Prediction of Sea Level with Vertical Land Movement Correction Using Deep Learning
Abstract
1. Introduction
2. Materials and Methods
2.1. Study Area and Dataset
2.2. Data Preprocessing and Input Selection
2.3. GNSS VLM Correction
2.4. Data Normalization
2.5. Data Decomposition by Successive Variational Mode Decomposition (SVMD)
2.6. Input Feature Selection Using Boruta Random Forest Optimizer (BRFO)
2.7. Data Partition
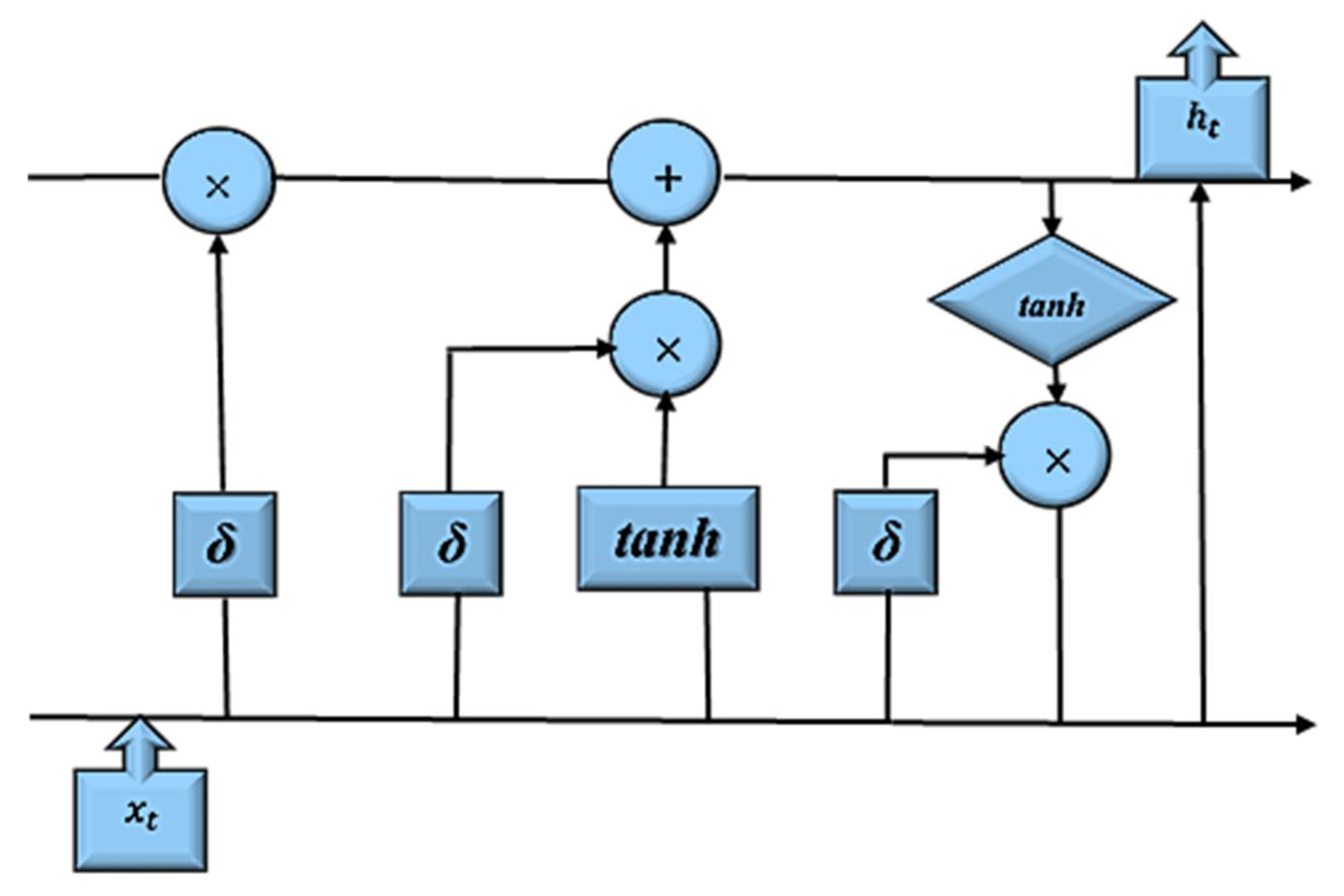
2.8. Objective Model Theoretical Background: Stacked Bidirectional Long Short-Term Memory (BiLSTM)
2.9. Objective Model Development: Stacked Bidirectional Long Short-Term Memory (BiLSTM)
2.10. Benchmark Models
2.10.1. Support Vector Regression (SVR)
2.10.2. Adaptive Boosting Regressor (AdaBoost)
2.10.3. Multilinear Regression (MLR)
2.11. The Performance Evaluation Metrics for AI Models
- Correlation Coefficient (r)
- 2.
