Reliability Analysis of the Multi-State k-out-of-n: F Systems with Multiple Operation Mechanisms
Abstract
1. Introduction
- This paper first constructs a multi-state k-out-of-n: F systems composed of n subsystems under multiple and interactive operation mechanisms.
 - This paper proposes an interactive and complex operation mechanism, including the performance sharing mechanism, balanced mechanism, and protection mechanism.
 - This paper put forwards a new triggering criterion of protective devices based on the total performance of the units in each subsystem.
 - This paper formulates a two-stage methodology, including MPIA for each subsystem and FMCIA for the entire system, and the reliability indexes are derived accurately, which makes the complicated reliability problem tractable.
 
2. Model Assumptions and Descriptions
3. Reliability Evaluations for the System
3.1. Reliability Evaluation for an Individual Subsystem

3.2. Reliability Evaluation for Entire System
- (1)
 - If , .
 - (2)
 - If , .
 - (3)
 - .
 - (4)
 - .
 - (5)
 - All other transition probabilities are zeros.
 
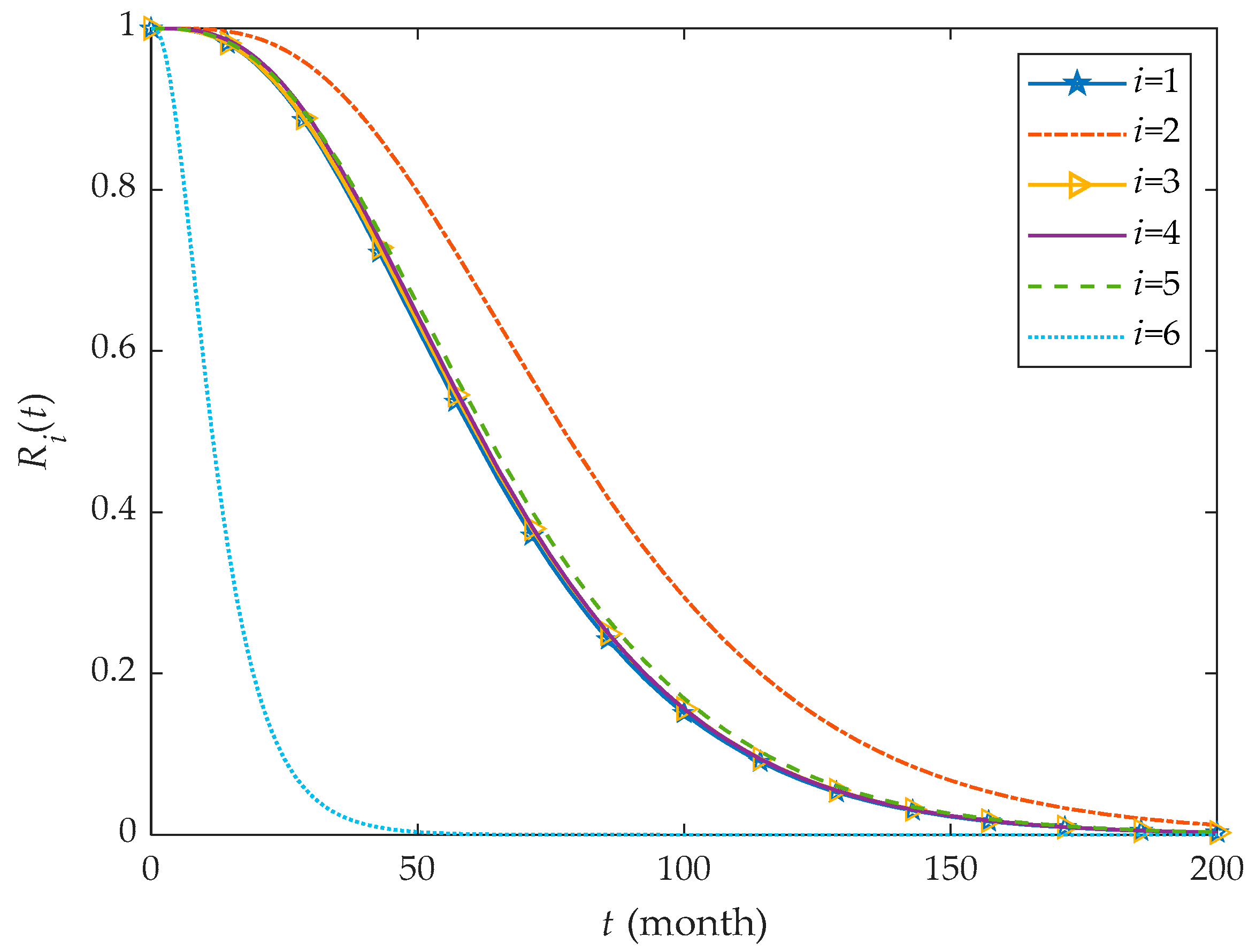
4. Numerical Examples
5. Conclusions
Author Contributions
Funding
Data Availability Statement
Conflicts of Interest
Nomenclature
| Total number of subsystems in entire system | |
| Total number of units in subsystem i | |
| in subsystem i without the protection from protective device | |
| in subsystem i when the protective device works | |
| Degradation rate of the protective device in subsystem i when the protective device works | |
| Critical threshold of the total performance of the subsystem i leading to the trigger of its protective device | |
| Critical value of the total performance of the subsystem i leading to its failure | |
| Total number of system states | |
| Reliability function of the subsystem i | |
| State probability function of the entire system | 
References
- Dui, H.Y.; Tian, T.Z.; Zhao, J.B.; Wu, S.M. Comparing with the joint importance under consideration of consecutive-k-out-of-n system structure changes. Reliab. Eng. Syst. Saf. 2022, 219, 108255. [Google Scholar] [CrossRef]
 - Lisnianski, A.; Ding, Y. Redundancy analysis for repairable multi-state system by using combined stochastic processes methods and universal generating function technique. Reliab. Eng. Syst. Saf. 2009, 94, 1788–1795. [Google Scholar] [CrossRef]
 - Levitin, G. Reliability of multi-state systems with common bus performance sharing. IIE Trans. 2011, 43, 518–524. [Google Scholar] [CrossRef]
 - Yu, H.; Yang, J.; Mo, H. Reliability analysis of repairable multi-state system with common bus performance sharing. Reliab. Eng. Syst. Saf. 2014, 132, 90–96. [Google Scholar] [CrossRef]
