Dwarf Mongoose Optimization Metaheuristics for Autoregressive Exogenous Model Identification
Abstract
1. Introduction
2. Mathematical Model of ARX Systems
3. Methodology
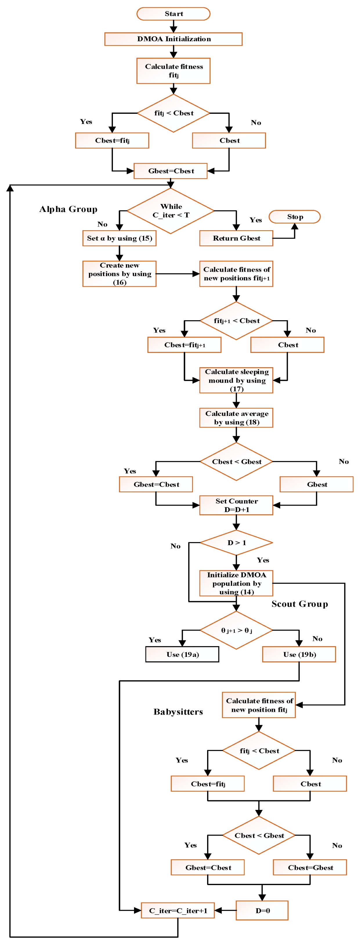
3.1. Dwarf Mongoose Optimization Algorithm
3.1.1. Population Initialization
3.1.2. The DMOA Model
Alpha Group
Scout Group
The Babysitters
| Algorithm 1: Pseudo-code of the DMOA |
| Initialization: |
| Set . |
| Set babysitter exchange parameter . |
| for |
| Calculate the mongoose fitness. |
| Calculate |
| . |
| . |
| . . |
| Compute movement vector . |
| Exchange babysitters if and set. |
| Initialize position usng (1) and calculate fitness |
| Simulate next position |
| Update best solution |
| end |
| Return best solution |
| End |
4. Performance Analysis
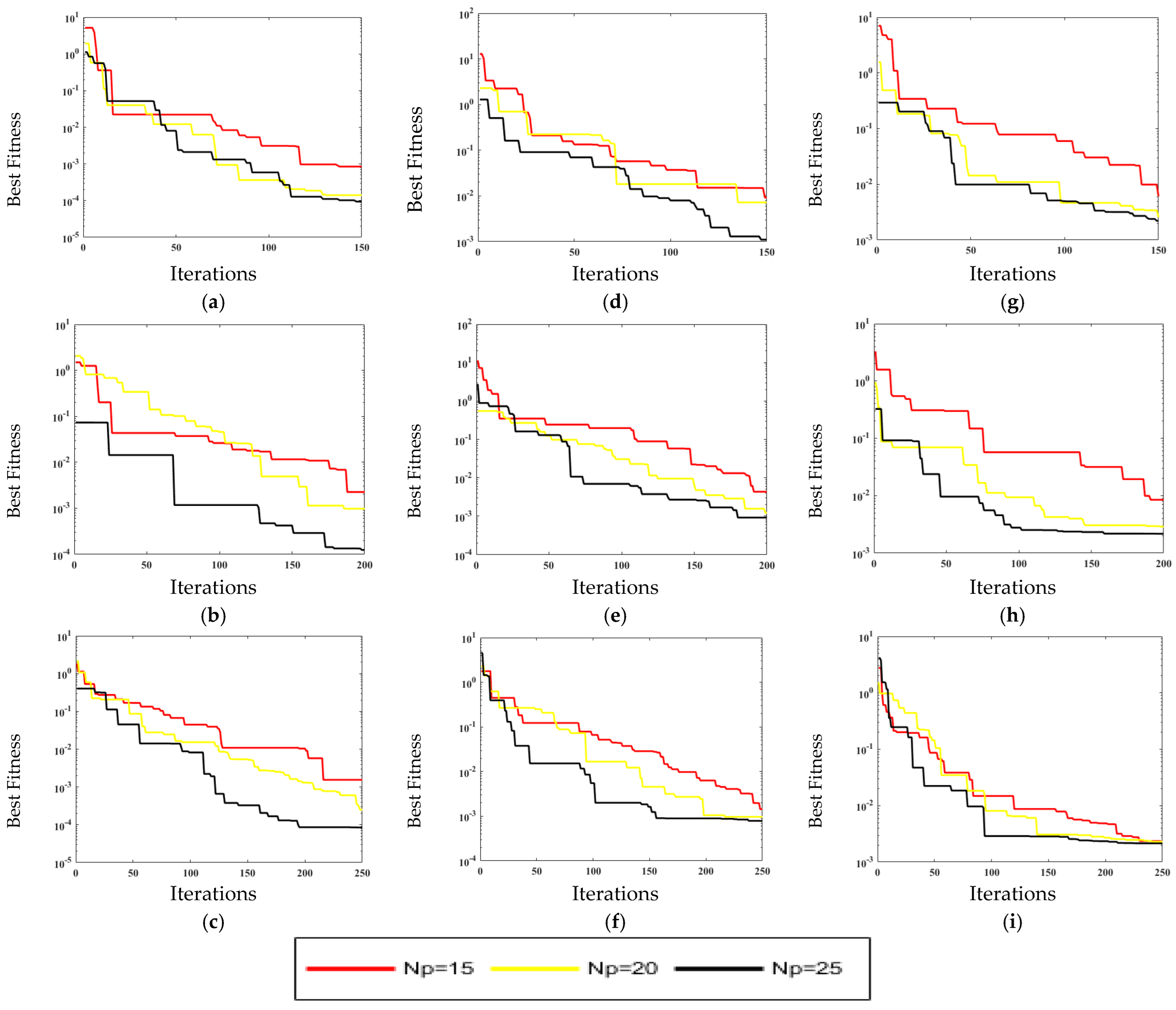
4.1. Statistical Convergence Analysis
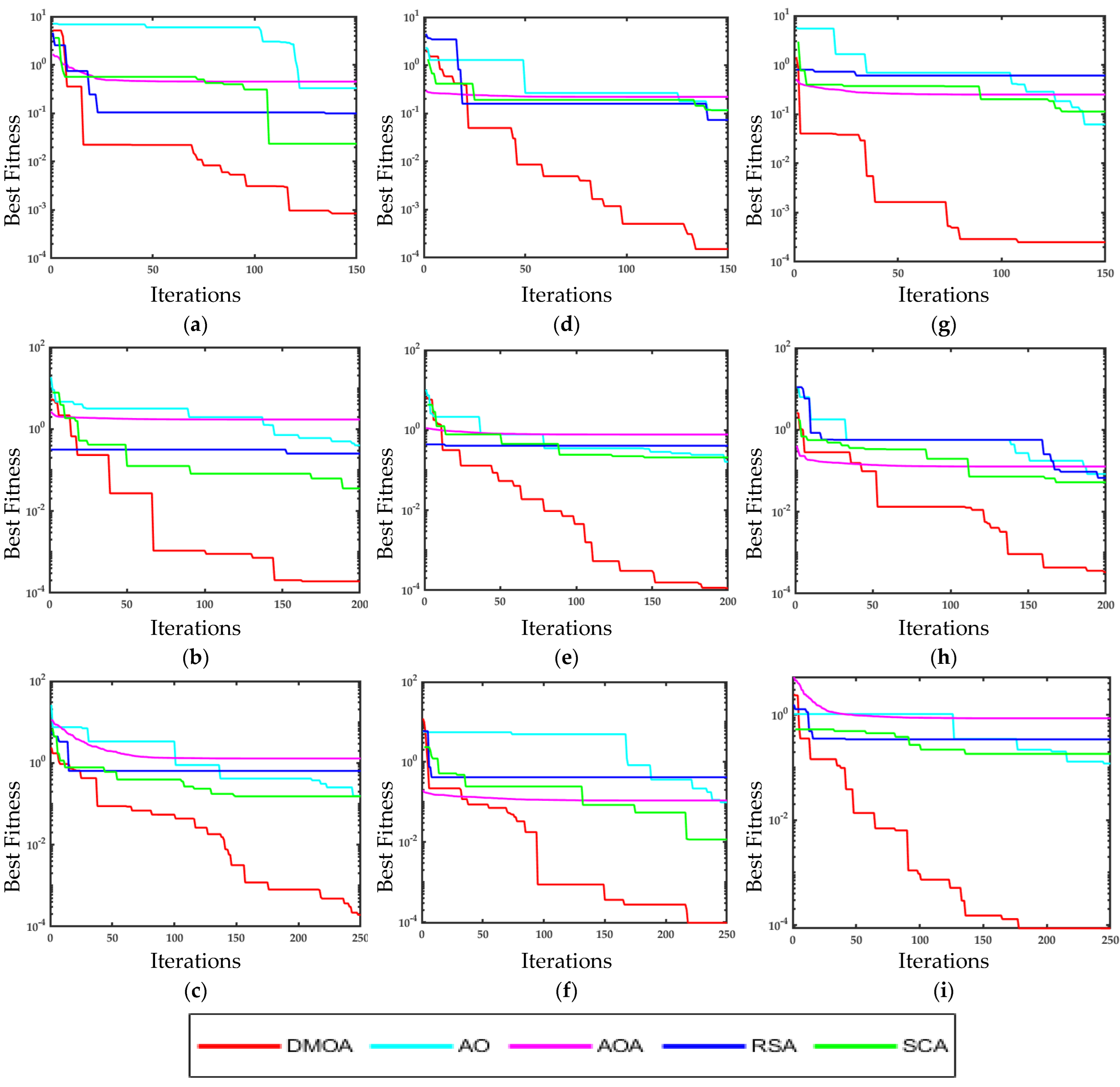
4.2. Results Comparison with Other Heuristics
5. Conclusions
Author Contributions
Funding
Data Availability Statement
Acknowledgments
Conflicts of Interest
References
- Wang, S.; Hussien, A.G.; Jia, H.; Abualigah, L.; Zheng, R. Enhanced Remora Optimization Algorithm for Solving Constrained Engineering Optimization Problems. Mathematics 2022, 10, 1696. [Google Scholar] [CrossRef]
- Liu, Q.; Li, N.; Jia, H.; Qi, Q.; Abualigah, L.; Liu, Y. A Hybrid Arithmetic Optimization and Golden Sine Algorithm for Solving Industrial Engineering Design Problems. Mathematics 2022, 10, 1567. [Google Scholar] [CrossRef]
- Huang, L.; Wang, Y.; Guo, Y.; Hu, G. An Improved Reptile Search Algorithm Based on Lévy Flight and Interactive Crossover Strategy to Engineering Application. Mathematics 2022, 10, 2329. [Google Scholar] [CrossRef]
- Meidani, K.; Mirjalili, S.; Farimani, A.B. MAB-OS: Multi-Armed Bandits Metaheuristic Optimizer Selection. Appl. Soft Comput. 2022, 128, 109452. [Google Scholar] [CrossRef]
- Nadimi-Shahraki, M.H.; Fatahi, A.; Zamani, H.; Mirjalili, S.; Abualigah, L. An Improved Moth-Flame Optimization Algorithm with Adaptation Mechanism to Solve Numerical and Mechanical Engineering Problems. Entropy 2021, 23, 1637. [Google Scholar] [CrossRef] [PubMed]
- Nadimi-Shahraki, M.H.; Taghian, S.; Mirjalili, S.; Abualigah, L.; Elaziz, M.A.; Oliva, D. EWOA-OPF: Effective Whale Optimization Algorithm to Solve Optimal Power Flow Problem. Electronics 2021, 10, 2975. [Google Scholar] [CrossRef]
