A Double Penalty Model for Ensemble Learning
Abstract
1. Introduction
2. A Double Penalty Model and a Fitting Algorithm
| Algorithm 1 Iterative algorithm |
Input: Data , , function classes and , and functions and . Set . Let While Stopping criteria are not satisfied do Solve
Set . return and . |
An Example
3. Separable Function Classes
3.1. A Separable Additive Model with the Same Covariates
3.2. Finite Dimensional Function Classes
4. Non-Separable Function Classes
A Generalization of Partially Linear Models
5. Numerical Examples
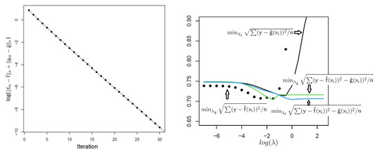
5.1. Convergence Rate of Algorithm 1
5.2. Prediction of Double Penalty Model
6. Application to Real Datasets
7. Discussion
Author Contributions
Funding
Data Availability Statement
Conflicts of Interest
Appendix A. Proof of Theorem 1
Appendix B. Proof of Lemma 1
Appendix C. Proof of Theorem 2
Appendix D. Proof of Theorem 3
References
- Opitz, D.; Maclin, R. Popular ensemble methods: An empirical study. J. Artif. Intell. Res. 1999, 11, 169–198. [Google Scholar] [CrossRef]
- Wolpert, D.H. Stacked generalization. Neural Netw. 1992, 5, 241–259. [Google Scholar] [CrossRef]
- Krogh, A.; Vedelsby, J. Neural network ensembles, cross validation, and active learning. Adv. Neural Inf. Process. Syst. 1994, 7, 231–238. [Google Scholar]
- Wyner, A.J.; Olson, M.; Bleich, J.; Mease, D. Explaining the success of adaboost and random forests as interpolating classifiers. J. Mach. Learn. Res. 2017, 18, 1558–1590. [Google Scholar]
- Breiman, L. Bagging predictors. Mach. Learn. 1996, 24, 123–140. [Google Scholar] [CrossRef]
- Zhang, H.; Nettleton, D.; Zhu, Z. Regression-enhanced random forests. arXiv 2019, arXiv:1904.10416. [Google Scholar]
- Bojer, C.S.; Meldgaard, J.P. Kaggle forecasting competitions: An overlooked learning opportunity. Int. J. Forecast. 2021, 37, 587–603. [Google Scholar] [CrossRef]
- Li, C. A Gentle Introduction to Gradient Boosting. 2016. Available online: http://www.ccs.neu.edu/home/vip/teach/MLcourse/4_boosting/slides/gradient_boosting.pdf (accessed on 1 January 2019).
- Abbott, D. Applied Predictive Analytics: Principles and Techniques for the Professional Data Analyst; John Wiley & Sons: Hoboken, NJ, USA, 2014. [Google Scholar]
- Doshi-Velez, F.; Kim, B. Towards a rigorous science of interpretable machine learning. arXiv 2017, arXiv:1702.08608. [Google Scholar]
- Lundberg, S.M.; Lee, S.I. A unified approach to interpreting model predictions. In Proceedings of the Advances in Neural Information Processing Systems, Long Beach, CA, USA, 4–9 December 2017; pp. 4765–4774. [Google Scholar]
- Ribeiro, M.T.; Singh, S.; Guestrin, C. “Why should i trust you?” Explaining the predictions of any classifier. In Proceedings of the 22nd ACM SIGKDD International Conference on Knowledge Discovery and Data Mining, San Francisco, CA, USA, 13–17 August 2016; pp. 1135–1144. [Google Scholar]
- Bickel, P.J.; Klaassen, C.A.; Bickel, P.J.; Ritov, Y.; Klaassen, J.; Wellner, J.A.; Ritov, Y. Efficient and Adaptive Estimation for Semiparametric Models; Springer: Berlin/Heidelberg, Germany, 1993; Volume 4. [Google Scholar]
- Hastie, T.J.; Tibshirani, R.J. Generalized Additive Models; Routledge: London, UK, 2017. [Google Scholar]
- Ba, S.; Joseph, V.R. Composite Gaussian process models for emulating expensive functions. Ann. Appl. Stat. 2012, 6, 1838–1860. [Google Scholar] [CrossRef]
- Zou, H.; Hastie, T. Regularization and variable selection via the elastic net. J. R. Stat. Soc. Ser. B (Stat. Methodol.) 2005, 67, 301–320. [Google Scholar] [CrossRef]
