On the Numerical Solution of 1D and 2D KdV Equations Using Variational Homotopy Perturbation and Finite Difference Methods
Abstract
1. Introduction
2. The Methods
2.1. Variational Homotopy Perturbation Method (VHPM)
2.2. The Standard (Classical) Finite Difference Method
3. Numerical Experiments
- (i)
- (ii)
- We consider the linear non-homogeneous dispersive equation [44]with and the source term , subject to initial conditions , and the boundary conditions are given by and The exact solution is given by We used spatial step size for this experiment.
- (iii)
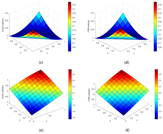
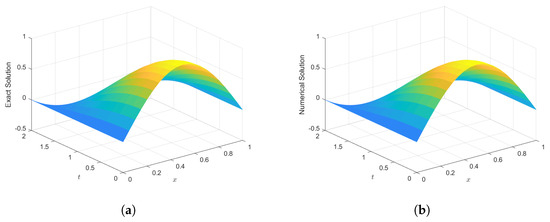
- We solve the 2D homogeneous equation [44]with subject to the initial conditionand the boundary conditions are given byThe exact solution is . We used for this experiment.
- (iv)
- We solve the following 2D non-homogeneous equation [43]with subject to the initial condition ; the boundary conditions are given by. The exact solution is . We used for this experiment.
- (v)
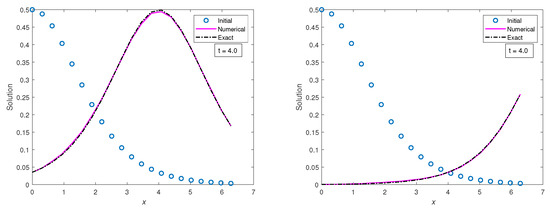
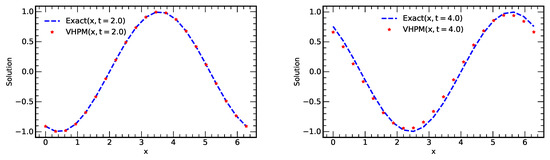
- We solve the dispersive non-linear KdV equationwhere subject to the initial conditionand the boundary conditions are given byThe exact solution is We used spatial step size for this experiment.
4. Numerical Experiment 1
4.1. Solution of Numerical Experiment 1 Using VHPM
4.2. Solution of Numerical Experiment 1 Using Finite Difference Scheme
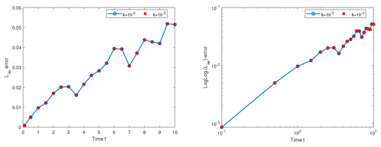
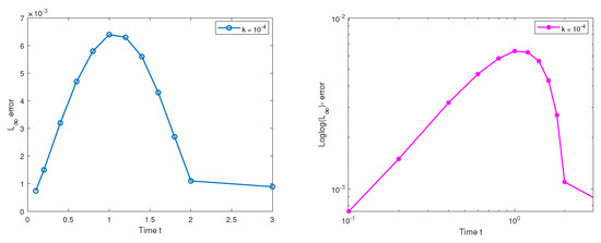
Consistency
5. Numerical Experiment 2
5.1. Solution of Experiment 2 Using VHPM
5.2. Solution of Numerical Experiment 2 Using Finite Difference Scheme
Consistency
6. Numerical Experiment 3
6.1. Solution of Numerical Experiment 3 Using VHPM
6.2. Solution of Numerical Experiment 3 Using Finite Difference Scheme
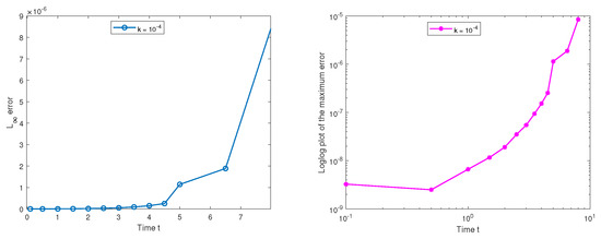
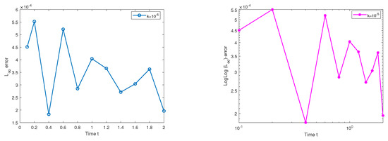
Consistency
7. Numerical Experiment 4
7.1. Solution of Numerical Experiment 4 Using VHPM
7.2. Solution of Numerical Experiment 4 Using Finite Difference Scheme
8. Numerical Experiment 5
8.1. Solution of Numerical Experiment 5 Using VHPM
8.2. Solution of Numerical Experiment 5 Using Finite Difference Scheme
Consistency of the Numerical Scheme in Equation (42)
9. Conclusions
- (i)
- case 1: 1D linear homogeneous,
- (ii)
- case 2: 1D linear non-homogeneous,
- (iii)
- case 3: 2D linear homogeneous,
- (iv)
- case 4: 2D linear non-homogeneous.
