Abstract
This paper studies the robust stabilization of impulsive Boolean control networks (IBCNs) with function perturbation. A Boolean control network (BCN) with a state-dependent impulsive sequence is converted to an equivalent BCN by the semi-tensor product method. Based on the equivalence of stabilization between the IBCN and the corresponding BCN, several criteria are proposed for the robust stabilization of IBCNs. Furthermore, when the IBCN is not robustly stabilizable after the function perturbation, an algorithm is presented to modify the control or the impulse-triggered set. Finally, an example is given to verify the obtained results.
Keywords:
impulsive Boolean control networks; robust stabilization; function perturbation; semi-tensor product of matrices MSC:
93D09
1. Introduction
With the flourishing development of system biology, the investigation of gene regulatory networks has attracted considerable attention [1]. As a convenient and potential mathematical model, the Boolean network was proposed by Kauffman in 1969 [2], which is a qualitative description of gene regulatory networks. In a Boolean network, the gene expression is modelled as a Boolean variable, that is, 1 (active) or 0 (inactive). When the external binary inputs and outputs are considered, the Boolean network is naturally extended to the Boolean control network (BCN) [3]. Recently, the study of Boolean networks and BCNs has been promoted by an effective tool named the semi-tensor product of matrices [4]. A lot of interesting results have been derived, such as synchronization [5], observability [6,7], stabilization [8,9] and so on [10]. In addition, the semi-tensor product method is extensively used in game theory [11], fuzzy control [12], shift register [13] and so on.
Actually, for many biological networks, including Boolean networks and BCNs, it is common to experience abrupt changes at some instants in its evolutionary process. This is often caused by sudden changes in the interconnections of subsystems or the external environment. Therefore, characterizing this phenomenon mathematically is indispensable. One advisable method is to regard the changes as impulsive effects [14,15]. BCN with impulsive effects was introduced by Li and Sun [16]. The set controllability of IBCNs was investigated in [17]. Furthermore, Tong et al. [18] discussed the stabilization of impulsive Boolean networks with stochastic disturbances. Besides the time-triggered impulses, the impulses can also be triggered by the state. The stability of the state-triggered random impulsive Boolean networks was studied in [19]. For other results of IBCNs, see [20,21].
Another common phenomenon in the study of Boolean networks and BCNs is the gene mutation, which can be depicted by the function perturbation [22]. Recently, many outstanding results have been presented for Boolean networks with function perturbation [23,24,25]. Among these results, robust stability and stabilization are of particular importance. Wu et al. [26] studied the robust stability of switched Boolean networks with function perturbation. Ren et al. [27] addressed the robust stability in the distribution of Boolean networks under the multi-bits stochastic function perturbations.
As a fundamental issue, the stabilization of IBCNs has attracted a lot of attention. Hu et al. [28] investigated the stabilization problem for BCNs with stochastic impulses. Lin et al. [29] proposed a necessary and sufficient condition to determine the event-triggered set stabilization of IBCNs. A criterion for the stabilization of IBCNs in the hybrid domain was presented in [30]. The robust set stabilization of IBCNs was fixed in [31]. It can be seen that the study of robust stabilization of IBCNs is still lacking. When both impulse and mutation occur in the gene regulatory networks, it is meaningful to study the influence of function perturbation on the stabilization of IBCNs.
In the paper, we investigate the robust stabilization of IBCNs with function perturbation, where the impulsive sequence is dependent on the states and the function perturbation occurs at a non-impulsive instant. Furthermore, the function perturbation considered in the paper is one-bit, that is, only a truth value of a certain logical function in the update flips. Since the objective of this paper is to investigate the robustness of a given state feedback stabilizer before and after the function perturbation, we assume that the considered system is stabilizable to the fixed point before the function perturbation occurs. We propose criteria for the robust stabilization of the IBCN under a given impulse-triggered set. Furthermore, we present an algorithm to modify the control or the impulse-triggered set when the IBCN is not robustly stabilizable to a fixed point. The novelty of this paper is below:
- (i)
- Fewer results are available on the robust stabilization of IBCNs subject to function perturbation. When the impulse is not considered, the impact of function perturbation on the robust stabilization of BCNs was addressed in [25,26]. Compared with them, the introduction of an impulse not only affects the upper bound of convergence time but also leaves room for modification to achieve the robust stabilization of IBCNs.
