Next Article in Journal
Transient Wave Propagation in Functionally Graded Viscoelastic Structures
Previous Article in Journal
The Dollar Exchange Rate, Adjustment to the Purchasing Power Parity, and the Interest Rate Differential
 
 
Font Type:
Arial Georgia Verdana
Font Size:
Aa Aa Aa
Line Spacing:
Column Width:
Background:
Article

Natural Convection of Heat-Generating Liquid of Variable Viscosity under Wall Cooling Impact

by
Alexander I. Kudrov
1 and
Mikhail A. Sheremet
1,2,*
1
Butakov Research Center, National Research Tomsk Polytechnic University, Tomsk 634050, Russia
2
Laboratory on Convective Heat and Mass Transfer, Tomsk State University, Tomsk 634045, Russia
*
Author to whom correspondence should be addressed.
Mathematics 2022, 10(23), 4501; https://doi.org/10.3390/math10234501
Submission received: 14 November 2022 / Revised: 22 November 2022 / Accepted: 25 November 2022 / Published: 29 November 2022

Abstract

This research presents a computational investigation of the thermal convection of a heat-generating liquid having variable viscosity in a semi-cylindrical cavity. The analysis is carried out to obtain the time patterns of the average Nusselt number at the lower border of the chamber and understand the impact of the variable viscosity, the Prandtl number, and the Rayleigh number on this parameter. The natural convection in the cavity is defined by the set of non-dimensional equations based on the Boussinesq approach employing the non-primitive parameters such as vorticity and stream function. These governing equations are worked out numerically based on the finite difference technique. The time dependencies have been obtained at the Rayleigh number equal to 104, 105, and 106 and the Prandtl number taking values of 7.0, 70, and 700. The results obtained for variable and constant viscosity have been compared. Additionally, the paper represents maps of isotherms and streamlines for the mentioned values of the Rayleigh number. The influence of variable viscosity on the parameters of natural convection is poorly studied in closed systems; therefore, this research gives necessary data to understand the general time nature of the average Nusselt number at cooling surface of various parameters. Additionally in this research, the model for simulating the natural convection in non-primitive variables is presented in polar coordinates when the dynamic viscosity varies with temperature. The computational model designed could be used to simulate the free convection in systems with inner heat production such as chemical reactors, inductive metal melting facilities, or corium in-vessel retention to analyze the impact of various factors on the parameters of the natural convection in such systems.

1. Introduction

The free convection in units with inner thermal production became a relevant topic of scientific interest over the last few decades, since such a process is observed in various fields of engineering such as chemical reactors, nuclear and metallurgical industries, etc. The free convection in the engineering systems is often influenced by various complicating elements, one of which is variable viscosity of the fluid. However, a majority of the research analyzing natural convection under the inner thermal production have been conducted at constant properties of the fluid [1,2,3,4,5]. Yet, it is well known that variable viscosity can affect the properties of the natural convection. Yamasaki and Irvine [6] have numerically simulated a laminar free convection of a fluid in a vertical tube to study the effect of variable viscosity on the energy transfer and the average velocity of the fluid in the domain. According to their results, the variable viscosity effect significantly increases the average velocity and the total energy transport strength in the system. Hyun and Lee [7] have reported the results of a numerical analysis on a similar problem; however, the domain under study has had a square shape, where the left border is hot, and the right one is cold. This study has shown that accounting for variable viscosity also leads to overall enhancement of the convective flows and energy transport in the system. Another example is the research of Jin and Chen [8], where the authors have conducted a computational analysis of free convection in a vertical slot to study transition processes there. They also have supposed that the fluid viscosity varies exponentially according to four parameters of exponential law. Given these conditions, it has been discovered that the critical value of the Grashof number providing a multicellular flow structure is smaller compared to that at constant viscosity.
The studies devoted to the influence of variable viscosity on the parameters of natural convection are not exhausted just by the case of closed domains. As an example, we can use the work by Hossain et al. [9] that presents a numerical simulation of thermal convection above a vertical wavy sheet. The authors have reported that accounting for variable viscosity leads to identical results obtained by Yamasaki and Irvine [6] and Hyun and Lee [7]. Apart from numerical analyses, we can also highlight a research study by Cordoba et al. [10] where, besides a numerical simulation, they have conducted experiments on natural convection in a cube and shown the changes in the velocity field that the variable viscosity causes.
The works represented above have been conducted when the heat source is differential. However, some endeavors have been made to study the influence of temperature-dependent viscosity in systems where the fluid generates heat. Here, we can mention the works of Bagai [11], Siddiqa et al. [12], and Alim et al. [13] where the effects of variable viscosity in case of the natural convection boundary layer problem is studied at various complicating factors. Thus, Bagai [11] has represented a numerical analysis on thermal convection along bodies of various geometries, whereas Siddiqa et al. [12] have performed computations of this process along a plane-inclined surface at various angles of inclination. Finally, Alim et al. [13] have carried out the analysis for a surface that has been placed vertically and has had a wavy structure. The results of these works have shown a reduction of the energy transfer intensity and an increment of the skin friction when the fluid generates heat, and its viscosity varies with temperature.
Although the foregoing review shows attempts to study the thermal convection in units having inner thermal production if the viscosity of the liquid varies with temperature, the analyses mentioned are limited to only a boundary layer problem. However, the influence of variable viscosity under the effect of internal thermal generation needs to be analyzed in closed domains since this phenomenon is observed in the fields of engineering application mentioned earlier. Therefore, in the present research, the objective is to perform a computational analysis on a time-dependent thermogravitational convection of a thermally producing liquid within a semi-cylindrical chamber when the dynamic viscosity of the liquid is reduced with temperature exponentially.

