Omnichannel Retail Strategy Considering Cost-Sharing and Consumer Heterogeneity under Different Power Structures
Abstract
1. Introduction
- (1)
- How does the cost sharing ratio impact the optimal pricing and service decisions of the supply chain members?
- (2)
- How do the consumer heterogeneity and consumer composition affect retailers’ pricing and service decisions?
- (3)
- Which model yields the best decisions of the omnichannel retail system?
- (4)
- How should the brand retailers adjust operating decisions to maximize profits under different power structures considering consumer heterogeneity?
2. Literature Review
2.1. BOPS Omnichannel Retail
2.2. Cost-Sharing Mechanism
2.3. Power Structure
3. Problem Definitions
4. Model Formulation and Solution
5. BOPS Supply Chain Dominated by the Online Platform (Scenario U)
5.1. Insights on Impacts of Cost-Sharing Ratio
- (i)
- Priceincreases with the cost-sharing ratiowhenand then decreases when;
- (ii)
- Service levelincreases with the cost-sharing ratiowhenand then decreases when.
- (i)
- The demand of traditional consumersand the demand of the BOPS consumersincrease with the cost-sharing ratiowhenand decrease when.
- (ii)
- The demand of online shopping consumersdecreases with the cost-sharing ratio when, and increases when.
- (iii)
- The total demand of the retail systemincreases with the ratiowhen, and decreases when.
- (i)
- The profit of the online platformincreases with the cost-sharing ratiowhen, and decreases when.
- (ii)
- The profit of the brick-and-mortar storeincreases at the threshold, and decreases at the threshold.
- (iii)
- The profit of the retail systemdecreases in the threshold, and increases in the threshold.
5.2. Insights on the Proportion of Traditional Consumers
- (i)
- Priceand service leveldecrease with the proportion of traditional consumers.
- (ii)
- The demand of traditional consumersincreases with the proportion of traditional consumers; the demand of BOPS consumersand the demand of online shopping consumersdecrease with.
- (iii)
- The symmetry demand of the retail systemincreases with the proportion of traditional consumersunder the threshold, and decreases in the threshold.
- (i)
- The profit of the online platformdecreases with the proportion of traditional consumers.
- (ii)
- The profit of the brick-and-mortar storeincreases with the proportion of traditional consumerswhen, and decreasesotherwise.
- (iii)
- The profit of the retail systemincreases with the proportion of traditional consumerswhen, and decreases withotherwise.
6. BOPS Supply Chain Dominated by the Brick-and-Mortar Store (Scenario D)
6.1. Insights on Impacts of the Cost Sharing Ratio
- (i)
- Priceand service leveldecrease with the cost-sharing ratio whenand increase withotherwise.
- (ii)
- The demand of traditional consumers, the demand of BOPS consumers, and the demand of the retail systemdecrease with the cost-sharing ratiowhen, and increase with otherwise. The demand of online shopping consumers increases with when , and decreases with otherwise.
- (i)
- The profit of the online platformincreases with the cost-sharing ratiowhenor, and decreases within other cases.
- (ii)
- The profit of the brick-and-mortar storeincreases with the cost-sharing ratio.
- (iii)
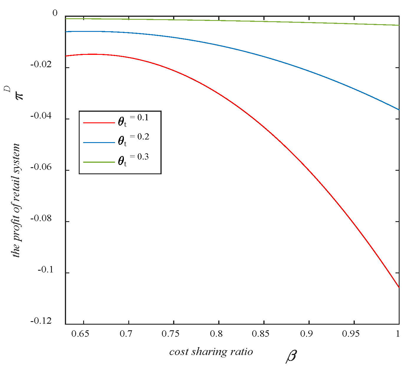
- The profit of the retail systemincreases with the cost-sharing ratiowhen, and decreases withotherwise.
6.2. Insights on the Proportion of Traditional Consumers
- (i)
- Pricedecreases with the proportion of traditional consumersin the threshold, and increases within the threshold.
- (ii)
- Service levelincreases with the proportion of traditional consumerswhen, and decreases withotherwise.
- (i)
- Traditional consumers’ demandincreases with the proportion of traditional consumersin the threshold, and decreases within the threshold.
- (ii)
- BOPS consumers’ demandincreases with the proportion of traditional consumersin the threshold, and decreases in the threshold.