- (ii)
- Compared with the studies for the stabilization of IBCNs [28,29], the introduction of function perturbation not only characterizes the gene mutation better but also predicts the impact of gene mutations on the stabilization.
- (iii)
- Furthermore, compared with [31] which presented a necessary and sufficient condition for the robust stabilization of IBCNs with the disturbance inputs, we can modify the control or the impulse-triggered set to achieve the robust stabilization of IBCNs in this paper.
The rest of this paper is organized as follows. Section 2 gives some preliminaries for the conversion from IBCNs to BCNs under a given impulse-triggered set and reviews the concept of function perturbation. Section 3 investigates the robust stabilization of IBCNs with function perturbation based on the equivalent BCN. Section 4 illustrates the obtained results with an example. The conclusion is presented in Section 5.
2. Preliminaries
The notations of this paper are listed below. represents the set . Denote the s-th column of identity matrix by . Then . Furthermore, the logical matrix is denoted by . The set of logical matrices is represented by . Denote , which satisfies , . For any two matrices and , the semi-tensor product of C and E is defined as , where is the least common multiple of q and m.
Denote two different forms of the same object by “∼”. Then we identify and . Correspondingly, . Furthermore, we call and the vector form of logical variables 1 and 0, respectively.
Lemma 1
([4]). Denote a logical function by . There exists a unique matrix satisfying
Here, F is named the structure matrix of f.
Given an impulse-triggered set . Consider the following IBCN with n states and m control inputs:
where and are states and control inputs, respectively. and , are logical functions. is determined by the sequence of impulsive instant .
Definition 1.
Given an impulse-triggered set . is said to be a fixed point of system (1), if for , , there exists a control such that
Note that . If , , then system (1) will update through the second equation in (1) after . Thus, we do not discuss the case that the fixed point belongs to the given impulse-triggered set.
Definition 2.
Under the given impulse-triggered set and the control sequence , system (1) is said to be stabilizable to , if there exists a positive integer T such that
holds for any initial state and any integer .
The type of control used in this paper is the state feedback control, which is expressed as
where , are logical functions.
Let and . With the help of Lemma 1, the algebraic state space representation of IBCN (1) is derived as
where and . Correspondingly, becomes . and the sequence of impulsive instant is changed to
In a similar manner, the algebraic form of the state feedback control (4) is obtained as
where .
In this paper, we discuss the one-bit function perturbation for system (1), occurring at a non-impulsive instant, that is, only a truth value of some function , flips. Denote the function after the perturbation by , , which represents that the j-th row in the truth table of flips [22]. Moreover, the multi-bits function perturbation for system (1) means that several truth values of flip [27]. The investigation of one-bit function perturbation is basic and can be used to investigate the multi-bits function perturbation for the system (1).
We aim to investigate the influence of one-bit function perturbation on the stabilization of the system (1) and explore the criteria for the robust stabilization of the system (1). If the system (1) is not robustly stabilizable, we want to modify K or P such that system (1) is stabilizable after the function perturbation.
3. Main Results
At first, we convert system (5) to a BCN under the given impulse-triggered set . Denote , where , . Let . We construct a new state feedback control expressed as
where .
Denote the state feedback gain matrix in (7) by . If , then , . If , then . Thereby, system (5) is converted to the BCN below:
where relies on P and K.
The state feedback stabilization of BCNs was studied in [32]. Namely, system (9) is said to be stabilizable to , if there exists a positive integer such that
holds for any initial state under the given state feedback control , . The equivalence between system (5) and system (9) is shown in the proposition below.
