Next Article in Journal
Mathematical Problems in Rock Mechanics and Rock Engineering
Previous Article in Journal
Availability Optimization Decision Support Design System for Different Repairable n-Stage Mixed Systems
 
 
Font Type:
Arial Georgia Verdana
Font Size:
Aa Aa Aa
Line Spacing:
Column Width:
Background:
Article

Guidance Law for Autonomous Takeoff and Landing of Unmanned Helicopter on Mobile Platform Based on Asymmetric Tracking Differentiator

1
China Academy of Launch Vehicle Technology, Beijing 100076, China
2
Department of Aerospace Engineering, Nanjing University of Aeronautics and Astronautics, Nanjing 210016, China
3
AVIC Shenyang Aircraft Design And Research Institute, Shenyang 116024, China
4
Key Laboratory of Advanced Control for Light Industry Processes, Ministry of Education, School of Internet of Things Engineering, Jiangnan University, Wuxi 214122, China
*
Author to whom correspondence should be addressed.
Mathematics 2023, 11(1), 66; https://doi.org/10.3390/math11010066
Submission received: 30 October 2022 / Revised: 25 November 2022 / Accepted: 28 November 2022 / Published: 24 December 2022
(This article belongs to the Section E: Applied Mathematics)

Abstract

For some flight missions, such as autonomous landing on mobile platforms, the demands on indicators such as target-tracking accuracy and so on are relatively high. To achieve this, a guidance system with excellent precision is necessary. An asymmetric tracking differentiator based on a tracking differentiator is proposed to establish the guidance system. On the basis of the proposed asymmetric tracking differentiator, an altitudinal and horizontal helicopter guidance system structure is designed. In this paper, a guidance law is designed in order to meet the accuracy and precision requirements in the autonomous landing and transition process. Apart from that, a plane-motion-guidance law is also designed to realize static and dynamic point tracking, linear route tracking and circular route tracking to improve the trajectory smoothness and accuracy. Finally, simulations of the autonomous landing process on moving platforms, including three stages, namely approaching, tracking and landing, are completed. The application effects and precision of the autonomous landing guidance algorithm under different wave heights and period conditions are analyzed through the obtained simulation curves.

1. Introduction

In modern wars, unmanned helicopters are playing an increasingly essential role, among which ship-carried unmanned helicopters are gaining more and more attention from countries around the world for their advantages of low cost, low roll and high flexibility, which makes them suitable for diverse mission targets and conditions. Flight missions involving the autonomous take-off and landing process using moving platform have high requirements on the route, target-tracking accuracy and the transition process, and a high-performance guidance system is one of the necessary conditions to achieve these requirements. The guidance system is responsible for the generation of the attitude and angular velocity control signals according to the position, direction and motion information of the helicopter and target object or route and can guide the helicopters in line with the mission requirements.
Usually linked to the attitude control systems, the guidance systems are composed of a measurement device, guidance calculation device and actuator, and its working mechanism is to measure the position or velocity of the aircraft relative to the target or standard then calculate to generate guidance commands according to a predetermined algorithm. Ultimately, aircraft control and flight along the proper trajectory are realized by attitude control systems. There are many guidance laws for unmanned helicopters. Each of them boasts respective characteristics and features under different mission scenarios and targets. Autonomous landing guidance is widely applied [1]. Satoshi Suzuki et al. [2] adopted a nonlinear model predictive method to realize the collision-free guidance and the control of small, unmanned helicopters. A combined control strategy with an extended state observer (ESO) and a finite time-stable tracking differentiator was proposed by Aole, S., et al. [3] to perform flexion motion. In [4], a disturbance observer-based control method was utilized for resilient tracking of an unmanned aerial helicopter with parameter uncertainty. Xu, W., et al. [5] developed a robust control strategy for unmanned helicopter to simultaneously deal with random wind disturbances. To achieve autonomous take-off and landing to/from moving platforms, a tracking-accuracy guidance system with high performance is needed as an essential condition. As a nonlinear tracking algorithm that functions as an important part of the system of active disturbance-rejection control technology [6,7,8,9,10], the tracking differentiator, through which the differential signals can be extracted from target signals, is suitable for the guidance mechanism of unmanned helicopters [11].
In the first part of this paper, tracking differentiators are introduced into active disturbance-rejection control algorithms. Then, the vertical and horizontal guidance system structures are determined according to the characteristics of small, unmanned helicopters and the actual mission requirements on the basis of the asymmetric tracking differentiator, as shown in Figure 1. Mathematical simulations verify the proposed guidance law. In the simulation part, combined with the compound gradient descent (CGD) attitude estimation method and the ATD attitude control method [12,13,14,15], the feasibility of the proposed guidance and control law is tested through simulation of the landing process on moving platforms. The range of safety conditions for landing on a mobile platform is divided according to the simulation results of the landing process. The layout of this article is as follows: In Section 2, an asymmetric tracking differentiator is proposed based on the tracking differentiator. Then, we separate the design of the guidance law into two parts: vertical and horizontal, which are introduced, respectively, in Section 3 and Section 4. In Section 5, mathematical simulation of the proposed guidance law is carried out. Section 6 is the simulation of the unmanned helicopter landing on moving platforms.

2. Asymmetric Tracking Differentiator

This section defines and briefly introduces the basic characteristics of the tracking differentiator. The asymmetric tracking differentiator is then proposed in the light of the demands and features of usual missions.

2.1. Basic Tracking Differentiator

The following Equation (1) shows a basic discrete tracking differentiator:
ζ ( k ) = f h a n ( x ( k 1 ) r ( k ) , v ( k 1 ) , a l m t , h ) v ( k ) = v ( k 1 ) + Δ t · ζ ( k ) x ( k ) = x ( k 1 ) + Δ t · v ( k )
where k is sampling time, Δ t is sampling interval, r is the tracked signal, x is the output signal of TD, v and ζ are, respectively, the first-order difference (velocity) and the second-order difference (acceleration) of x relative to time, a l m t is the available acceleration of TD, h is the account step of the function f h a n , and f h a n is the comprehensive function of discrete time-optimal control.
The reference signal is assumed as r ( t ) = 1 , the initial conditions are x ( 0 ) = 0 , v ( 0 ) = 0 , the available acceleration is set as a l m t = 1 , the step-length of TD is set as h = 5 × 10 3 s, and with a length of 3 s and a simulation step of 2.5 × 10 3 s, the computer simulation is carried out. The simulation curve is obtained as shown in Figure 2.
As can be seen from the figures above, TD always accelerates or decelerates at the maximum available acceleration when tracking the reference signals. The curve x ( t ) generated by TD has a second derivative and there is no overshoot for the step signal. Therefore, it is a signal-tracking algorithm that has excellent performance. When TD is applied to the attitude control system, the guidance system produces the attitude commands, based upon which the reference trajectory involving attitude angle, attitude angular rate and attitude angular acceleration is generated, which is then used to calculate the error and realize feedback control. The distance between the helicopter and the waypoint or the cross-track error that is between the target routes could be regarded as the tracking variable, and the reference signal is set to 0. Therefore, a smooth reference transition process, where the reference speed and reference acceleration are available, can be generated while there is no overshoot, which, could perform an important function in improving the bandwidth of the control system and guidance system and enhancing the attitude control and tracking accuracy. This helps to ensure safety during landing and flying when there are high obstacles (trees, buildings, ships, etc.) near landing platforms, target points, or flight paths.
Although an exceedingly outstanding tracking curve can be produced through the tracking differentiator, the following two defects of the tracking differentiator can be observed through the description of the algorithm and the simulation curve:
(1)
The constraint on the change rate v of the tracked signal is not supported by the tracking differentiator. Most modern unmanned helicopters are equipped with low-cost MEMS gyroscopes with a limited range. Meanwhile, small, unmanned helicopters are tiny in size, high in inertia ratio of control moment–rotational and flexible in attitude maneuverability. As a result, it is also possible that the angular velocity exceeds the maximum of the airborne gyroscope under the condition that the tracking differentiator is directly applied into the attitude control system. During autonomous flight, the flight velocity is usually limited to a maximum value or a given value. As a result, the high maneuvers are often accompanied by a limited rate of climb and descent.
(2)
There is only one parameter a l m t in TD for acceleration restriction. Small, unmanned helicopters have strong attitude maneuverability. Sometimes, on a certain trajectory segment, there are requirements for the helicopters to start and brake at different accelerations, and there is also obviously the necessity for planes to descend with a more proper trajectory to avoid collision and shock when contacting the ground or landing platform. However, the simply applied single parameter is far from enough to cope with the different cases mentioned above simultaneously.
There are improvements to these two aspects after a mechanism is added that allows velocity and acceleration limit-setting along two directions, respectively.

