Novel Aspects of Cilia-Driven Flow of Viscoelastic Fluid through a Non-Darcy Medium under the Influence of an Induced Magnetic Field and Heat Transfer
Abstract
1. Introduction
2. Modeling of Sutterby Fluid in a Cilia-Oriented Asymmetric Tapered Channel
3. Analytical Results
- a.
- The zero-order system and its solution:
- b.
- The first-order system and its solution:
- c.
- The second-order system and its solution:
4. Pictorial Representation and Discussion
4.1. Velocity Profiles
4.2. Magnetic Force Function
4.3. Magnetic Field Characteristics
4.4. Current Density
4.5. Pressure Rise
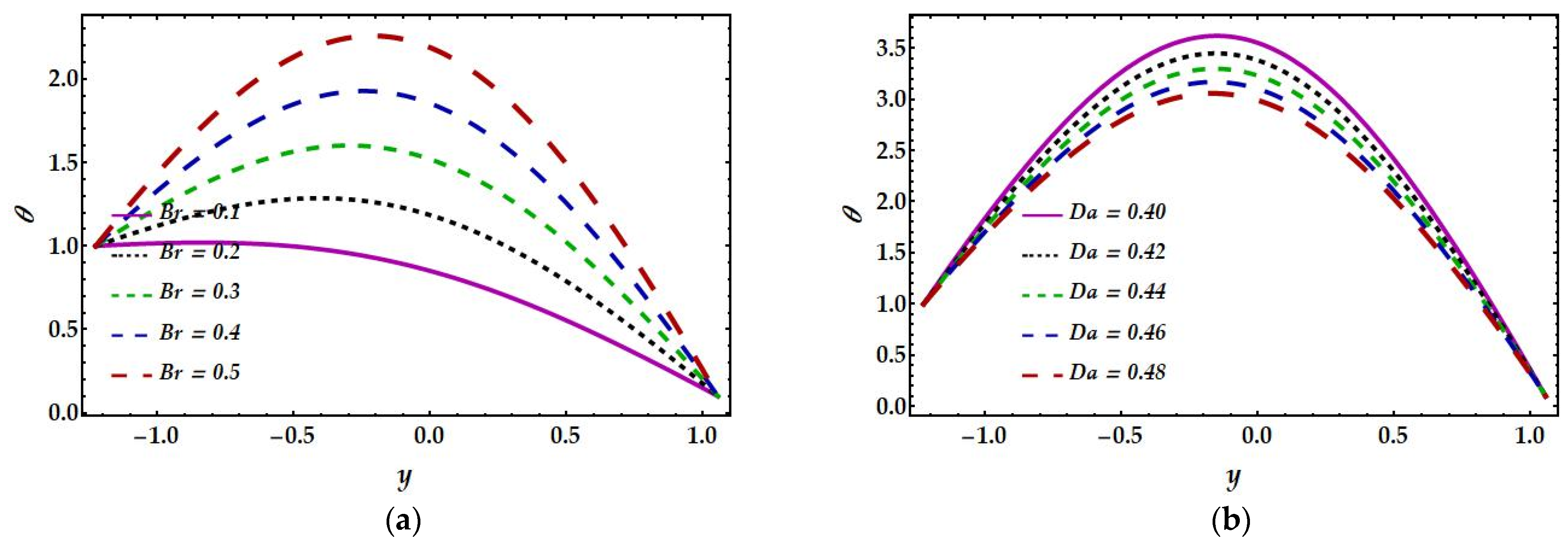
4.6. Temperature Profiles
4.7. Trapping Phenomena
5. Conclusions
- An increasing behavior of the velocity, current density, and magnetic force function profiles is observed due to the elevated values of the Darcy and Forchheimer numbers, while the Sutterby parameter and Hartman number show the converse trends.
- The increasing values of the eccentricity parameter have almost negligible influences on the velocity, current density, and magnetic force function profiles.
- The velocity and current density profiles gradually slow down in the center for rising values of the inclined angle, while the opposite pattern in the case of the magnetic force function throughout the region has been observed.
- The increasing values of cilia length slow down the magnetic force function effects and the velocity and current density show some hindrance in the central regions but show different behavior near the walls.
- The magnitude of the magnetic force function grows more quickly when the magnetic Reynolds number is elevated.
- The current density magnitude is found to increase with higher values of the electric field and magnetic Reynolds number.
- Every graph of the induced magnetic field has dual behavior or two opposite trends for all physical parameters except the cilia length parameter.
- With increasing values of the Brinkman number, temperature ratio, and Forchheimer number, an increase in temperature is observed, while a decrease in the temperature magnitude is observed for both the Darcy and Sutterby parameters.