- (iii)
- Online shopping consumers’ demanddecreases with the proportion of traditional consumersin the threshold, and increases within the threshold.
- (iv)
- The retail system’s demandincreases with the proportion of traditional consumersin the threshold, and decreases in the threshold.
- (i)
- The profit of the online platformdecreases with the proportion of traditional consumerswhenoror, and increases within other cases.
- (ii)
- The profit of the brick-and-mortar storeincreases with the proportion of traditional consumerswhenoror, and decreases within other cases.
- (iii)
- The profit of the retail systemincreases with the proportion of traditional consumerswhen, and decreases withotherwise.
7. Comparative Analysis
- (i)
- Service levelin Scenario U is higher thanin Scenario D whenor, and lower thanin other cases.
- (ii)
- Pricein Scenario U is higher thanin Scenario D whenor, and lower thanin other cases.
- (i)
- The demand of online shopping consumersin Scenario U is lower thanin Scenario D whenor, and higher thanin other cases.
- (ii)
- The demand of traditional consumersand the demand of BOPS consumersin Scenario U are respectively higher thanandin Scenario D whenoror, and the contrast is reversed in other cases.
- (iii)
- The demand for the retail systemin Scenario U is higher thanin Scenario D whenoror.
- (i)
- Supposing the two solutions ofareandrespectively, then, and the solution of is, which can be calculated as 0.728177. The profit of the online platformin Scenario U is higher thanin Scenario D whenoror, and lower thanin other cases.
- (ii)
- Supposing the two solutions ofareandrespectively, then. The profit of the brick-and-mortar storein Scenario U is higher thanin Scenario D whenor, and lower thanin other cases.
- (iii)
- Supposing the two solutions of are and respectively, then and the solution of is , which can be calculated as 0.412334. The profit of the retail system in Scenario U is higher than in Scenario D when or or or , and lower than in other cases.
8. Managerial Implications and Conclusions
Author Contributions
Funding
Data Availability Statement
Acknowledgments
Conflicts of Interest
Appendix A
References
- Jindal, R.P.; Gauri, D.K.; Li, W.; Ma, Y. Omnichannel battle between Amazon and Walmart: Is the focus on delivery the best strategy? J. Bus. Res. 2021, 122, 270–280. [Google Scholar] [CrossRef] [PubMed]
- Verhoef, P.C.; Kannan, P.K.; Inman, J.J. From multi-channel retailing to omni-channel retailing: Introduction to the special issue on multi-channel retailing. J. Retail. 2015, 91, 174–181. [Google Scholar] [CrossRef]
- Saghiri, S.; Wilding, R.; Mena, C.; Bourlakis, M. Toward a three-dimensional framework for omni-channel. J. Bus. Res. 2017, 77, 53–67. [Google Scholar] [CrossRef]
- Li, H.; Yang, S.; Kang, H.; Shi, V. “Buy online, pick up in store” under fit uncertainty: To offer or not to offer. Complexity 2020, 2020, 3095672. [Google Scholar] [CrossRef]
- Zhang, Q.; Cao, W.; Liu, Y.; Zhang, Z. Integration of online and offline channels in retail: Feasibility of BOPS? Kybernetes 2021, 50, 1588–1620. [Google Scholar] [CrossRef]
- Gallino, S.; Moreno, A.; Stamatopoulos, I. Channel integration, sales dispersion, and inventory management. Manag. Sci. 2017, 63, 2813–2831. [Google Scholar] [CrossRef]
- Gao, F.; Su, X. Omnichannel retail operations with buy-online-and-pick-up-in-store. Manag. Sci. 2017, 3, 2478–2492. [Google Scholar] [CrossRef]
- Lu, J.C.; Yang, Y.; Han, S.Y.; Tsao, Y.C.; Xin, Y. Coordinated inventory policies for meeting demands from both store and online BOPS channels. Comput. Ind. Eng. 2020, 145, 106542. [Google Scholar] [CrossRef]