- Mohan, P.; Subramani, N.; Alotaibi, Y.; Alghamdi, S.; Khalaf, O.I.; Ulaganathan, S. Improved Metaheuristics-Based Clustering with Multihop Routing Protocol for Underwater Wireless Sensor Networks. Sensors 2022, 22, 1618. [Google Scholar] [CrossRef]
- Yang, N.-C.; Liu, S.-W. Multi-Objective Teaching–Learning-Based Optimization with Pareto Front for Optimal Design of Passive Power Filters. Energies 2021, 14, 6408. [Google Scholar] [CrossRef]
- Santos, J.D.; Marques, F.; Negrete, L.P.G.; Brigatto, G.A.A.; López-Lezama, J.M.; Muñoz-Galeano, N. A Novel Solution Method for the Distribution Network Reconfiguration Problem Based on a Search Mechanism Enhancement of the Improved Harmony Search Algorithm. Energies 2022, 15, 2083. [Google Scholar] [CrossRef]
- Shastri, A.; Nargundkar, A.; Kulkarni, A.J. Socio-Inspired Optimization Methods for Advanced Manufacturing Processes; Springer: Singapore, 2021; pp. 19–29. [Google Scholar]
- Drachal, K.; Pawłowski, M. A review of the applications of genetic algorithms to forecasting prices of commodi-ties. Economies 2021, 9, 6. [Google Scholar] [CrossRef]
- Lee, C.-Y.; Hung, C.-H. Feature Ranking and Differential Evolution for Feature Selection in Brushless DC Motor Fault Diagnosis. Symmetry 2021, 13, 1291. [Google Scholar] [CrossRef]
- Chiarion, G.; Mesin, L. Resolution of Spike Overlapping by Biogeography-Based Optimization. Electronics 2021, 10, 1469. [Google Scholar] [CrossRef]
- Ge, D.; Zhang, Z.; Kong, X.; Wan, Z. Extreme Learning Machine Using Bat Optimization Algorithm for Estimating State of Health of Lithium-Ion Batteries. Appl. Sci. 2022, 12, 1398. [Google Scholar] [CrossRef]
- Yuan, X.; Yuan, X.; Wang, X. Path planning for mobile robot based on improved bat algorithm. Sensors 2021, 21, 4389. [Google Scholar] [CrossRef] [PubMed]
- Hashim, F.A.; Houssein, E.H.; Mabrouk, M.S.; Al-Atabany, W.; Mirjalili, S. Henry gas solubility optimization: A novel physics-based algorithm. Futur. Gener. Comput. Syst. 2019, 101, 646–667. [Google Scholar] [CrossRef]
- Doumari, S.; Givi, H.; Dehghani, M.; Montazeri, Z.; Leiva, V.; Guerrero, J. A New Two-Stage Algorithm for Solving Optimization Problems. Entropy 2021, 23, 491. [Google Scholar] [CrossRef]