2.2. Asymmetrical Tracking Differentiator

In light of the defects of the TD described above, the improved tracking differentiator is required to be able to set the maximum available acceleration and maximum available deceleration on the basis of the basic tracking differentiator and to limit the maximum change rate of the tracked signal [18,19,20,21].
Firstly, the synthesis function of asymmetric, discrete, time-optimal control is derived in order to calculate the required acceleration. Maximum and minimum available accelerations, namely l a u p > 0 and l a l w < 0 , respectively, are introduced. The difference equation of the second-order linear discrete system is:
{ x 1 ( k + 1 ) = x 1 ( k ) + h x 2 ( k ) x 2 ( k + 1 ) = x 2 ( k ) + h u ˜ ( k )
where the control quantity u ˜ ( k ) satisfies the condition as follows:
u ˜ ( k ) [ l a u p , l a l w ]
The system state at the initial moment is denoted as [ x 1 ( 0 ) , x 2 ( 0 ) ] T ; then, the solution of Equation (2) is:
[ x 1 ( k ) x 2 ( k ) ] = [ 1 k h 0 1 ] [ x 1 ( 0 ) x 2 ( 0 ) ] + [ 1 ( k 1 ) h 0 1 ] [ 0 h ] u ˜ ( 0 ) + L + [ 1 h 0 1 ] [ 0 h ] u ˜ ( k 2 ) + [ 0 h ] u ˜ ( k 1 )
If [ x 1 ( k ) , x 2 ( k ) ] T = [ 0 , 0 ] T , System (2) reach the origin [ 0 , 0 ] T from the initial value [ x 1 ( 0 ) , x 2 ( 0 ) ] T through the reverse control sequence u ( k ) [ l a l w , l a u p ] in Equation (4) within k steps. Introduce a phase plane O X 1 X 2 in which the horizontal and vertical axes, respectively, correspond to the system state variables x 1 and x 2 . When x 2 < 0 , the starting point is recorded as a k + if it exactly reaches the origin (0,0) of the phase plane after continuous control u = l a u p through k steps, and the coordinate values of a k + meet the following conditions:
[ x 1 x 2 ] = [ k h 2 l a u p + ( k 1 ) h 2 l a u p + L + h 2 l u a p h l a u p h l a u p L h l a u p ] = [ k 2 h 2 l a u p 2 + k h 2 l a u p 2 k h l a u p ]
At the beginning, if x 2 < 0 , u = l a u w , then the value of u will reach l a u p during the next ( k 1 ) steps. In addition, the starting point will be denoted as b k + if it exactly reaches the origin after the total k steps. The coordinate values of b k + are:
[ x 1 x 2 ] = [ k h 2 l a u p + ( k 1 ) h 2 l a u p + L + 2 h 2 l u a p + h 2 l a l w h l a u p h l a u p L h l a u p h l a l w ] = [ ( k 2 + k 2 ) h 2 l a u p 2 + h 2 l a l w ( k 1 ) h l a u p h l a l w ]
When x 2 < 0 , we assume that u = 0 at the begining and the value of u will reach l a u p during the next ( k 1 ) steps, the starting point that exactly reaches the origin after the total k steps is denoted as c k + , and the coordinate values of point c k + are:
[ x 1 x 2 ] = [ k h 2 l a u p + ( k 1 ) h 2 l a u p + L + 0 h l a u p h l a u p L 0 ] = [ ( k 1 ) ( k + 2 ) h 2 l a u p 2 ( k 1 ) h l a u p ]
By eliminating k from Equations (5) to (7), it can be known that a k + , b k + and c k + are on the x 2 < 0 part of the curves, and these three points are described repectively by Equations (8) to (10).
x 1 = x 2 2 2 l a u p h 2 x 2
x 1 = x 2 2 + h 2 l a l w 2 3 x 2 h l a u p + 2 x 2 h l a l w h 2 l a u p l a l w 2 l a u p
x 1 = x 2 2 2 l a u p 3 h 2 x 2
Relatively, when x 2 > 0 , a k is denoted as the starting point that exactly reaches the origin after applying control quantity u = l a l w continuously through k steps; b k is denoted as the starting point that exactly reaches the origin when the control quantity of the first step is u = l a u p , and the control quantity for the other ( k 1 ) steps is u = l a l w ; and c k is denoted as the starting point that exactly reaches the origin when the control quantity of the first step is u = 0 , and the control quantity for the other ( k 1 ) steps is u = l a l w . Then, points a k , b k and c k are located on the part of the curve x 2 > 0 , and they are respectively described by Equations (11) to (13). See Figure 2.
x 1 = x 2 2 2 l a l w h 2 x 2
x 1 = x 2 2 + h 2 l a u p 2 3 x 2 h l a l w + 2 x 2 h l a u p h 2 l a u p l a l w 2 l a l w
x 1 = x 2 2 2 l a l w 3 h 2 x 2
Figure 3 is drawn as an example, which is under the condition that h = 0.5 , l a u p = 2 , l a l w = 1 . Link all the a k + points, and a curve is obtained which is denoted as Γ a + ; in the same sense, Γ a can be formed by linking all the a k . The curves Γ ˜ a + and Γ ˜ a are shown by Equations (8) and (11), respectively. The curve obtained through connecting all the b k + points is defined as Γ b + ; in the same sense, Γ b can be formed by linking all the b k . The curves Γ ˜ b + and Γ ˜ b are shown by Equations (9) and (12), respectively. The curve obtained through linking all the c k + points is defined as Γ c + , and Γ c is formed by linking all the c k . The curves described by Equations (10) and (13) are denoted, respectively, as Γ ˜ c + and Γ ˜ c . It is apparent that Γ ( ) and Γ ˜ ( ) overlap at all ( ) k points, and at other points there are slight differences between them. However, in the process of h approaching zero, the curve Γ ( ) approaches Γ ˜ ( ) .
Firstly, the situation is taken into consideration where the minimum number of steps is 2 or even less than that. If true, the initial state value of the system [ x 1 ( 0 ) , x 2 ( 0 ) ] is within the quadrilateral (including the boundary) formed by points a 2 + , b 2 + , a 2 , b 2 . The kinetic equation of the system reaching the origin within two steps is:
[ x 1 ( 0 ) x 2 ( 0 ) ] = [ 2 h 2 h 2 h h ] [ u ( 1 ) u ( 0 ) ]
When h > 0, the control quantity u ( 0 ) can be directly calculated by using [ x 1 ( 0 ) , x 2 ( 0 ) ] T as a known condition:
u ( 0 ) = x 1 ( 0 ) + 2 h x 2 ( 0 ) h 2
The obtained u = ( x 1 + 2 h x 2 ) / h 2 is the control quantity when the system state [ x 1 , x 2 ] T is within the quadrilateral a 2 + b 2 + a 2 b 2 (including the boundary) after removing the label “(0)”. To determine a 2 + b 2 + a 2 b 2 , the coordinates of four points a 2 + , b 2 + , a 2 , b 2 should be determined first. According to Equations (8), (9), (11) and (12), through k = 2 , the coordinate of each point is obtained as follows:
a 2 + = [ 3 h 2 l a u p 2 h l a u p ] , a 2 = [ 3 h 2 l a l w 2 h l a l w ] b 2 + = [ 2 h 2 l a u p + h 2 l a l w h l a u p h l a l w ] , b 2 = [ 2 h 2 l a l w + h 2 l a u p h l a l w h l a u p ]
In light of the coordinates of the four points, the equations of the four lines can be worked out to determine where the four sides of the quadrilateral a 2 + b 2 + a 2 b 2 are located. The equations of the lines where the four lines a 2 + b 2 + , a 2 b 2 , a 2 + b 2 , a 2 b 2 + are located can be expressed as Equations (17) to (20), respectively. See Figure 4.
x 1 + h x 2 = h 2 l a u p
x 1 + h x 2 = h 2 l a l w
x 1 + 2 h x 2 = h 2 l a u p
x 1 + 2 h x 2 = h 2 l a l w
According to the above analysis, when the system state variable [ x 1 , x 2 ] T meets the two conditions x 1 + h x 2 [ h 2 l a l w , h 2 l a u p ] , x 1 + 2 h x 2 [ h 2 l a u p , h 2 l a l w ] , the corresponding control quantity is:
u = ( x 1 + 2 h x 2 ) / h 2
After that, the situation when the minimum number of steps is larger than 2 is considered. If the initial point is on Γ a + , the state variable [ x 1 , x 2 ] T can return to the origin at the fastest speed when the control quantity u = l a u p is continuously applied. If the initial point is on Γ b + , then the state variable [ x 1 , x 2 ] T falls on Γ a + after the first step because of the control quantity Γ a + that is applied in the first step. Then, the state variable [ x 1 , x 2 ] T can return to the origin through the following ( k 1 ) steps when continuously applying the control quantity u = l a u p . For example, if the initial point of the system state is b 5 + , then it falls to the point a 4 + after the first step and then returns to the origin along the Γ a + . If the initial point is on Γ c + , then the state variable [ x 1 , x 2 ] T falls on Γ a + after one step as a result of the control quantity u = 0 that is applied in the first step. Then, the state variable [ x 1 , x 2 ] T can return to the origin point within the following ( k 1 ) steps through the continuous application of the control quantity u = l a u p . For example, if the initial point is located at c 5 + , then it falls to a 4 + after the first step and to the origin along the Γ a + . When the initial point is located at Γ ( ) , we obtain the same conclusion as above, which, therefore, will not be discussed repeatedly. Obviously, the control quantity of the first step should be u = l a u p under the circumstances that the initial point is below the polyline Γ a + Γ b , while if the initial point is in the region above Γ a Γ b + , then u = l a l w . See Figure 5.
Denote the shortest distance between the point p and the polyline Γ as d i s t ( p , Γ ) , the control quantity u would have the following characteristics when the starting point is between the two polylines Γ a + Γ b , Γ a Γ b + .
(1)
u [ l a l w , l a u p ] ;
(2)
u = 0 when [ x 1 , x 2 ] is on the polyline Γ c Γ c + ;
(3)
u > 0 when [ x 1 , x 2 ] is between polylines Γ a + Γ b and Γ c Γ c + ;
(4)
u < 0 when [ x 1 , x 2 ] is between polylines Γ c + Γ c and Γ a Γ b + ;
(5)
It fits the following Equations (22)–(24).
lim d i s t ( [ x 1 , x 2 ] , Γ ˜ a + Γ ˜ b ) 0 u = l a u p
lim d i s t ( [ x 1 , x 2 ] , Γ ˜ a Γ ˜ b + ) 0 u = l a l w
lim d i s t ( [ x 1 , x 2 ] , Γ ˜ c Γ ˜ c + ) 0 u = 0
If the state point is located in the region that is formed by Γ ˜ a + Γ ˜ b and Γ ˜ a Γ ˜ b + (as shown in Figure 4), the control quantity u can be calculated through interpolation according to the transverse distance between the state point and Γ ˜ c Γ ˜ c + . Then, the value of u can be calculated as shown below, where x ˜ 1 ( Γ ˜ , x 2 ) stands for the value of the abscissa x 1 that is at the corresponding ordinate x 2 on the curve Γ ˜ .
u = { l a u p x 1 x ˜ 1 ( Γ ˜ c Γ ˜ c + , x 2 ) x ˜ 1 ( Γ ˜ a + Γ b , x 2 ) x ˜ 1 ( Γ ˜ c Γ ˜ c + , x 2 ) , x 1 x ˜ 1 ( Γ ˜ c Γ ˜ c + , x 2 ) < 0 0 , x 1 x ˜ 1 ( Γ ˜ c Γ ˜ c + , x 2 ) = 0 l a l w x 1 x ˜ 1 ( Γ ˜ c Γ ˜ c + , x 2 ) x ˜ 1 ( Γ ˜ a + Γ b , x 2 ) x ˜ 1 ( Γ ˜ c Γ ˜ c + , x 2 ) , x 1 x ˜ 1 ( Γ ˜ c Γ ˜ c + , x 2 ) > 0
According to Equations (5)–(7), the point c 1 + and point c 1 are both located at the origin and overlap with each other on the phase plane. Point a 1 + overlaps with point b 1 on the phase plane; the ordinate values of c 2 + , a 1 + and b 1 on the phase plane are all h l a u p ; the ordinate values of point c 2 , a 1 and b 1 + on the phase plane are identical.
According to the content above, the boundaries of x ˜ 1 ( Γ ˜ c Γ ˜ c + , x 2 ) , x ˜ 1 ( Γ ˜ a + Γ ˜ b , x 2 ) and x ˜ 1 ( Γ ˜ c Γ ˜ c + , x 2 ) (as shown in Figure 4) and their respective specific expressions can be obtained as follows:
x ˜ 1 ( Γ ˜ a + Γ ˜ b , x 2 ) = { x 2 2 + h 2 l a u p 2 3 x 2 h l a l w + 2 x 2 h l a u p h 2 l a u p l a l w 2 l a l w , x 2 > l a u p x 2 2 h l a l w x 2 2 l a l w , x 2 < l a u p
x ˜ 1 ( Γ ˜ a + Γ ˜ b , x 2 ) = { x 2 2 h l a l w x 2 2 l a l w , x 2 < l a u p x 2 2 + h 2 l a l w 2 3 x 2 h l a u p + 2 x 2 h l a l w h 2 l a u p l a l w 2 l a l w , x 2 l a l w
x ˜ 1 ( Γ ˜ c Γ ˜ c + , x 2 ) = { x 2 2 3 h l a l w x 2 2 l a l w , x 2 0 x 2 2 3 h l a u p x 2 2 l a u p , x 2 < 0
A saturation fuction s a t ( x , δ ) is introduced, as shown in Algorithm 1:
Algorithm 1 sat
Input: x R , δ R +
Output: y
1 If | x | > δ then
2 y s i g n ( x )
3else
4 y x δ
5end
Based on a comprehensive consideration of the content above, we establish the improved asymmetric discrete time-optimal control synthesis function f m , which can be expressed as shown in Algorithm 2. Two variables l v u p and l v l w are introduced to stand for the maximum and minimum speed limits, respectively. Then, the improved asymmetric tracking-differentiator (ATD), which could constrain the speed of the tracked signal and set the maximum and minimum of the acceleration, is expressed as Algorithm 2.
The reference signal r ( t ) is defined as follows:
Algorithm 2 fm
Input: ε R , v R , l a u p R + , l a l w R , h R +
Output: ζ
1 c 1 x 1 + h x 2 ;   c 2 x 1 + 2 h x 2
2 If   c 1 h 2 l a l w & c 1 h 2 l a u p   then
3 ζ x 1 + 2 h x 2 h 2
4else
5 d x 1 x ˜ 1 ( Γ ˜ c c + , v )
6   If   d < 0   then
7 ζ l a u p s a t ( d , x ˜ 1 ( Γ ˜ c c + , v ) x ˜ 1 ( Γ ˜ a + b , v ) )
8  else
9 ζ l a l w s a t ( d , x ˜ 1 ( Γ ˜ a b + , v ) x ˜ 1 ( Γ ˜ c c + , v ) )
10  end
11end
r ( t ) = { 1 , t [ 0 , 2 ) 1 , t [ 2 , + )
At the initial moment, x ( 0 ) = 0 , v ( 0 ) = 0 , the upper limit of the available acceleration is l a u p = 3 and its lower limit is l a u p = 3 . Apart from that, the speed limits are l v u p = 0.5 and l v l w = 1 , respectively. The simulation curves that are shown in Figure 6 can be obtained through computer simulation with a length of 6 s and a simulation step of 2.5 × 10 3 s.
It can be found from the Algorithm 3 structure and simulation curves (Figure 1 and Figure 5) that ATD can exert various limitation values on the change rate v and acceleration ζ of the tracked signal when the tracked signal x has a second-order derivative and there is no overshoot in the step response. To generate the reference trajectory of plane motion, the asymmetric tracking differentiator is introduced into the helicopter guidance system, and l a u p can be determined in light of the helicopter’s overload that is available. Apart from that, taking the demands of the deceleration process into consideration, l a l w can also be given. The values l v u p and l v l w can be determined according to the certain requirements of the flight velocity, which would improve the control of the flight velocity and realize a smooth descent trajectory. The value of l v u p can be determined by the specific restraints on the maximum climb rate and l v l w according to the limitations on the maximum value of the available descent rate, which is used to realize the proper control of the flight speed along the altitudinal direction when an asymmetric tracking differentiator is applied for the generation of the vertical reference track.
Algorithm 3 ATD
Input: r ( k ) , l v u p , l v l w , l a u p , l a l w , Δ t , h , x ( k 1 ) , v ( k 1 )
Output: x ( k ) , v ( k ) , ζ ( k )
1 If   v ( k 1 ) > l v u p   then
2 v ( k ) v ( k 1 ) + Δ t l a l w ;   ζ ( k ) l a l w
3 else if   v ( k 1 ) < l v l w   then
4 v ( k ) v ( k 1 ) + Δ t l a u p ; ζ ( k ) l a u p
5else
6 e x x ( k 1 ) r ; ζ t e m p f m ( e x , v ( k 1 ) , l a u p , l a l w , h ) ;
v t e m p < v ( k 1 ) + Δ t ζ t e m p
7   If   v t e m p > l v u p   then
8 v ( k ) l v u p ; ζ ( l v u p v ( k 1 ) / Δ t )
9  else if vtemp < vvlw then
10 v ( k ) l v l w ; ζ ( l v l w v ( k 1 ) / Δ t )
11  else
12 v ( k ) v t e m p ; ζ v t e m p
13  end
14end
15 x ( k ) x ( k 1 ) + Δ t v ( k )

3. Vertical Channel Guidance

The structure of the altitude channel guidance subsystem is shown in Figure 7. The navigation system gives the motion information of the vehicle h v v e h , v v v e h , a v v e h .
The reference trajectory generator, which is mainly composed of an asymmetric tracking differentiator (ATD), is located at the first layer. The target height can be obtained from static waypoint information, dynamic route-tracking information, or dynamic targets, including moving platforms. The target height is constant for a single static waypoint, and it will change when the waypoint transforms. The target height signal is basically a step signal. For the changing route height, the target height can be obtained according to the height of the waypoints at both ends of the defined route and interpolation of the aircraft position. At this point, ATD is treated as an input with the target height h v t , and the output of ATD is taken as the reference trajectory, including the reference height h v r , reference climb rate v v r and reference vertical acceleration a v t . See Figure 8.
Two types of moving targets are considered as research objects with the aim of producing a trajectory by ATD. The first type refers to moving take-off and landing platforms that are equipped with motion sensors (GNSS, IMU, etc.), the docking target aircraft and tracked aircraft are in formation flight. These target carriers can directly transmit altitude motion information including target altitude and vertical velocity to following aircraft through the data link, which can be used for guidance instruction generation. The other kind of moving targets need to be measured by airborne equipment (camera, seeker, etc.) to obtain the target motion information. In this case, there are a few kinds of target motion information, usually accompanied by various measurement noise. ATD has a certain signal-filtering function and generates a low-noise reference trajectory that matches the dynamic characteristics of the aircraft according to the dynamic capability of the aircraft ( l v u p , l v l w , l a u p , l a l w , etc.), as is shown in Figure 9.
The second layer in Figure 6 compares the estimated values of altitude, climb rate and acceleration along altitude direction of the aircraft output by the navigation system with the reference signals; it then calculates the errors between each signal and gives feedback and finally generates collective pitch control instructions, which are output to the attitude control system. Since the output of the reference trajectory generator on the first layer contains position information h v r , velocity information v v r and acceleration information a v r along the altitudinal direction, the controller on the second layer can give error-rate feedback without difference calculation, as a result of which the introduction of high-frequency noise can be avoided and the system bandwidth is improved.
According to the relationship between the collective pitch of the main rotor and its pull force and the designed inertial parameter estimation mechanism of the fuselage, this paper introduces a PID controller that is equipped with a direct feed to give error feedback and then utilizes it generate the collective pitch instructions:
θ 0 a p = K F v a v r + K P v ( h v r h v v e h ) + K I v 0 t ( h v r h v v e h ) d τ + K D v ( v v r v v v e h )
Feedforward can be given by setting K F v > 0 when the noise of the reference acceleration signal is low. It can be found that the relationship between the collective pitch input of the helicopter’s main rotor and the tension generated is relatively clear. Under the condition that the main rotor parameters and the nominal mass of the aircraft m 0 v e h are already known, the gain coefficient K F v of the direct feed can be directly calculated:
K F v = 6 m 0 v e h n b p a c R ( Ω R ) 2