- Zhou, Q.; Chen, W.; Song, S.; Gardner, J.; Weinberger, K.; Chen, Y. A reduction of the elastic net to support vector machines with an application to GPU computing. In Proceedings of the AAAI Conference on Artificial Intelligence, Austin, TX, USA, 25–30 January 2015; Volume 29. [Google Scholar]
- Zou, H.; Hastie, T.; Tibshirani, R. On the “degrees of freedom” of the lasso. Ann. Stat. 2007, 35, 2173–2192. [Google Scholar] [CrossRef]
- Friedman, J.; Hastie, T.; Tibshirani, R. Regularization paths for generalized linear models via coordinate descent. J. Stat. Softw. 2010, 33, 1. [Google Scholar] [CrossRef] [PubMed]
- Stein, M.L. Interpolation of Spatial Data: Some Theory for Kriging; Springer Science & Business Media: Berlin/Heidelberg, Germany, 1999. [Google Scholar]
- Wendland, H. Scattered Data Approximation; Cambridge University Press: Cambridge, UK, 2004; Volume 17. [Google Scholar]
- van de Geer, S. Empirical Processes in M-Estimation; Cambridge University Press: Cambridge, UK, 2000; Volume 6. [Google Scholar]
- Wahba, G. Partial spline models for the semi-parametric estimation of several variables. In Statistical Analysis of Time Series, Proceedings of the Japan US Joint Seminar; 1984; pp. 319–329. Available online: https://cir.nii.ac.jp/crid/1573387449750539264 (accessed on 27 October 2022).
- Heckman, N.E. Spline smoothing in a partly linear model. J. R. Stat. Soc. Ser. B (Methodol.) 1986, 48, 244–248. [Google Scholar] [CrossRef]
- Speckman, P. Kernel smoothing in partial linear models. R. Stat. Soc. Ser. B (Methodol.) 1988, 50, 413–436. [Google Scholar] [CrossRef]
- Chen, H. Convergence rates for parametric components in a partly linear model. Ann. Stat. 1988, 16, 136–146. [Google Scholar] [CrossRef]
- Xie, H.; Huang, J. SCAD-penalized regression in high-dimensional partially linear models. Ann. Stat. 2009, 37, 673–696. [Google Scholar] [CrossRef]
- Gu, C. Smoothing Spline ANOVA Models; Springer Science & Business Media: Berlin/Heidelberg, Germany, 2013; Volume 297. [Google Scholar]
- Tuo, R. Adjustments to Computer Models via Projected Kernel Calibration. SIAM/ASA J. Uncertain. Quantif. 2019, 7, 553–578. [Google Scholar] [CrossRef]
- Wahba, G. Spline Models for Observational Data; SIAM: Philadelphia, PA, USA, 1990; Volume 59. [Google Scholar]
- Stone, C.J. Optimal global rates of convergence for nonparametric regression. Ann. Stat. 1982, 5, 1040–1053. [Google Scholar] [CrossRef]
- Gramacy, R.B.; Lee, H.K. Cases for the nugget in modeling computer experiments. Stat. Comput. 2012, 22, 713–722. [Google Scholar] [CrossRef]
- Sun, L.; Hong, L.J.; Hu, Z. Balancing exploitation and exploration in discrete optimization via simulation through a Gaussian process-based search. Oper. Res. 2014, 62, 1416–1438. [Google Scholar] [CrossRef]
- Santner, T.J.; Williams, B.J.; Notz, W.I. The Design and Analysis of Computer Experiments; Springer Science & Business Media: Berlin/Heidelberg, Germany, 2003. [Google Scholar]
- Niederreiter, H. Random Number Generation and Quasi-Monte Carlo Methods; SIAM: Philadelphia, PA, USA, 1992; Volume 63. [Google Scholar]
- Goodrich, J.K.; Waters, J.L.; Poole, A.C.; Sutter, J.L.; Koren, O.; Blekhman, R.; Beaumont, M.; Van Treuren, W.; Knight, R.; Bell, J.T. Human genetics shape the gut microbiome. Cell 2014, 159, 789–799. [Google Scholar] [CrossRef] [PubMed]
- Oudah, M.; Henschel, A. Taxonomy-aware feature engineering for microbiome classification. BMC Bioinform. 2018, 19, 227. [Google Scholar] [CrossRef] [PubMed]