- Mbuli, N.; Ngaha, W. A survey of big bang big crunch optimisation in power systems. Renew. Sustain. Energy Rev. 2021, 155, 111848. [Google Scholar] [CrossRef]
- Ficarella, E.; Lamberti, L.; Degertekin, S.O. Mechanical Identification of Materials and Structures with Optical Methods and Metaheuristic Optimization. Materials 2019, 12, 2133. [Google Scholar] [CrossRef]
- Rashedi, E.; Rashedi, E.; Nezamabadi-Pour, H. A comprehensive survey on gravitational search algorithm. Swarm Evol. Comput. 2018, 41, 141–158. [Google Scholar] [CrossRef]
- Thiagarajan, K.; Anandan, M.M.; Stateczny, A.; Divakarachari, P.B.; Lingappa, H.K. Satellite Image Classification Using a Hierarchical Ensemble Learning and Correlation Coefficient-Based Gravitational Search Algorithm. Remote Sens. 2021, 13, 4351. [Google Scholar] [CrossRef]
- Sengupta, S.; Basak, S.; Peters, R.A. Particle Swarm Optimization: A Survey of Historical and Recent Developments with Hybridization Perspectives. Mach. Learn. Knowl. Extr. 2018, 1, 157–191. [Google Scholar] [CrossRef]
- Menos-Aikateriniadis, C.; Lamprinos, I.; Georgilakis, P.S. Particle Swarm Optimization in Residential Demand-Side Management: A Review on Scheduling and Control Algorithms for Demand Response Provision. Energies 2022, 15, 2211. [Google Scholar] [CrossRef]
- Öztürk, Ş.; Ahmad, R.; Akhtar, N. Variants of Artificial Bee Colony algorithm and its applications in medical image processing. Appl. Soft Comput. 2020, 97, 106799. [Google Scholar] [CrossRef]
- Kumar, N.K.; Gopi, R.S.; Kuppusamy, R.; Nikolovski, S.; Teekaraman, Y.; Vairavasundaram, I.; Venkateswarulu, S. Fuzzy Logic-Based Load Frequency Control in an Island Hybrid Power System Model Using Artificial Bee Colony Optimi-zation. Energies 2022, 15, 2199. [Google Scholar] [CrossRef]
- Joshi, A.; Kulkarni, O.; Kakandikar, G.; Nandedkar, V. Cuckoo Search Optimization- A Review. Mater. Today: Proc. 2017, 4, 7262–7269. [Google Scholar] [CrossRef]
- Eltamaly, A. An Improved Cuckoo Search Algorithm for Maximum Power Point Tracking of Photovoltaic Systems under Partial Shading Conditions. Energies 2021, 14, 953. [Google Scholar] [CrossRef]
- Faramarzi, A.; Heidarinejad, M.; Mirjalili, S.; Gandomi, A.H. Marine Predators Algorithm: A nature-inspired me-taheuristic. Expert Syst. Appl. 2020, 152, 113377. [Google Scholar] [CrossRef]
