Multiple Surrogate-Model-Based Optimization Method Using the Multimodal Expected Improvement Criterion for Expensive Problems
Abstract
1. Introduction
- MSMEIC considers the multimodal feature of the EI function, which is an effective approach to improve the efficiency of the optimization process [18].
- An adaptive important region identification method is proposed to construct a reduced subspace in MSMEIC, which can increase the probability of the algorithm obtaining better solutions and reduce computing costs [19].
- The proposed multimodal EI criterion in MSMEIC is suitable for parallel computing, which can fit the needs of high-performance and multicore computers.
2. Background
2.1. Three Surrogate Models
- (1)
- Kriging
- (2)
- Radial Basis Function (RBF)
- (3)
- Quadratic Response Surface (QRS)
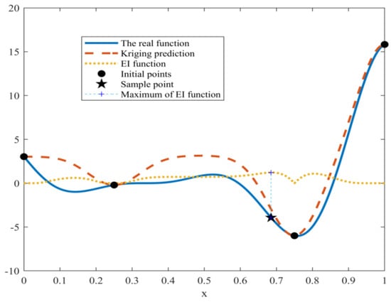
2.2. Expected Improvement (EI) Function Based on Surrogate Model
3. The Framework and Details of the MSMEIC Algorithm
- (1)
- MSMEIC proposes a novel approach to construct the reduced space, which is helpful to obtain more precise results and decrease unnecessary computing costs.
- (2)
- MSMEIC introduces the EI function into MSGO algorithms and provides a new sampling mechanism that balances global exploration and local exploitation.
- (3)
- MSMEIC considers the multimodal feature of EI, which can improve the efficiency of the optimization process and make it suitable in parallel evaluations.
- (4)
- MSMEIC fuses the prediction information of different surrogate models to address expensive black-box problems, which is in line with the needs of real-life engineering problems.
3.1. The Flowchart and Steps of the MSMEIC
- Step 1. Initial sampling: In this step, design of experiments (DOE) methods such as Latin hypercube sampling (LHS) or optimal Latin hypercube sampling (OLHS) are employed to generate a certain number N of sampling points: x1, x2…, xN. Then, their true responses are evaluated: y1, y2…, yN.
- Step 2. Stopping condition judgment: This step judges whether the preset stopping condition is reached. If yes, the current best solution is output as the optimum; if not, the process proceeds to Step 3.
- Step 3. Determine the searching region: In this step, to obtain more precise results and decrease unnecessary computing costs, a reduced subspace and the whole design space are applied according to the current number of iterations. The details of how to construct the reduced subspace can be found in Section 3.2.
- Step 4. Construct the kriging, RBF and QRS models based on all evaluated points.
- Step 5. Use the multimodal EI criterion to obtain new potential candidates: In this step, to balance exploration and exploitation and improve the efficiency of the algorithm, a multimodal EI criterion is proposed to obtain several promising candidates. The details of the criterion are demonstrated in Section 3.3.
- Step 6. Obtain the best sample of each surrogate model
- Step 7. Select new promising points: Repeated points are deleted from the candidates obtained in steps 5 and 6, and the remaining points are selected as the new sampling points. Then, the true responses are evaluated, and Step 2 is performed.
3.2. Identify the Important Region to Reduce the Design Space
- (1)
- (2)
- In the early stage of the algorithm, the surrogate model is rough. At this time, the number of top evaluated points used to construct the subspace should be greater to avoid the subspace being too small, which may lead the approximation of the surrogate models into a known small region: regions with greater potential may be missed. As the optimization process proceeds, the surrogate model gradually becomes more precise, the number of top evaluated points should be decreased so that the subspace is small, and a more precise optimum can be found [12].
