Analysis of Non-Linear Radiation and Activation Energy Analysis on Hydromagnetic Reiner–Philippoff Fluid Flow with Cattaneo–Christov Double Diffusions
Abstract
:1. Introduction
2. Mathematical Modeling
Engineering Physical Quantities
3. Numerical Scheme
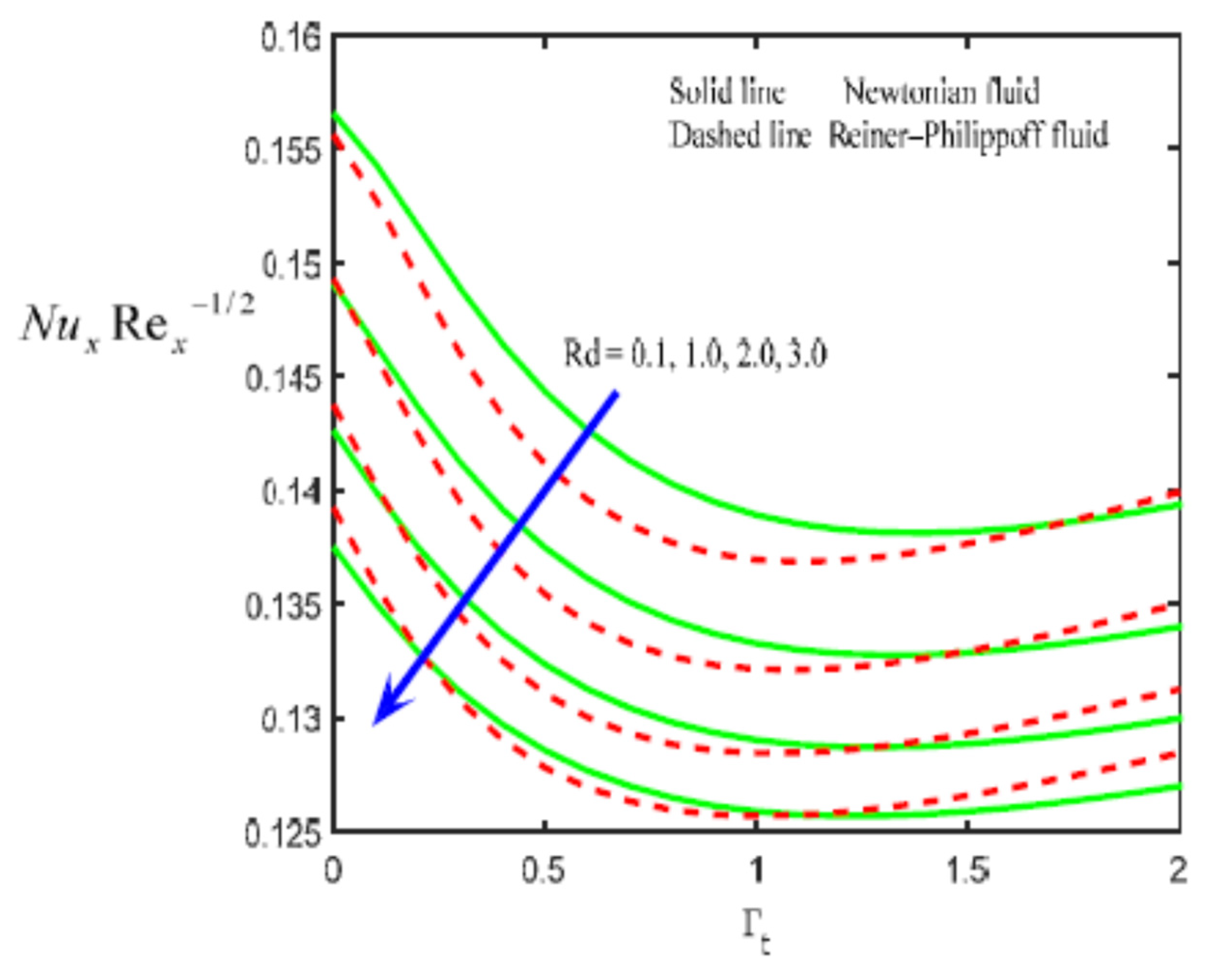
4. Graphical Discussion
5. Conclusions
- The flow field and associated hydrodynamical layer have diminished for Hartmann number .
- An upsurge in radiation improves the thermal profile.
- The boundary layer of concentration and thermal distribution exhibit a similar trend for the applied magnetic field.
- An increase in thermal and solutal relaxation time parameters lead to both the fluid temperature and species concentration being reduced.
- The impact of thermal and solutal Biot numbers on the energy and concentration have a similar behavior.
- Species distribution boosts the higher dimensionless activation energy parameter .
- The present fluid model is simplified to Newtonian fluid if .