Proposition 1.
Next, we investigate the robust stabilization of the system (5) with function perturbation based on Proposition 1. Some necessary assumptions are given on the function perturbation below.
Assumption 1.
After the function perturbation, the s-th column of is changed from to some , where and is chosen from .
Obviously, Assumption 1 guarantees that the one-bit function perturbation occurs at a non-impulsive instant. In this context, the function perturbation is always fixed by Assumption 1. Because the objective of this paper is to investigate the robustness of a given state feedback stabilizer for system (5) before and after the function perturbation, we give the assumption below.
Assumption 2.
Definition 3.
Analogously, we define robust stabilization for system (9) as follows.
Definition 4.
Using (8) and (9), we obtain a closed-loop system:
For convenience, let and then . The state transition matrix of a closed-loop system (11) is further expressed as
Suppose that is changed to after the function perturbation. Denote . Then L is correspondingly changed to
From Assumption 1, if , then
and , . Otherwise, . It is easy to see that under the control (8), the stabilization of system (9) is not affected by the function perturbation when . As shown in [25], system (9) is robustly stabilizable to under the given state feedback control , if .
Theorem 1.
Proof of Theorem 1.
Under P and the state feedback control (7), we construct the corresponding system (9) with the control (8). System (9) is robustly stabilizable to when . Combined with the construction of control (8) and Assumption A1, for system (9) implies the following two cases for system (5):
- (i)
- .
- (ii)
- and .
Then according to Proposition 1, system (5) is robustly stabilizable to if one of the above two conditions holds. □
Remark 1.
Compared with this [25], the upper bound of convergence time for the robust stabilization of IBCNs may be greater than . Therefore, the introduction of impulse brings a fundamental difference in the robust stabilization with respect to the function perturbation.
Now, we discuss the case that and , i.e., holds for system (9). In this case, we preferentially consider system (9). Denote the minimum positive integer satisfying (10) by . Construct the r-step reachable set with respect to below:
One can easily find that , , where . Moreover, . For convenience, the following assumption gives the sets to which and belong.
Assumption 3.
For system (9), and , where and .
Remark 2.
Similar to (14), we construct the -step reachable set with respect to below:
Let . There is no intersection between and , , where .
As shown in [25], system (9) is robustly stabilizable to under the given state feedback control , if and . The case that for system (9) is equivalent to that and for system (5). Then we obtain the result as follows, which is a sufficient condition for the robust stabilization of system (5) subject to the function perturbation.
Theorem 2.
Note that for system (9), if and , the function perturbation shortens the convergence time from to . The remaining issue is to verify the case and , which may prolong the convergence time from to .
If and , it is shown in [25] that system (9) is robustly stabilizable to under the given state feedback control if and only if .
Theorem 3.
Proof of Theorem 3.
When the condition mentioned in Theorem 3 does not hold, there exists a cycle (maybe a new fixed point) produced by the function perturbation. Without losing generality, we denote the cycle as
where the length of is and the integer . Furthermore, there exists a cycle if and only if . In this case, we consider modifying K or P to achieve the robust stabilization of system (5).
For system (9), from (16), if there exist an integer and a state feedback control , such that
where , change to satisfying
Next, we consider system (5) based on Proposition 1. If the value of mentioned in (18) is , let . If , change K to which satisfies
Moreover, if and , let . However, we may not find an integer and a state feedback control , such that (17) holds for system (9). Then from Theorem 1, let and .
If system (5) is stabilizable to under and after the function perturbation, K or P is said to be modified. In what follows, we integrate the above procedures into an algorithm, which is shown in Algorithm 1. Through Algorithm 1, we can modify K or P. In addition, we analyze the complexity of the algorithm. The computational cost of calculating is . Since , the computational cost of calculating is . The computational complexity of checking (17) is . Then the computational complexity of Algorithm 1 is .
| Algorithm 1: Algorithm to modify K or P to achieve the robust stabilization of system (5) |
|
Remark 3.
