C1-Cubic Quasi-Interpolation Splines over a CT Refinement of a Type-1 Triangulation
Abstract
1. Introduction
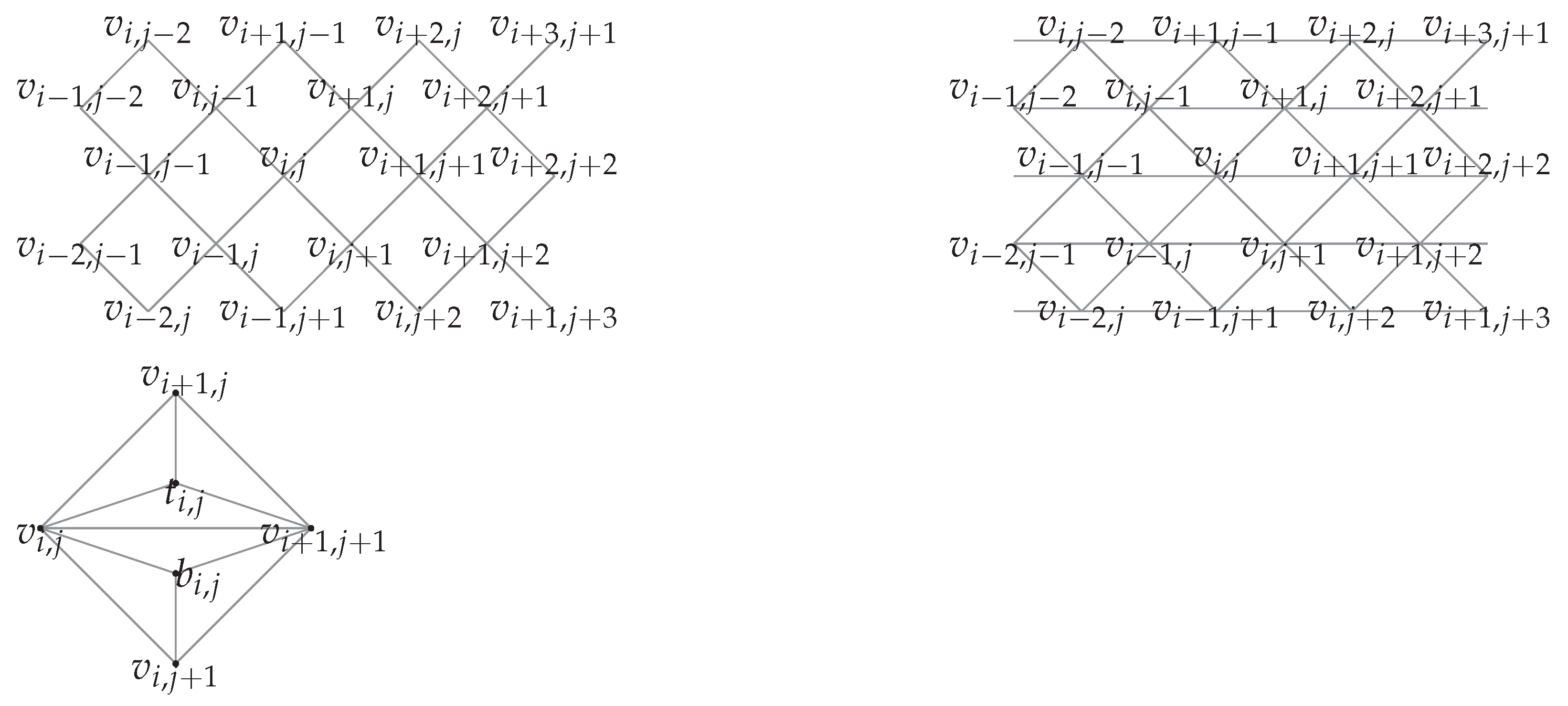
2. Bernstein–Bézier Form of Cubic Splines on a Type-1 Triangulation
3. Quasi-Interpolating Splines on a Clough–Tocher Refinement
4. Selecting Parameters
5. Numerical Tests
6. Conclusions
Author Contributions
Funding
Institutional Review Board Statement
Informed Consent Statement
Data Availability Statement
Acknowledgments
Conflicts of Interest
Appendix A. Masks
Appendix A.1. Masks That Do Not Depend on Parameters
References
- Sorokina, T.; Zeilfelder, F. Optimal quasi-interpolation by quadratic C1 splines on four-directional meshes. In Approximation Theory; Chui, C.K., Neamtu, M., Schumaker, L.L., Eds.; Nashboro Press: Brentwood, TN, USA, 2005; Volume XI, pp. 423–438. [Google Scholar]
- Sorokina, T.; Zeilfelder, F. An explicit quasi-interpolation scheme based on C1 quartic splines on type-1 triangulations. Comput. Aided Geom. Des. 2008, 25, 1–13. [Google Scholar] [CrossRef]
- Nürnberger, G.; Rössl, C.; Seidel, H.-P.; Zeilfelder, F. Quasi-Interpolation by quadratic piecewise polynomials in three variables. Comput. Aided Geom. Des. 2005, 22, 221–249. [Google Scholar] [CrossRef]
- Sorokina, T.; Zeilfelder, F. Local Quasi-Interpolation by cubic C1 splines on type-6 tetrahedral partitions. IMA J. Numer. Anal. 2007, 27, 74–101. [Google Scholar] [CrossRef][Green Version]
- Barrera, D.; Dagnino, C.; Ibáñez, M.J.; Remogna, S. Quasi-interpolation by C1 quartic splines on type-1 triangulations. J. Comput. Appl. Math. 2019, 349, 225–238. [Google Scholar] [CrossRef]
- Barrera, D.; Conti, C.; Dagnino, C.; Ibáñez, M.J.; Remogna, S. C1-Quartic Butterfly-spline interpolation on type-1 triangulations. In Approximation Theory XVI, Proceedings of the Conference on Mathematics & Statistics, Nashville, TN, USA, 19–22 May 2019; Fasshauer, G.E., Neamtu, M., Schumaker, L.L., Eds.; Springer Nature Switzerland AG: Cham, Switzerland, 2021; Volume 336, Chapter 2; pp. 11–26. [Google Scholar]
- Barrera, D.; Dagnino, C.; Ibáñez, M.J.; Remogna, S. Point and differential C1 quasi-interpolation on three direction meshes. J. Comput. Appl. Maths. 2019, 354, 373–389. [Google Scholar] [CrossRef]