4. Horizontal Channel Guidance

Equal to the altitudinal channel guidance subsystem, the guidance subsystem in the horizontal plane can also be divided into two layers. See Figure 10. The navigation system gives the motion information of the vehicle p N v e h , v N v e h , a N v e h , p E v e h , v E v e h , a E v e h .
Since there are two dimensions in the plane motions, the first-layer ATD plane trajectory generator consists of two correlated asymmetric tracking differentiators. The ATD plane trajectory generator takes the position information of the waypoints or target points as input and generates the reference trajectory, including position information [ p N r , p E r ] T , speed information [ v N r , v E r ] T and acceleration information [ a N r , a E r ] T , according to the preset limit conditions on velocity and acceleration. Subscripts N and E of each variable correspond to the components of local northern and eastern coordinates on the axes O I X I and O I Y I , respectively. The second-layer attitude command generator uses the aircraft motion information [ p N v e h , p E v e h ] T , [ v N v e h , v E v e h ] T , [ a N v e h , a E v e h ] T given by the navigation system to compare it with the reference trajectory for error feedback, and then generates attitude instructions φ g d in roll, θ g d in pitch, and yaw angular speed instruction ψ g d , which are then output to the attitude control system.
In the process of autonomous flight of unmanned helicopters, common targets can be divided into three types: point, straight-line, or circle. In the autonomous landing process, point-tracking mode is mainly adopted. The structure of the first-layer reference trajectory generator that corresponds to the three targets is different, and this is also the same case for the attitude command generator. The trajectory generators of these three targets are introduced first, and then the common attitude command generators are described.

4.1. ATD Trajectory Generator for Points

This section corresponds to the first layer in Figure 10, which constructs the reference trajectory generator for point targets based on ATD. The target point in the plane O I X I Y I of the reference coordinate system is A, and its position array is [ p N A , p E A ] T ; the center of mass of the helicopter is U , and its position array is [ p N v e h , p E v e h ] T . The positional error matrix is [ e N , e N ] T = [ p N A p N v e h , p E A p E v e h ] T . See Figure 10. Denote the velocity of the helicopter’s motion speed vector in the plane O I X I Y I as [ v N v e h , v E v e h ] T .
Two ATDs are used to generate the reference trajectory. ATDs in the O I X I (north–south) direction and in the O I Y I (east–west) direction are, respectively, denoted as ATDN and A T D E . At the initial moment, k = 0 , initialize the A T D N with the condition of v A T D N ( 0 ) = e N ( 0 ) ,   v A T D N ( 0 ) = v N v e h ( 0 ) ; and initialize the A T D E with x A T D E ( 0 ) = e E ( 0 ) and v A T D E ( 0 ) = v E v e h ( 0 ) . During the operation of the guidance system, the outputs of ATDN and ATDE constitute the reference trajectory. When the target point is static, the reference trajectory is shown as Equations (32) to (34):
[ p N r ( k ) p E r ( k ) ] = [ p N A x A T D N ( k ) p E A x A T D E ( k ) ]
[ v N r ( k ) v E r ( k ) ] = [ v A T D N ( k ) v A T D E ( k ) ]
[ a N r ( k ) a E r ( k ) ] = [ ζ A T D N ( k ) ζ A T D E ( k ) ]
If the point A is a dynamic target (mobile takeoff and landing platform, docking aircraft, etc.), its motion state is known; then, the component arrays of velocity and acceleration in the plane O I X I Y I are, respectively, [ v N A , v E A ] T and [ a N A , a E A ] T . Equations (33) and (34) are transformed as follows:
[ v N r ( k ) v E r ( k ) ] = [ v N A ( k ) v A T D N ( k ) v E A ( k ) v A T D E ( k ) ]
[ a N r ( k ) a E r ( k ) ] = [ a N A ( k ) ζ A T D N ( k ) a E A ( k ) ζ A T D E ( k ) ]
The ground-speed limit during current flight segment is v lmt , the maximum allowable acceleration is a max , and the minimum allowable acceleration is a min . The limits of speed and acceleration of A T D N and A T D E are adjusted in real time according to the position error between reference position [ p N r ( k ) , p E r ( k ) ] T and target point [ p A ( k ) , p A ( k ) ] T during operation, as is shown in Equations (37) to (41).
[ l v u p A T D N l v u p A T D E ] = [ | p N A ( k ) p N r ( k ) | v lmt p N A ( k ) p N r ( k ) , p E A ( k ) p E r ( k ) T | p E A ( k ) p E r ( k ) | v lmt p N A ( k ) p N r ( k ) , p E A ( k ) p E r ( k ) T ] , [ l v l w A T D N l v l w A T D E ] = [ l v u p A T D N l v u p A T D E ]
l a u p A T D ( ) = { l ˜ a u p A T D ( ) , p ( ) A ( k ) p ( ) r ( k ) < 0 l ˜ a l w A T D ( ) , p ( ) A ( k ) p ( ) r ( k ) 0
l a l w A T D ( ) = { l ˜ a u p A T D ( ) , p ( ) A ( k ) p ( ) r ( k ) 0 l ˜ a l w A T D ( ) , p ( ) A ( k ) p ( ) r ( k ) < 0
[ l ˜ a u p A T D N l ˜ a u p A T D E ] = [ | p N A ( k ) p N r ( k ) | a max [ p N A ( k ) p N r ( k ) , p E A ( k ) p E r ( k ) ] T | p E A ( k ) p E r ( k ) | a max [ p N A ( k ) p N r ( k ) , p E A ( k ) p E r ( k ) ] T ]
[ l ˜ a l w A T D N l ˜ a l w A T D E ] = [ | p N A ( k ) p N r ( k ) | a min [ p N A ( k ) p N r ( k ) , p E A ( k ) p E r ( k ) ] T | p E A ( k ) p E r ( k ) | a min [ p N A ( k ) p N r ( k ) , p E A ( k ) p E r ( k ) ] T ]
When the target point changes, the speed and acceleration signals in the reference trajectory are the superposition of the speed and acceleration of the target and the ATD output and should be adjusted appropriately when setting v l m t , a max and a min .

4.2. ATD Trajectory Generator for Lines

This section corresponds to the first layer in Figure 10, which constructs the reference trajectory generator for point targets based on ATD. The target point in the plane of the reference coordinate system O I X I Y I is A, and the position array is [ p N A , p E A ] T ; the center of mass of the helicopter is point U , and the position array is [ p N v e h , p E v e h ] T . The positional error matrix is [ e N , e E ] T = [ p N A p N v e h , p E A p E v e h ] T . See Figure 11. Denote the velocity of the helicopter’s motion vector in the plane O I X I Y I as [ v N v e h , v E v e h ] T .
The e t , e n in the Figure 12 can be calculated according to the expressions as follows:
e t = e N A B e N U B + e E A B e E A B [ e N A B , e E A B ] T
e n = e N A B e E U B e E A B e N A B [ e N A B , e E A B ] T
The velocity array of the helicopter in plane O I X I Y I is [ v N v e h , v E v e h ] T , and the change rates of e t , e n versus time e ˙ t , e ˙ n , are, respectively:
e ˙ t = v N v e h e N U B + v E v e h v E A B [ e N A B , e E A B ] T
e ˙ n = v N v e h e E U B v E v e h v N A B [ e N A B , e E A B ] T
Two asymmetric tracking differentiators, A T D t and A T D n , are used to deal with tangential and transverse motions, respectively. The initial state values of A T D t and A T D n are set as x A T D t ( 0 ) = e t ( 0 ) , v A T D t ( 0 ) = e ˙ t ( 0 ) , x A T D n ( 0 ) = e n ( 0 ) and v A T D n ( 0 ) = e ˙ n ( 0 ) . The reference trajectory of line tracking is shown in Equations (46) to (48).
[ p N r ( k ) p E r ( k ) ] = [ p N B x A T D n ( k ) e N A B [ e N A B , e E A B ] T + x A T D t ( k ) e E A B [ e N A B , e E A B ] T p N B x A T D n ( k ) e E A B [ e N A B , e E A B ] T x A T D t ( k ) e N A B [ e N A B , e E A B ] T ]
[ v N r ( k ) v E r ( k ) ] = [ v A T D n ( k ) e N A B [ e N A B , e E A B ] T + v A T D t ( k ) e E A B [ e N A B , e E A B ] T v A T D n ( k ) e E A B [ e N A B , e E A B ] T v A T D t ( k ) e N A B [ e N A B , e E A B ] T ]
[ a N r ( k ) a E r ( k ) ] = [ ζ A T D n ( k ) e N A B [ e N A B , e E A B ] T + ζ A T D t ( k ) e E A B [ e N A B , e E A B ] T ζ A T D n ( k ) e E A B [ e N A B , e E A B ] T ζ A T D t ( k ) e N A B [ e N A B , e E A B ] T ]
The priority is given to lateral motion in the allocation of speed and acceleration constraints so that the helicopter gives the priority to reducing the lateral error relative to the linear route and then moves along a straight line to the target. Denote the ground speed limit as v l m t . The speed limit values of A T D n , l v u p A T D n = v l m t and l v l w A T D n = v l m t , are set according to the maximum limit in each operation cycle. After the A T D n is updated, set the A T D t speed limit according to v l m t and v A T D n ( k ) , as is shown in Equation (49).
l v u p A T D t = v l m t 2 ( l v u p A T D n ) 2 , l v / w A T D t = l v u p A T D t
Acceleration limits of A T D n and A T D t are set according to airline requirements.

4.3. ATD Trajectory Generator for Circles

This section corresponds to the first layer in Figure 10, which constructs the reference trajectory generator for the circular targets based on ATD. A circular route in plane O I X I Y I is defined by a central point and a radius. The position array of point A is [ p N A , p E A ] T , and the position array of the helicopter’s center of mass (point U ) is [ p N v e h , p E v e h ] T . Denote the radial error from U to the circle as e r , e r = [ p N v e h p N A , p E v e h p E A ] T r . When e r > 0 , the helicopter is outside the target circle; at e r = 0 , the helicopter is exactly on the target circle; if e r < 0 , the helicopter is within the target circle. The angle between the line A U and due north is ϑ , and by the definition of the coordinate system O I X I Y I Z I , the clockwise direction is positive.
The ideal condition for tracking circular routes in Figure 13 is e r = 0 , d θ / d t = v l m t / r , among which v l m t is the speed limit. An asymmetric tracking differentiator A T D r is used to generate radial motion of the helicopter relative to the target circle, the tangential motion is determined according to the geometric relationship, and the reference trajectory is synthesized. The component array of helicopter ground velocity in plane O I X I Y I is [ v N v e h , v E v e h ] T is , and the change rate of radial error e r versus time can be expressed as:
e ˙ r = s i g n ( e r ) v N v e h ( p N v e h p N A ) + v E v e h ( p E v e h p E A ) [ p N v e h p N A , p E v e h ( k ) p E A ] T
Initialize the A T D r with x A T D r ( 0 ) = e r ( 0 ) , v A T D r ( 0 ) = e ˙ r ( 0 ) as the initial values. The generated reference trajectory information is shown in Equations (51) to (53).
[ p N r ( k ) p E r ( k ) ] = [ cos ( θ r ( k ) ) ( x A T D r ( k ) + r ) sin ( θ r ( k ) ) ( x A T D r ( k ) + r ) ]
[ v N r ( k ) v E r ( k ) ] = [ v A T D r ( k ) ( p N v e h p N A ) e r + r sin ( θ r ( k ) ) v θ r ( k ) ( e r + r ) v A T D r ( k ) ( p E v e h p E A ) e r + r + cos ( θ r ( k ) ) v θ r ( k ) ( e r + r ) ]
[ a N r ( k ) a E r ( k ) ] = [ [ ζ A T D r ( k ) v θ r ( k ) v θ r ( k ) ( e r + r ) ] ( p N v e h p N A ) e r + r sin ( θ r ( k ) ) a θ r ( k ) ( e r + r ) [ ζ A T D r ( k ) v θ r ( k ) v θ r ( k ) ( e r + r ) ] ( p E v e h p E A ) e r + r + cos ( θ r ( k ) ) a θ r ( k ) ( e r + r ) ]
where θ r , v θ r and a θ r are, respectively, the reference azimuth angle relative to point A of point U , reference angular velocity and reference angular acceleration. When the guidance algorithm runs, v θ r is firstly determined by the route speed limit v l m t and the output of A T D r , as shown in Equation (54). Then, get the θ r , a θ r by accumulation and difference calculation. If the route direction is clockwise, then take a positive sign in Formula (54); otherwise use a negative one.
v θ r ( k ) = { ± v l m t 2 ( k ) ( v A T D r ( k ) ) 2 e r + r , | v A T D r ( k ) | [ 0 , v l m t ) 0 , | v A T D r ( k ) | [ v l m t , + )

