Buckling Response of Functionally Graded Porous Plates Due to a Quasi-3D Refined Theory
Abstract
:1. Introduction
2. Problem Definition and Modeling
2.1. Structural Definition
- Model I: Isotropic FG Plates
- Model II: FG Sandwich Plates (FG Faces with a Homogenous Core Plate)
- Model III: FG Sandwich Plates (Homogenous Faces with an FG Core Plate)
2.2. The Quasi-3D Refined Theory
2.3. Equilibrium Equations
3. Closed-Form Solution
4. Numerical Results and Discussions
4.1. FG Porous Plates
4.2. FG Porous Sandwich Plates
- The (1-0-1) FG Sandwich Porous Plate
- The (1-1-1) FG Sandwich Porous Plate
- The (1-2-1) FG Sandwich Porous Plate
- The (2-1-2) FG Sandwich Porous Plate
- The (2-2-1) FG Sandwich Porous Plate
- The (2-1-1) FG Sandwich Porous Plate
- The (1-3-1) FG Sandwich Porous Plate
5. Conclusions
- The current formulation accurately predicted the FG perfect plate buckling response compared with the higher-order shear deformation theory.
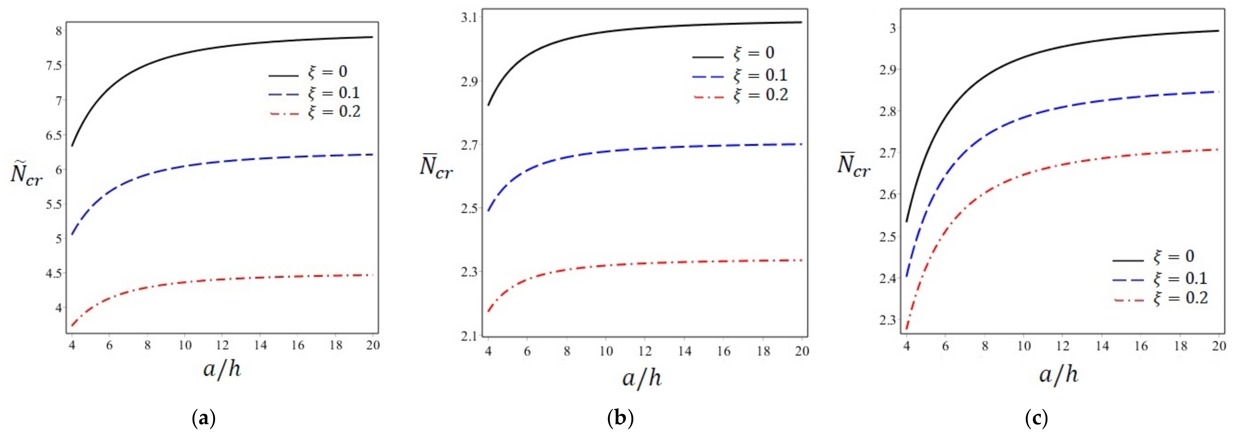
- The effect of thickness stretching appeared to be significant in the thicker plates. Still, the thickness stretching effect must always be considered in the formulation for thinner structures.
- The present results show the porosity’s effect on reducing the stiffness of the plate, which decreased the critical buckling of the FG plate.
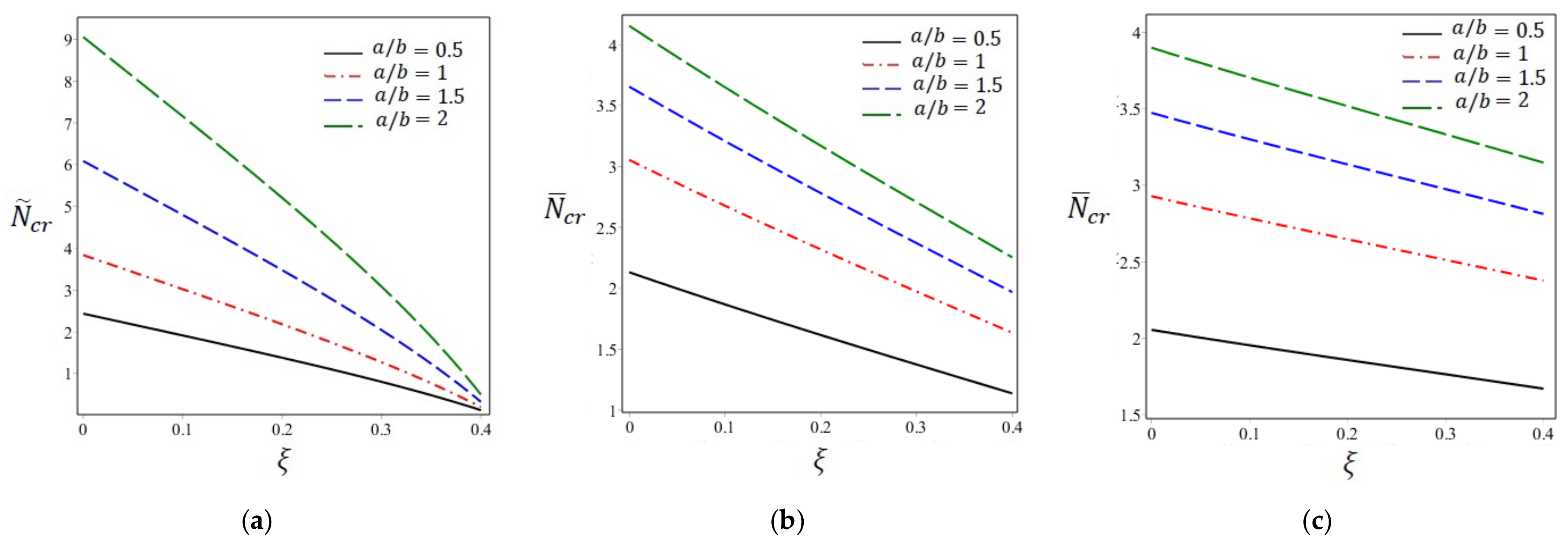
- The impact of the porosity on the buckling of the porous plate increased with the rise in the side-to-thickness ratio.