- Willmott’s Index of Agreement (d)
- 3.
- Nash–Sutcliffe Coefficient (NS)
- 4.
- Legates and McCabe’s Index (LM)
- 5.
- Root Mean Square Error (RMSE)
- 6.
- Mean Absolute Error (MABE)
- 7.
- Relative Root Mean Square Error (RRMSE)
- 8.
- Mean Absolute Percentage Error (MAPE)where —simulated data, —observed data.
2.12. Schematic Diagram of the Data Analysis and Modelling
3. Results
3.1. Objective and Benchmark Model Results for Kiribati and Tuvalu
3.2. Scatterplot with Correlation and Histogram Error Results for Kiribati and Tuvalu Models
4. Discussion
4.1. Objective and Benchmark Model Performance Evaluation
4.2. Objective and Benchmark Model Error Evaluation
4.3. Times Series Comparison of Models for Kiribati and Tuvalu Sea Levels
4.4. GNSS-VLM-Corrected Sea Level Trend Analysis and Linear Projection
5. Conclusions
Funding
Data Availability Statement
Acknowledgments
Conflicts of Interest
References
- Pörtner, H.-O.; Roberts, D.C.; Adams, H.; Adler, C.; Aldunce, P.; Ali, E.; Begum, R.A.; Betts, R.; Kerr, R.B.; Biesbroek, R.; et al. Climate Change 2022: Impacts, Adaptation, and Vulnerability. Contribution of Working Group II to the Sixth Assessment Report of the Intergovernmental Panel on Climate Change; IPCC: Geneva, Switzerland, 2022. [Google Scholar]
- Cooley, S.; Schoeman, D.; Bopp, L.; Boyd, P.; Donner, S.; Ito, S.-I.; Kiessling, W.; Martinetto, P.; Ojea, E.; Racault, M.-F.; et al. Oceans and Coastal Ecosystems and Their Services. In IPCC AR6 WGII; Cambridge University Press: Cambridge, UK, 2022. [Google Scholar]
- Lindsey, R. Climate Change: Global Sea Level. Available online: Climate.gov (accessed on 14 August 2020).