4.4. Attitude Angle Command Generation

This section corresponds to the second layer in Figure 10: an attitude instruction generator is designed to track the reference trajectory. The reference plane trajectory information p ( ) r , v ( ) r , a ( ) r is obtained by the mechanism described above, and then, compare it with the helicopter motion information p ( ) v e h , v ( ) v e h , a ( ) v e h given by the airborne navigation system. The motion state error is converted into the fuselage coordinate system O b X b Y b Z b , and the attitude angle instructions are generated by the error feedback mechanism. In the process of autonomous flight of unmanned helicopters, longitudinal overload can be generated by adjusting the pitch angle, and lateral overload can be generated by adjusting the roll angle.
The PID controller with a direct feed component is selected as the error feedback mechanism in this paper. Note the yaw angle of the fuselage as ψ , and the error feedback calculation formula is expressed as follows:
θ g d = ( K F x a x r + K P x e p x + K I x 0 t e p x d τ + K D x e v x ) φ g d = K F y a y r + K P y e p y + K l y 0 t e p y d τ + K D y e v y )
The components of each system are calculated as follows according to the coordinate transformation rules:
[ ( ) x r ( ) y r ] = [ cos ( ψ ) sin ( ψ ) sin ( ψ ) cos ( ψ ) ] [ ( ) N r ( ) E r ]
In most cases, the yaw motion of an unmanned helicopter is controlled separately. In the process of autonomous flight, various modes such as route alignment, track alignment, pointing target and pointing azimuth can be selected according to the actual requirements of the route, among which the most-used modes are route alignment and track alignment. In the computer control system programmed with C language, the reference yaw Angle ψ r is calculated by Formula (57) and Formula (58), respectively.
ψ r ( k ) = a tan ( v E r ( k ) , v N r ( k ) )
ψ r ( k ) = a tan ( v E v e h ( k ) , v N v e h ( k ) )
This paper uses proportional error feedback to generate reference yaw angular velocity:
ψ ˙ r = K ψ ( ψ r ( k ) ψ ( k ) )
In order to deal with the abrupt change of the command yaw angle during leg transformation, reduce the influence of velocity measurement noises and limit the change rate of the maximum command yaw angle, an asymmetric tracking differentiator A T D ψ is used for continuous tracking ( r A T D ψ ( k ) = ψ ˙ r ( k ) ) on ψ ˙ r . Take the output of A T D ψ as the command yaw rate ψ ˙ g d output by the guidance system:
ψ ˙ g d ( k ) = x A T D ψ ( k )

5. Mathematical Simulations of the Guidance Law

MATLAB is a high-level language for scientific and engineering computing. It integrates scientific computing, automatic control, signal processing, neural networking and image processing and has high programming efficiency. The rich function library in the Simulink toolbox can easily build mathematical models and conduct non--time simulation. The nominal inertia parameters of unmanned helicopter are shown in Table 1. The assembly drawing of the fuselage is shown in Figure 14.
In the simulation environment, the update rate of the guidance algorithm is set at 20 Hz, and the update rate of the attitude control and dynamics model is set at 100 Hz. The delay of the navigation position information received by the guidance module is 0.1 s, and the delay of the speed information is 0.02 s. In the reference coordinate system O I X I Y I Z I , the wind speed along axis O I Z I is 0, and the wind speed along the axis O I X I is 2 m/s. The wind speed along axis O I Y I is formed by the superposition of constant components and intermittent components. Some characteristics of sea waves under different sea conditions used in the simulations are shown in Table 2. The constant wind speed is 3 m/s; the intermittent wind speed is 5 m/s; the cycle is 5 s, and the duty cycle is 50%. The maximum forward flight speed of the helicopter is 20 m/s. The assumed 5 m/s wind field is relatively large for the helicopter.
Denote the position array of the helicopter relative to the reference coordinate as P I v e h = [ p N v e h , p E v e h , p D v e h ] T and the speed array as V I v e h = [ v N v e h , v E v e h , v D v e h ] T .
The following three conditions, namely altitude-channel guidance, line tracking and circular route tracking, are simulated.

5.1. Altitude Control

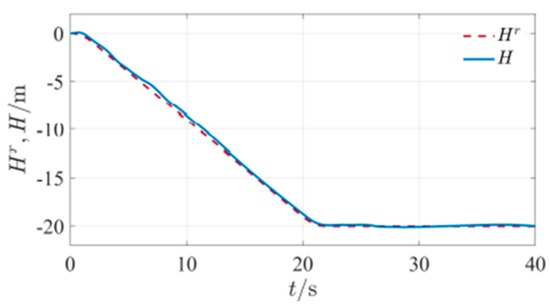
The simulations on the vertical guidance law that is proposed above are carried out. At the initial moment, the helicopter is located at the origin of the reference coordinate system O I X I Y I Z I and its initial velocity is 0. Set the altitude of the helicopter relative to O I X I Y I as H , H = p D v e h . After the simulation starts, the helicopter flies north at the target speed of 4 m/s and climbs to the target altitude H r = 30 m at the maximum climb rate of 2 m/s. After reaching the target altitude and maintaining it for a while, the helicopter descends towards the target altitude H r = 20 m at the maximum rate of descent 1 m/s.
Firstly, use PID control algorithm and set K P v = 0.02 , K I v = 0.01 and K D v = 0.02 . The evolution of altitude versus time is shown in Figure 15:
Although the requirement of climbing or descending at the preset rate can also be satisfied by the PID controller, it can be easily found that there is still obvious overshoot at the end of the ascending and descending stages as a result of insufficient reference trajectory information [23,24], particularly the overshoot during descent, as shown in the partially enlarged drawing, which can lead to a collision between the helicopter and the landing platform when PID is introduced into the autonomous landing process, severely influencing safety.
The ATD altitude guidance algorithm is used to set speed limits as l v u p = 2.0 , l v l w = 1.0 ; the acceleration limit is set as l a u p = 0.5 , l a l w = 0.5 . The feedback gain and flight process remain unchanged. The evolution of the corresponding heigh versus time is shown in Figure 16.
Since ATD generates the reference trajectory according to the second-order system optimal control process, which includes definite acceleration and deceleration stages, the reference trajectory contains speed and acceleration information, and the transition process is more reasonable. As can be seen from the partially enlarged drawing, there is no visible overshoot at the end of the descent stage, which makes it easier to ensure flight safety in autonomous landing applications. Set the altitudinal velocity of the helicopter, i.e., the change rate of altitude, as v H = v D v e h . The evolution of reference velocity v H R along the altitudinal direction, generated by v H and ATD, versus time is shown in Figure 17. It can be found that the altitudinal guidance algorithm based on ATD can effectively limit the tracking of the reference speed and trajectory according to the preset acceleration, which results in a tiny amount of tracking error and good performance during the transition process.

5.2. Linear Route Tracking

Nonlinear approaches to path-following problem can be summarized as follows: (1) optimal offset-free design [25,26,27], (2) vector-field-based design [28], (3) error-elimination-based design [29,30,31] and (4) virtual-target-based design [32,33,34,35]. The guidance algorithm most used in industry is in the form of virtual-target-based. The most popular virtual-target-based algorithm for solving fixed-wing lateral navigation problems is the L1 guidance law [32], which is a benchmark algorithm for open-source autopilots (e.g., the Pixhawk Autopilot [36]). A guidance system based on these nonlinear guidance algorithms combined with the ATD can achieve better guidance accuracy.
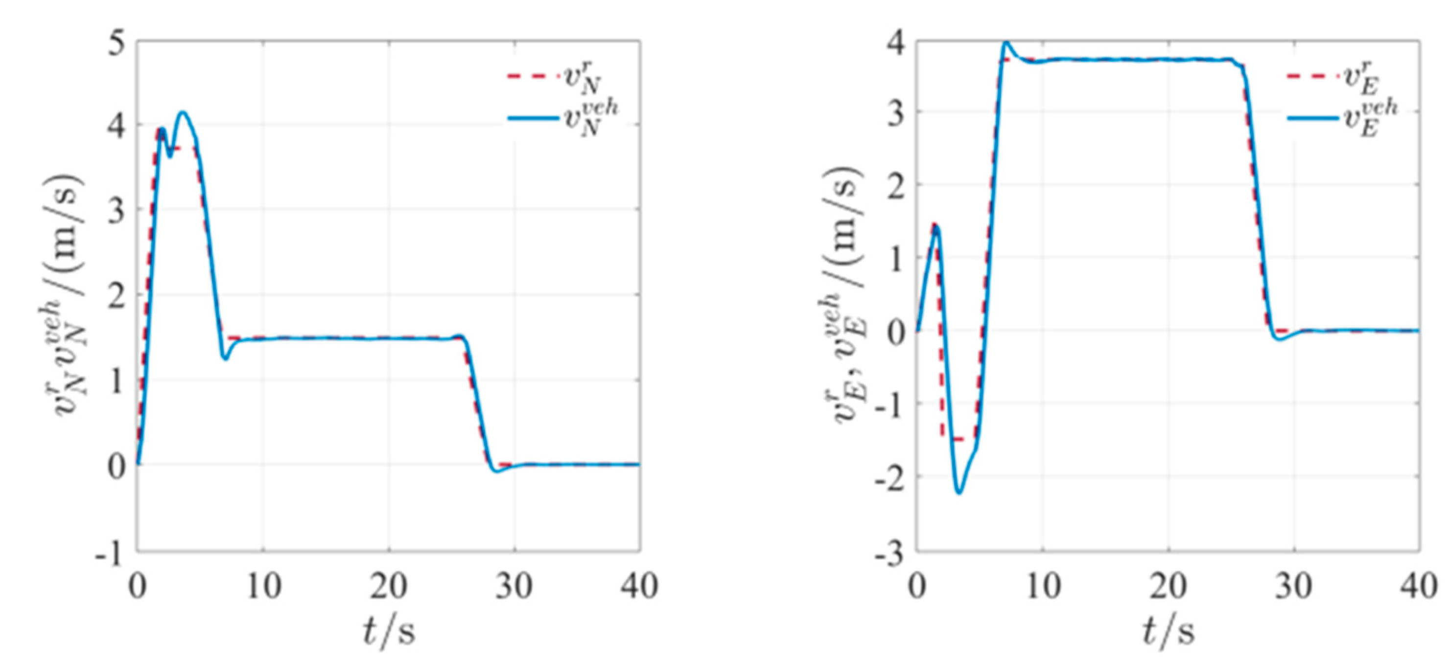
The linear course in a reference coordinate system OIXIYIZI is defined by two points A and B. The position arrays of points A and B are, respectively, P I A = [ 0 , 50 , 0 ] T and P I B = [ 50 , 75 , 30 ] T . A, B are respectively the starting point and the destination of the flight path. At the beginning of the simulation, the helicopter is located at O I with an initial velocity of 0. Each attitude angle is 0, and the simulation lasts for 40 s. Make the fuselage front straight on the flight path and preset the flight velocity as 4 m/s. Set K F x = K F y = 0.13 , K P x = K P y = 0.2 , K D x = K D y = 0.05 . The helicopter flight path obtained by the basic PID guidance law is shown in Figure 18. It can be found that due to the large feedback gain, there is a large lateral overshoot at the end of the route that is close to the target. Further, it can be seen from the partially enlarged drawing that there is also an apparent overshoot at the end of the target route AB that is near point B.
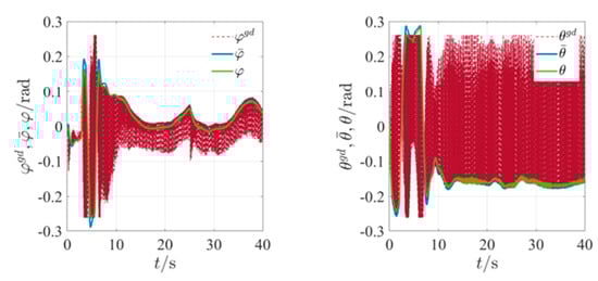
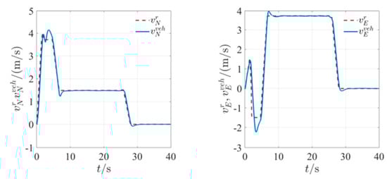
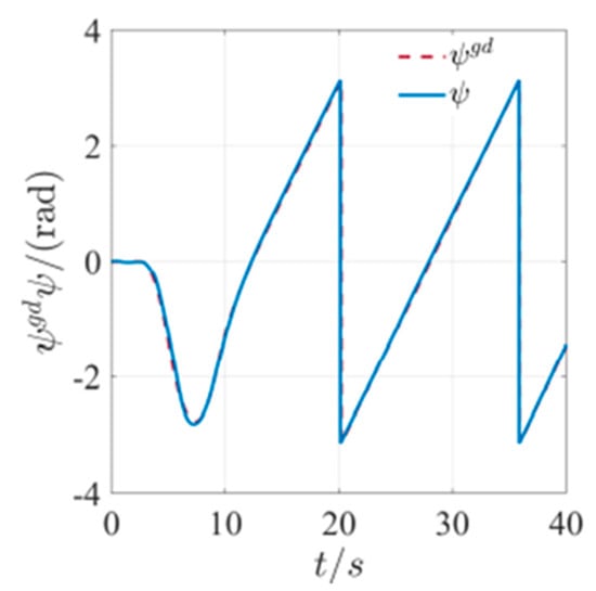
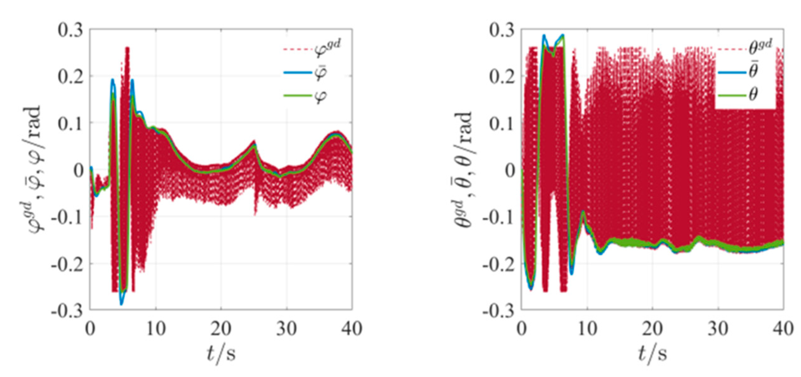
Choose to apply ATD guidance law under the condition where the error feedback gain is unchanged. The upper limits of ground velocity and horizontal acceleration are, respectively, v l m t = 4 m/s and a l m t = 2 m/s2. The fuselage fronts straight onto the track, and the command limits of roll angle and pitch angle are set as ± 0.26   rad . The directional angular velocity limit is set as ± 3.5   rad/s , and the angular acceleration limit is set as ± 3.0 rad/s2. In the plane O I X I Y I , the reference trajectory [ p N r , p E r ] T generated by the line AB and the ATD guidance mechanism as well as the flight track of the helicopter [ p N v e h , p E v e h ] T are shown in Figure 19. According to Figure 18, it can be found that because the reference trajectory contains clear acceleration and deceleration processes using the ATD guidance law proposed in this paper, overshoot of the aircraft is significantly reduced when it is close to the flight path and close to the end of it, and it apparently improves the quality of the transition process. The evolution of reference height H T and aircraft height H versus time are shown in Figure 20, and the reference trajectory velocity and helicopter velocity in both directions O I X I and O I Y I , v N r , v N v e h and v E r , v E v e h are shown in Figure 21. The command attitude angle output by the guidance system θ g d , φ g d , the “real” attitude angle obtained from the six-degree-of-freedom (DOF) rigid body dynamics calculation θ ¯ , φ ¯ , and the estimated attitude angle given by the attitude estimation system θ , φ , are shown in Figure 22. The command yaw rate ψ r and the body angular velocity ω z v e h along axis O b Z b that are output by the guidance system are shown in Figure 23.
It can be found that from 0 to 3 s, the helicopter draws close to the route along the reference trajectory; from 3 to 5 s, the helicopter decelerates in the normal direction of the route A B , accelerates tangentially along the route, and adjusts its orientation right to the flight path. The processes of normal deceleration along the route, tangential acceleration along the route, and adjustment of orientation occurs simultaneously. At this stage, the fuselage is subject to a complicated overload condition, and the direction changes rapidly. There is a saturation phenomenon in reference attitude quality output by the guidance system in roll and pitch channels.
There are also obvious errors (the absolute value is less than 2.0°) in the attitude estimation mechanism when subject to a complex overload. From 0 to 5 s, the helicopter mainly moves along the normal direction of the flight path and climbs rapidly from the initial position to the height (about 5.5 m) corresponding to the projection point of the helicopter on the flight path. At 7 s, the heading adjustment basically ends; meanwhile, the normal deceleration motion and tangential acceleration process along the route A B basically end, and the attitude estimation error rapidly decreases to a low level. Then, the helicopter flies to point B along the route A B and increases altitude. At about 25 s, the helicopter approaches the end of course B and decelerates at a positive pitch angle, while the altitudinal motion also begins to decelerate. At this time, although the absolute value of motion acceleration is large (approximately 4 m/s2 in the horizontal direction and 1 m/s2 in the altitudinal direction), the direction is basically fixed, and the attitudinal estimation error is small (the absolute value is less than 0.6°). At 29 s, the deceleration maneuver is over, and the helicopter hovers over point B .
In the whole flight process, the normal errors (in plane O I X I Y I ) of the reference waypoints generated by the ATD trajectory generator and the helicopter route relative to the target A B are e n i ; the evolution of e n versus time is shown in Figure 24. It is positive on the right side of route A B and negative on the left side.
As can be seen from the partially enlarged drawing, the reference track generated by ATD itself does not pass the target route A B ; the flight track generates a normal error of up to −0.18 m at the end of approaching the route as a result of various errors and interference factors. Further, it is assumed that the approaching process towards the route is over when t = 8 s. From t = 8 s to the end of the simulations, the first norm and the second norm of the normal error sequence e n are, respectively, e n 1 = 99.17 m and e n 2 = 2.56 m, the total number of samples is 3200, and the average value of the absolute value of the corresponding normal error is 0.03 m.