- The FG porous plates’ configuration and aspect ratio significantly affected the porosity’s impact on the buckling of FG porous plates.
- The critical buckling of FG porous plates under biaxial load had a lower value than a uniaxial buckling load for any value of the volume fraction exponent, side-to-thickness ratio, or porosity parameter.
- In Models I and II, the critical buckling decreased with the rise in the volume fraction exponent. On the other hand, the critical buckling of Model III increased with the increase in the volume fraction exponent, which made the structure more reliable than the other forms.
- Among Model II’s configurations, the structure (1-2-1) had the highest buckling load among the other structures.
Author Contributions
Funding
Data Availability Statement
Acknowledgments
Conflicts of Interest
References
- Daouadji, T.H.; Adim, B. An analytical approach for buckling of functionally graded plates. Adv. Mater. Res. 2016, 5, 141. [Google Scholar] [CrossRef]
- Shariat, B.S.; Eslami, M. Buckling of thick functionally graded plates under mechanical and thermal loads. Compos. Struct. 2007, 78, 433–439. [Google Scholar] [CrossRef]
- Liu, Z.; Wang, C.; Duan, G.; Tan, J. A new refined plate theory with isogeometric approach for the static and buckling analysis of functionally graded plates. Int. J. Mech. Sci. 2019, 161, 105036. [Google Scholar] [CrossRef]
- Bellifa, H.; Bakora, A.; Tounsi, A.; Bousahla, A.A.; Mahmoud, S. An efficient and simple four variable refined plate theory for buckling analysis of functionally graded plates. Steel Compos. Struct. 2017, 25, 257–270. [Google Scholar]
- Parida, S.; Mohanty, S.C. Free vibration and buckling analysis of functionally graded plates resting on elastic foundation using higher order theory. Int. J. Struct. Stab. Dyn. 2018, 18, 1850049. [Google Scholar] [CrossRef]
- Zenkour, A.; Aljadani, M. Mechanical buckling of functionally graded plates using a refined higher-order shear and normal deformation plate theory. Adv. Aircr. Spacecr. Sci. 2018, 5, 615. [Google Scholar]
- Sharifan, M.H.; Jabbari, M. Mechanical buckling analysis of saturated porous functionally graded elliptical plates subjected to in-plane force resting on two parameters elastic foundation based on hsdt. J. Press. Vessel Technol. 2020, 142, 041302. [Google Scholar] [CrossRef]
- Khorasani, M.; Elahi, H.; Eugeni, M.; Lampani, L.; Civalek, O. Vibration of FG Porous Three-Layered Beams Equipped by Agglomerated Nanocomposite Patches Resting on Vlasov’s Foundation. Transp. Porous Media In press. 2021. [Google Scholar] [CrossRef]
- Zenkour, A. A comprehensive analysis of functionally graded sandwich plates: Part 2—Buckling and free vibration. Int. J. Solids Struct. 2005, 42, 5243–5258. [Google Scholar] [CrossRef]
- Neves, A.; Ferreira, A.; Carrera, E.; Cinefra, M.; Roque, C.; Jorge, R.; Soares, C.M. Static, free vibration and buckling analysis of isotropic and sandwich functionally graded plates using a quasi-3D higher-order shear deformation theory and a meshless technique. Compos. Part B Eng. 2013, 44, 657–674. [Google Scholar] [CrossRef] [Green Version]
- Nguyen, T.-K.; Vo, T.P.; Thai, H.-T. Vibration and buckling analysis of functionally graded sandwich plates with improved transverse shear stiffness based on the first-order shear deformation theory. Proc. Inst. Mech. Eng. Part C J. Mech. Eng. Sci. 2014, 228, 2110–2131. [Google Scholar] [CrossRef] [Green Version]
- Mantari, J.; Monge, J. Buckling, free vibration and bending analysis of functionally graded sandwich plates based on an optimized hyperbolic unified formulation. Int. J. Mech. Sci. 2016, 119, 170–186. [Google Scholar] [CrossRef]