2. Mathematical Simulation

As shown in Figure 1, the domain under study has a form of a semi-cylindrical chamber where the top border is thermally insulated, and the lower one is isothermal and has temperature T0. The cavity encloses a heat-generating fluid with the volumetric heat rate that is constant in both space and time. Initially, the liquid does not move, and the initial temperature is the same with the lower border temperature. Additionally, we suppose that dynamic viscosity of the liquid varies with temperature. According to [6,7], this dependence is given by:
μ = μ T 0 exp C T T 0 Δ T
Here, ΔT is the reference temperature difference that will be defined later in this paper.
It should be noted that here we have used the exponential form for the viscosity proposed by Torrance and Turcotte [14]. This exponential approach has a very good description of the available experimental outcomes [6].
The other properties of the liquid are fixed, and they have been determined at initial temperature T0.
In the cavity, a combined effect of the inner thermal production and the gravitational field leads to a formation of convective flows, the behavior of which is defined by the set of governing equations based on the Boussinesq approach. The set includes the equations of momentum, continuity, and energy. These governing equations are represented below.
The equation of momentum (the Navier–Stokes equation) is [15,16]:
ρ u t + u u r + v r u φ v r = p r + 2 r μ u r + 1 r φ μ 1 r u φ + v r v r + 2 μ r u r 1 r v φ u r ρ g β T T 0 sin φ
ρ u t + u u r + v r u φ + u v r = 1 r p φ + r μ 1 r u φ + v r v r + 2 r φ μ 1 r v φ + u r + 2 μ r 1 r u φ + v r v r ρ g β T T 0 cos φ
The continuity equation is:
u r r + v φ = 0
The energy equation is:
ρ с p T t + u T r + v r T ϕ = k 2 T r 2 + 1 r T r + 1 r 2 2 T ϕ 2 + q v
Given the formulation of the problem, the additional restrictions for Equations (2)–(5) are:
t = 0 ,   r 0 ,   R c ,   φ 0 ,   π ;   u = v = 0 ,   T = T 0 ;
r = 0 ,   φ 0 , π ; u = v = 0 , T r = 0 ; r = R c ,   φ 0 , π ; u = v = 0 , T = T 0 ; φ = 0   and   φ = π ,   r 0 , R c ; u = v = 0 , T φ = 0
The mathematical formulation represented above can be simplified by eliminating the pressure terms from the system. It can be performed if we introduce the non-primitive parameters including vorticity, ω, and stream function, ψ, which are defined as [15,16]:
ω = 1 r u φ v r v r ;   u = 1 r ψ φ ,   v = ψ r
As a result of the substitution, System (2)–(5) can be transformed into:
ρ ω t + u ω r + 1 r v ω ϕ + u ω r = 2 μ ω r 2 + 1 r μ ω r + 1 r 2 2 μ ω ϕ 2 + 2 1 r 2 μ r 2 v u ϕ + 1 r v r μ r + 1 r 2 μ ϕ 2 + 2 r u r 2 μ r ϕ 1 r μ ϕ + ρ g β T r cos ϕ T ϕ sin ϕ r
2 ψ r 2 + 1 r ψ r + 1 r 2 2 ψ φ 2 = ω
ρ с p T t + u T r + v r T ϕ = k 2 T r 2 + 1 r T r + 1 r 2 2 T ϕ 2 + q v
In the system above, Equations (9) and (10) are referred to as the equation of vorticity and the Poisson equation for stream function, respectively.
Furthermore, we non-dimensionalize the formulation in non-primitive variables using the following scales of quantities:
-
The scale of length is the radius of the cavity, Rc;
-
The scale of temperature is Δ T = q v R c 2 k (see [17,18]);
-
The scale of velocity is the convection velocity w 0 = g β Δ T R c (see [19]);
-
The scale of stream function is ψ 0 = R c w 0 ;
-
The scale of vorticity is ω 0 = w 0 / R c ;
-
The scale of dynamic viscosity is μ 0 = μ T 0 ; thus, the dependence of the dimensionless viscosity on the dimensionless temperature is:
Μ = μ T μ T 0 = exp C θ
As a result, the non-dimensional variables have been defined as follows:
R = r R c ,   U = u w 0 ,   V = v w 0 ,   Ψ = ψ ψ 0 ,   Ω = ω ω 0 ,   θ = T T 0 Δ T
The scales introduced enable us to obtain the system of non-dimensional equations in Boussinesq approximation in terms of non-primitive variables. These equations are as follows:
Ω τ + U Ω R + 1 R V Ω φ + U Ω R = Pr Ra 2 Μ Ω R 2 + 1 R Μ Ω R + 1 R 2 Μ Ω φ 2 + 2 Pr Ra 1 R 2 Μ R 2 V U φ + 1 R V R Μ R + 1 R 2 Μ φ 2 + 2 R U R 2 Μ R φ 1 R Μ φ + θ R cos φ θ φ sin φ R
2 Ψ R 2 + 1 R Ψ R + 1 R 2 2 Ψ φ 2 = Ω
θ τ + U θ R + V R θ φ = 1 Pr Ra 2 θ R 2 + 1 R θ R + 1 R 2 2 θ φ 2 + 1
The initial and boundary restrictions for the dimensionless mentioned equations are given as:
τ = 0 ,   R 0 , 1 ,   φ 0 , π ;   Ψ = θ = Ω = 0 ;
R = 0 ,   φ 0 , π ;   Ψ = Ω = 0 ,   θ R = 0 ; R = 1 ,   φ 0 , π ;   Ψ = θ = 0 ,   Ω = 2 Ψ R 2 ; φ = 0   and   φ = π ,   R 0 , 1 ;   Ψ = 0 ,   θ φ = 0 ,   Ω = 1 R 2 2 Ψ φ 2