- Zhou, Y.H.; Gallins, P. A Review and Tutorial of Machine Learning Methods for Microbiome Host Trait Prediction. Front. Genet. 2019, 10, 579. [Google Scholar] [CrossRef]
- Hastie, T.; Tibshirani, R.; Friedman, J.; Franklin, J. The elements of statistical learning: Data mining, inference and prediction. Math. Intell. 2005, 27, 83–85. [Google Scholar]
- Tibshirani, R. Regression shrinkage and selection via the lasso. J. R. Stat. Soc. Ser. B (Methodol.) 1996, 58, 267–288. [Google Scholar] [CrossRef]
- Chen, T.; Guestrin, C. Xgboost: A scalable tree boosting system. In Proceedings of the 22nd ACM Sigkdd International Conference on Knowledge Discovery and Data Mining, San Francisco, CA, USA, 13–17 August 2016; pp. 785–794. [Google Scholar]
- Adams, R.A.; Fournier, J.J. Sobolev Spaces; Academic Press: Cambridge, MA, USA, 2003; Volume 140. [Google Scholar]
- van de Geer, S. On the uniform convergence of empirical norms and inner products, with application to causal inference. Electron. J. Stat. 2014, 8, 543–574. [Google Scholar] [CrossRef]



| Regression Coefficient | Iteration Numbers | Absolute Difference | |||
|---|---|---|---|---|---|
| 2 | 0.978 | −0.045 | −0.050 | 491.55 | 0.006 |
| 3 | 0.828 | −0.378 | −0.419 | 59.02 | 0.040 |
| 3.5 | 0.615 | −0.973 | −1.121 | 22.34 | 0.148 |
| 4 | 0.304 | −2.383 | −2.624 | 10 | 0.241 |
| Sample Size | Regression Coefficient | Iteration Numbers | Absolute Difference |
|---|---|---|---|
| 20 | −0.110 | 225.05 | 0.269 |
| 50 | −0.410 | 60.26 | 0.0315 |
| 100 | −0.404 | 61 | 0.0260 |
| 150 | −0.363 | 68 | 0.0148 |
| 200 | −0.381 | 65 | 0.00244 |
| Iteration Number | Training Error | Prediction Error | Linear | Nonlinear | |
|---|---|---|---|---|---|
| 1 | 1 | 0.02951 | 0.01714 | 1.5336 | 0.0034 |
| 2 | 0.02950 | 0.01712 | 1.5312 | 0.0054 | |
| 3 | 0.02949 | 0.01711 | 1.5288 | 0.0076 | |
| 4 | 0.02947 | 0.01710 | 1.5265 | 0.0097 | |
| 5 | 0.02946 | 0.01709 | 1.5242 | 0.0119 | |
| 0.1 | 5 | 0.02404 | 0.01400 | 1.5264 | 0.02224 |
| 0.001 | 5 | 0.0043 | 0.0059 | 1.5285 | 0.1331 |
| 5 | 0.03388 | 1.5324 | 0.2174 |
| Iteration Number | Training Error | Prediction Error | Linear | Nonlinear | |
|---|---|---|---|---|---|
| 1 | 1 | 0.01812 | 0.01759 | 1.5316 | 0.002998 |
| 2 | 0.01811 | 0.01757 | 1.5294 | 0.004763 | |
| 3 | 0.01810 | 0.01755 | 1.5274 | 0.006664 | |
| 4 | 0.01809 | 0.01754 | 1.5253 | 0.008581 | |
| 5 | 0.01808 | 0.01753 | 1.5234 | 0.010481 | |
| 0.1 | 5 | 0.01336 | 0.01387 | 1.5203 | 0.017585 |
| 0.001 | 5 | 0.00071 | 0.00088 | 1.5287 | 0.120022 |
Publisher’s Note: MDPI stays neutral with regard to jurisdictional claims in published maps and institutional affiliations. |
© 2022 by the authors. Licensee MDPI, Basel, Switzerland. This article is an open access article distributed under the terms and conditions of the Creative Commons Attribution (CC BY) license (https://creativecommons.org/licenses/by/4.0/).
Share and Cite
Wang, W.; Zhou, Y.-H. A Double Penalty Model for Ensemble Learning. Mathematics 2022, 10, 4532. https://doi.org/10.3390/math10234532
Wang W, Zhou Y-H. A Double Penalty Model for Ensemble Learning. Mathematics. 2022; 10(23):4532. https://doi.org/10.3390/math10234532
Chicago/Turabian StyleWang, Wenjia, and Yi-Hui Zhou. 2022. "A Double Penalty Model for Ensemble Learning" Mathematics 10, no. 23: 4532. https://doi.org/10.3390/math10234532
APA StyleWang, W., & Zhou, Y.-H. (2022). A Double Penalty Model for Ensemble Learning. Mathematics, 10(23), 4532. https://doi.org/10.3390/math10234532