3.3. Multimodal EI Criterion
| Algorithm 1 (Pseudocode) Multimodal EI criterion |
| Input: The Kriging, RBF and QRS models constructed based on all evaluated points. The evaluated points set S, and the corresponding responses set Y. The search space in this iteration: Range. The dimension of problems: d. Output: The candidates set: C. Begin Construct the EI optimization model of each surrogate-model: 3. Define the number of starting points M, and generate a sampling set with M starting points in the searching space using the Latin Hypercube Sampling SP. % M is recommended as 30 when d = 2; 7 × d when 2< d <10; and 60 when d ≥ 10. 4. Obtain the EI local optima of Kriging, RBF and QRS using the SQP algorithm. 5. Delete the neighboring local optima to the highest peak of EI according to the Euclidean distance between two points. 6. Evaluate the surrogate-model predictions, and select the candidates of the KRG, RBF and QRS models according to the prediction values: Candidate_KRG, Candidate_RBF, Candidate_QRS. 7. Obtain the best prediction value point of KRG, RBF and QRS: OS_KRG, OS_RBF, OS_QRS. 8. Return C =… [Candidate_KRG, Candidate_RBF, Candidate_QRS, OS_KRG, OS_RBF, OS_QRS] End |
4. Tests of the MSMEIC Method
4.1. Numerical Tests
4.1.1. Details of the Experimental Settings
- The OLHS method is employed to generate initial sampling points for all algorithms. Moreover, because the QRS model requires that the number of points be greater than 0.5d2 + 1.5d + 1, the number of initial sampling points is set to 0.5d2 + 1.5d + 1. d represents the dimensionality of the problem.
- To ensure fair comparisons, 10 independent runs are performed to avoid unrepresentative results.
- A reliable comparison standard is employed, which is referenced in previous works [31]. The number of function evaluations (NFE) of each problem is fixed, and the mean values and variance of the optimal solutions (OS) are compared. The mean represents the optimization accuracy of each algorithm, while the variance represents the robustness of each algorithm.
- According to setting 3, the stopping condition of each algorithm is the maximum NFE. To test the efficiency of MSMEIC, when d < 6, the maximum NFE is 300 for MSMEIC, while the maximum NFE is 500 for the other algorithms. When d ≥ 6, the maximum NFE is 500 for MSMEIC, while the maximum NFE is 700 for other algorithms.
- If the optimal solution is within a preset target (i.e., small relative or absolute error; in this article, it is 0.1% of the true global optimum), the global optimum has been obtained. In this article, the success rate of obtaining target is also regarded as metrics to compare the algorithms. Hence, to save computing time, if the small target is obtained in d > 6 problems, the optimization process can be stopped in advance.
4.1.2. Experimental Results
4.1.3. Nonparametric Statistical Tests
4.2. Sensitivity Analysis
4.2.1. The Influence of Parameter
4.2.2. The Influence of NSP
4.3. Engineering Applications
5. Conclusions
Author Contributions
Funding
Institutional Review Board Statement
Informed Consent Statement
Data Availability Statement
Conflicts of Interest
Appendix A
- Ackley (AK) function