- Nguyen, K.; Thai, H.-T.; Vo, T. A refined higher-order shear deformation theory for bending, vibration and buckling analysis of functionally graded sandwich plates. Steel Compos. Struct. 2015, 18, 91–120. [Google Scholar] [CrossRef] [Green Version]
- Neves, A.; Ferreira, A.; Carrera, E.; Cinefra, M.; Jorge, R.; Soares, C. Buckling analysis of sandwich plates with functionally graded skins using a new quasi-3D hyperbolic sine shear deformation theory and collocation with radial basis functions. ZAMM-J. Appl. Math. Mech./Z. Angew. Math. Mech. 2012, 92, 749–766. [Google Scholar] [CrossRef]
- Akavci, S.S. Mechanical behavior of functionally graded sandwich plates on elastic foundation. Compos. Part B Eng. 2016, 96, 136–152. [Google Scholar] [CrossRef]
- Tounsi, A.; Houari, M.S.A.; Bessaim, A. A new 3-unknowns non-polynomial plate theory for buckling and vibration of functionally graded sandwich plate. Struct. Eng. Mech. 2016, 60, 547–565. [Google Scholar] [CrossRef]
- Nguyen, V.-H.; Nguyen, T.-K.; Thai, H.-T.; Vo, T.P. A new inverse trigonometric shear deformation theory for isotropic and functionally graded sandwich plates. Compos. Part B Eng. 2014, 66, 233–246. [Google Scholar] [CrossRef] [Green Version]
- Zhu, J.; Lai, Z.; Yin, Z.; Jeon, J.; Lee, S. Fabrication of ZrO2–NiCr functionally graded material by powder metallurgy. Mater. Chem. Phys. 2001, 68, 130–135. [Google Scholar] [CrossRef]
- Masjedi, P.K.; Maheri, A.; Weaver, P.M. Large deflection of functionally graded porous beams based on a geometrically exact theory with a fully intrinsic formulation. Appl. Math. Model. 2019, 76, 938–957. [Google Scholar] [CrossRef]
- Mota, A.F.; Loja, M.A.R.; Barbosa, J.I.; Rodrigues, J.A. Porous Functionally Graded Plates: An Assessment of the Influence of Shear Correction Factor on Static Behavior. Math. Comput. Appl. 2020, 25, 25. [Google Scholar] [CrossRef]
- Kumar, R.; Lal, A.; Singh, B.; Singh, J. Meshfree approach on buckling and free vibration analysis of porous FGM plate with proposed IHHSDT resting on the foundation. Curved Layer. Struct. 2019, 6, 192–211. [Google Scholar] [CrossRef]
- Dhuria, M.; Grover, N.; Goyal, K. Influence of porosity distribution on static and buckling responses of porous functionally graded plates. Structures 2021, 34, 1458–1474. [Google Scholar]
- Fan, F.; Safaei, B.; Sahmani, S. Buckling and postbuckling response of nonlocal strain gradient porous functionally graded micro/nano-plates via NURBS-based isogeometric analysis. Thin-Walled Struct. 2021, 159, 107231. [Google Scholar] [CrossRef]
- Babaei, H.; Jabbari, M.; Eslami, M.R. The effect of porosity on elastic stability of toroidal shell segments made of saturated porous functionally graded materials. J. Press. Vessel Technol. 2021, 143, 031501. [Google Scholar] [CrossRef] [PubMed]
- Tran, T.T.; Tran, V.K.; Pham, Q.-H.; Zenkour, A.M. Extended four-unknown higher-order shear deformation nonlocal theory for bending, buckling and free vibration of functionally graded porous nanoshell resting on elastic foundation. Compos. Struct. 2021, 264, 113737. [Google Scholar] [CrossRef]
- Thom, D.V.; Zenkour, A.M.; Doan, D.H. Buckling of cracked FG plate resting on elastic foundation considering the effect of delamination phenomenon. Compos. Struct. 2021, 273, 114278. [Google Scholar] [CrossRef]
- Daikh, A.A.; Zenkour, A.M. Free vibration and buckling of porous power-law and sigmoid functionally graded sandwich plates using a simple higher-order shear deformation theory. Mater. Res. Express 2019, 6, 115707. [Google Scholar] [CrossRef]