 - Zhao, X.; Wu, C.S.; Wang, S.Q.; Wang, X.Y. Reliability analysis of multi-state k-out-of-n: G system with common bus performance sharing. Comput. Ind. Eng. 2018, 124, 359–369. [Google Scholar] [CrossRef]
 - Peng, R.; Liu, H.L.; Xie, M. A study of reliability of multi-state systems with two performance sharing groups. Qual. Reliab. Eng. Int. 2016, 32, 2623–2632. [Google Scholar] [CrossRef]
 - Yu, H.; Yang, J.; Lin, J.; Zhao, Y. Reliability evaluation of non-repairable phased-mission common bus systems with common cause failures. Comput. Ind. Eng. 2017, 111, 445–457. [Google Scholar] [CrossRef]
 - Yu, H.; Yang, J.; Zhao, Y. Reliability of nonrepairable phased-mission systems with common bus performance sharing. Proc. Inst. Mech. Eng. O J. Risk Reliab. 2018, 232, 647–660. [Google Scholar] [CrossRef]
 - Cheng, C.; Yang, J.; Li, L. Reliability assessment of multi-state phased mission systems with common bus performance sharing considering transmission loss and performance storage. Reliab. Eng. Syst. Saf. 2020, 199, 106917. [Google Scholar] [CrossRef]
 - Yi, K.; Xiao, H.; Kou, G.; Peng, R. Trade-off between maintenance and protection for multi-state performance shairng system with transmission loss. Comput. Ind. Eng. 2019, 136, 305–315. [Google Scholar] [CrossRef]
 - Qiu, S.; Ming, H.X.G. Reliability evaluation of multi-state series-parallel systems with common bus performance sharing considering transmission loss. Reliab. Eng. Syst. Saf. 2019, 189, 406–415. [Google Scholar] [CrossRef]
 - Xiao, H.; Shi, D.; Ding, Y.; Peng, R. Optimal loading and protection of multi-state systems considering performance sharing mechanism. Reliab. Eng. Syst. Saf. 2016, 149, 88–95. [Google Scholar] [CrossRef]
 - Xiao, H.; Zhang, Y.; Xiang, Y.; Peng, R. Optimal design of a linear sliding window system with consideration of performance sharing. Reliab. Eng. Syst. Saf. 2020, 198, 106900. [Google Scholar] [CrossRef]
 - Peng, R. Optimal component allocation in a multi-state system with hierarchical performance sharing groups. J. Oper. Res. Soc. 2019, 70, 581–587. [Google Scholar] [CrossRef]
 - Cui, L.R.; Chen, J.H.; Li, X.C. Balanced reliability systems under Markov processes. IISE Trans. 2019, 51, 1025–1035. [Google Scholar] [CrossRef]
 - Zhao, X.; Wang, S.Q.; Wang, X.Y.; Fan, Y. Multi-state balanced systems in a shock environment. Reliab. Eng. Syst. Saf. 2020, 193, 106592. [Google Scholar] [CrossRef]
 - Wang, X.Y.; Ning, R.; Zhao, X.; Zhou, J. Reliability analyses of k-out-of-n: F capability-balanced systems in a multi-source shock environment. Reliab. Eng. Syst. Saf. 2022, 227, 108733. [Google Scholar] [CrossRef]
 - Zhao, X.; Wu, C.S.; Wang, X.Y.; Sun, J.L. Reliability analysis of k-out-of-n: F balanced systems with multiple functional sectors. Appl. Math. Model. 2020, 82, 108–124. [Google Scholar] [CrossRef]
 - Cui, L.R.; Gao, H.D.; Mo, Y.C. Reliability for k-out-of-n: F balanced systems with m sectors. IISE Trans. 2018, 50, 381–393. [Google Scholar] [CrossRef]