- 2.
- Shubert (SHUB) function
- 3.
- Alpine2 (A2) function
- 4.
- Hartman6 (H6) function
- 5.
- F16 function
- 6.
- Trid Function (TF)
References
- Nocedal, J.; Wright, S. Numerical Optimization; Springer: Berlin, Germany, 2006. [Google Scholar]
- Jiang, F.; Xia, H.; Tran, Q.A.; Ha, Q.M.; Tran, N.Q.; Hu, J. A new binary hybrid particle swarm optimization with wavelet mutation. Knowl.-Based Syst. 2017, 130, 90–101. [Google Scholar] [CrossRef]
- Zhou, Q.; Wang, Y.; Choi, S.; Jiang, P.; Shao, X.; Hu, J. A sequential multi-fidelity metamodeling approach for data regression. Knowl. -Based Syst. 2017, 134, 199–212. [Google Scholar] [CrossRef]
- Jin, R.; Chen, W.; Simpson, T. Comparative studies of metamodelling techniques under multiple modelling criteria. Struct. Multidiscip. Optim. 2001, 23, 1–13. [Google Scholar] [CrossRef]
- Cai, X.; Qiu, H.; Gao, L.; Yang, P.; Shao, X. An enhanced RBF-HDMR integrated with an adaptive sampling method for approxi-mating high dimensional problems in engineering design. Struct. Multidiscip. Optim. 2016, 53, 1209–1229. [Google Scholar] [CrossRef]
- Myers, R.H.; Montgomery, D.C.; Vining, G.G.; Borror, C.M.; Kowalski, S.M. Response Surface Methodology: A Retrospective and Literature Survey. J. Qual. Technol. 2004, 36, 53–77. [Google Scholar] [CrossRef]
- Clarke, S.M.; Griebsch, J.H.; Simpson, T.W. Analysis of Support Vector Regression for Approximation of Complex Engineering Analyses. J. Mech. Des. 2004, 127, 1077–1087. [Google Scholar] [CrossRef]
- Jones, D.R.; Schonlau, M.; Welch, W.J. Efficient Global Optimization of Expensive Black-Box Functions. J. Glob. Optim. 1998, 13, 455–492. [Google Scholar] [CrossRef]
- Wang, L.; Shan, S.; Wang, G.G. Mode-pursuing sampling method for global optimization on expensive black-box functions. Eng. Optim. 2004, 36, 419–438. [Google Scholar] [CrossRef]
- Dong, H.; Wang, P.; Chen, W.; Song, B. SGOP: Surrogate-assisted global optimization using a Pareto-based sampling strategy. Appl. Soft Comput. 2021, 106, 107380. [Google Scholar] [CrossRef]
- Viana, F.; Haftka, R.; Watson, L. Efficient global optimization algorithm assisted by multiple surrogate techniques. J. Glob. Optim. 2013, 56, 669–689. [Google Scholar] [CrossRef]
- Gu, J.; Li, G.Y.; Dong, Z. Hybrid and adaptive meta-model-based global optimization. Eng. Optim. 2012, 44, 87–104. [Google Scholar] [CrossRef]
- Dong, H.; Sun, S.; Song, B.; Wang, P. Multi-surrogate-based global optimization using a score-based infill criterion. Struct. Multidiscip. Optim. 2019, 59, 485–506. [Google Scholar] [CrossRef]
- Cai, Y.; Zhang, L.; Gu, J.; Yue, Y.; Wang, Y. Multiple meta-models based design space differentiation method for expensive problems. Struct. Multidiscip. Optim. 2018, 57, 2249–2258. [Google Scholar] [CrossRef]
- Gu, J. An efficient multiple meta-model-based global optimization method for computationally intensive problems. Adv. Eng. Softw. 2021, 152, 102958. [Google Scholar] [CrossRef]
- Zhan, D.; Qian, J.; Cheng, Y. Balancing global and local search in parallel efficient global optimization algorithms. J. Glob. Optim. 2017, 67, 873–892. [Google Scholar] [CrossRef]