- Braddock, S.; Hall, B.L.; Johnson, J.S.; Balco, G.; Spoth, M.; Whitehouse, P.L.; Campbell, S.; Goehring, B.M.; Rood, D.H.; Woodward, J. Relative sea-level data preclude major late Holocene ice-mass change in Pine Island Bay. Nat. Geosci. 2022, 15, 568–572. [Google Scholar] [CrossRef]
- Meehl, G.A.; Washington, W.M.; Collins, W.D.; Arblaster, J.M.; Hu, A.; Buja, L.E.; Strand, W.G.; Teng, H. How much more global warming and sea level rise? Science 2005, 307, 1769–1772. [Google Scholar] [CrossRef] [PubMed]
- Van Dobben, H.F.; De Groot, A.V.; Bakker, J.P. Salt marsh accretion with and without deep soil subsidence as a proxy for sea-level rise. Estuaries Coasts 2022, 45, 1562–1582. [Google Scholar] [CrossRef]
- Vousdoukas, M.I.; Clarke, J.; Ranasinghe, R.; Reimann, L.; Khalaf, N.; Duong, T.M.; Ouweneel, B.; Sabour, S.; Iles, C.E.; Trisos, C.H.; et al. African heritage sites threatened as sea-level rise accelerates. Nat. Clim. Change 2022, 12, 256–262. [Google Scholar] [CrossRef]
- Miller, L.; Douglas, B.C. Mass and volume contributions to twentieth-century global sea level rise. Nature 2004, 428, 406–409. [Google Scholar] [CrossRef] [PubMed]
- Wadhams, P.; Munk, W. Ocean freshening, sea level rising, sea ice melting. Geophys. Res. Lett. 2004, 31. [Google Scholar] [CrossRef]
- Watson, T.R.; Zinyowera, M.C.; Moss, R.H. Climate Change 1995. Impacts, Adaptations and Mitigation of Climate Change: Scientific-Technical Analyses; Cambridge University Press: Cambridge, UK, 1996. [Google Scholar]
- Githeko, A.K.; Woodward, A. International consensus on the science of climate and health: The IPCC Third Assessment Report. In Climate Change and Human Health: Risks and Responses; World Health Organization: Geneva, Switzerland, 2003; pp. 43–60. [Google Scholar]
- Nurse, L.A.; Sem, G.; Hay, J.E.; Suarez, A.G.; Wong, P.P.; Briguglio, L.; Ragoonaden, S. Small island states. In Climate Change; Cambridge University Press: Cambridge, UK, 2001; pp. 843–875. [Google Scholar]
- Burns, W.C. The Impact of Climate Change on Pacific Island Developing Countries in the 21st Century. In Climate Change in the South Pacific: Impacts and Responses in Australia, New Zealand, and Small Island States; Springer: Berlin/Heidelberg, Germany, 2000; pp. 233–250. [Google Scholar]
- Campbell, J.; Barnett, J. Climate Change and Small Island States: Power, Knowledge and the South Pacific; Routledge: Oxfordshire, UK, 2010. [Google Scholar]
- Santamaría-Gómez, A.; Watson, C.; Gravelle, M.; King, M.; Wöppelmann, G. Levelling co-located GNSS and tide gauge stations using GNSS reflectometry. J. Geod. 2015, 89, 241–258. [Google Scholar] [CrossRef]
- Wöppelmann, G.; Marcos, M. Vertical land motion as a key to understanding sea level change and variability. Rev. Geophys. 2016, 54, 64–92. [Google Scholar] [CrossRef]
- Blewitt, G.; Altamimi, Z.; Davis, J.; Gross, R.; Kuo, C.-Y.; Lemoine, F.G.; Moore, A.W.; Neilan, R.E.; Plag, H.-P.; Rothacher, M. Geodetic observations and global reference frame contributions to understanding sea-level rise and variability. In Understanding Sea-Level Rise and Variability; Blackwell Publishing Ltd.: Hoboken, NJ, USA, 2010; pp. 256–284. [Google Scholar]
- Lee, C.-M.; Kuo, C.-Y.; Sun, J.; Tseng, T.-P.; Chen, K.-H.; Lan, W.-H.; Shum, C.; Ali, T.; Ching, K.-E.; Chu, P. Evaluation and improvement of coastal GNSS reflectometry sea level variations from existing GNSS stations in Taiwan. Adv. Space Res. 2019, 63, 1280–1288. [Google Scholar] [CrossRef]
- Dawidowicz, K. Sea level changes monitoring using GNSS technology–A review of recent efforts. Acta Adriat. Int. J. Mar. Sci. 2014, 55, 145–161. [Google Scholar]
- Anzidei, M.; Antonioli, F.; Benini, A.; Lambeck, K.; Sivan, D.; Serpelloni, E.; Stocchi, P. Sea level change and vertical land movements since the last two millennia along the coasts of southwestern Turkey and Israel. Quat. Int. 2011, 232, 13–20. [Google Scholar] [CrossRef]