5.3. Circular Route Tracking

The coordinate array of the center of the target circular route in the coordinate system O I X I Y I Z I is P I A = [ 0 , 0 , 20 ] T , the radius is r = 10 m, and the direction is along the positive direction of axis O I Z I . The helicopter is located at O I , the initial velocity is 0, and each attitude angle is 0 at the beginning of the simulation, which lasts for 40 s. The target flight velocity is set as 4 m/s, and the feedback gain remains unchanged. The aircraft trajectory generated by the PID guidance law is shown in Figure 25. It is obvious that the changes of speed and overload on circular routes are more complicated than those on linear routes due to the large feedback gain. The apparent fluctuations of motion speed led to an undesirable flight path of the aircraft when PID guidance law is used.
Use the ATD guidance law proposed in this paper. The ATD reference trajectory generator is introduced under the condition of constant feedback gain. Set the upper limit of ground speed as v l m t = 4 m/s, and the upper limit of acceleration is a l m t = 2 m/s2. The limit of the roll angle and pitch angle commands is ±0.26 rad. The reference trajectory [ p N R , p E r ] T and helicopter flight trajectory [ p N v e h , p E v e h ] T in plane O I X I Y I are shown in Figure 26. As can be seen from Figure 25, after ATD guidance law is used, the trajectory of the aircraft is closer to the target route, and the motion state is significantly improved. Reference altitude H r and helicopter altitude H are shown in Figure 27. The reference speed on axes O I X I and O I Y I , namely v N r and v E r , and the helicopter’s “real” speed v N v e h and v E v e h , are shown in Figure 28. The command attitude angle generated by the guidance system, φ g d , θ g d , the “real” attitude angle of the helicopter, φ ¯ , θ ¯ and the estimation value of the attitude angle φ , θ are shown in Figure 29. When following this circular route, the fuselage is orthogonal to the track and the center of the circle. The command yaw angle and the “true” yaw angle are shown in Figure 30.
The simulation starts with the helicopter flying from the center to the periphery. From t = 3 s, the radial motion decelerates, circumferential motion accelerates, and the helicopter begins to adjust its orientation, ensuring the fuselage rotates to the center of the circle. During this process, the fuselage moves in the pitch, roll and yaw directions, and, meanwhile, its height is reducing. The movement state is complicated. Obvious position radial error and velocity error are generated due to the saturation of the command roll angle and command pitch angle. After the end of axial acceleration, the motion state of the body tends to be stable, and the radial error becomes smaller. In altitude, the descent of the body begins at t = 0 s and ends at roughly t = 22 s. During this period, with the motion of the fuselage, the angle between the air flow and the main rotor changes constantly with the movement of the body, leading to continuous changes in the inflow ratio, which further affects the tension of the main rotor and produces a relatively apparent altitude tracking error. After the altitude descent process, the height-tracking error decreases, but a trend can be still seen from Figure 26 that the altitude tracking error changes periodically with circumferential motion.
During the whole simulation process, ATD generates the radial errors e r i of the reference trajectory and the helicopter’s circular flight path relative to the target, and the evolution of e r versus time is shown in Figure 31. It can be found that under such conditions, for the circular target route, there is still no overshoot in the transition trajectory generated by the ATD trajectory generator. The maximum radial error of the actual path appears in the adjustment stage of the route close to the target, which is the same as with the linear tracking. The transition process is assumed to end at t = 7 s. From t = 7 s to the end of the simulation, the first norm and the second norm of the radial error sequence are, respectively, e r 1 = 214.47   m ,   e r 2 = 4.60   m , the total sampling number is 3300, and the mean of the absolute value of the radial error is 0.06 m.

6. Simulations of Autonomous Landing on Mobile Platforms

6.1. Autonomous Landing on Mobile Land Platform

Take the landing scenario of a movable platform moving uniformly and rectilinearly on land or a smooth water surface into consideration.
Through looking up the literature [37], the whole process of landing on a mobile platform is divided into the approaching stage, the following stage and the landing stage. During the approaching stage, the unmanned helicopter departs from its original flight path and approaches the target mobile platform. There are mainly three existing approaches: lateral approaching, windward approaching and vertical approaching. In lateral approaching, the heading of the unmanned helicopter is consistent with that of the moving platform, and the connection line between the scheduled landing point and the center of mass of the unmanned helicopter is perpendicular to the motion direction of platform. During windward approaching, the nose of the unmanned helicopter is aligned with the scheduled landing point, and its direction is parallel to the downwind direction on the moving platform. In vertical approaching, the direction of the nose is perpendicular to the motion direction of the moving platform and is directly opposite to the scheduled landing point. Through consulting the literature [38], it is found that lateral approaching is more favorable for the realization of a safe landing process, so lateral approaching is adopted in the approaching stage of the simulation, as shown in Figure 32. In the following stage, the unmanned helicopter moves with the moving platform with an altitude of about twice the length of the rotor above the scheduled landing point, as shown in Figure 33, and determines the appropriate landing time according to the motion of itself and the platform. When proper landing timing comes, the unmanned helicopter enters the landing process and lands on the mobile platform in a predetermined way, as shown in Figure 34. In the approaching stage, the following stage and the landing stage, the unmanned helicopter mainly adopts the plane guidance law with point-to-point tracking.
From the approaching stage, the unmanned helicopter departs from the mission route and moves towards the approaching point P a , which is in a lateral direction from the mobile platform. Assume that the point is located on the left side of the platform. The hover height is H h , and the lateral distance to the scheduled landing point is L h . Then, the coordinate array of P a in the fixed coordinate system of the mobile platform O P X P Y P Z P is [ 0 , L h , H h ] T . Through searching information, generally H h > 2 R , where R is the radius of the main rotor.
After that, the unmanned helicopter moves laterally relative to the mobile platform to the following point P f , which is above the planed landing point, and it then moves together with the mobile platform. When the hovering height is H h , the coordinate array of the following point P f in the fixed coordinate system of the mobile platform O P X P Y P Z P is [ 0 , 0 , H h ] T .
Finally, the unmanned helicopter judges the landing timing during the following process and descends from the following point to the landing point P l when the opportunity arises. If the altitude of the unmanned helicopter’s center of mass relative to the bottom of the stand is H b , then the coordinate array of the landing point P l in the fixed coordinate system of the mobile platform O P X P Y P Z P is [ 0 , 0 , H b ] T .
In the simulation scenario, set the initial position of the helicopter P I v e h ( 0 ) = [ 0 , 0 , 20 ] T ( m ) and the position of the center of the mobile platform to P I P ( 0 ) = [ 200 , 20 , 0 ] T ( m ) . Set L h = 5   m , H h = 3 R = 3   m , H b = 0.4   m . Set the speed limit of the helicopter as 10 m/s, and the rest of the settings are the same as those of the previous section.
After the simulation starts, the platform moves at a uniform speed of 5 m/s (about 10 knots) along the O I X I direction. The helicopter flies to the approaching point P a that follows with the platform. During the process, the nose straightly follows along the flight path. After approaching the point P a , align the helicopter nose with the platform motion direction (positive direction of O I X I ) and track the movement of the point P a .
With a speed of 0.5 m/s relative to the platform, the helicopter then moves to the following point P f , which is right above O p with an altitude of H h (3 m) and follows the platform.
Finally, the helicopter descends from the following point P f to the landing point, which is H b (4 m) above O p . In this process, the descent rate limit of A T D y , the trajectory generator along altitude direction, is adjusted to 0.3 m/s, and the limit of available acceleration is adjusted to 0.2 m/s2, which could make the landing process smooth and steady enough.
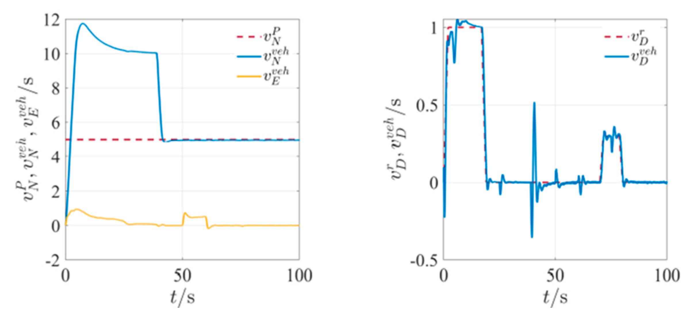
The motion trajectory of the platform and helicopter during the whole flight and landing process is shown in Figure 35. The meridional compression is large for the convenience of display. The reference altitude trajectory and the helicopter altitude trajectory generated by A T D y are shown in Figure 36. That means that the meridional and zonal displacements of the helicopter relative to the mobile platform are, respectively, Δ p N = p N P p N v e h and Δ p E = p E P p E v e h . The evolutions of the relative displacements of the two directions versus time are, respectively, shown in Figure 37 and Figure 38. The three axial velocity components of the helicopter in the coordinate system O I X I Y I Z I are, respectively, v N v e h , v E v e h and v D v e h . The evolutions of the horizontal and altitudinal velocity versus time are shown in Figure 39. The “true” roll angle, pitch angle and yaw angle of the helicopter are shown in Figure 40.
As can be seen from the above figures, the helicopter descends from the initial altitude to the corresponding altitude Hs when t = 20 s. It arrives at the approaching point P a and then track when t = 40 s. When approaching P a , in order to generate the required overload, there is an attitude movement with a large angle in the pitching channel, which causes a height fluctuation (<0.2 m). From t = 50 , the helicopter moves from the approaching point P a to the following point P f and reaches it at t = 60 s to start the following stage. Up to t = 70 s, the helicopter finishes following and enters the descent phase. The helicopter descends gently from point P f to point P l (about t = 80 s) to complete the descent.
In terms of altitudinal motion, it can be seen from the partially enlarged drawing in Figure 38 that the final landing process is relatively gentle and smooth due to the limited speed and acceleration limitation of ATD, and there is no overshoot at the end of the landing process.
In terms of horizontal motion, the largest position control overshoot occurs during the transition from the approaching phase to the following phase and is about 0.22 m. From the following phase (from t = 60 ), the first norm and second norm of the zonal position error e l a t sequence of the helicopter relative to the mobile platform center in the plane O I X I Y I are, respectively, e l a t 1 = 82.05 m and e l a t 2 = 2.58 m. In addition, the first norm and second norm of the meridional position error e l o n sequence are, respectively, e l o n 1 = 308.93 m and e l o n 2 = 4.90 m. The total number of samples is 4000, and the mean absolute value of zonal and meridional errors are, respectively, 0.02 m and 0.08 m.