- Clough, R.W.; Tocher, J.L. Finite element stiffness matrices for analysis of plates in bending. In Proceedings of the Conference on Matrix Methods in Structural Mechanics, Wright Patterson Air Force Base, OH, USA, 26–28 October 1965; Przemieniecki, J.S., Ed.; Wright-Patterson Air Force Base: Dayton, OH, USA, 1967; pp. 515–545. [Google Scholar]
- Lai, M.-J.; Schumaker, L.L. Spline Functions on Triangulations. Encyclopedia of Mathematics and Its Applications, 110; Cambridge University Press: Cambridge, UK, 2007. [Google Scholar]
- Franke, R. Scattered data interpolation: Tests of some methods. Math. Comput. 1982, 38, 181–200. [Google Scholar]
- Nielson, G.M. A first order blending method for triangles based upon cubic interpolation. Int. J. Numer. Meth. Eng. 1978, 15, 308–318. [Google Scholar] [CrossRef]








| n | Estimated Error | NCO | Estimated Error | NCO |
| 16 | – | – | ||
| 32 | ||||
| 64 | ||||
| 128 | ||||
| 256 | ||||
Disclaimer/Publisher’s Note: The statements, opinions and data contained in all publications are solely those of the individual author(s) and contributor(s) and not of MDPI and/or the editor(s). MDPI and/or the editor(s) disclaim responsibility for any injury to people or property resulting from any ideas, methods, instructions or products referred to in the content. |
© 2022 by the authors. Licensee MDPI, Basel, Switzerland. This article is an open access article distributed under the terms and conditions of the Creative Commons Attribution (CC BY) license (https://creativecommons.org/licenses/by/4.0/).
Share and Cite
Benharzallah, H.; Mennouni, A.; Barrera, D. C1-Cubic Quasi-Interpolation Splines over a CT Refinement of a Type-1 Triangulation. Mathematics 2023, 11, 59. https://doi.org/10.3390/math11010059
Benharzallah H, Mennouni A, Barrera D. C1-Cubic Quasi-Interpolation Splines over a CT Refinement of a Type-1 Triangulation. Mathematics. 2023; 11(1):59. https://doi.org/10.3390/math11010059
Chicago/Turabian StyleBenharzallah, Haithem, Abdelaziz Mennouni, and Domingo Barrera. 2023. "C1-Cubic Quasi-Interpolation Splines over a CT Refinement of a Type-1 Triangulation" Mathematics 11, no. 1: 59. https://doi.org/10.3390/math11010059
APA StyleBenharzallah, H., Mennouni, A., & Barrera, D. (2023). C1-Cubic Quasi-Interpolation Splines over a CT Refinement of a Type-1 Triangulation. Mathematics, 11(1), 59. https://doi.org/10.3390/math11010059