- New numerical schemes based on the homotopy analysis method will be introduced in the future to calculate non-Newtonian nanofluidic problems with several variations.
Author Contributions
Funding
Institutional Review Board Statement
Informed Consent Statement
Data Availability Statement
Conflicts of Interest
References
- Ahmad, A.; Qasim, M.; Ahmed, S. Flow of Reiner–Philippoff fluid over a stretching sheet with variable thickness. J. Braz. Soc. Mech. Sci. Eng. 2017, 39, 4469–4473. [Google Scholar] [CrossRef]
- Ullah, A.; Alzahrani, E.O.; Shah, Z.; Ayaz, M.; Islam, S. Nanofluids Thin Film Flow of Reiner-Philippoff Fluid over an Unstable Stretching Surface with Brownian Motion and Thermophoresis Effects. Coatings 2018, 9, 21. [Google Scholar] [CrossRef] [Green Version]
- Kumar, K.G.; Machireddy, G.R.; Sudharani, M.; Shehzad, S.; Chamkha, A.J. Cattaneo–Christov heat diffusion phenomenon in Reiner–Philippoff fluid through a transverse magnetic field. Phys. A Stat. Mech. Its Appl. 2020, 541, 123330. [Google Scholar] [CrossRef]
- Sajid, T.; Sagheer, M.; Hussain, S. Impact of Temperature-Dependent Heat Source/Sink and Variable Species Diffusivity on Radiative Reiner–Philippoff Fluid. Math. Probl. Eng. 2020, 2020, 9701860. [Google Scholar] [CrossRef]
- Tahir, M.; Ahmad, A. Impact of pseudoplaticity and dilatancy of fluid on peristaltic flow and heat transfer: Reiner-Philippoff fluid model. Adv. Mech. Eng. 2020, 12. [Google Scholar] [CrossRef]
- Hayat, T.; Qayyum, S.; Shehzad, S.A.; Alsaedi, A. Cattaneo-Christov double-diffusion theory for three-dimensional flow of viscoelastic nanofluid with the effect of heat generation/absorption. Results Phys. 2018, 8, 489–495. [Google Scholar] [CrossRef]
- Iqbal, Z.; Khan, M.; Ahmed, A.; Ahmed, J.; Hafeez, A. Thermal energy transport in Burgers nanofluid flow featuring the Cattaneo–Christov double diffusion theory. Appl. Nanosci. 2020, 10, 5331–5342. [Google Scholar] [CrossRef]
- Khan, M.I.; Hafeez, M.U.; Hayat, T.; Alsaedi, A. Fully developed Darcy-Forchheimer nanomaterial flow with Cattaneo–Christov (CC) double diffusion model. Mod. Phys. Lett. B 2020, 34, 2050214. [Google Scholar] [CrossRef]
- Ali, B.; Hussain, S.; Nie, Y.; Hussein, A.K.; Habib, D. Finite element investigation of Dufour and Soret impacts on MHD rotating flow of Oldroyd-B nanofluid over a stretching sheet with double diffusion Cattaneo Christov heat flux model. Powder Technol. 2021, 377, 439–452. [Google Scholar] [CrossRef]
- Shehzad, S.A.; Reddy, M.G.; Rauf, A.; Abbas, Z. Bioconvection of Maxwell nanofluid under the influence of double diffusive Cattaneo–Christov theories over isolated rotating disk. Phys. Scr. 2020, 95, 045207. [Google Scholar] [CrossRef]
- Khalil, K.M.; Soleiman, A.; Megahed, A.M.; Abbas, W. Impact of Variable Fluid Properties and Double Diffusive Cattaneo–Christov Model on Dissipative Non-Newtonian Fluid Flow Due to a Stretching Sheet. Mathematics 2022, 10, 1179. [Google Scholar] [CrossRef]
- Hayat, T.; Muhammad, T.; Shehzad, S.A.; Alsaedi, A. On magnetohydrodynamic flow of nanofluid due to a rotating disk with slip effect: A numerical study. Comput. Methods Appl. Mech. Eng. 2017, 315, 467–477. [Google Scholar] [CrossRef]
- Prasannakumara, B.; Machireddy, G.R.; Thammanna, G.; Gireesha, B. MHD Double-diffusive boundary-layer flow of a Maxwell nanofluid over a bidirectional stretching sheet with Soret and Dufour effects in the presence of radiation. Nonlinear Eng. 2018, 7, 195–205. [Google Scholar] [CrossRef]
- Wahid, N.S.; Arifin, N.M.; Turkyilmazoglu, M.; Rahmin, N.A.A.; Hafidzuddin, M.E.H. Effect of magnetohydrodynamic Casson fluid flow and heat transfer past a stretching surface in porous medium with slip condition. J. Phys. Conf. Ser. 2019, 1366, 012028. [Google Scholar] [CrossRef]