6.2. Autonomous Landing on Mobile Water Platform

In most cases, the motion of a mobile water platform includes not only plane motion but also heave motion in the vertical direction [39,40]. The landing process of the mobile water platform with heave motion is simulated below.
The heave motion of a mobile water platform is mainly affected by wind and waves. The situation of heave motion of the water platform under the influence of wind and waves is considered as follows. Through searching the literature [41,42], usually the wave height offshore China is smaller than 6 m, and the period is generally between 5 s and 10 s. The heave motion of ships is related to both wave parameters and ship parameters [43,44]. In this paper, sinusoidal motion that is the same as the wave height and period of waves common in China’s offshore area is used to simulate the heave motion of the mobile platform in the approximate simulation. The center of the platform P is in the reference coordinate system O I X I Y I Z I , and the evolution of its position coordinate value z D P on the axis Z I as a function of time is shown in Equation (61).
z D p ( t ) = A w 2 sin ( 2 π T w t )
where Aw is the wave height and Tw is the period. In order to reduce the impact generated when the helicopter contacts the platform, the following landing strategy is adopted: P a and P h only follow the platform in the plane O I X I Y I , and they do not move with the mobile platform in the altitude direction. The hovering height Hh is preset as H h = 6 m. In the landing phase, the helicopter descends together with the platform, and we set l v l w = v D P . When the platform rises, l v u p = v D P v l , where v l is the preset landing speed of the helicopter relative to the platform, which is 0.1 m/s in the simulation.
The horizontal motion laws of the platform are basically unchanged after the heave motion is added. The horizontal motion of the helicopter tracking the platform is roughly the same as described above and will not be repeated. The motion in the altitude direction is mainly discussed.
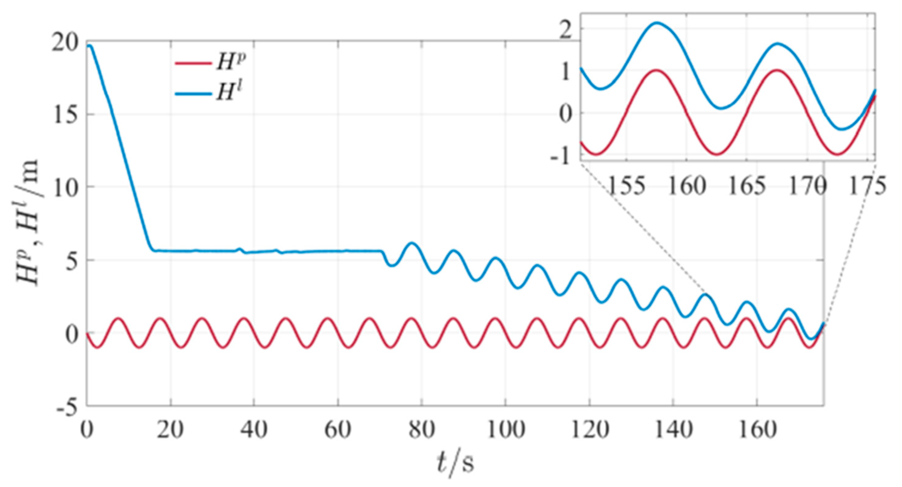
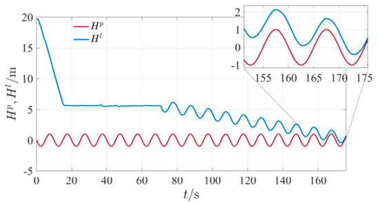
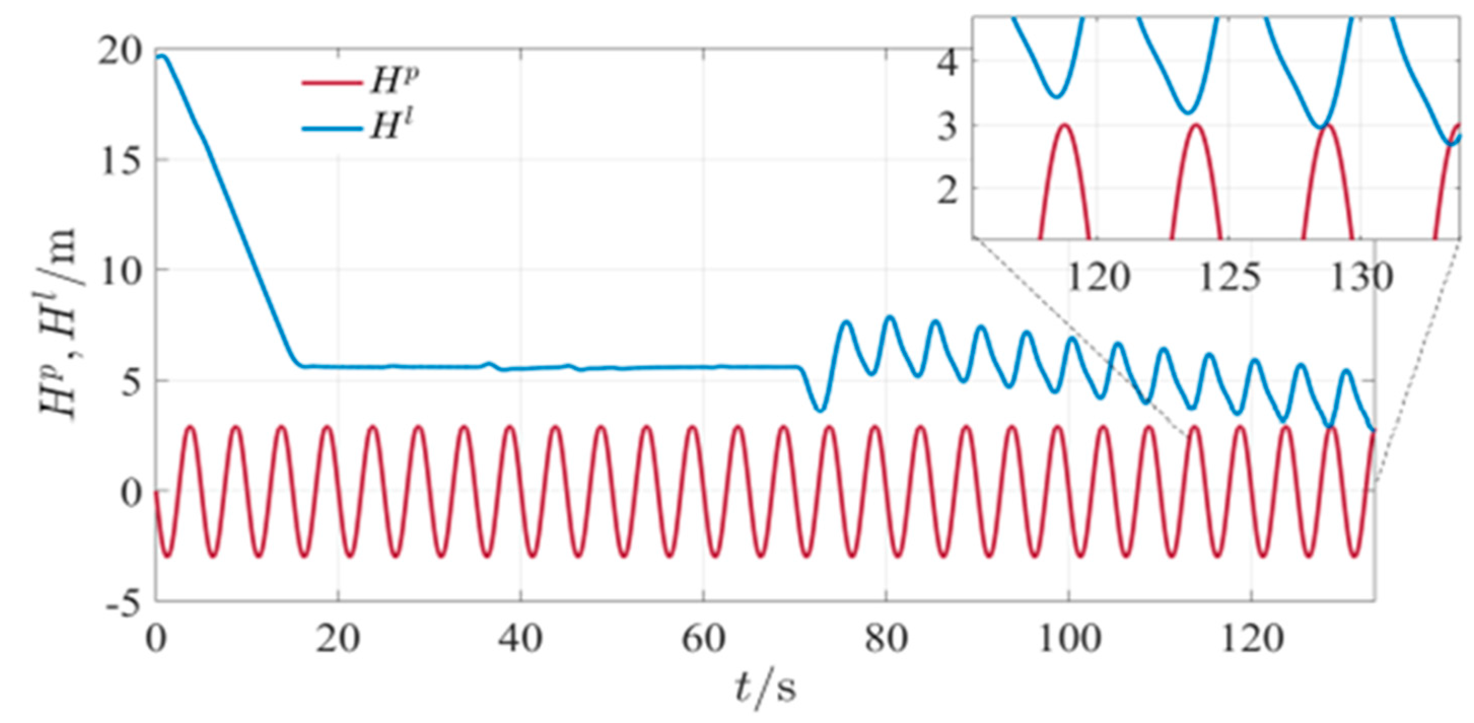
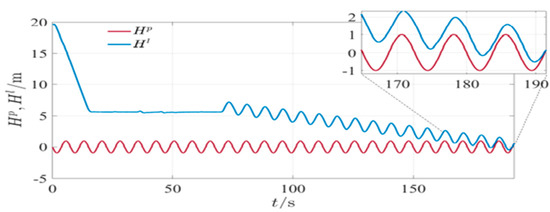
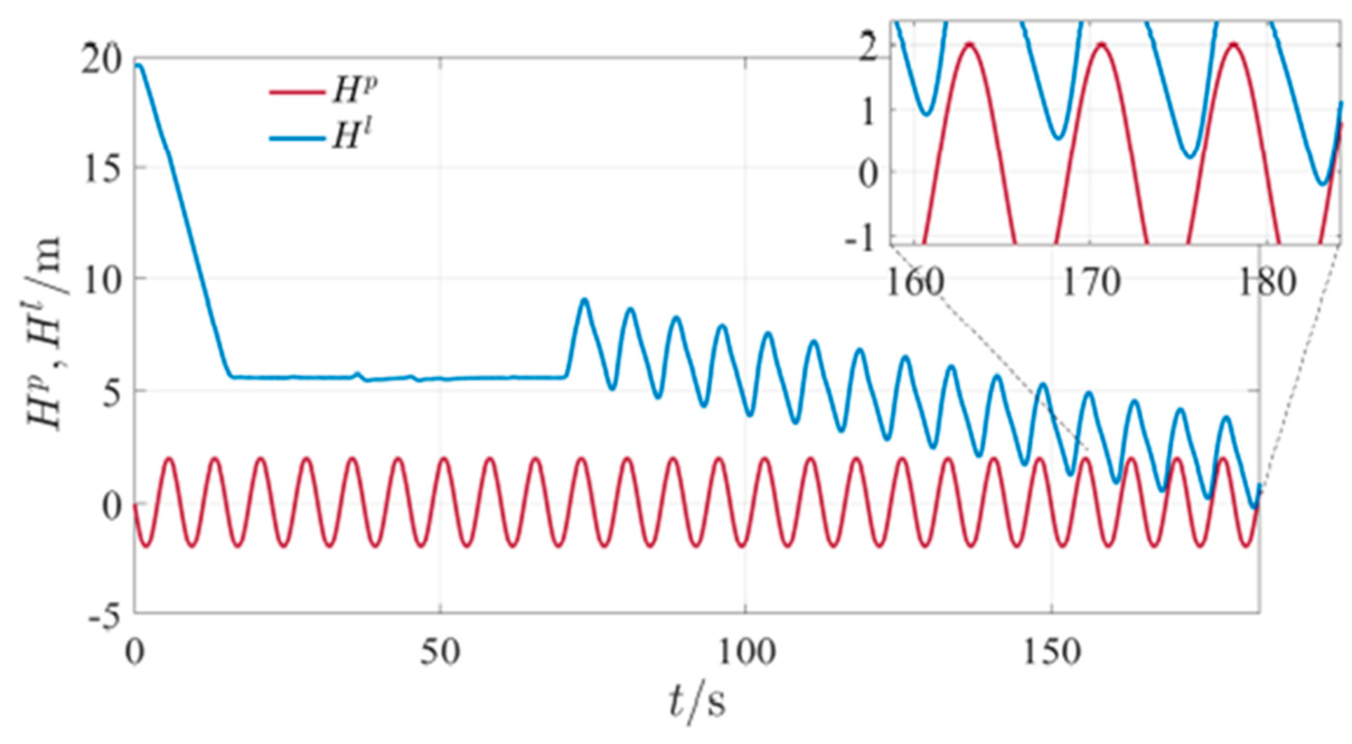
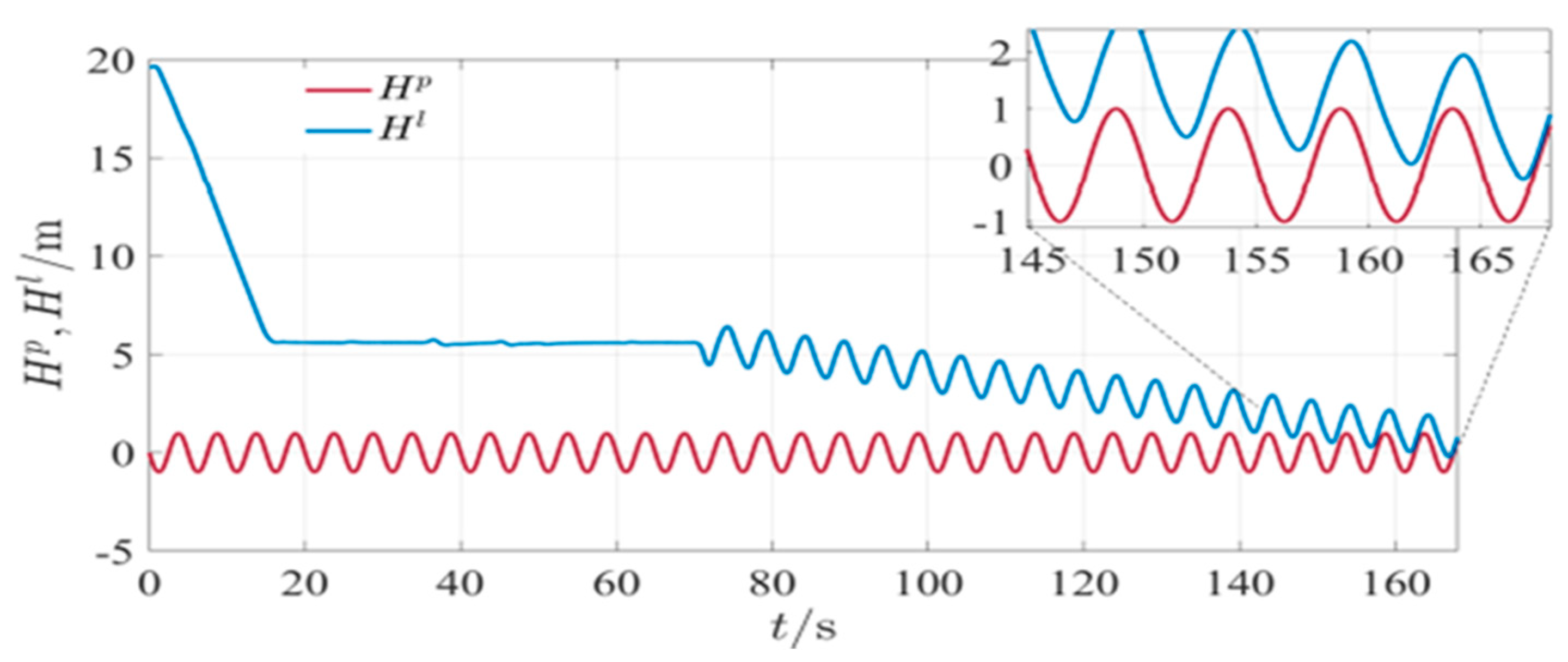
The height of the bottom of helicopter’s landing gear relative to the plane O I X I Y I is H l = p D v e h H b , and the height of the mobile platform center relative to the plane O I X I Y I is H P = p D p . The moment when the distance between H l ( t ) and H p ( t ) is less than 0.02 m for the first time is considered as the contact moment between the helicopter and the mobile platform, and the simulation is regarded as completed. Wave heights of 2 m, 4 m and 6 m and periods of 5 s, 7.5 s and 10 s are taken for simulation. The obtained curves H P and H l are shown in Figure 41, Figure 42, Figure 43, Figure 44, Figure 45, Figure 46, Figure 47, Figure 48 and Figure 49.
The motion speed of the helicopter relative to the platform at the contact moment is denoted as v p v , v p v = v D p v D v e h . When v p v is positive, the helicopter tends to move towards the platform. When v p v is negative, the helicopter tends to move away from the platform. The values of v p v at the contact moment corresponding to different wave heights and periods are listed as Table 3.
Through researching the literature, we found it is more appropriate for the helicopter to land during the latter part of the platform ascent process and contact the platform. During this period, the platform moves upward with a decreased speed. Landing contact at this moment is helpful in reducing the impact on the helicopter during the contact process.
As can be seen from the partially enlarged drawings in Figure 40, Figure 41, Figure 42, Figure 43, Figure 44, Figure 45, Figure 46, Figure 47 and Figure 48, when using the guidance and control algorithm described above, the contact process occurs in the latter half of the platform’s ascent process. However, by comparison with Table 3, it can be found that when A w = 6   m ,   T w = 5   s , although the contact timing meets this requirement, the approaching speed of the helicopter relative to the platform is still above 2 m/s, which can lead to a severe shock.
By the analogy between Figure 43, Figure 46 and Figure 47, in these cases, the platform heave motion has large amplitude and high frequency. Due to the limit of guidance system parameters and the helicopter’s own dynamic characteristics, tracking on the heave motion of the platform has a phase delay of almost π rad. Due to unmodeled coupling and interference in the actual system, the landing timing may be advanced or delayed in the actual landing process. In these cases, landing contact may occur in the process of the helicopter and the platform moving towards each other at a large relative speed so long as there is a slight deviation, resulting in a large shock, which is not beneficial for a safe landing process.
For the two cases above, namely A w = 4   m ,   T w = 7.5   s , and A w = 6   m ,   T w = 10   s , although the contact point meets the requirement of appearing in the latter half of the platform ascent process and the relative speed is small, the helicopter’s altitude acceleration near the contact moment is relatively large, while the acceleration of the platform is small. A slight change in the contact timing may lead to a significant change in the speed of the helicopter relative to the platform, increasing the contact impact.
For four conditions, namely A w = 2   m ,   T w = 5   s ,   A w = 2   m ,   T w = 7.5   s ,   A w = 2   m , T w = 10   s and A w = 4   m ,   T w = 10   s , the heave motion of the platform is relatively moderate, and the helicopter can track its altitude direction motion well. During contact, both the platform and the helicopter are moving upwards, and the relative velocity is small. The accelerations of the platform and the helicopter are also small. The relative velocity does not vary drastically with the contact timing, which is conducive to controlling the impact of contact and ensuring a safe landing.
The safety of landing timing is classified into three levels: dangerous, common, and safe, which correspond to the three conditions above respectively, concluded as Table 4.
For the guidance and control method proposed in this paper, in order to relax the range of safe landing conditions and enhance the mission completion capability under harsh ocean conditions, the speed and acceleration limits in ATD can be appropriately relaxed to improve the dynamic tracking capability of the helicopter along the altitude direction. For example, the acceleration limit of A T D v is relaxed to 6 m/s2 with the rest of the parameters unchanged. The simulation is carried out under the worst conditions of platform heave motion, A w = 6 m, T w = 5 s, to obtain the altitude evolution of the platform and the bottom of the platform’s stand versus time H p , H l , as is shown in Figure 50:
Compared with Figure 47 and Figure 50, the motion ability of the helicopter in the direction of altitude tracking significantly improves with the increase of the acceleration limit of A T D v . Under the new A T D v setting parameters, in the simulation scenario of A w = 6   m ,   T w = 5   s , at the contact moment, the velocity of the helicopter relative to the platform in the altitude direction decreases from the original 2.385 m/s to the current 0.141 m/s. Meanwhile, the movement direction of the helicopter and platform near the contact point has transformed from being opposite to being identical, and the acceleration changes near the contact timing are not fierce, obviously improving the safety of the landing process. The improvement is accompanied by higher requirements on residual power of the helicopter power system, output capacity and response speed of the actuator, and fuselage strength, which need to be adjusted reasonably according to specific application scenarios.