- Feng, Z.; Zhang, Q.; Zhang, Q.; Tang, Q.; Yang, T.; Ma, Y. A multiobjective optimization based framework to balance the global exploration and local exploitation in expensive optimization. J. Glob. Optim. 2014, 61, 677–694. [Google Scholar] [CrossRef]
- Ginsbourger, D.; Le Riche, R.; Carraro, L. Kriging is well-suited to parallelize optimization. In Computational Intelligence in Expensive Optimization Problems; Springer: Berlin, Germany, 2010; pp. 131–162. [Google Scholar]
- Dong, H.; Song, B.; Dong, Z.; Wang, P. SCGOSR: Surrogate-based constrained global optimization using space reduction. Appl. Soft Comput. 2018, 65, 462–477. [Google Scholar] [CrossRef]
- Simpson, T.W.; Poplinski, J.D.; Koch, P.N.; Allen, J.K. Metamodels for Computer-based Engineering Design: Survey and recommendations. Eng. Comput. 2001, 17, 129–150. [Google Scholar] [CrossRef]
- Sacks, J.; Welch, W.; Mitchell, T.; Wynn, H. Design and analysis of computer experiments. Stat. Sci. 1989, 4, 409–423. [Google Scholar] [CrossRef]
- Fang, H.; Rais-Rohani, M.; Liu, Z.; Horstemeyer, M. A comparative study of metamodeling methods for multiobjective crashworthiness optimization. Comput. Struct. 2005, 83, 2121–2136. [Google Scholar] [CrossRef]
- Hardy, R.L. Multiquadric equations of topography and other irregular surfaces. J. Geophys. Res. Atmos. 1971, 76, 1905–1915. [Google Scholar] [CrossRef]
- Sobester, A.; Leary, S.; Keane, A. On the Design of Optimization Strategies Based on the Design of Optimization Strategies Based on Global Response Surface Approximation Models. J. Glob. Optim. 2005, 33, 31–59. [Google Scholar] [CrossRef]
- Forrester, A.; Sóbester, A.; Keane, A. Engineering Design via Surrogate Modelling: A Practical Guide; Wiley: New York, NY, USA, 2008; ISBN 978-0-470-06068-1. [Google Scholar]
- Cai, X.; Qiu, H.; Gao, L.; Yang, P.; Shao, X. A multi-point sampling method based on kriging for global optimization. Struct. Multidiscip. Optim. 2017, 56, 71–88. [Google Scholar] [CrossRef]
- Dong, H.; Song, B.; Wang, P.; Dong, Z. Hybrid surrogate-based optimization using space reduction (HSOSR) for expensive black-box functions. Appl. Soft Comput. 64, 641–655. [CrossRef]
- Ye, P.; Pan, G. Multi-surrogates and multi-points infill strategy-based global optimization method. Eng. Comput. 2022, 1–20. [Google Scholar] [CrossRef]
- Zhan, D.; Qian, J.; Cheng, Y. Pseudo expected improvement criterion for parallel EGO algorithm. J. Glob. Optim. 68, 641–662. [CrossRef]
- Xing, J.; Luo, Y.; Gao, Z. A global optimization strategy based on the Kriging surrogate model and parallel computing. Struct. Multidiscip. Optim. 2020, 62, 405–417. [Google Scholar] [CrossRef]
- Wu, Y.; Long, T.; Shi, R.; Wang, G.G. Mode-Pursuing Sampling Method Using Discriminative Coordinate Perturbation for High-Dimensional Expensive Black-Box Optimization. J. Mech. Des. 2020, 143, 1–29. [Google Scholar] [CrossRef]
- Chung, I.-B.; Park, D.; Choi, D.-H. Surrogate-based global optimization using an adaptive switching infill sampling criterion for expensive black-box functions. Struct. Multidiscip. Optim. 2018, 57, 1443–1459. [Google Scholar] [CrossRef]