- Ghimire, S.; Deo, R.C.; Downs, N.J.; Raj, N. Global solar radiation prediction by ANN integrated with European Centre for medium range weather forecast fields in solar rich cities of Queensland Australia. J. Clean. Prod. 2019, 216, 288–310. [Google Scholar] [CrossRef]
- Ghimire, S.; Deo, R.C.; Raj, N.; Mi, J. Wavelet-based 3-phase hybrid SVR model trained with satellite-derived predictors, particle swarm optimization and maximum overlap discrete wavelet transform for solar radiation prediction. Renew. Sustain. Energy Rev. 2019, 113, 109247. [Google Scholar] [CrossRef]
- Neupane, A.; Raj, N.; Deo, R.; Ali, M. Development of data-driven models for wind speed forecasting in Australia. In Predictive Modelling for Energy Management and Power Systems Engineering; Elsevier: Amsterdam, The Netherlands, 2021; pp. 143–190. [Google Scholar]
- Ahmed, A.M.; Deo, R.C.; Raj, N.; Ghahramani, A.; Feng, Q.; Yin, Z.; Yang, L. Deep learning forecasts of soil moisture: Convolutional neural network and gated recurrent unit models coupled with satellite-derived MODIS, observations and synoptic-scale climate index data. Remote Sens. 2021, 13, 554. [Google Scholar] [CrossRef]
- Liu, Y.; Li, D.; Wan, S.; Wang, F.; Dou, W.; Xu, X.; Li, S.; Ma, R.; Qi, L. A long short-term memory-based model for greenhouse climate prediction. Int. J. Intell. Syst. 2022, 37, 135–151. [Google Scholar] [CrossRef]
- Tsekouras, G.E.; Trygonis, V.; Maniatopoulos, A.; Rigos, A.; Chatzipavlis, A.; Tsimikas, J.; Mitianoudis, N.; Velegrakis, A.F. A Hermite neural network incorporating artificial bee colony optimization to model shoreline realignment at a reef-fronted beach. Neurocomputing 2018, 280, 32–45. [Google Scholar] [CrossRef]
- Rahm, E.; Do, H.H. Data cleaning: Problems and current approaches. IEEE Data Eng. Bull. 2000, 23, 3–13. [Google Scholar]
- Brownlee, J. Data Preparation for Machine Learning: Data Cleaning, Feature Selection, and Data Transforms in Python; Machine Learning Mastery: San Juan, Puerto Rico, 2020. [Google Scholar]
- Mushtaq, R. Augmented dickey fuller test. SSRN Electron. J. 2011. [Google Scholar] [CrossRef]
- Ghimire, S.; Deo, R.C.; Raj, N.; Mi, J. Deep solar radiation forecasting with convolutional neural network and long short-term memory network algorithms. Appl. Energy 2019, 253, 113541. [Google Scholar] [CrossRef]
- Sharma, E.; Deo, R.C.; Soar, J.; Prasad, R.; Parisi, A.V.; Raj, N. Novel hybrid deep learning model for satellite based PM10 forecasting in the most polluted Australian hotspots. Atmos. Environ. 2022, 279, 119111. [Google Scholar] [CrossRef]
- Mouatadid, S.; Raj, N.; Deo, R.C.; Adamowski, J.F. Input selection and data-driven model performance optimization to predict the Standardized Precipitation and Evaporation Index in a drought-prone region. Atmos. Res. 2018, 212, 130–149. [Google Scholar] [CrossRef]
- Raj, N.; Brown, J. An EEMD-BiLSTM Algorithm Integrated with Boruta Random Forest Optimiser for Significant Wave Height Forecasting along Coastal Areas of Queensland, Australia. Remote Sens. 2021, 13, 1456. [Google Scholar] [CrossRef]
- Ribeiro, G.H.; Neto, P.S.d.M.; Cavalcanti, G.D.; Tsang, R. Lag selection for time series forecasting using particle swarm optimization. In The 2011 International Joint Conference on Neural Networks; IEEE: Manhattan, NY, USA, 2011. [Google Scholar]
- Muttil, N.; Chau, K.-W. Machine-learning paradigms for selecting ecologically significant input variables. Eng. Appl. Artif. Intell. 2007, 20, 735–744. [Google Scholar] [CrossRef]
- Flores, F.J.H.; Engel, P.M.; Pinto, R.C. Autocorrelation and partial autocorrelation functions to improve neural networks models on univariate time series forecasting. In The 2012 International Joint Conference on Neural Networks (IJCNN); IEEE: Manhattan, NY, USA, 2012. [Google Scholar]
- Jia, M. The South Pacific Sea Level & Climate Monitoring Project; Australian Government, Bureau of Meteorology: Melbourne Docklands, VIC, Australia, 2011.