- Chen, D.; Yang, J.; Kitipornchai, S. Buckling and bending analyses of a novel functionally graded porous plate using Chebyshev-Ritz method. Arch. Civ. Mech. Eng. 2019, 19, 157–170. [Google Scholar] [CrossRef]
- Xu, K.; Yuan, Y.; Li, M. Buckling behavior of functionally graded porous plates integrated with laminated composite faces sheets. Steel Compos. Struct. 2019, 32, 633–642. [Google Scholar]
- Singh, S.; Harsha, S. Analysis of porosity effect on free vibration and buckling responses for sandwich sigmoid function based functionally graded material plate resting on Pasternak foundation using Galerkin Vlasov’s method. J. Sandw. Struct. Mater. 2020, 23(5), 1717–1760. [Google Scholar] [CrossRef]
- Mojahedin, A.; Jabbari, M.; Khorshidvand, A.; Eslami, M. Buckling analysis of functionally graded circular plates made of saturated porous materials based on higher order shear deformation theory. Thin-Walled Struct. 2016, 99, 83–90. [Google Scholar] [CrossRef]
- Yang, J.; Chen, D.; Kitipornchai, S. Buckling and free vibration analyses of functionally graded graphene reinforced porous nanocomposite plates based on Chebyshev-Ritz method. Compos. Struct. 2018, 193, 281–294. [Google Scholar] [CrossRef]
- Vo, T.P.; Thai, H.-T.; Nguyen, T.-K.; Inam, F.; Lee, J. A quasi-3D theory for vibration and buckling of functionally graded sandwich beams. Compos. Struct. 2015, 119, 1–12. [Google Scholar] [CrossRef] [Green Version]
- Sobhy, M.; Radwan, A.F. A new quasi 3D nonlocal plate theory for vibration and buckling of FGM nanoplates. Int. J. Appl. Mech. 2017, 9, 1750008. [Google Scholar] [CrossRef]
- Shahsavari, D.; Karami, B.; Fahham, H.R.; Li, L. On the shear buckling of porous nanoplates using a new size-dependent quasi-3D shear deformation theory. Acta Mech. 2018, 229, 4549–4573. [Google Scholar] [CrossRef]
- Van Do, V.N.; Lee, C.-H. Quasi-3D higher-order shear deformation theory for thermal buckling analysis of FGM plates based on a meshless method. Aerosp. Sci. Technol. 2018, 82, 450–465. [Google Scholar]
- Mashat, D.S.; Zenkour, A.M.; Radwan, A.F. A quasi 3-D higher-order plate theory for bending of FG plates resting on elastic foundations under hygro-thermo-mechanical loads with porosity. Eur. J. Mech.-A/Solids 2020, 82, 103985. [Google Scholar] [CrossRef]
- Zenkour, A. Quasi-3D Refined Theory for Functionally Graded Porous Plates: Displacements and Stresses. Phys. Mesomech. 2020, 23, 39–53. [Google Scholar] [CrossRef]
- Doan, T.N.; Thanh, N.T.; Van Chuong, P.; Tho, N.C.; Ta, N.T.; Nguyen, H.N. Analysis of stress concentration phenomenon of cylinder laminated shells using higher-order shear deformation Quasi-3D theory. Compos. Struct. 2020, 232, 111526. [Google Scholar] [CrossRef]
- Akavci, S.; Tanrikulu, A. Static and free vibration analysis of functionally graded plates based on a new quasi-3D and 2D shear deformation theories. Compos. Part B Eng. 2015, 83, 203–215. [Google Scholar] [CrossRef]
- Thai, H.-T.; Kim, S.-E. A simple quasi-3D sinusoidal shear deformation theory for functionally graded plates. Compos. Struct. 2013, 99, 172–180. [Google Scholar] [CrossRef]
- Thai, C.H.; Ferreira, A.; Tran, T.; Phung-Van, P. A size-dependent quasi-3D isogeometric model for functionally graded graphene platelet-reinforced composite microplates based on the modified couple stress theory. Compos. Struct. 2020, 234, 111695. [Google Scholar] [CrossRef]
- Neves, A.; Ferreira, A.; Carrera, E.; Cinefra, M.; Roque, C.; Jorge, R.; Soares, C. A quasi-3D hyperbolic shear deformation theory for the static and free vibration analysis of functionally graded plates. Compos. Struct. 2012, 94, 1814–1825. [Google Scholar] [CrossRef]