- Li, M.; Liu, W. An Improved Mode-Pursing Sampling Method that Balances Global Exploration and Local Exploitation Based on Kriging. Eng. Optim. 2021. [Google Scholar] [CrossRef]











| Function | Dimension | Global Optimum | Target | Range | |
|---|---|---|---|---|---|
| Low-dimension | SHUB | 2 | −186.731 | −184.8637 | [−2,2] |
| AK | 2 | 0 | 0.001 | [−30,30] | |
| A2 | 2 | −6.13 | −6.07 | [0,10] | |
| High-dimension | H6 | 6 | −3.322 | −2.98 | [−1,1] |
| F16 | 16 | 25.875 | 26.13 | [−3,3] | |
| TF | 10 | −210 | −207.9 | [−100,100] | |
| Function | Standard | MSMEIC | MSEGO | EMMGO | MGOSIC | MDSD | SOGO | BOEI | |
|---|---|---|---|---|---|---|---|---|---|
| SHUB | Mean | OS | −186.28 | −174.62 | −186.32 | −186.16 | −179.24 | −67.47 | −186.86 |
| Variance | 7.2345 × 10−3 | 0.0125 | 7.6245 × 10−2 | 2.8654 × 10−2 | 7.3856 × 10−3 | 10.42 | 0 | ||
| Mean NFE | 300 | 500 | 354 | 500 | 500 | 500 | 208 | ||
| Success rate | 100% | 0 | 100% | 100% | 0 | 0 | 100% | ||
| Mean Time (s) | 242 | 408 | 286 | 417 | 402 | 328 | 436 | ||
| AK | Mean | OS | 8.0795 × 10−6 | 1.7956 | 0.0016 | 0.0056 | 0.0027 | 0 | 0.0287 |
| Variance | 7.0579 × 10−7 | 0.5628 | 7.6524 × 10−4 | 3.8456 × 10−6 | 8.5648 × 10−3 | 0 | 0.1132 | ||
| Mean NFE | 300 | 500 | 500 | 500 | 500 | 326 | 500 | ||
| Success rate | 100% | 0 | 100% | 100% | 100% | 100% | 0 | ||
| Mean Time (s) | 253 | 448 | 436 | 452 | 433 | 227 | 428 | ||
| A2 | Mean | OS | −6.13 | −5.98 | −6.13 | −6.13 | −5.74 | −6.13 | −6.13 |
| Variance | 0 | 0.1124 | 0 | 0 | 0.0152 | 0 | 0 | ||
| Mean NFE | 143 | 500 | 175 | 228 | 500 | 156 | 162 | ||
| Success rate | 100% | 0 | 100% | 100% | 20% | 100% | 100% | ||
| Mean Time (s) | 147 | 439 | 162 | 198 | 425 | 136 | 154 | ||
| H6 | Mean | OS | −3.2954 | −3.1879 | −3.2106 | −3.2659 | −3.1766 | −2.5678 | −3.0263 |
| Variance | 0.0042 | 0.0048 | 0.0075 | 0.0045 | 0.0054 | 0.1128 | 0.0185 | ||
| Mean NFE | 300 | 500 | 500 | 500 | 500 | 500 | 500 | ||
| Success rate | 70% | 0 | 0 | 0 | 0 | 0 | 0 | ||
| Mean Time (s) | 302 | 515 | 528 | 505 | 516 | 436 | 518 | ||
| TF | Mean | OS | −209.7842 | −194.4238 | −209.0125 | −209.4237 | −203.9912 | −194.5628 | −168.2347 |
| Variance | 0.016 | 10.7528 | 0.1237 | 0.0236 | 1.4237 | 0.4238 | 20.7524 | ||
| Mean NFE | 500 | 700 | 700 | 700 | 700 | 700 | 700 | ||
| Success rate | 100% | 0 | 100% | 100% | 10% | 0 | 0 | ||
| Mean Time (s) | 398 | 559 | 563 | 542 | 545 | 487 | 592 | ||
| F16 | Mean | OS | 25.893 | 57.9978 | 38.3280 | 25.895 | 28.4285 | 40.02 | 45.0840 |
| Variance | 0.0015 | 83.7563 | 5.5719 | 0.0017 | 3.8207 | 2.1456 | 62.0906 | ||
| Mean NFE | 500 | 700 | 700 | 700 | 700 | 700 | 700 | ||
| Success rate | 100% | 0 | 0 | 100% | 0 | 0 | 0 | ||
| Mean Time (s) | 412 | 646 | 653 | 686 | 634 | 563 | 652 | ||
| Function | Standard | MS-GO | MS-SO | MS-BO | MS-MS | MS-EM | MS-MG | MS-MD |
|---|---|---|---|---|---|---|---|---|
| SHUB | p | 0.92 | 0.023 | 0.96 | 0.042 | 0.89 | 0.82 | 0.044 |
| AK | p | 0.98 | 0.99 | 0.032 | 0.017 | 0.56 | 0.51 | 0.58 |
| A2 | p | 1 | 1 | 1 | 0.033 | 1 | 1 | 0.038 |
| H6 | p | 0.73 | 0.0073 | 0.018 | 0.026 | 0.032 | 0.033 | 0.028 |
| F16 | p | 0.88 | 0.012 | 0.0083 | 0.0033 | 0.027 | 0.98 | 0.041 |
| TF | p | 0.89 | 0.036 | 0.0018 | 0.034 | 0.87 | 0.86 | 0.022 |