- (v)
- case 5: 1D non-linear homogeneous.
Author Contributions
Funding
Data Availability Statement
Acknowledgments
Conflicts of Interest
References
- Palencia, J.L.D. Travelling waves and instability in a Fisher-KPP problem with a nonlinear advection and a high-order diffusion. Eur. Phys. J. 2021, 136, 774. [Google Scholar] [CrossRef]
- Palencia, J.L.D. Travelling waves approach in a parabolic coupled system for modelling the behaviour of substances in a fuel tank. Appl. Sci. 2021, 11, 5846. [Google Scholar] [CrossRef]
- Palencia, J.L.D.; Ur Rahman, S.; Naranjo, A. Analysis of travelling wave solutions for Eyring-Powell fluid formulated with a degenerate diffusivity and a Darcy-Forchheimer law. AIMS Math. 2022, 7, 6898–6914. [Google Scholar] [CrossRef]
- Ablowitz, M.J.; Clarkson, P.A. Solitons, Nonlinear Evolution Equations and Inverse Scattering; Cambridge University Press: Cambridge, UK, 1999; Volume 149. [Google Scholar]
- Constantin, A.; Escher, J. Wave breaking for nonlinear nonlocal shallow water equations. Acta Math. 1998, 181, 229–243. [Google Scholar] [CrossRef]
- Korteweg, D.J.; de Vries, G. On the change of form of long waves advancing in a rectangular canal, and on a new type of long stationary waves. Philos. Mag. 1895, 39, 422–443. [Google Scholar] [CrossRef]
- Kenig, C.E.; Ponce, G.; Vega, L. A bilinear estimate with applications to the KdV equation. J. Am. Math. Soc. 1996, 9, 573–603. [Google Scholar] [CrossRef]
- Bhrawy, A.H.; Doha, E.H.; Ezz-Eldien, S.S. A numerical technique based on the shifted Legendre polynomials for solving the time-fractional coupled KdV equations. Calcolo 2016, 53, 1–17. [Google Scholar] [CrossRef]
- Zabusky, N.J.; Kruskal, M.D. Interaction of “solitons” in a collisionless plasma and the recurrence of initial states. Phys. Rev. Lett. 1965, 15, 240. [Google Scholar] [CrossRef]
- Guo, M.; Fu, C.; Zhang, Y. Study of ion-acoustic solitary waves in a magnetized plasma using the three-dimensional time-space fractional schamel-KdV equation. Complexity 2018, 2018, 6852548. [Google Scholar] [CrossRef]
- Lidsey, J.E. Cosmology and the Korteweg-de Vries equation. Phys. Rev. D 2012, 86, 123523. [Google Scholar] [CrossRef]
- Lakshmanan, M. Solitons, Tsunamis and Oceanographical Applications of. In Encylopedia of Complexity and Dynamical Systems; Meyers, R., Ed.; Springer: New York, NY, USA, 2009; pp. 8506–8521. [Google Scholar] [CrossRef]
- Pelloni, B.; Dougalis, V.A. Numerical solution of some nonlocal, nonlinear dispersive wave equations. J. Nonlinear Sci. 2000, 10, 1–22. [Google Scholar] [CrossRef]
- Sewell, G. Analysis of a Finite Element Method; Springer Science & Business Media: Berlin/Heidelberg, Germany, 2012. [Google Scholar]
- Huntul, M.J.; Tamsir, M.; Ahmadini, A.A.H.; Thottoli, S.R. A novel collocation technique for parabolic partial differential equations. Ain Shams Eng. J. 2022, 13, 101497. [Google Scholar] [CrossRef]
- Gelu, F.W.; Duressa, G.F. A uniformly convergent collocation method for singularly perturbed delay parabolic reaction-diffusion problem. Abstr. Appl. Anal. 2021, 2021, 11. [Google Scholar] [CrossRef]
- Luo, W.H.; Huang, T.Z.; Gu, X.M.; Liu, Y. Barycentric rational collocation methods for a class of nonlinear parabolic partial differential equations. Appl. Math. Lett. 2017, 68, 13–19. [Google Scholar] [CrossRef]