- Reddy, B.S.; Kumar, J.S.; Reddy, C.E.; Reddy, K. Buckling analysis of functionally graded material plates using higher order shear deformation theory. J. Compos. 2013, 2013. [Google Scholar] [CrossRef] [Green Version]
- Thai, H.-T.; Choi, D.-H. An efficient and simple refined theory for buckling analysis of functionally graded plates. Appl. Math. Model. 2012, 36, 1008–1022. [Google Scholar] [CrossRef]
- Thinh, T.I.; Tu, T.M.; Quoc, T.H.; Long, N.V. Vibration and buckling analysis of functionally graded plates using new eight-unknown higher order shear deformation theory. Lat. Am. J. Solids Struct. 2016, 13, 456–477. [Google Scholar] [CrossRef] [Green Version]
- Zenkour, A. A comprehensive analysis of functionally graded sandwich plates: Part 1—Deflection and stresses. Int. J. Solids Struct. 2005, 42, 5224–5242. [Google Scholar] [CrossRef]
- Sobhy, M. Buckling and free vibration of exponentially graded sandwich plates resting on elastic foundations under various boundary conditions. Compos. Struct. 2013, 99, 76–87. [Google Scholar] [CrossRef]





| Theory | ||||||||||
|---|---|---|---|---|---|---|---|---|---|---|
| 0 | 0.5 | 1 | 2 | 5 | 10 | |||||
| 0.5 | 5 | Present | 6.43352 | 4.10285 | 3.06133 | 2.23716 | 1.71195 | 1.49599 | ||
| 6.96910 | 4.63564 | 3.62143 | 2.82963 | 2.28633 | 2.02068 | |||||
| 6.72084 | 4.42374 | 3.41659 | 2.64599 | 2.15129 | 1.92284 | |||||
| RSDT [6] | 6.963 | 4.630 | 3.618 | 2.830 | 2.283 | 2.018 | ||||
| HSDT [44] | 6.714 | 4.409 | 3.39 | 2.61 | 2.124 | 1.90 | ||||
| RSDT [45] | 6.7203 | 4.4235 | 3.4164 | 2.6451 | 2.1484 | 1.9213 | ||||
| 10 | Present | 6.91620 | 4.36526 | 3.25199 | 2.39253 | 1.89252 | 1.68723 | |||
| 7.49362 | 4.93859 | 3.85845 | 2.82963 | 2.53365 | 2.26485 | |||||
| 7.40554 | 4.82073 | 3.71118 | 2.88994 | 2.41739 | 2.19013 | |||||
| RSDT [6] | 7.480 | 4.928 | 3.852 | 3.041 | 2.530 | 2.259 | ||||
| HSDT [44] | 7.397 | 4.81 | 3.70 | 2.87 | 2.40 | 2.18 | ||||
| RSDT [45] | 7.405 | 4.82 | 3.71 | 2.88 | 2.41 | 2.18 | ||||
| 1 | 5 | Present | 15.57565 | 10.00664 | 7.47646 | 5.43900 | 4.06881 | 3.50879 | ||
| 16.87004 | 11.29550 | 8.82513 | 6.85195 | 5.42442 | 4.75810 | |||||
| 16.02248 | 10.62598 | 8.22513 | 6.34613 | 5.06271 | 4.48574 | |||||
| RSDT [6] | 16.866 | 11.288 | 8.823 | 6.855 | 5.418 | 4.755 | ||||
| HSDT [44] | 16.00 | 10.57 | 8.146 | 6.23 | 4.97 | 4.44 | ||||
| RSDT [45] | 16.02 | 10.62 | 8.22 | 6.34 | 5.05 | 4.48 | ||||
| 10 | Present | 17.44699 | 11.03593 | 8.22396 | 6.04171 | 4.74522 | 4.21204 | |||
| 18.90267 | 12.48193 | 9.75157 | 7.67526 | 6.34950 | 5.66185 | |||||
| 18.57932 | 12.12331 | 9.33944 | 7.26418 | 6.03894 | 5.45491 | |||||
| RSDT [6] | 18.873 | 12.459 | 9.738 | 7.673 | 6.341 | 5.650 | ||||
| HSDT [44] | 18.54 | 12.08 | 9.299 | 7.21 | 5.99 | 5.42 | ||||
| RSDT [45] | 18.57 | 12.12 | 9.33 | 7.26 | 6.03 | 5.45 | ||||
| Theory | ||||||||||
|---|---|---|---|---|---|---|---|---|---|---|
| 0 | 0.5 | 1 | 2 | 5 | 10 | |||||
| 0.5 | 5 | Present | 5.14681 | 3.28228 | 2.44907 | 1.78973 | 1.36956 | 1.19679 | ||
| 5.57528 | 3.70851 | 2.89714 | 2.26371 | 1.82906 | 1.61654 | |||||
| 5.37667 | 3.53899 | 2.73327 | 2.11679 | 1.72103 | 1.53827 | |||||
| RSDT [6] | 5.570 | 3.704 | 2.895 | 2.264 | 1.826 | 1.614 | ||||
| HSDT [46] | 5.4090 | 3.5652 | 2.7563 | 2.1348 | 1.7320 | 1.5474 | ||||
| RSDT [45] | 5.376 | 3.539 | 2.733 | 2.116 | 1.719 | 1.537 | ||||
| 10 | Present | 5.53296 | 3.49221 | 2.60159 | 1.91402 | 1.51402 | 1.34978 | |||
| 5.99490 | 3.95087 | 3.08676 | 2.43435 | 2.02692 | 1.81188 | |||||