- From streamlined patterns, it can be seen that boluses diminish randomly for the Sutterby fluid parameter, inclined angle, and Hartman number but are enriched by the influence of the cilia length and Darcy number.
- No significant changes occur in streamlines for the eccentricity parameter, and boluses expand for elevated values of the Forchheimer number.
- In addition, we can also deduce the mathematical result for the Newtonian fluid by taking m = 0.
Author Contributions
Funding
Institutional Review Board Statement
Informed Consent Statement
Data Availability Statement
Conflicts of Interest
References
- Sleigh, M.A. The Biology of Cilia and Flagella; Pergamon Press: Oxford, UK, 1962. [Google Scholar]
- Blake, J.R. A model for the micro-structure in ciliated organisms. J. Fluid Mech. 1972, 55, 1–23. [Google Scholar] [CrossRef]
- Blake, J.R. Flow in tubules due to ciliary activity. Bull. Math. Biol. 1973, 35, 513–523. [Google Scholar] [CrossRef]
- Lardner, T.J.; Shack, W.J. Cilia transport. Bull. Math. Biophys. 1972, 34, 325–335. [Google Scholar] [CrossRef] [PubMed]
- Akbar, N.S.; Akhtar, S. Metachronal wave form analysis on cilia-driven flow of non-Newtonain Phan–Thien–Tanner fluid model: A physiological mathematical model. Proc. Inst. Mech. Eng. Part E J. Process Mech. Eng. 2022, OnlineFirst. [Google Scholar] [CrossRef]
- Baetjer, A.M. Effect of ambient temperature and vapor pressure on cilia-mucus clearance rate. J. Appl. Physiol. 1967, 23, 498–504. [Google Scholar] [CrossRef] [PubMed]
- Kelly, S.J.; Brodecky, V.; Skuza, E.M.; Berger, P.J.; Tatkov, S. Variability in tracheal mucociliary transport is not controlled by beating cilia in lambs in vivo during ventilation with humidified and nonhumidified air. Am. J. Physiol. Lung Cell. Mol. Physiol. 2021, 320, L473–L485. [Google Scholar] [CrossRef] [PubMed]
- Imran, A.; Akhtar, R.; Zhiyu, Z.; Shoaib, M.; Raja, M.A.Z. Heat transfer analysis of biological nanofluid flow through ductus efferentes. AIP Adv. 2020, 10, 035029. [Google Scholar] [CrossRef]
- Fuzhang, W.; Akhtar, S.; Nadeem, S.; El-Shafay, A.S. Mathematical computations for the physiological flow of Casson fluid in a vertical elliptic duct with ciliated heated wavy walls. Waves Random Complex Media 2022. [Google Scholar] [CrossRef]
- Cui, J.; Wu, T.; Liu, Y.; Fu, B.M.; Jin, Y.; Zhu, Z. A three-dimensional simulation of the dynamics of primary cilia in an oscillating flow. Appl. Math. Model. 2022, 108, 825–839. [Google Scholar] [CrossRef]
- Siddiqui, A.M.; Sohail, A.; Maqbool, K. Analysis of a channel and tube flow induced by cilia. Appl. Math. Comput. 2017, 309, 133–141. [Google Scholar] [CrossRef]
- Farooq, A.A.; Kahshan, M.; Saleem, S.; Gorji, M.R.; Al-Mubaddel, F.S. Entropy production rate in ciliary induced flows through cylindrical tubules under the consequences of Hall effect. J. Taiwan Inst. Chem. Eng. 2021, 120, 207–217. [Google Scholar] [CrossRef]
- Ibañez-Tallon, I.; Heintz, N.; Omran, H. To beat or not to beat: Roles of cilia in development and disease. Hum. Mol. Genet. 2003, 12, R27–R35. [Google Scholar] [CrossRef] [PubMed]
- Meng, F.; Matsunaga, D.; Yeomans, J.M.; Golestanian, R. Magnetically-actuated artificial cilium: A simple theoretical model. Soft Matter 2019, 15, 864–3871. [Google Scholar] [CrossRef]
- Siddiqui, A.M.; Farooq, A.A.; Rana, M.A. A mathematical model for the flow of a Casson fluid due to metachronal beating of cilia in a tube. Sci. World J. 2015, 2015, 487819. [Google Scholar] [CrossRef] [PubMed]
- Akbar, N.S.; Tripathi, D.; Khan, Z.H.; Bég, O.A. Mathematical model for ciliary-induced transport in MHD flow of Cu-H2O nanofluids with magnetic induction. Chin. J. Phys. 2017, 55, 947–962. [Google Scholar] [CrossRef]