7. Summary

In this paper, taking the requirements of an unmanned helicopter landing on mobile platforms in an actual environment, a detailed introduction into the asymmetric tracking differentiator as well as its derivation process is made to compensate for the defects of conventional tracking differentiators. Based on that, two guidance systems along altitudinal and horizontal directions are then proposed, which can produce flight control commands and reference trajectories. In light of the common characteristics of the usual missions and the demands of autonomous landing, a plane-motion-guidance law that includes tracking static and moving points along linear and circular routes is proposed.
According to the simulation results (such as Figure 46 and Figure 49), the proposed guidance law and system exceedingly improved the tracking accuracy and its response speed to the height change of a platform, and the whole landing process becomes smoother and steadier, decreasing the risk of accidents. At the same time, the landing efficiency is therefore enhanced by more than 50%. The mean absolute values of zonal and meridional error are, respectively, 0.02 m and 0.08 m when landing on a land platform. For overwater platforms, the relative speed between the helicopter and the platform at the contact moment is decreased to 0.141 m/s, which is only 6% of the original 2.385 m/s and means a greatly improved autonomous landing process. It is clear that landing safety is not always guaranteed with waves with a height A w more than 6 m and a period T w shorter than 5 s; this suggests where subsequent attention and work can be aimed.

Author Contributions

Methodology, Z.W.; Software, Y.L.; Formal analysis, Y.Y.; Investigation, Y.L.; Resources, P.C. and C.Z.; Data curation, Z.G.; Supervision, C.Z.; Funding acquisition, Z.G. All authors have read and agreed to the published version of the manuscript.

Funding

This research received no external funding.

Data Availability Statement

Not applicable.

Conflicts of Interest

The authors declare no conflict of interest.