- Kotsiantis, S.; Kanellopoulos, D.; Pintelas, P. Data preprocessing for supervised leaning. Int. J. Comput. Sci. 2006, 1, 111–117. [Google Scholar]
- Deo, R.C.; Ghimire, S.; Downs, N.J.; Raj, N. Optimization of windspeed prediction using an artificial neural network compared with a genetic programming model. In Handbook of Research on Predictive Modeling and Optimization Methods in Science and Engineering; IGI Global: Hershey, PA, USA, 2018; pp. 328–359. [Google Scholar]
- Ghimire, S.; Deo, R.C.; Downs, N.J.; Raj, N. Self-adaptive differential evolutionary extreme learning machines for long-term solar radiation prediction with remotely-sensed MODIS satellite and Reanalysis atmospheric products in solar-rich cities. Remote Sens. Environ. 2018, 212, 176–198. [Google Scholar] [CrossRef]
- Nazari, M.; Sakhaei, S.M. Successive variational mode decomposition. Signal Process. 2020, 174, 107610. [Google Scholar] [CrossRef]
- Wang, X.; Ma, J. Weak Fault Feature Extraction of Rolling Bearing Based on SVMD and Improved MOMEDA. Math. Probl. Eng. 2021, 2021, 9966078. [Google Scholar] [CrossRef]
- Peng, T.; Zhou, J.; Zhang, C.; Zheng, Y. Multi-step ahead wind speed forecasting using a hybrid model based on two-stage decomposition technique and AdaBoost-extreme learning machine. Energy Convers. Manag. 2017, 153, 589–602. [Google Scholar] [CrossRef]
- Da Silva, R.G.; Ribeiro, M.H.D.M.; Mariani, V.C.; dos Santos Coelho, L. Forecasting Brazilian and American COVID-19 cases based on artificial intelligence coupled with climatic exogenous variables. Chaos Solitons Fractals 2020, 139, 110027. [Google Scholar] [CrossRef]
- Raj, N.; Gharineiat, Z.; Ahmed, A.A.M.; Stepanyants, Y. Assessment and Prediction of Sea Level Trend in the South Pacific Region. Remote Sens. 2022, 14, 986. [Google Scholar] [CrossRef]
- Kursa, M.B.; Rudnicki, W.R. Feature selection with the Boruta package. J. Stat. Softw. 2010, 36, 1–13. [Google Scholar] [CrossRef]
- Kotsiantis, S.B. Decision trees: A recent overview. Artif. Intell. Rev. 2013, 39, 261–283. [Google Scholar] [CrossRef]
- Deo, C.R.; Samui, P.; Kim, D. Estimation of monthly evaporative loss using relevance vector machine, extreme learning machine and multivariate adaptive regression spline models. Stoch. Environ. Res. Risk Assess. 2016, 30, 1769–1784. [Google Scholar] [CrossRef]
- Deo, R.C.; Ghorbani, M.A.; Samadianfard, S.; Maraseni, T.; Bilgili, M.; Biazar, M. Multi-layer perceptron hybrid model integrated with the firefly optimizer algorithm for windspeed prediction of target site using a limited set of neighboring reference station data. Renew. Energy 2018, 116, 309–323. [Google Scholar] [CrossRef]
- Siami-Namini, S.; Tavakoli, N.; Namin, A.S. A comparative analysis of forecasting financial time series using arima, lstm, and bilstm. arXiv 2019, arXiv:1911.09512. [Google Scholar]
- Livieris, I.E.; Pintelas, E.; Stavroyiannis, S.; Pintelas, P. Ensemble deep learning models for forecasting cryptocurrency time-series. Algorithms 2020, 13, 121. [Google Scholar] [CrossRef]
- Zhang, S.; Zheng, D.; Hu, X.; Yang, M. Bidirectional long short-term memory networks for relation classification. In Proceedings of the 29th Pacific Asia Conference on Language, Information and Computation, Shanghai, China, 30 October–1 November 2015. [Google Scholar]