3. Solution Technique

In the developed code, Equations (14)–(16) have been worked out employing the finite difference technique in a uniform grid with the number of divisions along radius and polar angle equal to N and M, respectively. For each time level, since the equations are time-dependent, we firstly worked out the Poisson equation for the stream Function (15). This equation has been discretized using the five-point difference pattern where the second order derivatives have been approximated by the symmetric differences, and the first order derivatives have been discretized by the central differences. The finite difference approximation of Equation (15) for the nodes within the domain, where i = 1 , N 1 ¯ and j = 1 , M 1 ¯ , is represented below.
Ψ i + 1 , j n + 1 2 Ψ i , j n + 1 + Ψ i 1 , j n + 1 Δ R 2 + 1 R i Ψ i + 1 , j n + 1 Ψ i 1 , j n + 1 2 Δ R + Ψ i , j + 1 n + 1 2 Ψ i , j n + 1 + Ψ i , j 1 n + 1 R i 2 Δ φ 2 = Ω i , j n
Here, we have used the magnitudes of vorticity using the previous time level n, and as a result, in the numerical code, the values of the dimensionless vorticity at the current time level n + 1 are still unknown. After approximation, we have obtained a set of linear algebraic equations, which has been solved then by the successive over-relaxation algorithm. As the magnitudes of the non-dimensional Ψ have just been found at the time level n + 1, next, we have computed the projections of non-dimensional velocity employing for Equation (8) the central differences as follows:
U i , j n + 1 = Ψ i , j + 1 n + 1 Ψ i , j 1 n + 1 2 R i Δ φ + O Δ φ 2 ; V i , j n + 1 = Ψ i + 1 , j n + 1 Ψ i 1 , j n + 1 2 Δ R + O Δ R 2 ;   i = 1 , N 1 ¯ j = 1 , M 1 ¯
Furthermore, we have worked out Equation (14), which has been approximated through the locally one-dimensional scheme of Samarksii [20], where the equation is jointly discretized at two time levels, namely, n + 1/2 and n + 1. At both time levels, the convective terms have been discretized via the special difference schemes using the central differences. Thus for i = 1 , N 1 ¯ and j = 1 , M 1 ¯ , the approximation of Equation (14) is as follows:
Ω i , j n + 0.5 Ω i , j n Δ τ + U i + 0.5 , j n + 1 U i + 0.5 , j n + 1 Ω i + 1 , j n + 0.5 U i 0.5 , j n + 1 U i 0.5 , j n + 1 Ω i , j n + 0.5 2 Δ R + U i + 0.5 , j n + 1 + U i + 0.5 , j n + 1 Ω i , j n + 0.5 U i 0.5 , j n + 1 + U i 0.5 , j n + 1 Ω i 1 , j n + 0.5 2 Δ R + U i , j n + 1 Ω i , j n R i = Pr Ra Μ i + 1 , j n Ω i + 1 , j n + 0.5 2 Μ i , j n Ω i , j n + 0.5 + Μ i 1 , j n Ω i 1 , j n + 0.5 Δ R 2 + 1 R i Μ i + 1 , j n Ω i + 1 , j n + 0.5 Μ i 1 , j n Ω i 1 , j n + 0.5 2 Δ R + 2 Pr Ra 1 R i Μ i + 1 , j n 2 Μ i , j n + Μ i 1 , j n Δ R 2 V i , j n + 1 U i , j + 1 n + 1 U i , j 1 n + 1 2 Δ φ + 1 R i V i + 1 , j n + 1 V i 1 , j n + 1 2 Δ R Μ i + 1 , j n Μ i 1 , j n 2 Δ R + 1 R i Μ i , j + 1 n 2 Μ i , j n + Μ i , j 1 n Δ φ 2 + 1 R i U i + 1 , j n + 1 U i 1 , j n + 1 Δ R Μ i + 1 , j + 1 n Μ i + 1 , j 1 n Μ i 1 , j + 1 n + Μ i 1 , j 1 n 4 Δ R Δ φ 1 R i Μ i , j + 1 n Μ i , j 1 n 2 Δ φ + θ i + 1 , j n θ i 1 , j n 2 Δ R cos φ j θ i , j + 1 n θ i , j 1 n 2 Δ φ sin φ j R i