- Qayyum, S.; Khan, M.I.; Chammam, W.; Khan, W.A.; Ali, Z.; Ul-Haq, W. Modeling and theoretical investigation of curved parabolized surface of second-order velocity slip flow: Combined analysis of entropy generation and activation energy. Mod. Phys. Lett. B 2020, 34, 2050383. [Google Scholar] [CrossRef]
- Radhika, M.; Gowda, R.J.P.; Naveenkumar, R.; Siddabasappa; Prasannakumara, B.C. Heat transfer in dusty fluid with suspended hybrid nanoparticles over a melting surface. Heat Transf. 2020, 50, 2150–2167. [Google Scholar] [CrossRef]
- Konduru, S.; Ramanahalli, J.P.G.; Ioannis, E.S.; Rangaswamy, N.K.; Ballajja, C.P. Effect of magnetohydrodynamics on heat transfer behaviour of a non-Newtonian fluid Flow over a stretching sheet under local thermal non-equilibrium condition. Fluids 2021, 6, 264. [Google Scholar] [CrossRef]
- Tunde, A.Y.; Fazle, M.; Prasannakumara, B.C.; Ioannis, E.S. Magneto-Bioconvection flow of Williamson nanofluid over an inclined plate with gyrotactic microorganisms and entropy generation. Fluids 2021, 6, 109. [Google Scholar] [CrossRef]
- Hasan, S.; Xinhua, W.; Ioannis, S.; Kaleem, I.; Muhammad, B.H.; Marek, K. Study of Non-Newtonian biomagnetic blood flow in a stenosed bifurcated artery having elastic walls. Sci. Rep. 2021, 11, 23835. [Google Scholar] [CrossRef]
- Ramanahalli, J.P.G.; Rangaswamy, N.K.; Anigere, M.J.; Ballajja, C.P.; Ioannis, E.S. Impact of binary chemical reaction and activation energy on heat and mass transfer of marangoni driven boundary layer flow of a non-Newtonian nanofluid. Processes 2021, 9, 702. [Google Scholar] [CrossRef]
- Megahed, A.M.; Reddy, M.G.; Abbas, W. Modeling of MHD fluid flow over an unsteady stretching sheet with thermal radiation, variable fluid properties and heat flux. Math. Comput. Simul. 2021, 185, 583–593. [Google Scholar] [CrossRef]
- Abbas, W.; Megahed, A.M. Numerical solution for chemical reaction and viscous dissipation phenomena on non-Newtonian MHD fluid flow and heat mass transfer due to a nonuniform stretching sheet with thermal radiation. Int. J. Mod. Phys. C 2021, 32, 2150124. [Google Scholar] [CrossRef]
- Kumar, K.G.; Gireesha, B.J.; Prasannakumara, B.; Ramesh, G.; Makinde, O.D. Phenomenon of Radiation and Viscous Dissipation on Casson Nanoliquid Flow Past a Moving Melting Surface. Diffus. Found. 2017, 11, 33–42. [Google Scholar] [CrossRef]
- Qayyum, S.; Khan, M.I.; Hayat, T.; Alsaedi, A. A framework for nonlinear thermal radiation and homogeneous-heterogeneous reactions flow based on silver-water and copper-water nanoparticles: A numerical model for probable error. Results Phys. 2017, 7, 1907–1914. [Google Scholar] [CrossRef]
- Prasannakumara, B.; Gireesha, B.; Krishnamurthy, M.; Kumar, K.G. MHD flow and nonlinear radiative heat transfer of Sisko nanofluid over a nonlinear stretching sheet. Inform. Med. Unlocked 2017, 9, 123–132. [Google Scholar] [CrossRef]
- Hayat, T.; Kanwal, M.; Qayyum, S.; Alsaedi, A. Entropy generation optimization of MHD Jeffrey nanofluid past a stretchable sheet with activation energy and non-linear thermal radiation. Phys. A Stat. Mech. Its Appl. 2020, 544, 123437. [Google Scholar] [CrossRef]
- Khan, M.I.; Qayyum, S.; Waqas, M.; Hayat, T.; Alsaedi, A. Framing the novel aspects of irreversibilty in MHD flow of Williamson nanomaterial with thermal radiation near stagnation point. J. Therm. Anal. 2019, 139, 1291–1299. [Google Scholar] [CrossRef]
- Khan, M.I.; Qayyum, S.; Hayat, T.; Waqas, M.; Alsaedi, A. Entropy generation minimization and binary chemical reaction with Arrhenius activation energy in MHD radiative flow of nanomaterial. J. Mol. Liq. 2018, 259, 274–283. [Google Scholar] [CrossRef]