- Sun, S.; Xie, Z. Bilstm-based models for metaphor detection. In Natural Language Processing and Chinese Computing, Proceedings of the National CCF Conference on Natural Language Processing and Chinese Computing, Dalian, China, 8–12 November 2017; Springer: Cham, Switzerland, 2017; pp. 431–442. [Google Scholar]
- Siami-Namini, S.; Tavakoli, N.; Namin, A.S. The performance of LSTM and BiLSTM in forecasting time series. In Proceedings of the 2019 IEEE International Conference on Big Data (Big Data), Los Angeles, CA, USA, 9–12 December 2019; IEEE: Manhattan, NY, USA, 2019. [Google Scholar]
- DasGupta, B.; Schnitger, G. The power of approximating: A comparison of activation functions. Adv. Neural Inf. Process. Syst. 1992, 5. [Google Scholar]
- Islam, R.; Shahjalal, M.A. Soft voting-based ensemble approach to predict early stage drc violations. In Proceedings of the 2019 IEEE 62nd International Midwest Symposium on Circuits and Systems (MWSCAS), Dallas, TX, USA, 4–7 August 2019; IEEE: Manhattan, NY, USA, 2019. [Google Scholar]
- Islam, R. Feasibility Prediction for Rapid IC Design Space Exploration. Electronics 2022, 11, 1161. [Google Scholar] [CrossRef]
- Baydaroğlu, Ö.; Koçak, K. SVR-based prediction of evaporation combined with chaotic approach. J. Hydrol. 2014, 508, 356–363. [Google Scholar] [CrossRef]
- Abrougui, K.; Gabsi, K.; Mercatoris, B.; Khemis, C.; Amami, R.; Chehaibi, S. Prediction of organic potato yield using tillage systems and soil properties by artificial neural network (ANN) and multiple linear regressions (MLR). Soil Tillage Res. 2019, 190, 202–208. [Google Scholar] [CrossRef]
- Basak, D.; Pal, S.; Patranabis, D.C. Support vector regression. Neural Inf. Process. Lett. Rev. 2007, 11, 203–224. [Google Scholar]
- Smola, A.J.; Schölkopf, B. A tutorial on support vector regression. Stat. Comput. 2004, 14, 199–222. [Google Scholar] [CrossRef]
- Vapnik, V.; Golowich, S.E.; Smola, A.J. Support vector method for function approximation, regression estimation and signal processing. In Advances in Neural Information Processing Systems; MIT Press: Cambridge, MA, USA, 1997. [Google Scholar]
- Wang, E. Decomposing core energy factor structure of US residential buildings through principal component analysis with variable clustering on high-dimensional mixed data. Appl. Energy 2017, 203, 858–873. [Google Scholar] [CrossRef]
- Liu, Y.; Wang, R. Study on network traffic forecast model of SVR optimized by GAFSA. Chaos Solitons Fractals 2016, 89, 153–159. [Google Scholar] [CrossRef]
- Freund, Y.; Schapire, R.E. A decision-theoretic generalization of on-line learning and an application to boosting. J. Comput. Syst. Sci. 1997, 55, 119–139. [Google Scholar] [CrossRef]
- Solomatine, D.P.; Shrestha, D.L. AdaBoost. RT: A boosting algorithm for regression problems. In Proceedings of the 2004 IEEE International Joint Conference on Neural Networks (IEEE Cat. No. 04CH37541), Budapest, Hungary, 25–29 July 2004; IEEE: Manhattan, NY, USA, 2004. [Google Scholar]