- Samuel, F.M.; Motsa, S.S. A highly accurate trivariate spectral collocation method of solution for two-dimensional nonlinear initial-boundary value problems. Appl. Math. Comput. 2019, 360, 221–235. [Google Scholar] [CrossRef]
- Adomian, G. Solving Frontier Problems of Physics: The Decomposition Method; Kluwer Academic Publishers: Amsterdam, The Netherlands, 1994. [Google Scholar]
- Adomian, G. A review of decomposition method and some recent results for nonlinear equation. Math. Comput. Model. 1992, 13, 17–43. [Google Scholar] [CrossRef]
- Abassy, T.A.; El-Tawil, M.A.; Saleh, H.K. The solution of KdV and mKdV equations using Adomian Padé approximation. Int. J. Nonl. Sci. Num. Simul. 2004, 5, 327–339. [Google Scholar] [CrossRef]
- He, J.H. Variational iteration method—A kind of non-linear analytical technique: Some examples. Int. J. Non-Linear Mech. 1999, 34, 699–708. [Google Scholar] [CrossRef]
- Wazwaz, A.M. A study on linear and nonlinear Schrödinger equations by the variational iteration method. Chaos Solit. 2008, 37, 1136–1142. [Google Scholar] [CrossRef]
- He, J.H. Homotopy perturbation technique. Comput. Methods Appl. Mech. Eng. 1999, 178, 257–262. [Google Scholar] [CrossRef]
- He, J.H. Homotopy perturbation method: A new non-linear analytical technique. Appl. Math. Comput. 2003, 135, 73–79. [Google Scholar] [CrossRef]
- Inokuti, M.; Sekine, H.; Mura, T. General use of the Lagrange multiplier in nonlinear mathematical physics. In Variational Method in the Mechanics of Solids; Nemat-Naseer, S., Ed.; Pergamon Press: New York, NY, USA, 1978; pp. 156–162. [Google Scholar]
- Wazwaz, A.M. A comparison between the variational iteration method and Adomian decomposition method. J. Comput. Appl. Math. 2007, 207, 129–136. [Google Scholar] [CrossRef]
- Dehghan, Z.M.; Shakeri, F. Use of He’s Homotopy perturbation method for solving a partial differential equation arising in modeling of flow in porous media. J. Porous Media 2008, 11, 765–778. [Google Scholar] [CrossRef]
- Karunakar, P.; Chakraverty, S. Differential quadrature method for solving fifth-order KdV equations. In Recent Trends in Wave Mechanics and Vibrations; Springer: Singapore, 2020; pp. 361–369. [Google Scholar] [CrossRef]
- Ahmad, H.; Khan, T.A.; Stanimirovic, P.S.; Ahmad, I. Modified variational iteration technique for the numerical solution of fifth order KdV-type equations. J. Appl. Comput. Mech. 2020, 6, 1220–1227. [Google Scholar] [CrossRef]
- Zahra, W.K.; Ouf, W.A.; El-Azab, M.S. B-spline soliton solution of the fifth order KdV type equations. AIP Conf. Proc. 2013, 1558, 568–572. [Google Scholar] [CrossRef]
- Wazwaz, A.M. The variational iteration method for rational solutions for KdV, K(2,2), Burgers, and cubic Boussinesq equations. J. Comput. Appl. Math. 2007, 207, 18–23. [Google Scholar] [CrossRef]
- Park, C.; Nuruddeen, R.I.; Ali, K.K.; Muhammad, L.; Osman, M.S.; Baleanu, D. Novel hyperbolic and exponential ansatz methods to the fractional fifth-order Korteweg–de Vries equations. Adv. Differ. Equ. 2020, 1, 627. [Google Scholar] [CrossRef]
- Aderogba, A.A.; Appadu, A.R. Classical and Multisymplectic Schemes for Linearized KdV Equation: Numerical Results and Dispersion Analysis. Fluids 2021, 6, 214. [Google Scholar] [CrossRef]