Ω i , j n + 1 Ω i , j n + 0.5 Δ τ + 1 R i V i , j + 0.5 n + 1 V i , j + 0.5 n + 1 Ω i , j + 1 n + 1 V i , j 0.5 n + 1 V i , j 0.5 n + 1 Ω i , j n + 1 2 Δ φ + 1 R i V i , j + 0.5 n + 1 + V i , j + 0.5 n + 1 Ω i , j n + 1 V i , j 0.5 n + 1 + V i , j 0.5 n + 1 Ω i , j 1 n + 1 2 Δ φ = Pr Ra Μ i , j + 1 n Ω i , j + 1 n + 1 2 Μ i , j n Ω i , j n + 1 + Μ i , j 1 n Ω i , j 1 n + 1 R i 2 Δ φ 2
Here, for instance, the notation Μ i , j n means Μ i , j n = Μ θ i , j n . The other notations of this kind have similar meaning to the above approximations. The obtained difference Equations (21) and (22) include a tridiagonal shape, which enabled us to employ the Thomas technique to work them out.
The values of the dimensionless vorticity at the boundaries of the cavity have been obtained using the Pearson relation [21] as follows:
Ω N , j n + 1 = 8 Ψ N 1 , j n + 1 Ψ N 2 , j n + 1 2 Δ R 2 + O Δ R 2 ,   j = 1 , M 1 ¯ ; Ω i , 0 n + 1 = 1 R i 2 8 Ψ i , 1 n + 1 Ψ i , 2 n + 1 2 Δ φ 2 + O Δ φ 2 ,   i = 1 , N 1 ¯ ; Ω i , M n + 1 = 1 R i 2 8 Ψ i , M 1 n + 1 Ψ i , M 2 n + 1 2 Δ φ 2 + O Δ φ 2 ,   i = 1 , N 1 ¯
Finally, we have solved the energy equation that has been discretized like Equation (14). The only difference is that we have approximated the convective terms with the Samarksii monotonic scheme [20]. The obtained finite difference equations at the time levels n + 0.5 and n + 1 are as follows:
θ i , j n + 0.5 θ i , j n Δ τ + U i , j n + 1 θ i + 1 , j n + 0.5 θ i 1 , j n + 0.5 2 Δ R U i , j n + 1 θ i + 1 , j n + 0.5 2 θ i , j n + 0.5 + θ i 1 , j n + 0.5 2 Δ R = 1 Pr Ra 1 + U i , j n + 1 Δ R Pr Ra 2 1 θ i + 1 , j n + 0.5 2 θ i , j n + 0.5 + θ i 1 , j n + 0.5 Δ R 2 + 1 Pr Ra 1 R i θ i + 1 , j n + 0.5 θ i 1 , j n + 0.5 2 Δ R + 1 Pr Ra
θ i , j n + 1 θ i , j n + 0.5 Δ τ + V i , j n + 1 R i θ i , j + 1 n + 1 θ i , j 1 n + 1 2 Δ φ V i , j n + 1 R i θ i , j + 1 n + 1 2 θ i , j n + 1 + θ i , j 1 n + 1 2 Δ φ = 1 Pr Ra 1 + R i V i , j n + 1 Δ φ Pr Ra 2 1 θ i , j + 1 n + 1 2 θ i , j n + 1 + θ i , j 1 n + 1 R i 2 Δ φ 2
The finite difference equations above also have a tridiagonal structure; therefore, we have used the TDMA to solve them.
The total approximation has an accuracy of the second order in space, O Δ R 2 + Δ φ 2 yet the accuracy in time is of the first order O Δ τ , as in the time-dependent equations the transient term has been discretized using the forward difference.
To prove the validity of the designed computational algorithm, we have solved the problem considered by Chudanov and Strizhov [1]. In that paper, the authors have conducted a numerical analysis on the thermal convection of a thermally producing liquid within a square chamber having isothermal borders.
Figure 2 shows a good agreement with Figure 1 from Chudanov and Strizhov [1] that reflects an operability and quality of the present computational algorithm. Thus, it enables us to employ the designed code to work out the problem formulated earlier.
Prior to performing a numerical simulation, it is important to select an optimal grid, which provides both sufficient accuracy and small computational time. In this work, the optimal grid has been determined based on the time dependence of the average Nusselt number at the lower border, built for grids of 17 × 17, 26 × 26, 51 × 51, and 101 × 101 nodes. As Figure 3 illustrates, the difference between the solutions for the grids of 51 × 51 and 101 × 101 nodes is insignificant; thus, the grid of 51 × 51 nodes has been selected as optimal.