| 5.92443 | 3.85658 | 2.96895 | 2.31195 | 1.93391 | 1.75211 | |||||
| RSDT [6] | 5.984 | 3.942 | 3.082 | 2.433 | 2.024 | 1.807 | ||||
| HSDT [46] | 5.9343 | 3.8644 | 2.9758 | 2.3174 | 1.9374 | 1.7551 | ||||
| RSDT [45] | 5.926 | 3.857 | 2.969 | 2.312 | 1.933 | 1.752 | ||||
| 1 | 5 | Present | 7.78782 | 5.00332 | 3.73823 | 2.71950 | 2.03440 | 1.75439 | ||
| 8.43502 | 5.64775 | 4.41256 | 3.42597 | 2.71221 | 2.37905 | |||||
| 8.01124 | 5.31299 | 4.11256 | 3.17306 | 2.53135 | 2.24287 | |||||
| SRSDT [6] | 8.433 | 5.644 | 4.411 | 3.427 | 2.709 | 2.377 | ||||
| HSDT [46] | 8.0826 | 5.3716 | 4.1643 | 3.2132 | 2.5549 | 2.2621 | ||||
| RSDT [45] | 8.011 | 5.313 | 4.112 | 3.172 | 2.527 | 2.240 | ||||
| 10 | Present | 8.72349 | 5.51796 | 4.11198 | 3.02085 | 2.37261 | 2.10602 | |||
| 9.45133 | 6.24096 | 4.87578 | 3.83763 | 3.17475 | 2.83092 | |||||
| 9.28966 | 6.06165 | 4.66972 | 3.63209 | 3.01947 | 2.72745 | |||||
| RSDT [6] | 9.436 | 6.229 | 4.869 | 3.836 | 3.170 | 2.825 | ||||
| HSDT [46] | 9.3139 | 6.0810 | 4.6867 | 3.6455 | 3.0280 | 2.7346 | ||||
| RSDT [45] | 9.289 | 6.062 | 4.670 | 3.632 | 3.018 | 2.726 | ||||
| Theory | 1-0-1 | 1-1-1 | 1-2-1 | 2-1-2 | 2-2-1 | 2-1-1 | ||
|---|---|---|---|---|---|---|---|---|
| 0 | Present | 6.61593 | 6.61593 | 6.61593 | 6.61593 | 6.61593 | 6.61593 | |
| 6.50276 | 6.50276 | 6.50276 | 6.50276 | 6.50276 | 6.50276 | |||
| SHSDT [27] | 6.50266 | 6.50266 | 6.50266 | 6.50266 | 6.50266 | 6.50266 | ||
| SSDT [9] | 6.50303 | 6.50303 | 6.50303 | 6.50303 | 6.50303 | 6.50303 | ||
| FPT [9] | 6.50224 | 6.50224 | 6.50224 | 6.50224 | 6.50224 | 6.50224 | ||
| CPT [9] | 6.86896 | 6.86896 | 6.86896 | 6.86896 | 6.86896 | 6.86896 | ||
| 0.5 | Present | 3.75098 | 4.29737 | 4.69467 | 4.04480 | 4.49177 | 4.19455 | |
| 3.68189 | 4.21823 | 4.60878 | 3.97022 | 4.40514 | 4.11235 | |||
| SHSDT [27] | 3.68250 | 4.21836 | 4.60832 | 3.97068 | 4.40504 | 4.11249 | ||
| SSDT [9] | 3.68284 | 4.21856 | 4.60835 | 3.97097 | 4.40519 | 4.11269 | ||
| FPT [9] | 3.66866 | 4.20517 | 4.59758 | 3.95660 | 4.39336 | 4.10007 | ||
| CPT [9] | 3.82699 | 4.39032 | 4.80762 | 4.12798 | 4.59127 | 4.28112 | ||
| 1 | Present | 2.63324 | 3.29531 | 3.82615 | 2.97666 | 3.55158 | 3.16779 | |
| 2.58314 | 3.23224 | 3.75359 | 2.91970 | 3.47476 | 3.09685 | |||
| SHSDT [27] | 2.58391 | 3.23252 | 3.75317 | 2.92032 | 3.47479 | 3.09713 | ||
| SSDT [9] | 2.58423 | 3.23270 | 3.75314 | 2.92060 | 3.47490 | 3.09731 | ||
| FPT [9] | 2.57118 | 3.21946 | 3.74182 | 2.90690 | 3.46286 | 3.08510 | ||
| CPT [9] | 2.66624 | 3.34075 | 3.89203 | 3.01366 | 3.59831 | 3.20195 | ||
| 5 | Present | 1.35326 | 1.82621 | 2.41649 | 1.55090 | 2.11731 | 1.75366 | |
| 1.32839 | 1.78936 | 2.36731 | 1.52070 | 2.05578 | 1.70140 | |||
| SHSDT [27] | 1.32960 | 1.79007 | 2.36739 | 1.52169 | 2.05625 | 1.70202 | ||
| SSDT [9] | 1.33003 | 1.79032 | 2.36744 | 1.52203 | 2.05644 | 1.70224 | ||
| FPT [9] | 1.31921 | 1.77979 | 2.35737 | 1.51126 | 2.04642 | 1.69269 | ||
| CPT [9] | 1.36540 | 1.82866 | 2.42859 | 1.55352 | 2.10619 | 1.74209 |
| Theory | 1-0-1 | 1-1-1 | 1-2-1 | 2-1-2 | 2-2-1 | 2-1-1 | ||
|---|---|---|---|---|---|---|---|---|
| 0 | Present | 13.23187 | 13.23187 | 13.23187 | 13.23187 | 13.23187 | 13.23187 | |
| 13.00552 | 13.00552 | 13.00552 | 13.00552 | 13.00552 | 13.00552 | |||
| SSDT [9] | 13.00606 | 13.00606 | 13.00606 | 13.00606 | 13.00606 | 13.00606 | ||
| FPT [9] | 13.00449 | 13.00449 | 13.00449 | 13.00449 | 13.00449 | 13.00449 | ||
| CPT [9] | 13.73791 | 13.73791 | 13.73791 | 13.73791 | 13.73791 | 13.73791 | ||
| 0.5 | Present | 7.50197 | 8.59474 | 9.38935 | 8.08961 | 8.98355 | 8.38910 | |
| 7.36379 | 8.43646 | 9.21757 | 7.94045 | 8.81028 | 8.22471 | |||