- Riad, N.; Anis, W.; Elkassas, A.; Hassan, A.E.W. Three-phase multilevel inverter using selective harmonic elimi-nation with marine predator algorithm. Electronics 2021, 10, 374. [Google Scholar] [CrossRef]
- Li, S.; Chen, H.; Wang, M.; Heidari, A.A.; Mirjalili, S. Slime mould algorithm: A new method for stochastic opti-mization. Future Gener. Comput. Syst. 2020, 111, 300–323. [Google Scholar] [CrossRef]
- Farhat, M.; Kamel, S.; Atallah, A.M.; Hassan, M.H.; Agwa, A.M. ESMA-OPF: Enhanced Slime Mould Algorithm for Solving Optimal Power Flow Problem. Sustainability 2022, 14, 2305. [Google Scholar] [CrossRef]
- Agushaka, J.O.; Ezugwu, A.E.; Abualigah, L. Dwarf mongoose optimization algorithm. Comput. Methods Appl. Mech. Eng. 2022, 391, 114570. [Google Scholar] [CrossRef]
- Sadoun, A.M.; Najjar, I.R.; Alsoruji, G.S.; Wagih, A.; Elaziz, M.A. Utilizing a Long Short-Term Memory Algorithm Modified by Dwarf Mongoose Optimization to Predict Thermal Expansion of Cu-Al2O3 Nanocomposites. Mathematics 2022, 10, 1050. [Google Scholar] [CrossRef]
- Aldosari, F.; Abualigah, L.; Almotairi, K.H. A Normal Distributed Dwarf Mongoose Optimization Algorithm for Global Optimization and Data Clustering Applications. Symmetry 2022, 14, 1021. [Google Scholar] [CrossRef]
- Hwang, J.K.; Shin, J. Identification of Interarea Modes From Ambient Data of Phasor Measurement Units Using an Autoregressive Exogenous Model. IEEE Access 2021, 9, 45695–45705. [Google Scholar] [CrossRef]
- Dong, G.; Chen, Z.; Wei, J. Sequential Monte Carlo Filter for State-of-Charge Estimation of Lithium-Ion Batteries Based on Auto Regressive Exogenous Model. IEEE Trans. Ind. Electron. 2019, 66, 8533–8544. [Google Scholar] [CrossRef]
- Javed, U.; Ijaz, K.; Jawad, M.; Ansari, E.A.; Shabbir, N.; Kütt, L.; Husev, O. Exploratory Data Analysis Based Short-Term Electrical Load Forecasting: A Comprehensive Analysis. Energies 2021, 14, 5510. [Google Scholar] [CrossRef]
- Shabani, E.; Ghorbani, M.A.; Inyurt, S. The power of the GP-ARX model in CO2 emission forecasting. In Risk, Reliability and Sustainable Remediation in the Field of Civil and Environmental Engineering; Elsevier: Amsterdam, The Netherlands, 2022; pp. 79–91. [Google Scholar] [CrossRef]