4. Results and Discussion

In the present paper, the influence of the Rayleigh and Prandtl numbers on the mean Nu at the lower surface of the chamber is studied when the dynamic viscosity of the heat-generating fluid decreases with temperature. The average Nu has been defined as:
N u a v = 0 π θ R R = 1 d φ
The values of the Prandtl number are 7.0, 70, and 700, and Ra varies between 104 and 106. Additionally, we have studied how variable viscosity and the C-factor in Equation (12) impact the integral parameter of heat transfer if the C-factor takes values 1, 2, and 3.
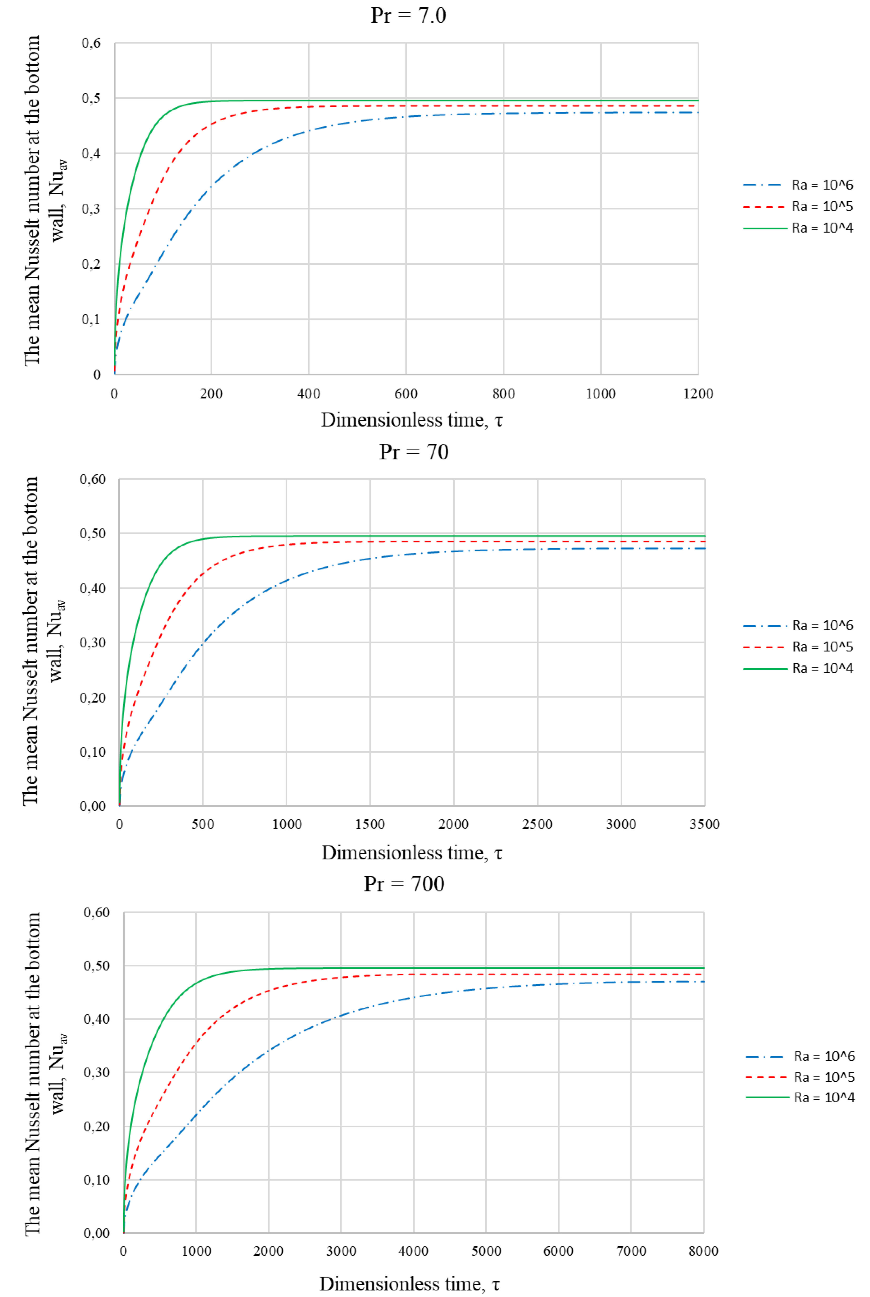
Firstly, in the discussion, we consider the effect of the Rayleigh number on Nuav, which is represented by Figure 4 illustrating time dependencies of Nuav at constant Prandtl number and various values of Ra from the mentioned range. As Figure 4 shows, the average Nu initially raises due to warming up, and when the net balance between heat supply and heat removal from the system settles, the process becomes steady. At both parts of the process, an increment of Ra causes a diminution of the mean Nusselt number, which may result from weakening of the convective circulations inside the chamber due to uniform heating. This is indicated by Figure 5 where we can observe a reduction of the maximal Ψ with increasing Ra. Figure 5 also illustrates that at higher Ra, the transient part of the process lasts longer since the increment of the Rayleigh number is associated with a growth of the volumetric heat rate of the liquid. Namely, it takes more time for the fluid to attain a certain temperature level at high rates of heat supply.
The impact of Pr on the mean Nu is represented in Figure 6, which shows that the steady-state magnitudes of the integral heat transfer parameters are insignificantly influenced by Pr. However, the unsteady values of Nuav are lower at higher Pr since the growth of Pr results in less intense movement of the fluid. The effect of slow fluid motion at high Pr also leads to prolonging the transient stage of the process.
Additionally, we have researched how variable viscosity influences the mean Nusselt number. The computations have shown no impact of M = var on Nuav; therefore, such results are not represented in the paper. This effect could be caused by the fact that greater changes in the viscosity are found in the center of the chamber where the temperatures are maximum, and in the layers neighboring upon the bottom wall, the properties of the fluid remain virtually unchanged. However, as Figure 7 shows, taking into account the variable viscosity, one can find a strengthening of the fluid motion since the maximum Ψ is increased when the viscosity varies with temperature. Further growth in C only enhances the mentioned effect. The increased intensity of the fluid motion eventually results in a reduction of the temperature within the chamber as enhanced mixing of the cold and hot layer of the liquid makes the temperature field more uniform. This effect is also more pronounced at high values of С.
To understand the nature of the convective structure and the temperature field within the cavity, we have built a series of maps of isotherms and streamlines for a steady-state part of the process at Pr = 700 and C = 1. They are represented in Figure 8. Firstly, we should highlight that two convective cells appear within the domain. The fluid rotates clockwise inside the right cell, whereas the direction of the rotation is opposite for the left cell. As we can see in Figure 8, at low Ra, fluid motion has a minute impact on the temperature field. However, as Ra increases, the isotherms arc upwards, but the intensity of the fluid motion is still insufficient to develop a thermal jet. Moreover, we can observe that with rising Ra, the cores of the convective cells move upwards near the corners of the chamber due to combined influence of increased qv, that the Rayleigh number depends on in this problem, and adiabatic wall. Moving upwards, the cores shift temperature maximum closer to the top boundary, and this reduces the density of the isotherms in the bottom part of the domain causing the decrease in the temperature gradient near the lower border and eventually contributing to a reduction of the average Nu. The structure and behavior of these distributions are similar to those obtained for the other considered Pr values. The variable viscosity and the factor C do not influence the distributions significantly; therefore, such results are also omitted from the discussion.