References

  1. Fujiwara, D.; Shin, J.; Hazawa, K.; Nonami, K. H/sub/spl infin//hovering and guidance control for autonomous small-scale unmanned helicopter. In Proceedings of the 2004 IEEE/RSJ International Conference on Intelligent Robots and Systems (IROS) (IEEE Cat. No.04CH37566), Sendai, Japan, 28 September–2 October 2004; Volume 3, pp. 2463–2468. [Google Scholar]
  2. Suzuki, S.; Ishii, T.; Aida, Y.; Fujisawa, Y.; Iizuka, K.; Kawamura, T. Collision-Free Guidance Control of Small Unmanned Helicopter Using Nonlinear Model Predictive Control. SICE J. Control Meas. Syst. Integr. 2014, 7, 347–355. [Google Scholar] [CrossRef][Green Version]
  3. Aole, S.; Elamvazuthi, I.; Waghmare, L.; Patre, B.; Bhaskarwar, T.; Meriaudeau, F.; Su, S. Active Disturbance Rejection Control Based Sinusoidal Trajectory Tracking for an Upper Limb Robotic Rehabilitation Exoskeleton. Appl. Sci. 2022, 12, 1287. [Google Scholar] [CrossRef]
  4. Chen, L.; Li, T.; Mao, Z.; Fei, S. Resilient Tracking Control for Unmanned Helicopter Under Variable Disturbance and Input Perturbation. Int. J. Control Autom. Syst. 2022, 20, 147–159. [Google Scholar] [CrossRef]
  5. Xu, W.; Peng, H.; Yang, L.; Zhu, X. Robust attitude control of a 3-DOF helicopter prototype subject to wind disturbance and communication delay. Trans. Inst. Meas. Control 2021, 43, 3071–3081. [Google Scholar] [CrossRef]
  6. Chen, Z.; Zong, X.; Tang, W.; Huang, D. Design of rapid exponential integral nonlinear tracking differentiator. Int. J. Control 2022, 95, 1759–1766. [Google Scholar] [CrossRef]
  7. Li, Q.; Fan, Y.; Yan, T.; Liang, X.; Yan, J. Cooperative Smooth Nonsingular Terminal Sliding Mode Guidance with Tracking Differentiator for Active Aircraft Defense. Aerospace 2022, 9, 221. [Google Scholar] [CrossRef]
  8. Yu, D.C.; Zhou, N.C.; Liao, J.Q.; Wang, Q.G. Improved traveling wave protection method for MMC—HVDC systems based on the tracking differentiator to resist uncertain interference. Electr. Power Syst. Res. 2022, 208, 107888. [Google Scholar] [CrossRef]
  9. Park, S.; Han, S. Robust Super-Twisting Sliding Mode Backstepping Control Blended with Tracking Differentiator and Nonlinear Disturbance Observer for an Unknown UAV System. Appl. Sci. 2022, 12, 2490. [Google Scholar] [CrossRef]
  10. Abdul-Adheem, W.R.; Ibraheem, I.K.; Humaidi, A.J.; Alkhayyat, A.; Maher, R.A.; Abdulkareem, A.I.; Azar, A.T. Design and Analysis of a Novel Generalized Continuous Tracking Differentiator. Ain Shams Eng. J. 2021. prepublish. [Google Scholar] [CrossRef]
  11. Wang, Y.L.; Wang, Y.F.; Tie, M. Hybrid adaptive learning neural network control for steer-by-wire systems via sigmoid tracking differentiator and disturbance observer. Eng. Appl. Artif. Intell. 2021, 104, 104393. [Google Scholar] [CrossRef]
  12. Rouch, T.B.; Allahverdy, D.; Fakharian, A. Adaptive Controller for Swash Mass Helicopter based on Reinforcement Learning Algorithm. In Proceedings of the 2022 8th International Conference on Control, Instrumentation and Automation (ICCIA), Tehran, Iran, 2–3 March 2022; pp. 1–6. [Google Scholar]
  13. Zhao, W.; Meng, Z.; Wang, K.; Zhang, H. Backstepping Control of an Unmanned Helicopter Subjected to External Disturbance and Model Uncertainty. Appl. Sci. 2021, 11, 5331. [Google Scholar] [CrossRef]
  14. Lei, X.S.; Wang, R.; Fu, F. An adaptive method of attitude and position estimation during GPS outages. Measurement 2022, 199, 111474. [Google Scholar] [CrossRef]
  15. Li, X.; Xu, Q.; Tang, Y.; Xu, C.; Hu, C.; Niu, J. Discrete-time complementary filter for attitude estimation based on MARG sensor. Meas. Sci. Technol. 2022, 33, 095101. [Google Scholar] [CrossRef]
  16. Cheng, C.; Wang, Z.; Zhang, C.; Yang, Y. Attitude Control Method of Unmanned Helicopter Based on Asymmetric Tracking Differentiator and Fal-Extended State Observer. Mathematics 2022, 10, 3439. [Google Scholar] [CrossRef]
  17. Cheng, C.; Wang, Z.; Gong, Z.; Cai, P.; Zhang, C. Prediction and Compensation Model of Longitudinal and Lateral Deck Motion for Automatic Landing Guidance System. Mathematics 2022, 10, 3440. [Google Scholar] [CrossRef]
  18. Guo, B.Z.; Zhao, Z.L. On convergence of tracking differentiator. Int. J. Control 2011, 84, 693–701. [Google Scholar] [CrossRef]
  19. Wang, X.; Yau, S.; Huang, J. A study of tracking-differentiator. In Proceedings of the 39th IEEE Conference on Decision and Control (Cat. No. 00CH37187), Sydney, Australia, 12–15 December 2000; Volume 5, pp. 4783–4784. [Google Scholar]
  20. Ibraheem, I.K.; Abdul-Adheem, W.R. On the improved nonlinear tracking differentiator based nonlinear PID controller design. arXiv 2018, arXiv:1803.02908. [Google Scholar]
  21. Zhao, J.; Zhang, H.; Li, X. Active disturbance rejection switching control of quadrotor based on robust differentiator. Syst. Sci. Control Eng. 2020, 8, 605–617. [Google Scholar] [CrossRef]
  22. Rouse, W.B. Systems Engineering Models of Human-Machine Interaction; North-Holland: Amsterdam, The Netherlands, 1980. [Google Scholar]
  23. Bennett, S. Development of the PID controller. IEEE Control Syst. Mag. 1993, 13, 58–62. [Google Scholar]
  24. Paz, R.A. The design of the PID controller. Klipsch Sch. Electr. Comput. Eng. 2001, 8, 1–23. [Google Scholar]
  25. Gavilan, F.; Vazquez, R.; Camacho, E.F. An iterative model predictive control algorithm for uav guidance. IEEE Trans. Aerosp. Electron. Syst. 2015, 51, 2406–2419. [Google Scholar] [CrossRef]
  26. Kim, S.; Oh, H.; Tsourdos, A. Nonlinear model predictive coordinated standoff tracking of a moving ground vehicle. J. Guid. Control Dyn. 2013, 36, 557–566. [Google Scholar] [CrossRef]
  27. Yang, J.; Liu, C.; Coombes, M.; Yan, Y.; Chen, W.-H. Optimal path following for small fifixed-wing uavs under wind disturbances. IEEE Trans. Control Syst. Technol. 2020, 29, 996–1008. [Google Scholar] [CrossRef]
  28. Nelson, D.R.; Barber, D.B.; McLain, T.W.; Beard, R.W. Vector field path following for small unmanned air vehicles. In Proceedings of the 2006 American Control Conference, Minneapolis, MN, USA, 14–16 June 2006; p. 7. [Google Scholar]
  29. Cabecinhas, D.; Silvestre, C.; Rosa, P.; Cunha, R. Path-following control for coordinated turn aircraft maneuvers. In Proceedings of the AIAA Guidance, Navigation and Control Conference and Exhibit, Hilton Head, SC, USA, 20–23 August 2007; p. 6656. [Google Scholar]
  30. Yamasaki, T.; Balakrishnan, S.; Takano, H. Separate-channel intergrated guidance and autopilot for automatic path-following. J. Guid. Control Dyn. 2013, 36, 25–34. [Google Scholar] [CrossRef]
  31. Wang, Y.; Zhou, W.; Luo, J.; Yan, H.; Pu, H.; Peng, Y. Reliable intelligent path following control for a robotic airship against sensor faults. IEEE/ASME Trans. Mechatron. 2019, 24, 2572–2581. [Google Scholar] [CrossRef]
  32. Park, S. Design of three-dimensional path following guidance logic. Int. J. Aerosp. Eng. 2018, 2018, 1–11. [Google Scholar] [CrossRef]
  33. Yamasaki, T.; Takano, H.; Baba, Y. Robust path-following for uav using pure pursuit guidance. In Aerial Vehicles; IntechOpen: London, UK, 2009. [Google Scholar]
  34. Rysdyk, R. Unmanned aerial vehicle path following for target observation in wind. J. Guid. Control Dyn. 2006, 29, 1092–1100. [Google Scholar] [CrossRef]
  35. Cho, N.; Kim, Y.; Park, S. Three-Dimensional Nonlinear Differential Geometric Path-Following Guidance Law. J. Guid. Control Dyn. 2015, 38, 2366–2385. [Google Scholar] [CrossRef]
  36. Meier, L.; Tanskanen, P.; Heng, L.; Lee, G.H.; Fraundorfer, F.; Pollefeys, M. PIXHAWK: A micro aerial vehicle design for autonomous flight using onboard computer vision. Auton. Robot. 2012, 33, 21–39. [Google Scholar] [CrossRef]
  37. Aguilar-Ibanez, C.; Suarez-Castanon, M.S.; Gutierrez-Frias, O.; Rubio, J.D.J.; Meda-Campana, J.A. A robust control strategy for landing an unmanned aerial vehicle on a vertically moving platform. Complexity 2020, 2020, 2917684. [Google Scholar] [CrossRef]
  38. Saghafi, F.; Esmailifar, S.M. Autonomous unmanned helicopter landing system design for safe touchdown on 6DOF moving platform. In Proceedings of the 2009 Fifth International Conference on Autonomic and Autonomous Systems, Valencia, Spain, 20–25 April 2009; pp. 245–250. [Google Scholar]
  39. Herissé, B.; Hamel, T.; Mahony, R.; Russotto, F.X. Landing a VTOL unmanned aerial vehicle on a moving platform using optical flow. IEEE Trans. Robot. 2011, 28, 77–89. [Google Scholar] [CrossRef]
  40. Lee, D.; Ryan, T.; Kim, H.J. Autonomous landing of a VTOL UAV on a moving platform using image-based visual servoing. In Proceedings of the 2012 IEEE International Conference on Robotics and Automation, St. Paul, MN, USA, 14–18 May 2012; pp. 971–976. [Google Scholar]
  41. Wu, S.; Liu, C.; Chen, X. Offshore wave energy resource assessment in the East China Sea. Renew. Energy 2015, 76, 628–636. [Google Scholar] [CrossRef]
  42. Feng, Z.; Hu, P.; Li, S.; Mo, D. Prediction of Significant Wave Height in Offshore China Based on the Machine Learning Method. J. Mar. Sci. Eng. 2022, 10, 836. [Google Scholar] [CrossRef]
  43. Johnson, W. Helicopter Theory; Princeton University Press: Princeton, NJ, USA, 1980; pp. 125–146. [Google Scholar]
  44. Leishmann, J.G. Principles of Helicopter Aerodynamics; Cambridge University Press: Gambridge, UK, 2006; pp. 92–97. [Google Scholar]
Figure 1. Diagram of guidance subsystem.
Figure 1. Diagram of guidance subsystem.
Mathematics 11 00066 g001
Figure 2. Variation curves of basic TD signal vs. time. Reprinted with permission from refs. [16,17].
Figure 2. Variation curves of basic TD signal vs. time. Reprinted with permission from refs. [16,17].
Mathematics 11 00066 g002
Figure 3. Schematic diagram of Phase 2 plane.
Figure 3. Schematic diagram of Phase 2 plane.
Mathematics 11 00066 g003
Figure 4. Boundary line diagram. Reprinted with permission from refs. [16,17].
Figure 4. Boundary line diagram. Reprinted with permission from refs. [16,17].
Mathematics 11 00066 g004
Figure 5. Diagram of phase plane partitions. Reprinted with permission from refs. [16,17].
Figure 5. Diagram of phase plane partitions. Reprinted with permission from refs. [16,17].
Mathematics 11 00066 g005
Figure 6. Variation curves of ATD signal vs. time.
Figure 6. Variation curves of ATD signal vs. time.
Mathematics 11 00066 g006
Figure 7. Diagram of altitude guidance subsystem.
Figure 7. Diagram of altitude guidance subsystem.
Mathematics 11 00066 g007
Figure 8. Diagram of reference trajectory generated from waypoint information.
Figure 8. Diagram of reference trajectory generated from waypoint information.
Mathematics 11 00066 g008
Figure 9. Diagram of generated reference trajectory according to the state information of moving targets.
Figure 9. Diagram of generated reference trajectory according to the state information of moving targets.
Mathematics 11 00066 g009
Figure 10. Diagram of horizontal guidance subsystem.
Figure 10. Diagram of horizontal guidance subsystem.
Mathematics 11 00066 g010
Figure 11. Diagram of point-to-point tracking.
Figure 11. Diagram of point-to-point tracking.
Mathematics 11 00066 g011
Figure 12. Diagram of line tracking.
Figure 12. Diagram of line tracking.
Mathematics 11 00066 g012
Figure 13. Diagram of circle tracking.
Figure 13. Diagram of circle tracking.
Mathematics 11 00066 g013
Figure 14. CAD assembly drawing of a small, unmanned helicopter.
Figure 14. CAD assembly drawing of a small, unmanned helicopter.
Mathematics 11 00066 g014
Figure 15. The evolution of height vs. time.
Figure 15. The evolution of height vs. time.
Mathematics 11 00066 g015
Figure 16. The evolution of corresponding height vs. time.
Figure 16. The evolution of corresponding height vs. time.
Mathematics 11 00066 g016
Figure 17. The evolution of altitude-direction velocity as a function of time.
Figure 17. The evolution of altitude-direction velocity as a function of time.
Mathematics 11 00066 g017
Figure 18. The track diagram of straight-line tracking based on PID guidance law.
Figure 18. The track diagram of straight-line tracking based on PID guidance law.
Mathematics 11 00066 g018
Figure 19. The track diagram of line tracking using ATD guidance law.
Figure 19. The track diagram of line tracking using ATD guidance law.
Mathematics 11 00066 g019
Figure 20. Height diagram of line tracking.
Figure 20. Height diagram of line tracking.
Mathematics 11 00066 g020
Figure 21. Diagram of horizontal velocity of line tracking.
Figure 21. Diagram of horizontal velocity of line tracking.
Mathematics 11 00066 g021
Figure 22. Attitude angle diagram of line tracking.
Figure 22. Attitude angle diagram of line tracking.
Mathematics 11 00066 g022
Figure 23. Yaw rate diagram of line tracking.
Figure 23. Yaw rate diagram of line tracking.
Mathematics 11 00066 g023
Figure 24. Diagram of normal error.
Figure 24. Diagram of normal error.
Mathematics 11 00066 g024
Figure 25. Route diagram of circular tracking based on the basic PID guidance law.
Figure 25. Route diagram of circular tracking based on the basic PID guidance law.
Mathematics 11 00066 g025
Figure 26. Route diagram of circular tracking based on the ATD guidance law.
Figure 26. Route diagram of circular tracking based on the ATD guidance law.
Mathematics 11 00066 g026
Figure 27. Height diagram of circular tracking.
Figure 27. Height diagram of circular tracking.
Mathematics 11 00066 g027
Figure 28. Horizontal velocity diagram of circular tracking.
Figure 28. Horizontal velocity diagram of circular tracking.
Mathematics 11 00066 g028
Figure 29. Diagram of the attitude angle of circular tracking.
Figure 29. Diagram of the attitude angle of circular tracking.
Mathematics 11 00066 g029
Figure 30. Diagram of the yaw angle of circular tracking.
Figure 30. Diagram of the yaw angle of circular tracking.
Mathematics 11 00066 g030
Figure 31. Diagram of radial error.
Figure 31. Diagram of radial error.
Mathematics 11 00066 g031
Figure 32. Diagram of approaching stage.
Figure 32. Diagram of approaching stage.
Mathematics 11 00066 g032
Figure 33. Diagram of following stage.
Figure 33. Diagram of following stage.
Mathematics 11 00066 g033
Figure 34. Diagram of landing stage.
Figure 34. Diagram of landing stage.
Mathematics 11 00066 g034
Figure 35. The diagram of the motion trajectories of the helicopter and the mobile platform.
Figure 35. The diagram of the motion trajectories of the helicopter and the mobile platform.
Mathematics 11 00066 g035
Figure 36. The evolution of the altitude of the mobile platform vs. time during landing process.
Figure 36. The evolution of the altitude of the mobile platform vs. time during landing process.
Mathematics 11 00066 g036
Figure 37. The relative displacement between north and south direction of the mobile platform during landing process.
Figure 37. The relative displacement between north and south direction of the mobile platform during landing process.
Mathematics 11 00066 g037
Figure 38. The relative displacement between east and west direction of the mobile platform during landing process.
Figure 38. The relative displacement between east and west direction of the mobile platform during landing process.
Mathematics 11 00066 g038
Figure 39. Velocity of the mobile platform during landing process.
Figure 39. Velocity of the mobile platform during landing process.
Mathematics 11 00066 g039
Figure 40. Attitude of the mobile platform during landing process.
Figure 40. Attitude of the mobile platform during landing process.
Mathematics 11 00066 g040
Figure 41. The evolution of H p and H l vs. time when A w = 2   m ,   T w = 5   s .
Figure 41. The evolution of H p and H l vs. time when A w = 2   m ,   T w = 5   s .
Mathematics 11 00066 g041
Figure 42. The evolution of H p and H l vs. time when A w = 2   m ,   T w = 7.5   s .
Figure 42. The evolution of H p and H l vs. time when A w = 2   m ,   T w = 7.5   s .
Mathematics 11 00066 g042
Figure 43. The evolution of H p and H l vs. time when A w = 2   m ,   T w = 10   s .
Figure 43. The evolution of H p and H l vs. time when A w = 2   m ,   T w = 10   s .
Mathematics 11 00066 g043
Figure 44. The evolution of H p and H l vs. time when A w = 4   m ,   T w = 5   s .
Figure 44. The evolution of H p and H l vs. time when A w = 4   m ,   T w = 5   s .
Mathematics 11 00066 g044
Figure 45. The evolution of H p and H l vs. time when A w = 4   m ,   T w = 7.5   s .
Figure 45. The evolution of H p and H l vs. time when A w = 4   m ,   T w = 7.5   s .
Mathematics 11 00066 g045
Figure 46. The evolution of H p and H l vs. time when A w = 4   m ,   T w = 10   s .
Figure 46. The evolution of H p and H l vs. time when A w = 4   m ,   T w = 10   s .
Mathematics 11 00066 g046
Figure 47. The evolution of H p and H l vs. time when A w = 6   m ,   T w = 5   s .
Figure 47. The evolution of H p and H l vs. time when A w = 6   m ,   T w = 5   s .
Mathematics 11 00066 g047
Figure 48. The evolution of H p and H l vs. time when A w = 6   m ,   T w = 7.5   s .
Figure 48. The evolution of H p and H l vs. time when A w = 6   m ,   T w = 7.5   s .
Mathematics 11 00066 g048
Figure 49. The evolution of H p and H l vs. time when A w = 6   m ,   T w = 10   s .
Figure 49. The evolution of H p and H l vs. time when A w = 6   m ,   T w = 10   s .
Mathematics 11 00066 g049
Figure 50. The evolution of H p , H l as a function of time when A w = 6   m ,   T w = 7.5   s .
Figure 50. The evolution of H p , H l as a function of time when A w = 6   m ,   T w = 7.5   s .
Mathematics 11 00066 g050
Table 1. The model inertia parameters.
Table 1. The model inertia parameters.
LetterValueDimension
Weight25kg
Rotational inertia of the x-body axis I x x 0.58kg·m2
Rotational inertia of the y -body axis I y y 2.01kg·m2
Rotational inertia of the z-body axis I z z 2.04kg·m2
Table 2. The simulation frequency bands and frequency increments under different sea states. Reprinted with permission from ref. [22].
Table 2. The simulation frequency bands and frequency increments under different sea states. Reprinted with permission from ref. [22].
Significant Wave Height (m)Wind Speed (m/s)
<2.5<5.0
2.5~5.05.0~11.5
>5.0>11.5
Table 3. Relative velocities at the contact moment.
Table 3. Relative velocities at the contact moment.
Aw/mTw/svpv m/s
25−0.116
27.50.040
2100.022
45−0.103
47.5−0.463
4100.051
652.385
67.50.078
610−0.407
Table 4. List of the relative speeds at contact moment.
Table 4. List of the relative speeds at contact moment.
Aw = 2 mAw = 4 mAw = 6 m
Tw = 5 sSafeDangerousDangerous
Tw = 7.5 sSafeCommonDangerous
Tw = 10 sSafeSafeCommon
Disclaimer/Publisher’s Note: The statements, opinions and data contained in all publications are solely those of the individual author(s) and contributor(s) and not of MDPI and/or the editor(s). MDPI and/or the editor(s) disclaim responsibility for any injury to people or property resulting from any ideas, methods, instructions or products referred to in the content.

Share and Cite

MDPI and ACS Style

Wang, Z.; Gong, Z.; Yang, Y.; Liu, Y.; Cai, P.; Zhang, C. Guidance Law for Autonomous Takeoff and Landing of Unmanned Helicopter on Mobile Platform Based on Asymmetric Tracking Differentiator. Mathematics 2023, 11, 66. https://doi.org/10.3390/math11010066

AMA Style

Wang Z, Gong Z, Yang Y, Liu Y, Cai P, Zhang C. Guidance Law for Autonomous Takeoff and Landing of Unmanned Helicopter on Mobile Platform Based on Asymmetric Tracking Differentiator. Mathematics. 2023; 11(1):66. https://doi.org/10.3390/math11010066

Chicago/Turabian Style

Wang, Zian, Zheng Gong, Yang Yang, Yongzhen Liu, Pengcheng Cai, and Chengxi Zhang. 2023. "Guidance Law for Autonomous Takeoff and Landing of Unmanned Helicopter on Mobile Platform Based on Asymmetric Tracking Differentiator" Mathematics 11, no. 1: 66. https://doi.org/10.3390/math11010066

APA Style

Wang, Z., Gong, Z., Yang, Y., Liu, Y., Cai, P., & Zhang, C. (2023). Guidance Law for Autonomous Takeoff and Landing of Unmanned Helicopter on Mobile Platform Based on Asymmetric Tracking Differentiator. Mathematics, 11(1), 66. https://doi.org/10.3390/math11010066

Note that from the first issue of 2016, this journal uses article numbers instead of page numbers. See further details here.

Article Metrics

Back to TopTop