- Uyanık, G.K.; Güler, N. A study on multiple linear regression analysis. Procedia Soc. Behav. Sci. 2013, 106, 234–240. [Google Scholar] [CrossRef]
- Tranmer, M.; Elliot, M. Multiple Linear Regression; The Cathie Marsh Centre for Census and Survey Research (CCSR): Manchester, UK, 2008; Volume 5, pp. 1–5. [Google Scholar]
- Taylor, R. Interpretation of the correlation coefficient: A basic review. J. Diagn. Med. Sonogr. 1990, 6, 35–39. [Google Scholar] [CrossRef]
- Willmott, J.C.; Robeson, S.M.; Matsuura, K. A refined index of model performance. Int. J. Climatol. 2012, 32, 2088–2094. [Google Scholar] [CrossRef]
- Willmott, C.J.; Ackleson, S.G.; Davis, R.E.; Feddema, J.J.; Klink, K.M.; Legates, D.R.; O’donnell, J.; Rowe, C.M. Statistics for the evaluation and comparison of models. J. Geophys. Res. Ocean. 1985, 90, 8995–9005. [Google Scholar] [CrossRef]
- Nash, J.E.; Sutcliffe, J.V. River flow forecasting through conceptual models part I—A discussion of principles. J. Hydrol. 1970, 10, 282–290. [Google Scholar] [CrossRef]
- McCuen, H.R.; Knight, Z.; Cutter, A.G. Evaluation of the Nash–Sutcliffe efficiency index. J. Hydrol. Eng. 2006, 11, 597–602. [Google Scholar] [CrossRef]
- Knoben, J.W.; Freer, J.E.; Woods, R.A. Inherent benchmark or not? Comparing Nash–Sutcliffe and Kling–Gupta efficiency scores. Hydrol. Earth Syst. Sci. 2019, 23, 4323–4331. [Google Scholar] [CrossRef]
- Legates, D.R.; McCabe, G.J. A refined index of model performance: A rejoinder. Int. J. Climatol. 2013, 33, 1053–1056. [Google Scholar] [CrossRef]
- Legates, D.R.; McCabe, G.J., Jr. Evaluating the use of “goodness-of-fit” measures in hydrologic and hydroclimatic model validation. Water Resour. Res. 1999, 35, 233–241. [Google Scholar] [CrossRef]
- Cleveland, W.S.; McGill, R. The many faces of a scatterplot. J. Am. Stat. Assoc. 1984, 79, 807–822. [Google Scholar] [CrossRef]
- Friendly, M.; Denis, D. The early origins and development of the scatterplot. J. Hist. Behav. Sci. 2005, 41, 103–130. [Google Scholar] [CrossRef]
- Asuero, G.A.; Sayago, A.; González, A. The correlation coefficient: An overview. Crit. Rev. Anal. Chem. 2006, 36, 41–59. [Google Scholar] [CrossRef]
- Ioannidis, Y. The history of histograms (abridged). In Proceedings of the 2003 VLDB Conference, Berlin, Germany, 9–12 September 2003; Elsevier: Amsterdam, The Netherlands, 2003. [Google Scholar]
- Rufilanchas, D. On the origin of Karl Pearson’s term histogram. Rev. Estadística Española 2017, 59, 29–35. [Google Scholar]
- Donner, S.D.; Webber, S. Obstacles to climate change adaptation decisions: A case study of sea-level rise and coastal protection measures in Kiribati. Sustain. Sci. 2014, 9, 331–345. [Google Scholar] [CrossRef]
- Aung, T.; Singh, A.; Prasad, U. A study of sea–level changes in the Kiribati area for the last 16 years. Weather 2009, 64, 203–206. [Google Scholar] [CrossRef]
- Aung, T.; Singh, A.; Prasad, U. Sea level threat in Tuvalu. Am. J. Appl. Sci. 2009, 6, 1169. [Google Scholar] [CrossRef]
- Lewis, J. The vulnerability of small island states to sea level rise: The need for holistic strategies. Disasters 1990, 14, 241–249. [Google Scholar] [CrossRef] [PubMed]



