- Appadu, A.R.; Kelil, A.S. On Semi-Analytical Solutions for Linearized Dispersive KdV equation. Mathematics 2020, 8, 1769. [Google Scholar] [CrossRef]
- Appadu, A.R.; Kelil, A.S. Comparison of modified ADM and classical finite difference method for some third-order and fifth-order KdV equations. Demonstr. Math. 2021, 54, 377–409. [Google Scholar] [CrossRef]
- Kelil, A.S.; Appadu, A.R. Shehu-Adomian decomposition method for dispersive KdV-type equations. In Mathematical Analysis and Applications; Springer: Singapore, 2021; pp. 103–129. [Google Scholar] [CrossRef]
- Appadu, A.R.; Kelil, A.S. Solution of 3D linearized KdV equation using reduced differential transform method. AIP Conf. Proc. 2022, 2425, 020016. [Google Scholar] [CrossRef]
- Matinfar, M.; Mahdavi, M.; Raeisi, Z. The variational homotopy perturbation method for analytic treatment for linear and nonlinear ordinary differential equations. J. Appl. Math. Inform. 2010, 28, 845–862. [Google Scholar]
- He, J.H.; Wu, X.H. Construction of solitary solution and compacton-like solution by variational iteration method. Chaos Solit. 2006, 29, 108–113. [Google Scholar] [CrossRef]
- Matinfar, M.; Mahdavi, M.; Raeisy, Z. The implementation of variational homotopy perturbation method for Fisher’s equation. Int. J. Nonlinear Sci. 2010, 9, 188–194. [Google Scholar]
- Fernández, F.M. On the variational homotopy perturbation method for nonlinear oscillators. J. Math. Phys. 2012, 53, 024101. [Google Scholar] [CrossRef]
- Wazwaz, A.M. Partial Differential Equations and Solitary Waves Theory; Higher Education: Beijing, China; Springer: Berlin/Heidelberg, Germany, 2009. [Google Scholar]
- Wazwaz, A.M. An analytic study on the third-order dispersive partial differential equations. Appl. Math. Comput. 2003, 142, 511–520. [Google Scholar] [CrossRef]
- Wazwaz, A.M. Necessary conditions for the appearance of noise terms in decomposition solution series. J. Math. Anal. Appl. 1997, 5, 265–274. [Google Scholar] [CrossRef]
- Wazwaz, A.M. Partial Differential Equations: Methods and Applications; Balkema Publishers: Lisse, The Netherlands, 2002. [Google Scholar]
- Goswami, V.; Singh, J.; Kumar, D. Numerical simulation of fifth order KdV equation occurring in magneto-acoustic waves. AIN Shams Eng. J. 2018, 9, 2265–2273. [Google Scholar] [CrossRef]
- Mohyud-Din, S.T.; Yildirim, A.; Sezer, S.A.; Usman, M. Modified variational iteration method for free-convective boundary-layer equation using Padé approximation. Math. Prob. Eng. 2010, 2010, 318298. [Google Scholar] [CrossRef]
- Adomian, G.; Rach, R. Noise terms in decomposition solution series. Comp. Math. Appl. 1992, 24, 61–64. [Google Scholar] [CrossRef]
- Taha, T.R.; Ablowitz, M.I. Analytical and numerical aspects of certain nonlinear evolution equations III, Numerical, Korteweg-de Vries equation. J. Comput. Phys. 1984, 55, 231–253. [Google Scholar] [CrossRef]
- Appadu, A.R.; Chapwanya, M.; Jejeniwa, O.A. Some optimised schemes for 1D Korteweg-de-Vries equation. Prog. Comput. Fluid Dyn. 2017, 17, 250–266. [Google Scholar] [CrossRef]





























| t | x | Exact Solution | Numerical (FDM) Solution | Absolute Error | Relative Error |
|---|---|---|---|---|---|
| 0.00 | 0.000000 | 0.000000 | 0.000000 | —- | |