5. Conclusions

In the present research, the thermogravitational convection of a thermally producing liquid with variable viscosity has been studied numerically. The domain of interest has geometry of a horizontal semi-cylinder with thermally insulated upper border and isothermal lower border. According to the results of the simulation, it has been discovered that the average Nusselt number decreases with a growth of Ra due to weakening of the fluid motion. Additionally, it has been found that a growth of the Rayleigh number prolongs the transient part of the process due to increased heat supply to the system. The Prandtl number causes no influence on the steady-state average Nusselt number; however, at high Pr, the unsteady values of Nuav are lower, and the transient part of the process lasts longer due to less intense fluid motion. Finally, we have found that the variable viscosity, as well the values of C-factor, impacts the dimensionless heat transfer rate insignificantly. Yet, it enhances the convective circulations and decreases the temperatures within the chamber. Both effects are more pronounced when the value of C increases.

Author Contributions

Conceptualization, M.A.S.; methodology, M.A.S.; formal analysis, A.I.K.; investigation, A.I.K. and M.A.S.; writing—original draft preparation, A.I.K. and M.A.S.; writing—review and editing, A.I.K. and M.A.S.; supervision, M.A.S. All authors have read and agreed to the published version of the manuscript.

Funding

This work was supported by the Tomsk Polytechnic University Development Programme (Priority-2030).

Data Availability Statement

All data are presented in this article.

Conflicts of Interest

The authors declare no conflict of interest.