| Country | Island/ Atoll | Town/ District | Seaframe Sensor Benchmark (SSBM) | Geographical Location |
|---|---|---|---|---|
| Kiribati | Tawara | Betio | 4.6301 | 01°21′45″ N, 172°55′48″ E |
| Tuvalu | Funafuti | Fongafale | 5.2468 | 08°30′10″ S, 179°12′33″ E |
| Input Oceanic Features |
|---|
| Air Temperature |
| Water Temperature |
| Wind Direction |
| Wind Gust |
| Wind Speed |
| Barometric Pressure |
| Sea Level Lags (t-1, t-2, t-3) |
| Partition | Training (60%) | Validation (20%) | Testing (20%) |
|---|---|---|---|
| Oceanic Dataset | January 2000–December 2012 | January 2013–June 2017 | July 2017–December 2021 |
| Optimizer | Activation Function | Weight Regularization | Dropout | Early Stopping |
|---|---|---|---|---|
| Adam | Rectified Linear Unit (ReLU) | L1 = 0, L2 = 0.01 | 0.1 | Mode = Minimum, Patience = 20 |
| Model | Correlation Coefficient (r) | Willmott’s Index of Agreement (d) | Nash–Sutcliffe Coefficient (NS) | Legates and McCabe Index (L) |
|---|---|---|---|---|
| AdaBoost | 0.964311 | 0.957647 | 0.923809 | 0.733546 |
| MLR | 0.758946 | 0.672739 | 0.368981 | 0.217703 |
| SVR | 0.988909 | 0.987155 | 0.974866 | 0.852321 |
| BiLSTM | 0.994207 | 0.994079 | 0.988219 | 0.899868 |
| Model | RMSE | MABE | RRMSE | MAPE |
|---|---|---|---|---|
| AdaBoost | 0.137814 | 0.111508 | 7.990359 | 7.322568 |
| MLR | 0.396610 | 0.327382 | 22.995112 | 21.019548 |
| SVR | 0.079154 | 0.061802 | 4.589257 | 3.889261 |
| BiLSTM | 0.054191 | 0.041904 | 3.141943 | 2.672222 |
| Model | Correlation Coefficient (r) | Willmott’s Index of Agreement (d) | Nash–Sutcliffe Coefficient (NS) | Legates and McCabe Index (L) |
|---|---|---|---|---|
| AdaBoost | 0.963663 | 0.959991 | 0.925800 | 0.744654 |
| MLR | 0.967652 | 0.908565 | 0.822057 | 0.592441 |
| SVR | 0.981239 | 0.979752 | 0.960339 | 0.807352 |
| BiLSTM | 0.996806 | 0.996272 | 0.992316 | 0.919732 |
| Model | RMSE | MABE | RRMSE | MAPE |
|---|---|---|---|---|
| AdaBoost | 0.127630 | 0.101366 | 6.061497 | 4.998458 |
| MLR | 0.197646 | 0.161790 | 9.386780 | 7.673520 |
| SVR | 0.093310 | 0.076476 | 4.431582 | 3.759054 |
| BiLSTM | 0.041071 | 0.031864 | 1.950591 | 1.625925 |
Publisher’s Note: MDPI stays neutral with regard to jurisdictional claims in published maps and institutional affiliations. |
© 2022 by the author. Licensee MDPI, Basel, Switzerland. This article is an open access article distributed under the terms and conditions of the Creative Commons Attribution (CC BY) license (https://creativecommons.org/licenses/by/4.0/).
Share and Cite
Raj, N. Prediction of Sea Level with Vertical Land Movement Correction Using Deep Learning. Mathematics 2022, 10, 4533. https://doi.org/10.3390/math10234533
Raj N. Prediction of Sea Level with Vertical Land Movement Correction Using Deep Learning. Mathematics. 2022; 10(23):4533. https://doi.org/10.3390/math10234533
Chicago/Turabian StyleRaj, Nawin. 2022. "Prediction of Sea Level with Vertical Land Movement Correction Using Deep Learning" Mathematics 10, no. 23: 4533. https://doi.org/10.3390/math10234533
APA StyleRaj, N. (2022). Prediction of Sea Level with Vertical Land Movement Correction Using Deep Learning. Mathematics, 10(23), 4533. https://doi.org/10.3390/math10234533