 - Wang, X.; Zhao, X.; Wu, C.; Lin, C. Reliability assessment for balanced systems with restricted rebalanced mechanisms. Comput. Ind. Eng. 2020, 149, 106801. [Google Scholar] [CrossRef]
 - Hua, D.G.; Elsayed, E.A. Reliability estimation of k-out-of-n pairs:G balanced systems with spatially distributed units. IEEE Trans. Reliab. 2016, 65, 886–900. [Google Scholar] [CrossRef]
 - Hua, D.G.; Elsayed, E.A. Degradation analysis of k-out-of-n pairs:G balanced system with spatially distributed units. IEEE Trans. Reliab. 2016, 65, 941–956. [Google Scholar] [CrossRef]
 - Hua, D.G.; Elsayed, E.A. Reliability approximation of k-out-of-n pairs: G balanced systems with spatially distributed units. IISE Trans. 2018, 50, 616–626. [Google Scholar] [CrossRef]
 - Wu, C.S.; Zhao, X.; Wang, X.Y.; Wang, S.Q. Reliability analysis of performance-based balanced systems with common bus performance sharing. Reliab. Eng. Syst. Saf. 2021, 215, 107865. [Google Scholar] [CrossRef]
 - Zhao, X.J.; Wang, Z.Y. Maintenance policies for two-unit balanced systems subject to degradation. IEEE Trans. Reliab. 2022, 71, 1116–1126. [Google Scholar] [CrossRef]
 - Dui, H.Y.; Zhang, C.; Tian, T.Z.; Wu, S.M. Different costs-informed component preventive maintenance with system lifetime changes. Reliab. Eng. Syst. Saf. 2022, 228, 108755. [Google Scholar] [CrossRef]
 - Dui, H.; Xu, Z.; Chen, L.; Xing, L.; Liu, B. Data-driven maintenance priority and resilience evaluation of performance loss in a main coolant system. Mathematics 2022, 10, 563. [Google Scholar] [CrossRef]
 - Zhao, X.; Li, R.; Fan, Y.; Qiu, Q.G. Reliability and optimal triggering policy for multi-state systems subject to shocks and supported by a protective device. Comput. Ind. Eng. 2021, 156, 107232. [Google Scholar] [CrossRef]
 - Chaurasiya, K.L.; Bhattacharya, B.; Varma, A.K.; Rastogi, S. Dynamic modeling of a cabin pressure control system. Proc. Inst. Mech. Eng. Part G J. Aerosp. Eng. 2020, 234, 401–415. [Google Scholar] [CrossRef]
 - Zhao, X.; Chai, X.; Sun, J.; Qiu, Q. Joint optimization of mission abort and protective device selection policies for multistate systems. Risk Anal. 2022. [Google Scholar] [CrossRef]
 - Wu, Y.G.; Qiu, Q.A. Optimal triggering policy of protective devices considering self-exciting mechanism of shocks. Mathematics 2022, 10, 2732. [Google Scholar] [CrossRef]
 - Zhao, X.; Li, R.; Fan, Y.; Qiu, Q.G. Reliability modeling for multi-state systems with a protective device considering multiple triggering mechanism. Proc. Inst. Mech. Eng. O J. Risk Reliab. 2022, 236, 173–193. [Google Scholar] [CrossRef]
 - Zhao, X.; Dong, B.B.; Wang, X.Y.; Song, Y.B. Reliability assessment for a k-out-of-n: F system supported by a multi-state protective device in a shock environment. Comput. Ind. Eng. 2022, 171, 108426. [Google Scholar] [CrossRef]