- Basu, B.; Morrissey, P.; Gill, L.W. Application of nonlinear time series and machine learning algorithms for fore-casting groundwater flooding in a lowland karst area. Water Resour. Res. 2022, 58, e2021WR029576. [Google Scholar] [CrossRef]
- Hadid, B.; Duviella, E.; Lecoeuche, S. Data-driven modeling for river flood forecasting based on a piecewise linear ARX system identification. J. Process Control 2019, 86, 44–56. [Google Scholar] [CrossRef]
- Vidal, R. Recursive identification of switched ARX systems. Automatica 2008, 44, 2274–2287. [Google Scholar] [CrossRef]
- Lu, Y.; Huang, B.; Khatibisepehr, S. A Variational Bayesian Approach to Robust Identification of Switched ARX Models. IEEE Trans. Cybern. 2015, 46, 3195–3208. [Google Scholar] [CrossRef]
- Mattsson, P.; Zachariah, D.; Stoica, P. Recursive Identification Method for Piecewise ARX Models: A Sparse Estimation Approach. IEEE Trans. Signal Process 2016, 64, 5082–5093. [Google Scholar] [CrossRef]
- Tu, Q.; Rong, Y.; Chen, J. Parameter Identification of ARX Models Based on Modified Momentum Gradient Descent Algorithm. Complexity 2020, 2020, 1–11. [Google Scholar] [CrossRef]
- Jing, S. Identification of an ARX model with impulse noise using a variable step size information gradient algorithm based on the kurtosis and minimum Renyi error entropy. Int. J. Robust Nonlinear Control 2021, 32, 1672–1686. [Google Scholar] [CrossRef]
- Ding, F.; Lv, L.; Pan, J.; Wan, X.; Jin, X.-B. Two-stage Gradient-based Iterative Estimation Methods for Controlled Autoregressive Systems Using the Measurement Data. Int. J. Control. Autom. Syst. 2019, 18, 886–896. [Google Scholar] [CrossRef]
- Saad, M.S.; Jamaluddin, H.; Darus, I.Z.M. Active vibration control of a flexible beam using system identification and controller tuning by evolutionary algorithm. J. Vib. Control 2013, 21, 2027–2042. [Google Scholar] [CrossRef]
- Mehmood, K.; Chaudhary, N.I.; Khan, Z.A.; Raja, M.A.Z.; Cheema, K.M.; Milyani, A.H. Design of Aquila Opti-mization Heuristic for Identification of Control Autoregressive Systems. Mathematics 2022, 10, 1749. [Google Scholar] [CrossRef]
- Sörensen, K. Metaheuristics—The metaphor exposed. Int. Trans. Oper. Res. 2015, 22, 3–18. [Google Scholar] [CrossRef]
- Saleem, A.; Soliman, H.; Al-Ratrout, S.; Mesbah, M. Design of a fractional order PID controller with application to an induction motor drive. Turk. J. Electr. Eng. Comput. Sci. 2018, 26, 2768–2778. [Google Scholar] [CrossRef]