| SSDT [9] | 7.36568 | 8.43712 | 9.21670 | 7.94195 | 8.81037 | 8.22538 | ||
| FPT [9] | 7.33732 | 8.41034 | 9.19517 | 7.91320 | 8.78673 | 8.20015 | ||
| CPT [9] | 7.65398 | 8.78063 | 9.61525 | 8.25597 | 9.18254 | 8.56223 | ||
| 1 | Present | 5.26648 | 6.59063 | 7.65230 | 5.95333 | 7.10317 | 6.33559 | |
| 5.16629 | 6.46449 | 7.50718 | 5.83940 | 6.94952 | 6.19371 | |||
| SSDT [9] | 5.16846 | 6.46539 | 7.50629 | 5.84119 | 6.94980 | 6.19461 | ||
| FPT [9] | 5.14236 | 6.43892 | 7.48365 | 5.81379 | 6.92571 | 6.17020 | ||
| CPT [9] | 5.33248 | 6.68150 | 7.78406 | 6.02733 | 7.19663 | 6.40391 | ||
| 5 | Present | 2.70653 | 3.65243 | 4.83298 | 3.10180 | 4.23463 | 3.50732 | |
| 2.65678 | 3.57873 | 4.73462 | 3.04141 | 4.11156 | 3.40280 | |||
| SSDT [9] | 2.66006 | 3.58063 | 4.73488 | 3.04406 | 4.11288 | 3.40449 | ||
| FPT [9] | 2.63842 | 3.55958 | 4.71475 | 3.02252 | 4.09285 | 3.38538 | ||
| CPT [9] | 2.73080 | 3.65732 | 4.85717 | 3.10704 | 4.21238 | 3.48418 |
| ξ | Theory | 1-0-1 | 1-1-1 | 1-2-1 | 2-1-2 | 2-2-1 | 2-1-1 | ||
|---|---|---|---|---|---|---|---|---|---|
| 1 | 0 | Present | 1.81253 | 2.45270 | 3.05374 | 2.12331 | 2.74200 | 2.33140 | |
| 1.77764 | 2.40403 | 2.99365 | 2.08151 | 2.67312 | 2.26987 | ||||
| SHSDT [27] | 1.77856 | 2.40449 | 2.99342 | 2.08228 | 2.67334 | 2.27031 | |||
| 0.1 | Present | 1.38468 | 2.03504 | 2.67717 | 1.69386 | 2.32886 | 1.89483 | ||
| 1.36172 | 1.99689 | 2.62266 | 1.66433 | 2.27238 | 1.84858 | ||||
| SHSDT [27] | 1.36232 | 1.99718 | 2.62234 | 1.66484 | 2.27248 | 1.84884 | |||
| 0.2 | Present | 0.97393 | 1.63579 | 2.31862 | 1.28230 | 1.93035 | 1.47071 | ||
| 0.95997 | 1.60453 | 2.26577 | 1.26181 | 1.88151 | 1.43594 | ||||
| SHSDT [27] | 0.96028 | 1.60465 | 2.26539 | 1.26208 | 1.88149 | 1.43604 | |||
| 0 | 0 | Present | 3.62507 | 4.90541 | 6.10749 | 4.24663 | 5.48401 | 4.66280 | |
| 3.55528 | 4.80807 | 5.98730 | 4.16303 | 5.34624 | 4.53975 | ||||
| 0.1 | Present | 2.76936 | 4.07009 | 5.35434 | 3.38772 | 4.65773 | 3.78966 | ||
| 2.72345 | 3.99379 | 5.24532 | 3.32867 | 4.54476 | 3.69716 | ||||
| 0.2 | Present | 1.94786 | 3.27158 | 4.63724 | 2.56460 | 3.86071 | 2.94142 | ||
| 1.91995 | 3.20907 | 4.53155 | 2.52363 | 3.76302 | 2.87188 |
| Scheme | Theory | ||||||||
|---|---|---|---|---|---|---|---|---|---|
| 0 | 0.5 | 1 | 5 | 10 | |||||
| 5 | 1-1-1 | Present | 2.1327 | 2.3948 | 2.5199 | 2.8165 | 2.9065 | ||
| 2.2325 | 2.4797 | 2.6004 | 2.8910 | 2.9801 | |||||
| 2.0416 | 2.2654 | 2.3773 | 2.6540 | 2.7402 | |||||
| TSDT [17] | 2.0513 | 2.2342 | 2.3333 | 2.5978 | 2.6834 | ||||
| 1-2-1 | Present | 1.9134 | 2.3560 | 2.5556 | 3.0542 | 3.2185 | |||
| 2.0962 | 2.5015 | 2.6922 | 3.1764 | 3.3379 | |||||
| 1.9325 | 2.2935 | 2.4692 | 2.9317 | 3.0890 | |||||
| TSDT [17] | 1.9456 | 2.2725 | 2.4387 | 2.8964 | 3.0545 | ||||
| 2-2-1 | Present | 2.1427 | 2.5897 | 2.8218 | 3.3917 | 3.5641 | |||
| 2.3335 | 2.7596 | 2.9821 | 3.5327 | 3.7006 | |||||
| 2.1270 | 2.5305 | 2.7443 | 3.2801 | 3.4446 | |||||
| TSDT [17] | 2.1369 | 2.5023 | 2.7056 | 3.2351 | 3.4009 | ||||
| 10 | 1-1-1 | Present | 2.4428 | 2.6316 | 2.7340 | 3.0082 | 3.0989 | ||
| 2.5376 | 2.7172 | 2.8163 | 3.0851 | 3.1749 | |||||
| 2.3524 | 2.5289 | 2.6285 | 2.9038 | 2.9964 | |||||
| TSDT [17] | 2.3508 | 2.5165 | 2.6123 | 2.8848 | 2.9773 | ||||
| 1-2-1 | Present | 2.3019 | 2.6153 | 2.7839 | 3.2639 | 3.4365 | |||
| 2.4786 | 2.7676 | 2.9281 | 3.3920 | 3.5613 | |||||
| 2.3121 | 2.5859 | 2.7445 | 3.2191 | 3.3943 | |||||
| TSDT [17] | 2.3095 | 2.5768 | 2.7322 | 3.2063 | 3.3816 | ||||
| 2-2-1 | Present | 2.3692 | 2.7992 | 3.0304 | 3.6274 | 3.8170 | |||