| Function | Metric | 0.025 | 0.05 | 0.075 | 0.1 |
|---|---|---|---|---|---|
| AK | Mean OS | 0.0056 | 1.456 × 10−5 | 1.8975 × 10−5 | 1.45698 ×10−4 |
| Variance OS | 7.8596 × 10−4 | 3.0875 × 10−7 | 2.0962 × 10−6 | 5.4295 × 10−5 |
| Function | Metric | 0.025 | 0.05 | 0.075 | 0.1 |
|---|---|---|---|---|---|
| H6 | Mean OS | −3.262 | −3.296 | −3.294 | −3.278 |
| Variance OS | 4.6 × 10−3 | 4.2 × 10−3 | 4.4 × 10−3 | 4.3 × 10−3 |
| Function | Metric | 1 | 2 | 4 | 6 | 7 |
|---|---|---|---|---|---|---|
| AK | Mean OS | 0.0045 | 1.456 × 10−5 | 1.4432 × 10−5 | 1.4696 × 10−5 | 1.4103 × 10−7 |
| Variance OS | 2.4567 × 10−6 | 3.0875 × 10−7 | 3.5627 × 10−7 | 3.4295 × 10−7 | 3.0678 × 10−7 |
| Function | Metric | 1 | 2 | 4 | 6 | 7 |
|---|---|---|---|---|---|---|
| H6 | Mean OS | −3.2675 | −3.296 | −3.298 | −3.294 | −3.312 |
| Variance OS | 3.4 × 10−3 | 4.2 × 10−3 | 4.4 × 10−7 | 4.5 × 10−7 | 4.3 × 10−7 |
| Parameter | Value |
|---|---|
| Wheelset quality m1 and m2 (kg) | 7700 |
| Moment of inertia of wheelset I1 and I2 (kg*m2) | 776 |
| Architecture quality m3 | 3000 |
| Moment of inertia of frame shaking I3 | 2000 |
| Tread slope | 0.05 |
| Wheelset lateral stiffness k5, k6, k7, and k8 (N/m) | 1e6 |
| Wheelset lateral damping c5, c6, c7, and c8 (N*s/m) | 1000 |
| Wheelset longitudinal stiffness k1, k2, k3, and k4 (N/m) | 5e5 |
| Wheelset longitudinal damping c1, c2, c3, and c4 (N*s/m) | 1000 |
| Optimization Result | Initial | MGOSIC | MSEGO | MSMEIC | PSO | GA |
|---|---|---|---|---|---|---|
| r (m) | 0.43 | 0.4589 | 0.4525 | 0.4595 | 0.47 | 0.48 |
| s (m) | 0.6 | 0.5001 | 0.5029 | 0.5 | 0.62 | 0.74 |
| b (m) | 1.34 | 1.3973 | 1.3907 | 1.3997 | 1.28 | 1.36 |
| a (m) | 1.013 | 1.0382 | 1.0399 | 1.0368 | 1.028 | 1.018 |
| V (m/s) | 25.4 | 30.1 | 29.8 | 30.1 | 28.2 | 27.8 |
| Mean NFE | ----- | 100 | 100 | 100 | 1000 | 1000 |
Publisher’s Note: MDPI stays neutral with regard to jurisdictional claims in published maps and institutional affiliations. |
© 2022 by the authors. Licensee MDPI, Basel, Switzerland. This article is an open access article distributed under the terms and conditions of the Creative Commons Attribution (CC BY) license (https://creativecommons.org/licenses/by/4.0/).
Share and Cite
Li, M.; Tang, J.; Meng, X. Multiple Surrogate-Model-Based Optimization Method Using the Multimodal Expected Improvement Criterion for Expensive Problems. Mathematics 2022, 10, 4467. https://doi.org/10.3390/math10234467
Li M, Tang J, Meng X. Multiple Surrogate-Model-Based Optimization Method Using the Multimodal Expected Improvement Criterion for Expensive Problems. Mathematics. 2022; 10(23):4467. https://doi.org/10.3390/math10234467
Chicago/Turabian StyleLi, Mingyang, Jinjun Tang, and Xianwei Meng. 2022. "Multiple Surrogate-Model-Based Optimization Method Using the Multimodal Expected Improvement Criterion for Expensive Problems" Mathematics 10, no. 23: 4467. https://doi.org/10.3390/math10234467
APA StyleLi, M., Tang, J., & Meng, X. (2022). Multiple Surrogate-Model-Based Optimization Method Using the Multimodal Expected Improvement Criterion for Expensive Problems. Mathematics, 10(23), 4467. https://doi.org/10.3390/math10234467