- Qayyum, S.; Hayat, T.; Kanwal, M.; Alsaedi, A.; Khan, M.I. Transportation of entropy optimization in radiated chemically dissipative flow of Prandtl–Eyring nanofluid with activation energy. Comput. Methods Programs Biomed. 2020, 184, 105130. [Google Scholar] [CrossRef]
- Kotresh, M.J.; Ramesh, G.K.; Shashikala, V.K.R.; Prasannakumara, B.C. Assessment of Arrhenius activation energy in stretched flow of nanofluid over a rotating disc. Heat Transf. 2020, 50, 2807–2828. [Google Scholar] [CrossRef]
- Khan, M.I.; Alzahrani, F. Activation energy and binary chemical reaction effect in nonlinear thermal radiative stagnation point flow of Walter-B nanofluid: Numerical computations. Int. J. Mod. Phys. B 2020, 34, 2050132. [Google Scholar] [CrossRef]
- Jayadevamurthy, P.G.R.; Rangaswamy, N.K.; Prasannakumara, B.C.; Nisar, K.S. Emphasis on unsteady dynamics of bioconvective hybrid nanofluid flow over an upward–downward moving rotating disk. Numer. Methods Part. Differ. Equ. 2020, 22680. [Google Scholar] [CrossRef]
- Shehzad, S.; Hayat, T.; Alsaedi, A. Influence of convective heat and mass conditions in MHD flow of nanofluid. Bull. Pol. Acad. Sci. Tech. Sci. 2015, 63, 465–474. [Google Scholar] [CrossRef]
- Prasannakumara, B.; Gireesha, B.; Krishnamurthy, M.; Gorla, R.S.R. Slip flow and nonlinear radiative heat transfer of suspended nanoparticles due to a rotating disk in the presence of convective boundary condition. Int. J. Nanopart. 2017, 9, 180. [Google Scholar] [CrossRef]
- Hayat, T.; Saif, R.S.; Ellahi, R.; Muhammad, T.; Ahmad, B. Numerical study of boundary-layer flow due to a nonlinear curved stretching sheet with convective heat and mass conditions. Results Phys. 2017, 7, 2601–2606. [Google Scholar] [CrossRef]
- Gireesha, B.; Kumar, K.G.; Ramesh, G.; Prasannakumara, B. Nonlinear convective heat and mass transfer of Oldroyd-B nanofluid over a stretching sheet in the presence of uniform heat source/sink. Results Phys. 2018, 9, 1555–1563. [Google Scholar] [CrossRef]
- Muhammad, K.; Hayat, T.; Alsaedi, A. Squeezed flow of Jeffrey nanomaterial with convective heat and mass conditions. Phys. Scr. 2019, 94, 105703. [Google Scholar] [CrossRef]



















Publisher’s Note: MDPI stays neutral with regard to jurisdictional claims in published maps and institutional affiliations. |
© 2022 by the authors. Licensee MDPI, Basel, Switzerland. This article is an open access article distributed under the terms and conditions of the Creative Commons Attribution (CC BY) license (https://creativecommons.org/licenses/by/4.0/).
Share and Cite
Nasr, M.E.; Gnaneswara Reddy, M.; Abbas, W.; Megahed, A.M.; Awwad, E.; Khalil, K.M. Analysis of Non-Linear Radiation and Activation Energy Analysis on Hydromagnetic Reiner–Philippoff Fluid Flow with Cattaneo–Christov Double Diffusions. Mathematics 2022, 10, 1534. https://doi.org/10.3390/math10091534
Nasr ME, Gnaneswara Reddy M, Abbas W, Megahed AM, Awwad E, Khalil KM. Analysis of Non-Linear Radiation and Activation Energy Analysis on Hydromagnetic Reiner–Philippoff Fluid Flow with Cattaneo–Christov Double Diffusions. Mathematics. 2022; 10(9):1534. https://doi.org/10.3390/math10091534
Chicago/Turabian StyleNasr, Mohamed E., Machireddy Gnaneswara Reddy, W. Abbas, Ahmed M. Megahed, Essam Awwad, and Khalil M. Khalil. 2022. "Analysis of Non-Linear Radiation and Activation Energy Analysis on Hydromagnetic Reiner–Philippoff Fluid Flow with Cattaneo–Christov Double Diffusions" Mathematics 10, no. 9: 1534. https://doi.org/10.3390/math10091534
APA StyleNasr, M. E., Gnaneswara Reddy, M., Abbas, W., Megahed, A. M., Awwad, E., & Khalil, K. M. (2022). Analysis of Non-Linear Radiation and Activation Energy Analysis on Hydromagnetic Reiner–Philippoff Fluid Flow with Cattaneo–Christov Double Diffusions. Mathematics, 10(9), 1534. https://doi.org/10.3390/math10091534

