Numerical Investigation on a Diffuser-Augmented Horizontal Axis Tidal Stream Turbine with the Entropy Production Theory
Abstract
1. Introduction
2. Methodology
2.1. Governing Equation
2.2. Turbulence Model
2.3. Entropy Production Analysis
2.4. Vortex Identification Methods
2.4.1. Vorticity Method
2.4.2. Q and λ2-Criterion
2.4.3. and -Rortex Criterion
3. Computational Setup and Verification
3.1. Model Turbine and Numerical Method
3.2. Domain and Boundary Conditions
3.3. Mesh and Its Independence Assessment
4. Results and Discussion
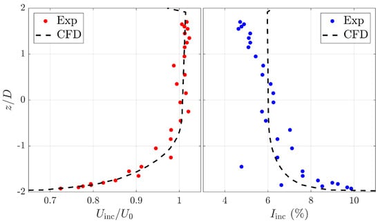
4.1. Performance Validation
4.2. Near Wake Structure
4.2.1. Mean Velocity Deficit
4.2.2. Turbulence Characteristics
4.3. Entropy Production
4.4. Vortex Identification
5. Conclusions
- (1)
- The overall mean wake structure follows a tadpole-shape on the horizontal plane, whilst it has the maximum velocity deficit after the outer edge of the diffuser. In the near wake, the vertical profiles exhibit a triple peak distribution and significant recovery within downstream.
- (2)
- On the whole, the region that is behind the tip of the diffuser inlet accounts for the greatest proportion of entropy production rate (). Inside the diffuser, entropy production rate () experiences a rapid dissipation after passing the rotor. Moreover, in the near wake region, the distribution of can be depicted as deflecting towards the free surface and the bottom of the flume.
- (3)
- Q and -criteria are sensitive to their isosurface thresholds. The vortices identified by Q-criteria contain redundant wall shear motions, and -criteria cannot distinguish the vortical structure with certain distinct boundaries. Thus, the -Rortex method provides reliable vortex identification results for DAHATT.
- (4)
- Owing to the vortex breakup of the strong swirling flows, should be a small value that distinguishes the rotational part from the overall vortical structure. For the investigation of DAHATT, we suggest that should be set to .
Author Contributions
Funding
Data Availability Statement
Conflicts of Interest
References
- Vyshnavi, P.; Venkatesan, N.; Samad, A.; Avital, E. Tidal Current Energy for Indian Coastal Lines—A State Art of Review. J. Phys. Conf. Ser. 2020, 1716, 012008. [Google Scholar] [CrossRef]
- Fernandez-Rodriguez, E.; Stallard, T.; Stansby, P. Experimental study of extreme thrust on a tidal stream rotor due to turbulent flow and with opposing waves. J. Fluids Struct. 2014, 51, 354–361. [Google Scholar] [CrossRef]
- Zhou, Z.; Scuiller, F.; Charpentier, J.F.; Benbouzid, M.; Tang, T. An up-to-date review of large marine tidal current turbine technologies. In Proceedings of the 2014 International Power Electronics and Application Conference and Exposition, Shanghai, China, 5–8 November 2014; pp. 480–484. [Google Scholar]
- Gaden, D.L.; Bibeau, E.L. A numerical investigation into the effect of diffusers on the performance of hydro kinetic turbines using a validated momentum source turbine model. Renew. Energy 2010, 35, 1152–1158. [Google Scholar] [CrossRef]
- Nunes, M.M.; Mendes, R.C.; Oliveira, T.F.; Junior, A.C.B. An experimental study on the diffuser-enhanced propeller hydrokinetic turbines. Renew. Energy 2019, 133, 840–848. [Google Scholar] [CrossRef]
- Cresswell, N.; Ingram, G.; Dominy, R. The impact of diffuser augmentation on a tidal stream turbine. Ocean. Eng. 2015, 108, 155–163. [Google Scholar] [CrossRef]