Nomenclature

cpheat capacity
Cviscosity variation parameter
gacceleration due to gravity
Kthermal conductivity
Mnon-dimensional dynamic viscosity
ntime index
Nuavaverage Nusselt number
pPressure
PrPrandtl number
qvinner volumetric heat generation density
Rnon-dimensional polar radial coordinate
Rpolar radial axis
Rccylinder radius
RaRayleigh number
TTime
Ttemperature
T0initial temperature
u, vvelocity components
U, Vnon-dimensional velocity components
w0reference velocity
x, yCartesian coordinates
Greek symbols
βthermal expansion parameter
ΔRstep for the polar coordinate
ΔTreference temperature difference
Δτtime step
Δϕstep for the polar angle
θnon-dimensional temperature
μdynamic viscosity
μ0reference dynamic viscosity value
ρdensity
τnon-dimensional time
ϕpolar angle
ψstream function
ψ0reference stream function value
Ψnon-dimensional stream function
ωvorticity
ω0reference vorticity value
Ωnon-dimensional vorticity
Subscripts
0reference
avaverage
ccylinder
i, jindices for the spatial nodes
Mmaximum index for polar angle coordinate
maxmaximum value
minminimum value
Nmaximum index for polar radial coordinate

References

  1. Chudanov, V.V.; Strizhov, V.F. A numerical study on natural convection of a heat generating fluid in rectangular enclosures. Int. J. Heat Mass Transf. 1994, 37, 2969–2984. [Google Scholar]
  2. Shim, Y.M.; Hyun, J.M. Transient confined natural convection with internal heat generation. Int. J. Heat Fluid Flow 1997, 18, 328–333. [Google Scholar] [CrossRef]
  3. Basak, T.; Roy, S.; Paul, T.; Pop, I. Natural convection in a square cavity filled with a porous medium: Effects of various thermal boundary conditions. Int. J. Heat Mass Transf. 2006, 49, 1430–1441. [Google Scholar] [CrossRef]
  4. Hamimid, S.; Messaoud, G. Numerical analysis of combined natural convection-internal heat generation source-surface radiation. Therm. Sci. 2016, 20, 1879–1889. [Google Scholar] [CrossRef]
  5. Alesbe, I.; Aljabair, S.; Jalil, J. An efficient numerical simulation of 2D natural convection in an inclined cavity with internal heat generation using differential quadrature method. Walailak J. Sci. Technol. 2021, 18, 20601. [Google Scholar] [CrossRef]
  6. Yamasaki, T.; Irvine, T.F. Laminar free convection in a vertical tube with temperature-dependent viscosity. Int. J. Heat Mass Transf. 1984, 27, 1613–1621. [Google Scholar] [CrossRef]
  7. Hyun, J.M.; Lee, J.W. Transient natural convection in a square cavity of a fluid with temperature dependent viscosity. Int. J. Heat Fluid Flow 1988, 9, 278–285. [Google Scholar] [CrossRef]
  8. Jin, Y.Y.; Chen, C.F. Natural convection of high Prandtl number fluids with variable viscosity in a vertical slot. Int. J. Heat Mass Transf. 1995, 39, 2663–2670. [Google Scholar] [CrossRef]
  9. Hossain, M.A.; Kabir, S.; Rees, D.A.S. Natural convection of fluid with variable viscosity from a heated vertical wavy surface. J. Appl. Math. Phys. 2002, 53, 48–52. [Google Scholar]
  10. Cordoba, P.A.; Silin, N.; Dari, E.A. Natural convection in a cubical cavity filled with a fluid showing temperature-dependent viscosity. Int. J. Therm. Sci. 2015, 98, 255–265. [Google Scholar] [CrossRef]
  11. Bagai, S. Effect of variable viscosity on free convection over a non-isothermal axisymmetric body in a porous medium with internal heat generation. Acta Mech. 2004, 169, 187–194. [Google Scholar] [CrossRef]
  12. Siddiqa, S.; Asghar, S.; Hossain, M.A. Natural convection flow over an inclined flat plate with internal heat generation and variable viscosity. Math. Comput. Model. 2010, 52, 1739–1751. [Google Scholar] [CrossRef]
  13. Alim, M.A.; Alam, S.; Miraj, M. Effects of volumetric heat source and temperature dependent viscosity on natural convection flow along a wavy surface. Procedia Eng. 2014, 90, 383–388. [Google Scholar] [CrossRef]
  14. Torrance, K.E.; Turcotte, D.L. Thermal convection with large viscosity variations. J. Fluid Mech. 1971, 47, 113–125. [Google Scholar] [CrossRef]
  15. Sheremet, M.A. Interaction of two-dimensional thermal “plumes” from local sources of energy under conditions of conjugate natural convection in a horizontal cylinder. J. Appl. Mech. Tech. Phys. 2012, 53, 566–576. [Google Scholar] [CrossRef]