| 0.05 | 0.155653 | 0.155653 | 0.0000000 | 0.000000 | |
| 0.10 | 0.307473 | 0.307109 | 3.644020 | 1.434768 | |
| 0.15 | 0.451722 | 0.451502 | 2.209258 | 3.513621 | |
| 0.20 | 0.584849 | 0.584398 | 4.510973 | 6.214351 | |
| 0.25 | 0.703574 | 0.703362 | 2.119868 | 1.180486 | |
| 0.30 | 0.804975 | 0.804631 | 3.446030 | 4.394541 | |
| 0.35 | 0.886555 | 0.886501 | 5.388093 | 4.614600 | |
| 0.40 | 0.946305 | 0.946163 | 1.424468 | 2.362730 | |
| 0.45 | 0.982754 | 0.98290 | 1.486446 | 5.587316 | |
| 0.10 | 0.50 | 0.995004 | 0.995063 | 5.837165 | 2.152711 |
| 0.55 | 0.982754 | 0.98306 | 3.067277 | 4.054379 | |
| 0.60 | 0.946305 | 0.946478 | 1.731246 | 5.305065 | |
| 0.65 | 0.886555 | 0.886901 | 3.466181 | 8.155528 | |
| 0.70 | 0.804975 | 0.805127 | 1.512676 | 4.798332 | |
| 0.75 | 0.703574 | 0.703823 | 2.488465 | 3.046279 | |
| 0.80 | 0.584849 | 0.584854 | 5.435241 | 9.697751 | |
| 0.85 | 0.451722 | 0.451787 | 6.425356 | 5.839323 | |
| 0.90 | 0.307473 | 0.307322 | 1.516304 | 1.517804 | |
| 0.95 | 0.155653 | 0.155653 | 0.0000000 | 0.00000000 | |
| 1.0 | 1.218529 | 1.218529 | 0.000000 | 0.0000000 | |
| 0.00 | 0.000000 | 0.000000 | 0.000000 | — | |
| 0.05 | 8.452190 | 8.452190 | 0.000000 | 0.000000 | |
| 0.10 | 1.669626 | 1.666859 | 2.766808 | 1.657142 | |
| 0.15 | 2.452921 | 2.450695 | 2.226391 | 9.076487 | |
| 0.20 | 3.175817 | 3.171776 | 4.041147 | 1.272475 | |
| 0.25 | 3.820514 | 3.817850 | 2.664477 | 6.974131 | |
| 0.30 | 4.371137 | 4.367783 | 3.354752 | 7.674781 | |
| 0.35 | 4.814129 | 4.812927 | 1.202064 | 2.496951 | |
| 0.40 | 5.138580 | 5.137448 | 1.132063 | 2.203066 | |
| 0.45 | 5.336503 | 5.337604 | 1.101442 | 2.063978 | |
| 1.0 | 0.50 | 5.403023 | 5.403990 | 9.664654 | 1.788749 |
| 0.55 | 5.336503 | 5.339099 | 2.597111 | 4.866691 | |
| 0.60 | 5.138580 | 5.140498 | 1.917252 | 3.731092 | |
| 0.65 | 4.814129 | 4.817033 | 2.903852 | 6.031938 | |
| 0.70 | 4.371137 | 4.372791 | 1.653917 | 3.783723 | |
| 0.75 | 3.820514 | 3.822549 | 2.035211 | 5.327060 | |
| 0.80 | 3.175817 | 3.176247 | 4.299915 | 1.353955 | |
| 0.85 | 2.452921 | 2.453477 | 5.561969 | 2.267488 | |
| 0.90 | 1.669626 | 1.668844 | 7.823184 | 4.685591 | |
| 0.95 | 8.452190 | 8.452190 | 0.000000 | 0.000000 | |
| 1.0 | 6.616795 | 6.616795 | 0.000000 | 0.000000 | |
| 0.00 | 0.000000 | 0.000000 | 0.000000 | — | |
| 0.05 | −6.509971 | −6.509971 | 0.000000 | 0.000000 | |
| 0.10 | −1.285964 | −1.287342 | 1.377844 | 1.071448 | |
| 0.15 | −1.889267 | −1.889825 | 5.578956 | 2.952974 | |
| 0.20 | −2.446050 | −2.447289 | 1.2393035 | 5.066551 | |
| 0.25 | −2.942603 | −2.942303 | 2.990097 | 1.01614 | |
| 0.30 | −3.366699 | −3.366621 | 7.762543 | 2.305684 | |
| 0.35 | −3.707895 | −3.706230 | 1.665078 | 4.490629 | |
| 0.40 | −3.957792 | −3.956736 | 1.055953 | 2.668036 | |
| 0.45 | −4.110234 | −4.108272 | 1.961779 | 4.772914 | |
| 2.0 | 0.50 | −4.161468 | −4.160785 | 6.834419 | 1.642310 |
| 0.55 | −4.110234 | −4.109187 | 1.046469 | 2.546009 | |
| 0.60 | −3.957792 | −3.958259 | 4.670829 | 1.180160 | |
| 0.65 | −3.707895 | −3.708076 | 1.804617 | 4.866957 | |
| 0.70 | −3.366699 | −3.368163 | 1.464149 | 4.348916 | |
| 0.75 | −2.942603 | −2.943478 | 8.754363 | 2.975041 | |
| 0.80 | −2.446050 | −2.447732 | 1.681892 | 6.875951 | |
| 0.85 | −1.889267 | −1.890046 | 7.784946 | 4.120617 | |