- Zhang, Y.; Zhang, J.; Lin, X.; Wang, R.; Zhang, C.; Zhao, J. Experimental investigation into downstream field of a horizontal axis tidal stream turbine supported by a mono pile. Appl. Ocean. Res. 2020, 101, 102257. [Google Scholar] [CrossRef]
- Cacciali, L.; Battisti, L.; Dell’Anna, S. Free Surface Double Actuator Disc Theory and Double Multiple Streamtube Model for In-Stream Darrieus Hydrokinetic Turbines. Ocean. Eng. 2022, 260, 112017. [Google Scholar] [CrossRef]
- Zang, W.; Zheng, Y.; Zhang, Y.; Zhang, J.; Fernandez-Rodriguez, E. Experiments on the mean and integral characteristics of tidal turbine wake in the linear waves propagating with the current. Ocean. Eng. 2019, 173, 1–11. [Google Scholar] [CrossRef]
- Zhang, Y.; Zang, W.; Zheng, J.; Cappietti, L.; Zhang, J.; Zheng, Y.; Fernandez-Rodriguez, E. The influence of waves propagating with the current on the wake of a tidal stream turbine. Appl. Energy 2021, 290, 116729. [Google Scholar] [CrossRef]
- Wang, X.; Yan, Y.; Wang, W.Q.; Hu, Z.P. Evaluating energy loss with the entropy production theory: A case study of a micro horizontal axis river ducted turbine. Energy Convers. Manag. 2023, 276, 116553. [Google Scholar] [CrossRef]
- Wang, Z.; Xie, B.; Xia, X.; Yang, H.; Zuo, Q.; Liu, Z. Energy loss of radial inflow turbine for organic Rankine cycle using mixture based on entropy production method. Energy 2022, 245, 123312. [Google Scholar] [CrossRef]
- Menter, F. Zonal two equation kw turbulence models for aerodynamic flows. In Proceedings of the 23rd Fluid Dynamics, Plasmadynamics, and Lasers Conference, Orlando, FL, USA, 6–9 July 1993; p. 2906. [Google Scholar]
- Menter, F.R. Two-equation eddy-viscosity turbulence models for engineering applications. AIAA J. 1994, 32, 1598–1605. [Google Scholar] [CrossRef]
- Menter, F.R.; Kuntz, M.; Langtry, R. Ten years of industrial experience with the SST turbulence model. Turbul. Heat Mass Transf. 2003, 4, 625–632. [Google Scholar]
- Herwig, H.; Kock, F. Local entropy production in turbulent shear flows: A tool for evaluating heat transfer performance. J. Therm. Sci. 2006, 15, 159–167. [Google Scholar] [CrossRef]
- Kock, F.; Herwig, H. Local entropy production in turbulent shear flows: A high-Reynolds number model with wall functions. Int. J. Heat Mass Transf. 2004, 47, 2205–2215. [Google Scholar] [CrossRef]
- Li, D.; Wang, H.; Qin, Y.; Han, L.; Wei, X.; Qin, D. Entropy production analysis of hysteresis characteristic of a pump-turbine model. Energy Convers. Manag. 2017, 149, 175–191. [Google Scholar] [CrossRef]
- Nazeryan, M.; Lakzian, E. Detailed entropy generation analysis of a Wells turbine using the variation of the blade thickness. Energy 2018, 143, 385–405. [Google Scholar] [CrossRef]
- Haghighi, M.H.S.; Mirghavami, S.M.; Ghorani, M.M.; Riasi, A.; Chini, S.F. A numerical study on the performance of a superhydrophobic coated very low head (VLH) axial hydraulic turbine using entropy generation method. Renew. Energy 2020, 147, 409–422. [Google Scholar] [CrossRef]
- Yu, Z.F.; Wang, W.Q.; Yan, Y.; Liu, X.S. Energy loss evaluation in a Francis turbine under overall operating conditions using entropy production method. Renew. Energy 2021, 169, 982–999. [Google Scholar] [CrossRef]
- Cacciali, L.; Battisti, L.; Dell’Anna, S.; Soraperra, G. Case study of a cross-flow hydrokinetic turbine in a narrow prismatic canal. Ocean. Eng. 2021, 234, 109281. [Google Scholar] [CrossRef]