  16. Sheremet, M.A.; Pop, I. Free convection in a porous horizontal cylindrical annulus with a nanofluid using Buongiorno’s model. Comput. Fluids 2015, 118, 182–190. [Google Scholar] [CrossRef]
  17. Liaqat, A.; Baytas, A.C. Conjugate natural convection in a square enclosure containing volumetric sources. Int. J. Heat Mass Transf. 2001, 44, 3273–3280. [Google Scholar] [CrossRef]
  18. Liaqat, A.; Baytas, A.C. Numerical comparison of conjugate and non-conjugate natural convection for internally heated semi-circular pools. Int. J. Heat Fluid Flow 2001, 22, 650–656. [Google Scholar] [CrossRef]
  19. Yogesh, J. Natural Convection: Heat and Mass Transfer; Pergamon Press: Oxford, NY, USA, 1980. [Google Scholar]
  20. Samarskii, A.A. The Theory of Difference Schemes; Marcel Dekker Inc.: New York, NY, USA; Basel, Switzerland, 2001. [Google Scholar]
  21. Pearson, C.E. A computational method for viscous flow problems. J. Fluid Mech. 1965, 21, 611–622. [Google Scholar] [CrossRef]
Figure 1. Coordinate system and analyzed region.
Figure 1. Coordinate system and analyzed region.
Mathematics 10 04501 g001
Figure 2. Streamlines (the left one) and isotherms (the right one) from the developed code at Ra = 6.4⋅105 and Pr = 7.0, Ψmax = 8.73⋅10−1, Ψmin = −8.73 × 10−1, θmax = 4.70 × 10−2, while from [1] Ψmax = 8.78 × 10−1, Ψmin = −8.78 × 10−1, θmax = 4.77 × 10−2.
Figure 2. Streamlines (the left one) and isotherms (the right one) from the developed code at Ra = 6.4⋅105 and Pr = 7.0, Ψmax = 8.73⋅10−1, Ψmin = −8.73 × 10−1, θmax = 4.70 × 10−2, while from [1] Ψmax = 8.78 × 10−1, Ψmin = −8.78 × 10−1, θmax = 4.77 × 10−2.
Mathematics 10 04501 g002
Figure 3. Average Nusselt number on the lower border for grids of 17 × 17, 27 × 27, 51 × 51, and 101 × 101 nodes at Pr = 7.0, Ra = 105, and C = 2.
Figure 3. Average Nusselt number on the lower border for grids of 17 × 17, 27 × 27, 51 × 51, and 101 × 101 nodes at Pr = 7.0, Ra = 105, and C = 2.
Mathematics 10 04501 g003
Figure 4. Time profiles of average Nu on the lower border at Pr = const and Ra = var for C = 2.
Figure 4. Time profiles of average Nu on the lower border at Pr = const and Ra = var for C = 2.
Mathematics 10 04501 g004
Figure 5. Time profiles of the maximum Ψ at Pr = const and Ra = var for C = 2.
Figure 5. Time profiles of the maximum Ψ at Pr = const and Ra = var for C = 2.
Mathematics 10 04501 g005
Figure 6. Time profiles of the average Nu at the lower surface at Ra = const and Pr = var for C = 2.
Figure 6. Time profiles of the average Nu at the lower surface at Ra = const and Pr = var for C = 2.
Mathematics 10 04501 g006
Figure 7. Time profiles of the maximum dimensionless stream function and temperature at various values of factor C for Ra = 104, 105 and Pr = 70.
Figure 7. Time profiles of the maximum dimensionless stream function and temperature at various values of factor C for Ra = 104, 105 and Pr = 70.
Mathematics 10 04501 g007
Figure 8. Steady-state distributions of streamlines and isotherms at Pr = 700 and C = 2 for different Ra.
Figure 8. Steady-state distributions of streamlines and isotherms at Pr = 700 and C = 2 for different Ra.
Mathematics 10 04501 g008
Publisher’s Note: MDPI stays neutral with regard to jurisdictional claims in published maps and institutional affiliations.

Share and Cite

MDPI and ACS Style

Kudrov, A.I.; Sheremet, M.A. Natural Convection of Heat-Generating Liquid of Variable Viscosity under Wall Cooling Impact. Mathematics 2022, 10, 4501. https://doi.org/10.3390/math10234501

AMA Style

Kudrov AI, Sheremet MA. Natural Convection of Heat-Generating Liquid of Variable Viscosity under Wall Cooling Impact. Mathematics. 2022; 10(23):4501. https://doi.org/10.3390/math10234501

Chicago/Turabian Style

Kudrov, Alexander I., and Mikhail A. Sheremet. 2022. "Natural Convection of Heat-Generating Liquid of Variable Viscosity under Wall Cooling Impact" Mathematics 10, no. 23: 4501. https://doi.org/10.3390/math10234501

APA Style

Kudrov, A. I., & Sheremet, M. A. (2022). Natural Convection of Heat-Generating Liquid of Variable Viscosity under Wall Cooling Impact. Mathematics, 10(23), 4501. https://doi.org/10.3390/math10234501

Note that from the first issue of 2016, this journal uses article numbers instead of page numbers. See further details here.

Article Metrics

Back to TopTop