| 2.5838 | 2.9866 | 3.2059 | 3.7791 | 3.9631 | |||||
| 2.3930 | 2.8009 | 3.0259 | 3.6189 | 3.8096 | |||||
| TSDT [17] | 2.3928 | 2.7898 | 3.0116 | 3.6028 | 3.7937 | ||||
| 100 | 1-1-1 | Present | 2.5642 | 2.7182 | 2.8104 | 3.0741 | 3.1648 | ||
| 2.6555 | 2.8034 | 2.8929 | 3.1516 | 3.2413 | |||||
| 2.4773 | 2.6301 | 2.7237 | 2.9971 | 3.0920 | |||||
| TSDT [17] | 2.4773 | 2.6308 | 2.7236 | 2.9969 | 3.0918 | ||||
| 1-2-1 | Present | 2.4659 | 2.7116 | 2.8658 | 3.3357 | 3.5109 | |||
| 2.6356 | 2.8657 | 3.0123 | 3.4657 | 3.6372 | |||||
| 2.4730 | 2.6998 | 2.8496 | 3.3269 | 3.5089 | |||||
| TSDT [17] | 2.4730 | 2.7015 | 2.8495 | 3.3268 | 3.5087 | ||||
| 2-2-1 | Present | 2.4531 | 2.8733 | 3.1031 | 3.7079 | 3.9035 | |||
| 2.6765 | 3.0669 | 3.2837 | 3.8630 | 4.0526 | |||||
| 2.4963 | 2.9035 | 3.1322 | 3.7469 | 3.9479 | |||||
| TSDT [17] | 2.4963 | 2.9038 | 3.1320 | 3.7467 | 3.9476 | ||||
| Scheme | ||||||||
|---|---|---|---|---|---|---|---|---|
| 0 | 0.5 | 1 | 5 | 10 | ||||
| 5 | 1-1-1 | 4.2655 | 4.7897 | 5.0398 | 5.6331 | 5.8130 | ||
| 4.4651 | 4.9595 | 5.2009 | 5.7820 | 5.9602 | ||||
| 4.0832 | 4.5308 | 4.7547 | 5.3081 | 5.4805 | ||||
| 1-2-1 | 3.8268 | 4.7121 | 5.1113 | 6.1085 | 6.4371 | |||
| 4.1925 | 5.0031 | 5.3845 | 6.3528 | 6.6758 | ||||
| 3.8650 | 4.5870 | 4.9384 | 5.8634 | 6.1781 | ||||
| 2-2-1 | 4.2854 | 5.1795 | 5.6436 | 6.7834 | 7.1282 | |||
| 4.6671 | 5.5192 | 5.9642 | 7.0655 | 7.4013 | ||||
| 4.2541 | 5.0610 | 5.4886 | 6.5603 | 6.8893 | ||||
| 10 | 1-1-1 | 4.8856 | 5.2633 | 5.4681 | 6.0164 | 6.1979 | ||
| 5.0752 | 5.4344 | 5.6326 | 6.1702 | 6.3498 | ||||
| 4.7049 | 5.0578 | 5.2571 | 5.8077 | 5.9929 | ||||
| 1-2-1 | 4.6038 | 5.2306 | 5.5678 | 6.5278 | 6.8731 | |||
| 4.9573 | 5.5353 | 5.8562 | 6.7841 | 7.1226 | ||||
| 4.6243 | 5.1719 | 5.4891 | 6.4383 | 6.7886 | ||||
| 2-2-1 | 4.7385 | 5.5984 | 6.0609 | 7.2548 | 7.6341 | |||
| 5.1676 | 5.9733 | 6.4118 | 7.5582 | 7.9263 | ||||
| 4.7861 | 5.6019 | 6.0518 | 7.2379 | 7.6192 | ||||
| 100 | 1-1-1 | 5.1284 | 5.4364 | 5.6209 | 6.1483 | 6.3297 | ||
| 5.3110 | 5.6068 | 5.7859 | 6.3033 | 6.4827 | ||||
| 4.9546 | 5.2603 | 5.4475 | 5.9942 | 6.1841 | ||||
| 1-2-1 | 4.9318 | 5.4232 | 5.7317 | 6.6715 | 7.0219 | |||
| 5.2713 | 5.7315 | 6.0247 | 6.9314 | 7.2744 | ||||
| 4.9461 | 5.3996 | 5.6993 | 6.6539 | 7.0179 | ||||
| 2-2-1 | 4.9063 | 5.7466 | 6.2062 | 7.4159 | 7.8071 | |||
| 5.3530 | 6.1339 | 6.5674 | 7.7261 | 8.1053 | ||||
| 4.9926 | 5.8071 | 6.2644 | 7.4938 | 7.8958 | ||||
Publisher’s Note: MDPI stays neutral with regard to jurisdictional claims in published maps and institutional affiliations. |
© 2022 by the authors. Licensee MDPI, Basel, Switzerland. This article is an open access article distributed under the terms and conditions of the Creative Commons Attribution (CC BY) license (https://creativecommons.org/licenses/by/4.0/).
Share and Cite
Zenkour, A.M.; Aljadani, M.H. Buckling Response of Functionally Graded Porous Plates Due to a Quasi-3D Refined Theory. Mathematics 2022, 10, 565. https://doi.org/10.3390/math10040565
Zenkour AM, Aljadani MH. Buckling Response of Functionally Graded Porous Plates Due to a Quasi-3D Refined Theory. Mathematics. 2022; 10(4):565. https://doi.org/10.3390/math10040565
Chicago/Turabian StyleZenkour, Ashraf M., and Maryam H. Aljadani. 2022. "Buckling Response of Functionally Graded Porous Plates Due to a Quasi-3D Refined Theory" Mathematics 10, no. 4: 565. https://doi.org/10.3390/math10040565
APA StyleZenkour, A. M., & Aljadani, M. H. (2022). Buckling Response of Functionally Graded Porous Plates Due to a Quasi-3D Refined Theory. Mathematics, 10(4), 565. https://doi.org/10.3390/math10040565