 - Wang, X.Y.; Ning, R.; Zhao, X.; Zhou, J. Reliability evaluations for a multi-state k-out-of-n: F system with m subsystems supported by multiple protective devices. Comput. Ind. Eng. 2022, 171, 108409. [Google Scholar] [CrossRef]
 - Wang, X.Y.; Ning, R.; Zhao, X.; Wu, C.S. Reliability assessments for two types of balanced systems with multi-state protective devices. Reliab. Eng. Syst. Saf. 2022, 229, 108852. [Google Scholar] [CrossRef]
 - Zhu, M.M.; Pham, H. A novel system reliability modeling of hardware, software, and interactions of hardware and software. Mathematics 2019, 7, 1049. [Google Scholar] [CrossRef]
 - Wu, C.S.; Zhao, X.; Qiu, Q.G.; Sun, J.L. Optimal mission abort policy for k-out-of-n: F balanced systems. Reliab. Eng. Syst. Saf. 2021, 208, 107398. [Google Scholar] [CrossRef]
 - Wang, S.Q.; Zhao, X.; Tian, Z.G.; Zuo, M.J. Optimum component reassignment for balanced systems with multi-state components operating in a shock environment. Reliab. Eng. Syst. Saf. 2021, 210, 107514. [Google Scholar] [CrossRef]
 - Wu, C.S.; Zhao, X.; Wang, S.Q.; Song, Y.B. Reliability analysis of consecutive-k-out-of-r-from-n subsystems: F balanced systems with load sharing. Reliab. Eng. Syst. Saf. 2022, 228, 108776. [Google Scholar] [CrossRef]
 - Wu, C.S.; Pan, R.; Zhao, X. Reliability assessment of multi-state performance sharing systems with transmission loss and random shocks. IISE Trans. 2022, 54, 1060–1071. [Google Scholar] [CrossRef]
 - Yin, J.; Cui, L.R.; Sun, Y.D.; Balakrishnan, N. Reliability modelling for linear and circular k-out-of-n: F systems with shared components. Reliab. Eng. Syst. Saf. 2022, 219, 108172. [Google Scholar] [CrossRef]
 - Eryilmaz, S. Compound Markov negative binomial distribution. J. Comput. Appl. Math. 2016, 292, 1–6. [Google Scholar] [CrossRef]
 - Wang, X.Y.; Zhao, X.; Sun, J.L. A compound negative binomial distribution with mutative termination conditions based on a change point. J. Comput. Appl. Math. 2019, 351, 237–249. [Google Scholar] [CrossRef]
 - Eryilmaz, S. A new class of lifetime distributions. Stat. Probab. Lett. 2016, 112, 63–71. [Google Scholar] [CrossRef]
 - Eryilmaz, S. Assessment of a multi-state system under a shock model. Appl. Math. Comput. 2015, 269, 1–8. [Google Scholar] [CrossRef]
 - Eryilmaz, S. Discrete time shock models involve ing runs. Stat. Probab. Lett. 2015, 107, 93–100. [Google Scholar] [CrossRef]
 - Wang, X.Y.; Zhao, X.; Wu, C.S.; Wang, S.Q. Mixed shock model for multi-state weighted k-out-of-n: F systems with degraded resistance against shocks. Reliab. Eng. Syst. Saf. 2022, 217, 108098. [Google Scholar] [CrossRef]
 - Cui, L.R.; Xu, Y.; Zhao, X.A. Developments and applications of the finite Markov chain imbedding approach in reliability. IEEE Trans. Reliab. 2010, 59, 685–690. [Google Scholar] [CrossRef]