Compared with [25], both K and P can be modified, which leaves more room to achieve the robust stabilization of system (5).
4. Illustrative Examples
Example 1.
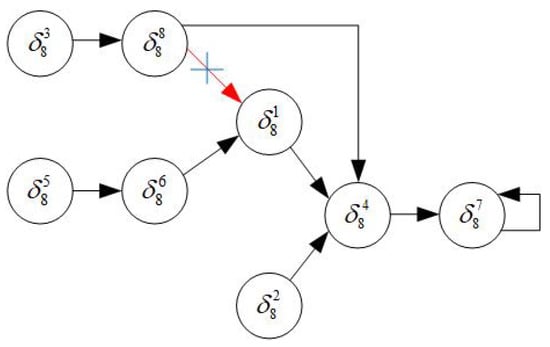
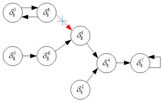
Consider the IBCN, which is depicted as
where , , and . Furthermore, given an impulse-triggered set and a state feedback control
The sequence of impulsive instant is denoted by . Let .
From Definition 1, is a fixed point of system (20). Let . In order to convert system (20) to system (9), we construct a state feedback control in the form of (8). Corresponding to (21), we have
One can easily prove that system (9) is stabilizable to under the control (22). Then according to Proposition 1, system (20) is stabilizable to under the control (21).
Furthermore, for system (9), under the state feedback control (22), we obtain a closed-loop system as
where . After a simple calculation, we derive the following r-step reachable set with respect to , :
Then we consider the robust stabilization of system (20) subject to the following four kinds of function perturbation under the given set P and control (21):
- (i)
- (ii)
- (iii)
- (iv)
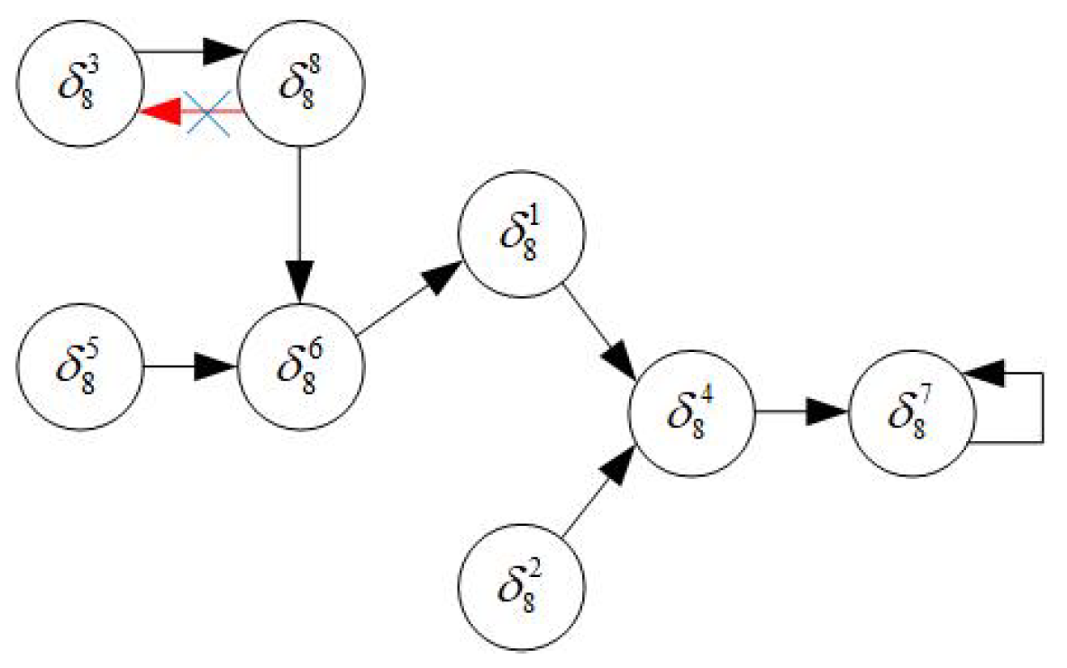
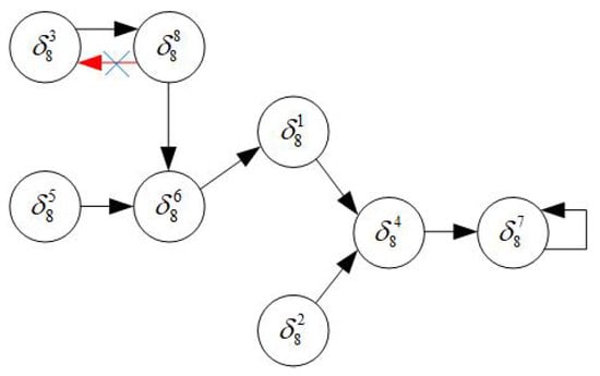
For case (iv), we modify K to make system (20) stabilizable to after the function perturbation. Since the eighth column of is changed from to , we derive a cycle . Then one can find a control such that
Thus, we change the state feedback control (21) to
under which system (20) is stabilizable to after the function perturbation (see Figure 3).
Example 2.
Consider the following reduced BCN model for the λ switch [33]:
where , , , , and represent the phage genes N, oI, cII, cIII, and cro, respectively. u represents the inputs. When the environmental conditions are favourable (not favourable), the value of u is 1 (0). Considering the impulsive phenomenon in the processes of gene expression of the bacterium, the impulsive Boolean network is described as [34]
Let . Based on Lemma 1, we obtain the algebraic state space representation of this IBCN below:
where ,
and
Given an impulse-triggered set , and a state feedback control
The sequence of impulsive instant is denoted by . Let .
From Definition 1, is a fixed point of system (27). Let . We construct a state feedback control in the form of (8). Corresponding to (28), we have
According to Proposition 1, system (27) is stabilizable to under the control (28).