- Ellahi, R. The effects of MHD and temperature dependent viscosity on the flow of non-Newtonian nanofluid in a pipe: Analytical solutions. Appl. Math. Model. 2013, 37, 1451–1457. [Google Scholar] [CrossRef]
- Riaz, A.; Almutairi, S.; Alhazmi, S.E.; Saleem, A.; Nadeem, S.; Abdelrahman, A. Insight into the cilia motion of electrically conducting Cu-blood nanofluid through a uniform curved channel when entropy generation is significant. Alex. Eng. J. 2022, 61, 10613–10630. [Google Scholar] [CrossRef]
- Ramesh, K.; Tripathi, D.; Bég, O.A. Cilia-assisted hydromagnetic pumping of biorheological couple stress fluids. Propuls. Power Res. 2019, 8, 221–233. [Google Scholar] [CrossRef]
- Nadeem, S.; Akhtar, S.; Almutairi, S.; Ghazwani, H.A.; Elkhatib, S.E. Physical survey of thermally heated non-newtonian jeffrey fluid in a ciliated conduit having heated compressing and expanding walls. Appl. Sci. 2022, 12, 5065. [Google Scholar] [CrossRef]
- Akbar, N.S.; Khan, Z.H. Metachronal beating of cilia under the influence of Casson fluid and magnetic field. J. Magn. Magn. Mater. 2015, 378, 320–32615. [Google Scholar] [CrossRef]
- Hanasoge, S.; Hesketh, P.J.; Alexeev, A. Microfluidic pumping using artificial magnetic cilia. Microsyst. Nanoeng. 2018, 4, 11. [Google Scholar] [CrossRef]
- Mayne, R.; Den Toonder, J. Atlas of Cilia Bioengineering and Biocomputing; River Publishers: Aalborg, Denmark, 2018. [Google Scholar]
- Kazemian, Y.; Rashidi, S.; Esfahani, J.A.; Karimi, N. Simulation of conjugate radiation–forced convection heat transfer in a porous medium using the lattice Boltzmann method. Meccanica 2019, 54, 505–524. [Google Scholar] [CrossRef]
- Mesgarpour, M.; Habib, R.; Shadloo, M.S.; Karimi, N. A combination of large eddy simulation and physics-informed machine learning to predict pore-scale flow behaviours in fibrous porous media: A case study of transient flow passing through a surgical mask. Eng. Anal. Bound. Elem. 2023, 149, 52–70. [Google Scholar] [CrossRef]
- Nield, D.A.; Bejan, A. Convection in Porous Media; Springer: New York, NY, USA, 2006; Volume 3. [Google Scholar]
- Akbar, N.S.; Butt, A.W.; Tripathi, D.; Bég, O.A. Physical hydrodynamic propulsion model study on creeping viscous flow through a ciliated porous tube. Pramana 2017, 88, 52. [Google Scholar] [CrossRef]
- Manzoor, N.; Maqbool, K.; Bég, O.A.; Shaheen, S. Adomian decomposition solution for propulsion of dissipative magnetic Jeffrey biofluid in a ciliated channel containing a porous medium with forced convection heat transfer. Heat Transf. Asian Res. 2019, 48, 556–581. [Google Scholar] [CrossRef]
- Javid, K.; Alqsair, U.F.; Hassan, M.; Bhatti, M.M.; Ahmad, T.; Bobescu, E. Cilia-assisted flow of viscoelastic fluid in a divergent channel under porosity effects. Biomech. Model. Mechanobiol. 2021, 20, 1399–1412. [Google Scholar] [CrossRef]
- Aich, W.; Javid, K.; Al-Khaled, K.; Gachem, K.; Khan, D.; Khan, S.U.; Kolsi, L. The ciliated flow of water-based graphene oxide and copper nanoparticles (GO-Cu/H2O) in a complex permeable tube with entropy generation phenomenon. Waves Random Complex Media 2022. [Google Scholar] [CrossRef]
- Ellahi, R.; Alamri, S.Z.; Basit, A.; Majeed, A. Effects of MHD and slip on heat transfer boundary layer flow over a moving plate based on specific entropy generation. J. Taibah Univ. Sci. 2018, 12, 476–482. [Google Scholar] [CrossRef]
- Majeed, A.; Zeeshan, A.; Alamri, S.Z.; Ellahi, R. Heat transfer analysis in ferromagnetic viscoelastic fluid flow over a stretching sheet with suction. Neural Comput. Appl. 2018, 30, 1947–1955. [Google Scholar] [CrossRef]