- Jiang, Y.; Liu, L.; Lim, A. Optimal pricing decisions for an omni-channel supply chain with retail service. Int. Trans. Oper. Res. 2020, 27, 2927–2948. [Google Scholar] [CrossRef]
- Liu, J.; Xu, Q. Joint decision on pricing and ordering for omnichannel bops retailers: Considering online returns. Sustainability 2020, 12, 1539. [Google Scholar] [CrossRef]
- Li, M.; Zhang, X.; Dan, B. Cooperative advertising and pricing in an O2O supply chain with buy-online-and-pick-up-in-store. Int. Trans. Oper. Res. 2021, 28, 2033–2054. [Google Scholar] [CrossRef]
- Shen, X.L.; Li, Y.J.; Sun, Y.; Wang, N. Channel integration quality, perceived fluency and omnichannel service usage: The moderating roles of internal and external usage experience. Decis. Support Syst. 2018, 109, 61–73. [Google Scholar] [CrossRef]
- Pauwels, K.; Neslin, S.A. Building with bricks and mortar: The revenue impact of opening physical stores in a multichannel environment. J. Retail. 2015, 91, 182–197. [Google Scholar] [CrossRef]
- Wang, R.J.H.; Malthouse, E.C.; Krishnamurthi, L. On the go: How mobile shopping affects customer purchase behavior. J. Retail. 2015, 91, 217–234. [Google Scholar] [CrossRef]
- Hsiao, L.; Chen, Y.J. Strategic motive for introducing internet channels in a supply chain. Prod. Oper. Manag. 2014, 23, 36–47. [Google Scholar] [CrossRef]
- Zhang, P.; He, Y.; Shi, C.V. Retailer’s channel structure choice: Online channel, off-line channel, or dual channels? Int. J. Prod. Econ. 2017, 191, 37–50. [Google Scholar] [CrossRef]
- Hu, M.; Xu, X.; Xue, W.; Yang, Y. Demand pooling in omnichannel operations. Manag. Sci. 2022, 68, 883–894. [Google Scholar] [CrossRef]
- Jin, M.; Li, G.; Cheng, T.C.E. Buy online and pick up in-store: Design of the service area. Eur. J. Oper. Res. 2018, 268, 613–623. [Google Scholar] [CrossRef]
- Zhou, Y.W.; Guo, J.; Zhou, W. Pricing/service strategies for a dual-channel supply chain with free riding and service-cost sharing. Int. J. Prod. Econ. 2018, 196, 198–210. [Google Scholar] [CrossRef]
- Chakraborty, A.; Mateen, A.; Chatterjee, A.K.; Haldar, N. Relative power in supply chains–Impact on channel efficiency & contract design. Comput. Ind. Eng. 2018, 122, 202–210. [Google Scholar]
- Fan, J.; Ni, D.; Fang, X. Liability cost sharing, product quality choice, and coordination in two-echelon supply chains. Eur. J. Oper. Res. 2020, 284, 514–537. [Google Scholar] [CrossRef]
- Chen, X.; Zhou, J. The complexity analysis and chaos control in omni-channel supply chain with consumer migration and advertising cost sharing. Chaos Solitons Fractals 2021, 146, 110884. [Google Scholar] [CrossRef]
- Schul, P.L.; Pride, W.M.; Little, T.L. The impact of channel leadership behavior on intrachannel conflict. J. Mark. 1983, 47, 21–34. [Google Scholar] [CrossRef]
- Kong, R.; Luo, L.; Chen, L.; Keblis, M.F. The effects of BOPS implementation under different pricing strategies in omnichannel retailing. Transp. Res. Part E Logist. Transp. Rev. 2020, 141, 102014. [Google Scholar] [CrossRef]
- Li, X.; Li, Y.; Cao, W. Cooperative advertising models in O2O supply chains. Int. J. Prod. Econ. 2019, 215, 144–152. [Google Scholar] [CrossRef]
- Yan, N.; Liu, Y.; Xu, X.; He, X. Strategic dual-channel pricing games with e-retailer finance. Eur. J. Oper. Res. 2020, 283, 138–151. [Google Scholar] [CrossRef]
- Matsui, K. Power structure and profitability in a three-echelon supply chain facing stochastic demand. Comput. Ind. Eng. 2021, 160, 107246. [Google Scholar] [CrossRef]
- Balakrishnan, A.; Sundaresan, S.; Zhang, B. Browse-and-switch: Retail-online competition under value uncertainty. Prod. Oper. Manag. 2014, 23, 1129–1145. [Google Scholar] [CrossRef]