- White, F.M.; Majdalani, J. Viscous Fluid Flow; McGraw-Hill: New York, NY, USA, 2006; Volume 3. [Google Scholar]
- Jeong, J.; Hussain, F. On the identification of a vortex. J. Fluid Mech. 1995, 285, 69–94. [Google Scholar] [CrossRef]
- Xing, T.; Bhushan, S.; Stern, F. Vortical and turbulent structures for KVLCC2 at drift angle 0, 12, and 30 degrees. Ocean. Eng. 2012, 55, 23–43. [Google Scholar] [CrossRef]
- Wang, L.Z.; Guo, C.Y.; Su, Y.M.; Wu, T.C. A numerical study on the correlation between the evolution of propeller trailing vortex wake and skew of propellers. Int. J. Nav. Archit. Ocean. Eng. 2018, 10, 212–224. [Google Scholar] [CrossRef]
- Zhao, W.w.; Wang, J.h.; Wan, D.c. Vortex identification methods in marine hydrodynamics. J. Hydrodyn. 2020, 32, 286–295. [Google Scholar] [CrossRef]
- Haller, G. An objective definition of a vortex. J. Fluid Mech. 2005, 525, 1–26. [Google Scholar] [CrossRef]
- Fureby, C.; Anderson, B.; Clarke, D.; Erm, L.; Henbest, S.; Giacobello, M.; Jones, D.; Nguyen, M.; Johansson, M.; Jones, M.; et al. Experimental and numerical study of a generic conventional submarine at 10 yaw. Ocean. Eng. 2016, 116, 1–20. [Google Scholar] [CrossRef]
- Liu, C.; Wang, Y.; Yang, Y.; Duan, Z. New omega vortex identification method. Sci. China Phys. Mech. Astron. 2016, 59, 1–9. [Google Scholar] [CrossRef]
- Chong, M.S.; Perry, A.E.; Cantwell, B.J. A general classification of three-dimensional flow fields. Phys. Fluids A Fluid Dyn. 1990, 2, 765–777. [Google Scholar] [CrossRef]
- Liu, C.; Gao, Y.; Tian, S.; Dong, X. Rortex—A new vortex vector definition and vorticity tensor and vector decompositions. Phys. Fluids 2018, 30, 035103. [Google Scholar] [CrossRef]
- Gao, Y.; Liu, C. Rortex and comparison with eigenvalue-based vortex identification criteria. Phys. Fluids 2018, 30, 085107. [Google Scholar] [CrossRef]
- Gao, Y.; Liu, C. Rortex based velocity gradient tensor decomposition. Phys. Fluids 2019, 31, 011704. [Google Scholar] [CrossRef]
- Wang, Y.q.; Gao, Y.s.; Liu, J.m.; Liu, C. Explicit formula for the Liutex vector and physical meaning of vorticity based on the Liutex-Shear decomposition. J. Hydrodyn. 2019, 31, 464–474. [Google Scholar] [CrossRef]
- Dong, X.; Gao, Y.; Liu, C. New normalized Rortex/vortex identification method. Phys. Fluids 2019, 31, 011701. [Google Scholar] [CrossRef]
- Zhang, Z.; Zhang, Y.; Zheng, Y.; Zhang, J.; Fernandez-Rodriguez, E.; Zang, W.; Ji, R. Power fluctuation and wake characteristics of tidal stream turbine subjected to wave and current interaction. Energy 2022, 264, 126185. [Google Scholar] [CrossRef]
- Holzmann, T. Mathematics, Numerics, Derivations and OpenFOAM®; Holzmann CFD: Loeben, Germany, 2016; Chapter 11; pp. 99–103. [Google Scholar]
- Issa, R.I. Solution of the implicitly discretised fluid flow equations by operator-splitting. J. Comput. Phys. 1986, 62, 40–65. [Google Scholar] [CrossRef]
- Issa, R.I.; Gosman, A.; Watkins, A. The computation of compressible and incompressible recirculating flows by a non-iterative implicit scheme. J. Comput. Phys. 1986, 62, 66–82. [Google Scholar] [CrossRef]
- Patankar, S.V.; Spalding, D.B. A calculation procedure for heat, mass and momentum transfer in three-dimensional parabolic flows. In Numerical Prediction of Flow, Heat Transfer, Turbulence and Combustion; Elsevier: Amsterdam, The Netherlands, 1983; pp. 54–73. [Google Scholar]