| 0.90 | −1.285964 | −1.287197 | 1.232140 | 9.581445 | |
| 0.95 | −6.509971 | −6.509971 | 0.000000 | 0.000000 | |
| 1.0 | −5.096329 | −5.096329 | 0.000000 | 0.000000 |
| t | x | y | Exact Solution | VHPM Solution | Absolute Error | Relative Error |
|---|---|---|---|---|---|---|
| 2.0 | ||||||
| t | x | y | Exact Solution | FDM Solution | Absolute Error | Relative Error |
|---|---|---|---|---|---|---|
| t | x | y | Exact Solution | FDM Solution | Absolute Error | Relative Error |
|---|---|---|---|---|---|---|
| x | t | Exact Solution | VHPM Solution | Absolute Error | Relative Error |
|---|---|---|---|---|---|
| 0.01 | 0.4317811 | 0.4317811 | 1.899052 | 4.398183 | |
| 0.5 | 0.4899551 | 0.4885655 | 1.389585 | 2.836147 | |
| 1.0 | 0.4942872 | 0.4689259 | 2.536130 | 5.130883 | |
| 2.0 | 0.3529964 | −0.1116201 | 4.646165 | 1.316208 | |
| 0.01 | 0.2868378 | 0.2868378 | 1.730594 | 6.033353 | |
| 0.5 | 0.3801965 | 0.3791079 | 1.088588 | 2.863224 | |
| 1.0 | 0.4613875 | 0.4431495 | 1.823802 | 3.952863 | |
| 2.0 | 0.4776620 | 0.1283443 | 3.493177 | 7.313072 | |
| 0.01 | 0.0801472 | 0.0801472 | 4.832666 | 6.029739 | |
| 0.5 | 0.1241713 | 0.1244916 | 3.203225 | 2.579683 | |
| 1.0 | 0.1881387 | 0.1936758 | 5.537052 | 2.943068 | |
| 2.0 | 0.3669010 | 0.4740549 | 1.071540 | 2.920515 | |
| 0.01 | 0.0178223 | 0.0178223 | 4.102757 | 2.302041 | |
| 0.5 | 0.0287635 | 0.0287870 | 2.345761 | 8.155326 | |
| 1.0 | 0.0465377 | 0.0468804 | 3.427113 | 7.364171 | |
| 2.0 | 0.1167433 | 0.1217444 | 5.001064 | 4.283812 | |
| 0.01 | 0.0082059 | 0.0082059 | 9.294671 | 1.132676 | |
| 0.5 | 0.0133252 | 0.0133293 | 4.150761 | 3.114977 | |
| 1.0 | 0.0217795 | 0.0218161 | 3.658641 | 1.679852 | |
| 2.0 | 0.0570247 | 0.0565798 | 4.449361 | 7.802514 | |
| 0.01 | 0.0037582 | 0.0037582 | 1.995532 | 5.309766 | |
| 0.5 | 0.0061200 | 0.0061204 | 3.401180 | 5.557447 | |
| 1.0 | 0.0100502 | 0.0100385 | 1.164189 | 1.158376 | |
| 2.0 | 0.0268511 | 0.0259934 | 8.577236 | 3.194365 |
Publisher’s Note: MDPI stays neutral with regard to jurisdictional claims in published maps and institutional affiliations. |
© 2022 by the authors. Licensee MDPI, Basel, Switzerland. This article is an open access article distributed under the terms and conditions of the Creative Commons Attribution (CC BY) license (https://creativecommons.org/licenses/by/4.0/).
Share and Cite
Kelil, A.S.; Appadu, A.R. On the Numerical Solution of 1D and 2D KdV Equations Using Variational Homotopy Perturbation and Finite Difference Methods. Mathematics 2022, 10, 4443. https://doi.org/10.3390/math10234443
Kelil AS, Appadu AR. On the Numerical Solution of 1D and 2D KdV Equations Using Variational Homotopy Perturbation and Finite Difference Methods. Mathematics. 2022; 10(23):4443. https://doi.org/10.3390/math10234443
Chicago/Turabian StyleKelil, Abey Sherif, and Appanah Rao Appadu. 2022. "On the Numerical Solution of 1D and 2D KdV Equations Using Variational Homotopy Perturbation and Finite Difference Methods" Mathematics 10, no. 23: 4443. https://doi.org/10.3390/math10234443
APA StyleKelil, A. S., & Appadu, A. R. (2022). On the Numerical Solution of 1D and 2D KdV Equations Using Variational Homotopy Perturbation and Finite Difference Methods. Mathematics, 10(23), 4443. https://doi.org/10.3390/math10234443