 - Wang, Z.Y.; Shafieezadeh, A. On confidence intervals for failure probability estimates in Kriging-based reliability analysis. Reliab. Eng. Syst. Saf. 2020, 196, 106758. [Google Scholar] [CrossRef]
 - Wang, Z.Z.; Bai, X.C.; Li, J.J. Modified generalized confidence interval for the stress-strength reliability from exponentiated Weibull distribution. Concurr. Comp.-Pract. E 2022, 34, e6969. [Google Scholar] [CrossRef]
 - Wang, B.X.; Geng, Y.P.; Zhou, J.X. Inference for the generalized exponential stress-strength model. Appl. Math. Model. 2018, 53, 267–275. [Google Scholar] [CrossRef]
 - Lawless, J.F. Statistical Models and Methods for Lifetime Data; Wiley-Interscience: New York, NY, USA, 1982. [Google Scholar]
 - Tian, Y.Z.; Zhu, Q.Q.; Tian, M.Z. Inference for mixed generalized exponential distribution under progressively type-II censored samples. J. Appl. Stat. 2014, 41, 660–676. [Google Scholar] [CrossRef]
 - Jiang, T.; Liu, Y. Parameter inference for non-repairable multi-state system reliability models by multi-level observation sequences. Reliab. Eng. Syst. Saf. 2017, 166, 3–15. [Google Scholar] [CrossRef]
 









| State of entire System | 0 | 1 | 2 | 3 | 4 | 
|---|---|---|---|---|---|
| Number of failed subsystems | 0 | 1, 2 | 3, 4 | 5 | 6 | 
| Parameters of state division | - | - | 
| Subsystem i | |||||
|---|---|---|---|---|---|
| 1 | 3 | (0.02, 0.01) | 0.15 | 14, 12 | |
| 2 | 3 | (0.02, 0.01) | 0.1 | 14, 10 | |
| 3 | 3 | (0.02, 0.01) | 0.1 | 14, 12 | |
| 4 | 3 | (0.02, 0.01) | 0.15 | 16, 12 | |
| 5 | 3 | (0.02, 0.005) | 0.1 | 14, 12 | |
| 6 | 4 | (0.15, 0.01) | 0.1 | 14, 12 | 
Publisher’s Note: MDPI stays neutral with regard to jurisdictional claims in published maps and institutional affiliations.  | 
© 2022 by the authors. Licensee MDPI, Basel, Switzerland. This article is an open access article distributed under the terms and conditions of the Creative Commons Attribution (CC BY) license (https://creativecommons.org/licenses/by/4.0/).
Share and Cite
Song, Y.; Wang, X. Reliability Analysis of the Multi-State k-out-of-n: F Systems with Multiple Operation Mechanisms. Mathematics 2022, 10, 4615. https://doi.org/10.3390/math10234615
Song Y, Wang X. Reliability Analysis of the Multi-State k-out-of-n: F Systems with Multiple Operation Mechanisms. Mathematics. 2022; 10(23):4615. https://doi.org/10.3390/math10234615
Chicago/Turabian StyleSong, Yanbo, and Xiaoyue Wang. 2022. "Reliability Analysis of the Multi-State k-out-of-n: F Systems with Multiple Operation Mechanisms" Mathematics 10, no. 23: 4615. https://doi.org/10.3390/math10234615
APA StyleSong, Y., & Wang, X. (2022). Reliability Analysis of the Multi-State k-out-of-n: F Systems with Multiple Operation Mechanisms. Mathematics, 10(23), 4615. https://doi.org/10.3390/math10234615
        