- Ferziger, J.H.; Perić, M.; Street, R.L. Computational Methods for Fluid Dynamics; Springer: Berlin/Heidelberg, Germany, 2002; Volume 3. [Google Scholar]
- Bai, X.; Zhang, W.; Fang, Q.; Wang, Y.; Zheng, J.; Guo, A. The visualization of turbulent coherent structure in open channel flow. J. Hydrodyn. 2019, 31, 266–273. [Google Scholar] [CrossRef]












| No. of the Section | c (mm) | (rad) | |
|---|---|---|---|
| 1 | |||
| 2 | |||
| 3 | |||
| 4 | |||
| 5 | |||
| 6 | |||
| 7 | |||
| 8 | |||
| 9 |
| Turbine Parameter | Value | |
|---|---|---|
| Number of the blades | 3 | |
| Rotor diameter | D () | 200 |
| Hub ratio | 20% | |
| Nacelle diameter | () | 40 |
| Length of diffuser | () | 149.2 |
| Radius of diffuser inlet | () | 135 |
| Radius of diffuser outlet | () | 108 |
| Thickness of diffuser | () | 5 |
| Tip clearance size | () | 5 |
| Tip speed ratio | ∼ | |
| Bulk velocity | () | 3.5 |
| Reference temperature | T () | 288 |
| Patch | Velocity | Pressure | Turbulent Kinetic Energy |
|---|---|---|---|
| inlet | codedFixedValue | inletOutlet | fixedValue |
| outlet | inletOutlet | zeroGradient | zeroGradient |
| top | slip | zeroGradient | zeroGradient |
| staticWalls | fixedValue | zeroGradient | kqRWallFunction |
| rotationWalls | movingWallVelocity | zeroGradient | kqRWallFunction |
| Case | No. of Celles | Clock Time (hour) | Max Wall of Rotation Region | Mean Power Coefficient | Relative Error |
|---|---|---|---|---|---|
| Coarsest | 2,898,716 | 15.9 | >70 | 0.337 | |
| Coarse | 3,574,652 | 18.4 | ≈50 | 0.331 | |
| Medium | 7,446,432 | 83.1 | ≈16 | 0.304 | |
| Fine | 9,847,484 | 108.6 | ≈13 | 0.301 | |
| Finest | 11,304,968 | 130.3 | ≈11 | 0.302 | − |
Disclaimer/Publisher’s Note: The statements, opinions and data contained in all publications are solely those of the individual author(s) and contributor(s) and not of MDPI and/or the editor(s). MDPI and/or the editor(s) disclaim responsibility for any injury to people or property resulting from any ideas, methods, instructions or products referred to in the content. |
© 2022 by the authors. Licensee MDPI, Basel, Switzerland. This article is an open access article distributed under the terms and conditions of the Creative Commons Attribution (CC BY) license (https://creativecommons.org/licenses/by/4.0/).
Share and Cite
Zang, W.; Zheng, Y.; Zhang, Y.; Lin, X.; Li, Y.; Fernandez-Rodriguez, E. Numerical Investigation on a Diffuser-Augmented Horizontal Axis Tidal Stream Turbine with the Entropy Production Theory. Mathematics 2023, 11, 116. https://doi.org/10.3390/math11010116
Zang W, Zheng Y, Zhang Y, Lin X, Li Y, Fernandez-Rodriguez E. Numerical Investigation on a Diffuser-Augmented Horizontal Axis Tidal Stream Turbine with the Entropy Production Theory. Mathematics. 2023; 11(1):116. https://doi.org/10.3390/math11010116
Chicago/Turabian StyleZang, Wei, Yuan Zheng, Yuquan Zhang, Xiangfeng Lin, Yanwei Li, and Emmanuel Fernandez-Rodriguez. 2023. "Numerical Investigation on a Diffuser-Augmented Horizontal Axis Tidal Stream Turbine with the Entropy Production Theory" Mathematics 11, no. 1: 116. https://doi.org/10.3390/math11010116
APA StyleZang, W., Zheng, Y., Zhang, Y., Lin, X., Li, Y., & Fernandez-Rodriguez, E. (2023). Numerical Investigation on a Diffuser-Augmented Horizontal Axis Tidal Stream Turbine with the Entropy Production Theory. Mathematics, 11(1), 116. https://doi.org/10.3390/math11010116