- Shaheen, S.; Maqbool, K.; Ellahi, R.; Sait, S.M. Heat transfer analysis of tangent hyperbolic nanofluid in a ciliated tube with entropy generation. J. Therm. Anal. Calorim. 2021, 144, 2337–2346. [Google Scholar] [CrossRef]
- Bhatti, M.M.; Alamri, S.Z.; Ellahi, R.; Abdelsalam, S.I. Intra-uterine particle-fluid motion through a compliant asymmetric tapered channel with heat transfer. J. Therm. Anal. Calorim. 2021, 144, 2259–2267. [Google Scholar] [CrossRef]
- Bhatti, M.M.; Ellahi, R. Numerical investigation of non-Darcian nanofluid flow across a stretchy elastic medium with velocity and thermal slips. Numer. Heat Transf. Part B Fundam. 2023, 5, 323–343. [Google Scholar] [CrossRef]
- Shaheen, S.; Arain, M.B.; Nisar, K.S.; Albakri, A.; Shamshuddin, M.D. A case study of heat transmission in a Williamson fluid flow through a ciliated porous channel: A semi-numerical approach. Case Stud. Therm. Eng. 2022, 41, 102523. [Google Scholar]
- Azhar, E.; Iqbal, Z.; Maraj, E.N. Impact of entropy generation on stagnation-point flow of Sutterby nanofluid: A numerical analysis. Z. Nat. A 2016, 71, 837–848. [Google Scholar] [CrossRef]
- Sajid, M.; Ali, N.; Abbas, Z.; Javed, T. On modelling of two-dimensional MHD flow with induced magnetic field: Solution of peristaltic flow of a couple stress fluid in a channel. Iran. J. Sci. Technol. 2015, 39, 35. [Google Scholar]
- Bhatti, M.M.; Abdelsalam, S.I. Bio-inspired peristaltic propulsion of hybrid nanofluid flow with Tantalum (Ta) and Gold (Au) nanoparticles under magnetic effects. Waves Random Complex Media 2021. [Google Scholar] [CrossRef]
- Ishtiaq, F.; Ellahi, R.; Bhatti, M.M.; Alamri, S.Z. Insight in thermally radiative cilia-driven flow of electrically conducting non-Newtonian Jeffrey fluid under the influence of induced magnetic field. Mathematics 2022, 10, 2007. [Google Scholar] [CrossRef]
- He, J.H. Homotopy perturbation method: A new nonlinear analytical technique. Appl. Math. Comput. 2003, 135, 73–79. [Google Scholar] [CrossRef]




















Disclaimer/Publisher’s Note: The statements, opinions and data contained in all publications are solely those of the individual author(s) and contributor(s) and not of MDPI and/or the editor(s). MDPI and/or the editor(s) disclaim responsibility for any injury to people or property resulting from any ideas, methods, instructions or products referred to in the content. |
© 2023 by the authors. Licensee MDPI, Basel, Switzerland. This article is an open access article distributed under the terms and conditions of the Creative Commons Attribution (CC BY) license (https://creativecommons.org/licenses/by/4.0/).
Share and Cite
Bhatti, M.M.; Ishtiaq, F.; Ellahi, R.; Sait, S.M. Novel Aspects of Cilia-Driven Flow of Viscoelastic Fluid through a Non-Darcy Medium under the Influence of an Induced Magnetic Field and Heat Transfer. Mathematics 2023, 11, 2284. https://doi.org/10.3390/math11102284
Bhatti MM, Ishtiaq F, Ellahi R, Sait SM. Novel Aspects of Cilia-Driven Flow of Viscoelastic Fluid through a Non-Darcy Medium under the Influence of an Induced Magnetic Field and Heat Transfer. Mathematics. 2023; 11(10):2284. https://doi.org/10.3390/math11102284
Chicago/Turabian StyleBhatti, Muhammad Mubashir, Fehid Ishtiaq, Rahmat Ellahi, and Sadiq M. Sait. 2023. "Novel Aspects of Cilia-Driven Flow of Viscoelastic Fluid through a Non-Darcy Medium under the Influence of an Induced Magnetic Field and Heat Transfer" Mathematics 11, no. 10: 2284. https://doi.org/10.3390/math11102284
APA StyleBhatti, M. M., Ishtiaq, F., Ellahi, R., & Sait, S. M. (2023). Novel Aspects of Cilia-Driven Flow of Viscoelastic Fluid through a Non-Darcy Medium under the Influence of an Induced Magnetic Field and Heat Transfer. Mathematics, 11(10), 2284. https://doi.org/10.3390/math11102284

