can. Geotech. J. 2008, 45, 726–737. [Google Scholar] [CrossRef]
- Escario, V.; Sàez, J. The shear strength of partly saturated soils. Géotechnique 1986, 3, 453–456. [Google Scholar] [CrossRef]
- Karube, D. New concept of effective stress in unsaturated soil and its proving test. In Advanced Triaxial Testing of Soil and Rock; American Society for Testing and Materials: Philadelphia, PA, USA, 1988; pp. 539–552. [Google Scholar]
- Drumright, E.E. The Contribution of Matric Suction to the Shear Strength of Unsaturated Soils. Ph.D. Thesis, Colorado State University, Fort Collins, CO, USA, 1989. [Google Scholar]
- Lin, Q.T.; Zhu, J.M.; Kang, Y. Active spatial earth pressure behind retaining wall considering arching effects of soil. Chin. J. Rock Mech. Eng. 2015, 34, 1918–1927. [Google Scholar]
- Zhu, J.M.; Lin, Q.T.; Gao, X.J.; Gao, L.S. Research on space earth pressure behind retaining wall adjacent to existing basements exterior wall. Rock Soil Mech. 2016, 37, 3417–3426. [Google Scholar]






















| Groups | T1 | T2 | |||
|---|---|---|---|---|---|
| Test Number | T101 | T102 | T03 | T201 | T202 |
| Tunnel crown depth (cm) | 30 | 40 | 50 | 25 | 50 |
| Water content | 5% | 2% | |||
Disclaimer/Publisher’s Note: The statements, opinions and data contained in all publications are solely those of the individual author(s) and contributor(s) and not of MDPI and/or the editor(s). MDPI and/or the editor(s) disclaim responsibility for any injury to people or property resulting from any ideas, methods, instructions or products referred to in the content. |
© 2023 by the authors. Licensee MDPI, Basel, Switzerland. This article is an open access article distributed under the terms and conditions of the Creative Commons Attribution (CC BY) license (https://creativecommons.org/licenses/by/4.0/).
Share and Cite
Lin, Q.; Guo, C.; Meng, X.; Dong, H.; Kong, F. Experimental Research on the Settlement Feature of Two Ground Deformation Modes Induced by Tunnelling. Mathematics 2023, 11, 2351. https://doi.org/10.3390/math11102351
Lin Q, Guo C, Meng X, Dong H, Kong F. Experimental Research on the Settlement Feature of Two Ground Deformation Modes Induced by Tunnelling. Mathematics. 2023; 11(10):2351. https://doi.org/10.3390/math11102351
Chicago/Turabian StyleLin, Qingtao, Caixia Guo, Xu Meng, Hongyu Dong, and Fanchao Kong. 2023. "Experimental Research on the Settlement Feature of Two Ground Deformation Modes Induced by Tunnelling" Mathematics 11, no. 10: 2351. https://doi.org/10.3390/math11102351
APA StyleLin, Q., Guo, C., Meng, X., Dong, H., & Kong, F. (2023). Experimental Research on the Settlement Feature of Two Ground Deformation Modes Induced by Tunnelling. Mathematics, 11(10), 2351. https://doi.org/10.3390/math11102351