- Bell, D.R.; Gallino, S.; Moreno, A. Off-line showrooms in omnichannel retail: Demand and operational benefits. Manag. Sci. 2018, 64, 1629–1651. [Google Scholar] [CrossRef]
- Martín-Herrán, G.; Sigué, S.P. Trade deals and/or on-package coupons. Eur. J. Oper. Res. 2015, 241, 541–554. [Google Scholar] [CrossRef]
- Li, G.; Li, L.; Sun, J. Pricing and service effort strategy in a dual-channel supply chain with showrooming effect. Transp. Res. Part E Logist. Transp. Rev. 2019, 126, 32–48. [Google Scholar] [CrossRef]
- Nie, J.; Zhong, L.; Yan, H.; Yang, W. Retailers’ distribution channel strategies with cross-channel effect in a competitive market. Int. J. Prod. Econ. 2019, 213, 32–45. [Google Scholar] [CrossRef]
- Yan, S.; Hua, Z.; Bian, Y. Does retailer benefit from implementing “online-to-store” channel in a competitive market? IEEE Trans. Eng. Manag. 2018, 67, 496–512. [Google Scholar] [CrossRef]















| Symbol | Description |
|---|---|
| The unit cost of the product | |
| Potential market demand | |
| The service level of the brick-and-mortar store, | |
| The uniform sales price of products through channels | |
| The cost allocation proportion of the online platform, | |
| Percentage of various segments of consumers, , | |
| The demand of traditional consumers | |
| The demand of BOPS consumers | |
| The demand of online shopping consumers | |
| The total demand of the retail system | |
| Profit of the online platform | |
| Profit of the brick-and-mortar store | |
| The total profit of the retail system, |
| Variables | Scenario U | Scenario D |
|---|---|---|
| Cost Allocation Proportion | Online Platform | Brick–and-Mortar Store | Retail System | |
|---|---|---|---|---|
| The Demand of Online Shopping Consumers | The Demand of BOPS Consumers | The Demand of Traditional Consumers | The Demand for All Channels | |
| ↓ | ↑ | ↑ | ↑ | |
| ↑ | ↑ | ↑ | ↑ | |
| ↑ | ↓ | ↓ | ↑ | |
| ↑ | ↓ | ↓ | ↓ | |
| Cost Allocation Proportion | Online Platform | Brick–and-Mortar Store | Retail System | |
|---|---|---|---|---|
| The Demand of Online Shopping Consumers | The Demand of BOPS Consumers | The Demand of Traditional Consumers | The Demand for All Channels | |
| − | + | + | + | |
| + | − | − | − | |
| − | − | − | − | |
| − | − | + | − | |
| − | − | + | + | |
Publisher’s Note: MDPI stays neutral with regard to jurisdictional claims in published maps and institutional affiliations. |
© 2022 by the authors. Licensee MDPI, Basel, Switzerland. This article is an open access article distributed under the terms and conditions of the Creative Commons Attribution (CC BY) license (https://creativecommons.org/licenses/by/4.0/).
Share and Cite
Gong, Y.; Ma, Y.; Wang, Z. Omnichannel Retail Strategy Considering Cost-Sharing and Consumer Heterogeneity under Different Power Structures. Mathematics 2022, 10, 4004. https://doi.org/10.3390/math10214004
Gong Y, Ma Y, Wang Z. Omnichannel Retail Strategy Considering Cost-Sharing and Consumer Heterogeneity under Different Power Structures. Mathematics. 2022; 10(21):4004. https://doi.org/10.3390/math10214004
Chicago/Turabian StyleGong, Yande, Yidan Ma, and Zhe Wang. 2022. "Omnichannel Retail Strategy Considering Cost-Sharing and Consumer Heterogeneity under Different Power Structures" Mathematics 10, no. 21: 4004. https://doi.org/10.3390/math10214004
APA StyleGong, Y., Ma, Y., & Wang, Z. (2022). Omnichannel Retail Strategy Considering Cost-Sharing and Consumer Heterogeneity under Different Power Structures. Mathematics, 10(21), 4004. https://doi.org/10.3390/math10214004