Furthermore, for system (9), under the state feedback control (29), we obtain a closed-loop system as
where
After a simple calculation, we derive the following r-step reachable sets with respect to , :
Then we consider the robust stabilization of system (27) subject to the following two kinds of function perturbation under the given set P and control (28):
- (i)
- (ii)
5. Conclusions
Considering the living phenomena, when both impulse and mutation occur in the gene regulatory networks, it is significant to study the impact of function perturbation on the stabilization of IBCNs. In this paper, we have investigated the robust stabilization of IBCNs with function perturbation. We have given some necessary convertions, under which we have presented several criteria for the robust stabilization of IBCNs. When the considered IBCN is not robustly stabilizable after the function perturbation, we have proposed an algorithm to modify the control or the impulse-triggered set, which leaves more room to achieve the robust stabilization of IBCNs.
Compared with [25,26,28,29,31], our results can not only predict the impact of gene mutations on the stabilization but also modify the control or the impulse-triggered set to achieve the robust stabilization.
Our results are applicable to IBCNs with a small number of nodes. With the help of MATLAB toolbox (Please refer to “STP Toolbox” in “http://lsc.amss.ac.cn/~dcheng/”), these matrix-based conditions of checking the robust stabilization of IBCNs and modifying the control or the impulse-triggered set are easily operated. Future work may devote to reducing the computational complexity. Moreover, we will further discuss the robust stabilization of IBCNs with function perturbation occurring at an impulsive instant in the future work.
Author Contributions
Investigation, writing-original draft preparation, Q.S.; methodology, writing-review and editing, supervision, project administration, H.L. All authors have read and agreed to the published version of the manuscript.
Funding
The work was supported by the National Natural Science Foundation of China under grant 62073202, and the Young Experts of Taishan Scholar Project under grant tsqn201909076.
Institutional Review Board Statement
Not applicable.
Informed Consent Statement
Not applicable.
Data Availability Statement
Not applicable.
Conflicts of Interest
The authors declare no conflict of interest.
References
- Carancini, G.; Carletti, M.; Spaletta, G. Modeling and simulation of a miRNA regulatory network of the PTEN gene. Mathematics 2021, 9, 1803. [Google Scholar] [CrossRef]
- Kauffman, S. Metabolic stability and epigenesis in randomly constructed genetic nets. J. Theor. Biol. 1969, 22, 437–467. [Google Scholar] [CrossRef]
- Akutsu, T.; Hayashida, M.; Ching, W.; Ng, M. Control of Boolean networks: Hardness results and algorithms for tree structured networks. J. Theor. Biol. 2007, 244, 670–679. [Google Scholar] [CrossRef]
- Cheng, D.; Qi, H.; Li, Z. Analysis and Control of Boolean Networks: A Semi-Tensor Product Approach; Springer: London, UK, 2011. [Google Scholar]
- Liu, Y.; Tong, L.; Lou, J.; Lu, J.; Cao, J. Sampled-data control for the synchronization of Boolean control networks. IEEE Trans. Cybern. 2019, 49, 726–732. [Google Scholar] [CrossRef]
- Liu, Y.; Wang, L.; Yang, Y.; Wu, Z. Minimal observability of Boolean control networks. Syst. Control. Lett. 2022, 163, 105204. [Google Scholar] [CrossRef]
- Li, Y.; Zhu, J. Observability decomposition of Boolean control networks. IEEE Trans. Autom. Control 2022. [Google Scholar] [CrossRef]
- Liu, W.; Fu, S.; Zhao, J. Set stability and set stabilization of Boolean control networks avoiding undesirable set. Mathematics 2021, 9, 2864. [Google Scholar] [CrossRef]
- Sun, L.; Lu, J.; Ching, W. Switching-based stabilization of aperiodic sampled-data Boolean control networks with all subsystems unstable. Front. Inf. Technol. Electron. Eng. 2020, 21, 260–267. [Google Scholar] [CrossRef]
- Kong, X.; Sun, Q.; Li, H. Survey on mathematical models and methods of complex logical dynamical systems. Mathematics 2022, 10, 3722. [Google Scholar] [CrossRef]
- Tang, Y.; Li, L.; Lu, J. Modeling and optimization for networked evolutionary games with player exit mechanism: Semi-tensor product of matrices method. Physica A 2022, 590, 126710. [Google Scholar] [CrossRef]
- Wang, S.; Li, H. Resolution of fuzzy relational inequalities with Boolean semi-tensor product composition. Mathematics 2021, 9, 937. [Google Scholar] [CrossRef]
- Gao, Z.; Feng, J. Research status of nonlinear feedback shift register based on semi-tensor product. Mathematics 2022, 10, 3538. [Google Scholar] [CrossRef]
- Pang, L.; Hu, C.; Yu, J.; Jiang, H. Fixed-time synchronization for fuzzy-based impulsive complex networks. Mathematics 2022, 10, 1533. [Google Scholar] [CrossRef]
- Hu, W. Stability of impulsive stochastic delay systems with Markovian switched delay effects. Mathematics 2022, 10, 1110. [Google Scholar] [CrossRef]
- Li, F.; Sun, J. Observability analysis of Boolean control networks with impulsive effects. IET Control Theory Appl. 2011, 5, 1609–1616. [Google Scholar] [CrossRef]
- Li, Y.; Li, J.; Feng, J. Set controllability of Boolean control networks with impulsive effects. Neurocomputing 2020, 418, 263–269. [Google Scholar] [CrossRef]
- Tong, L.; Liang, J. Stabilization of impulsive BNs with stochastic disturbances: An aperiodic/periodic scheme. IEEE Trans. Circuits Syst. II Express Briefs 2022, 69, 124–128. [Google Scholar] [CrossRef]
- Shen, Y.; Guo, Y.; Gui, W. Stability of Boolean networks with state-dependent random impulses. Front. Inf. Technol. Electron. Eng. 2021, 22, 222–231. [Google Scholar] [CrossRef]
- Li, Y.; Li, J.; Feng, J. Output tracking of Boolean control networks with impulsive effects. IEEE Access 2020, 8, 157793–157799. [Google Scholar] [CrossRef]
- Yang, J.; Lu, J.; Lou, J.; Liu, Y. Synchronization of drive-response Boolean control networks with impulsive disturbances. Appl. Math. Comput. 2020, 364, 124679. [Google Scholar] [CrossRef]
- Xiao, Y.; Dougherty, E. The impact of function perturbations in Boolean networks. Bioinformatics 2007, 23, 1265–1273. [Google Scholar] [CrossRef] [PubMed]
- Li, X.; Li, H.; Li, Y.; Yang, X. Function perturbation impact on stability in distribution of probabilistic Boolean networks. Math. Comput. Simul. 2020, 177, 1–12. [Google Scholar] [CrossRef]
- Yang, X.; Li, H. Function perturbation impact on asymptotical stability of probabilistic Boolean networks: Changing to finite-time stability. J. Franklin Inst. 2020, 357, 10810–10827. [Google Scholar] [CrossRef]
- Li, X.; Li, H.; Zhao, G. Function perturbation impact on feedback stabilization of Boolean control networks. IEEE Trans. Neural Netw. Learn. Syst. 2019, 30, 2548–2554. [Google Scholar] [CrossRef]
- Wu, J.; Liu, Y.; Ruan, Q.; Lou, J. Robust stability of switched Boolean networks with function perturbation. Nonlinear Anal. Hybrid Syst. 2022, 46, 101216. [Google Scholar] [CrossRef]
- Ren, Y.; Ding, X.; Zhong, J.; Lu, J. Robust stability in distribution of Boolean networks under multi-bits stochastic function perturbations. Nonlinear Anal. Hybrid Syst. 2021, 42, 101095. [Google Scholar] [CrossRef]
- Hu, X.; Huang, C.; Lu, J.; Cao, J. Stabilization of Boolean control networks with stochastic impulses. J. Franklin Inst. 2019, 356, 7164–7182. [Google Scholar] [CrossRef]
- Lin, L.; Cao, J.; Lu, G.; Abdel-Aty, M. Set stabilization of Boolean control networks with impulsive effects: An event-triggered approach. IEEE Trans. Circuits Syst. II Express Briefs 2020, 67, 1244–1248. [Google Scholar] [CrossRef]
- Lin, L.; Cao, J.; Zhu, S.; Rutkowski, L.; Lu, G. Sampled-data set stabilization of impulsive Boolean networks based on a hybrid index model. IEEE Trans. Control Netw. Syst. 2020, 7, 1859–1869. [Google Scholar] [CrossRef]
- Xu, X.; Liu, Y.; Li, H.; Alsaadi, F. Robust set stabilization of Boolean control networks with impulsive effects. Nonlinear Anal.-Model. Control 2018, 23, 553–567. [Google Scholar]
- Li, R.; Yang, M.; Chu, T. State feedback stabilization for Boolean control networks. IEEE Trans. Autom. Control 2013, 58, 1853–1857. [Google Scholar] [CrossRef]
- Laschov, D.; Margaliot, M. Minimum-time control of Boolean networks. SIAM J. Control Optim. 2013, 51, 2869–2892. [Google Scholar]
- Chen, H.; Wu, B.; Lu, J. A minimum-time control for Boolean control networks with impulsive disturbances. Appl. Math. Comput. 2016, 273, 477–483. [Google Scholar]
Publisher’s Note: MDPI stays neutral with regard to jurisdictional claims in published maps and institutional affiliations. |
© 2022 by the authors. Licensee MDPI, Basel, Switzerland. This article is an open access article distributed under the terms and conditions of the Creative Commons Attribution (CC BY) license (https://creativecommons.org/licenses/by/4.0/).