- Azarnejad, A.; Khaloozadeh, H. Stock return system identification and multiple adaptive forecast algorithm for price trend forecasting. Expert Syst. Appl. 2022, 198, 116685. [Google Scholar] [CrossRef]
- Li, F.; Zheng, T.; He, N.; Cao, Q. Data-Driven Hybrid Neural Fuzzy Network and ARX Modeling Approach to Practical Industrial Process Identification. IEEE CAA J. Autom. Sin. 2022, 9, 1702–1705. [Google Scholar] [CrossRef]
- Abualigah, L.; Yousri, D.; Elaziz, M.A.; Ewees, A.A.; Al-Qaness, M.A.; Gandomi, A.H. Aquila Optimizer: A novel meta-heuristic optimization algorithm. Comput. Ind. Eng. 2021, 157, 107250. [Google Scholar] [CrossRef]
- Abualigah, L.; Abd Elaziz, M.; Sumari, P.; Geem, Z.W.; Gandomi, A.H. Reptile Search Algorithm (RSA): A na-ture-inspired meta-heuristic optimizer. Expert Syst. Appl. 2022, 191, 116158. [Google Scholar] [CrossRef]
- Mirjalili, S. SCA: A Sine Cosine Algorithm for solving optimization problems. Knowl. Based Syst. 2016, 96, 120–133. [Google Scholar] [CrossRef]
- Abualigah, L.; Diabat, A.; Mirjalili, S.; Abd Elaziz, M.; Gandomi, A.H. The Arithmetic Optimization Algo-rithm. Comput. Methods Appl. Mech. Eng. 2021, 376, 113609. [Google Scholar] [CrossRef]











| Babysitter Exchange Parameter (K) | Number of Babysitters (bb) | Generations (T) | Population (Np) | Average Fitness | Best Fitness | Worst Fitness |
|---|---|---|---|---|---|---|
| 7 | 3 | 150 | 15 | |||
| 20 | ||||||
| 25 | ||||||
| 200 | 15 | |||||
| 20 | ||||||
| 25 | ||||||
| 250 | 15 | |||||
| 20 | ||||||
| 25 | ||||||
| 10 | 4 | 150 | 15 | |||
| 20 | ||||||
| 25 | ||||||
| 200 | 15 | |||||
| 20 | ||||||
| 25 | ||||||
| 250 | 15 | |||||
| 20 | ||||||
| 25 | ||||||
| 12 | 5 | 150 | 15 | |||
| 20 | ||||||
| 25 | ||||||
| 200 | 15 | |||||
| 20 | ||||||
| 25 | ||||||
| 250 | 15 | |||||
| 20 | ||||||
| 25 |
| Generations (T) | Population (Np) | Average Fitness | Best Fitness | Worst Fitness | STD |
|---|---|---|---|---|---|
| 150 | 15 | ||||
| 20 | |||||
| 25 | |||||
| 200 | 15 | ||||
| 20 | |||||
| 25 | |||||
| 250 | 15 | ||||
| 20 | |||||
| 25 |
| Generations (T) | Population (Np) | Average Fitness | Best Fitness | Worst Fitness | STD |
|---|---|---|---|---|---|
| 150 | 15 | ||||
| 20 | |||||
| 25 | |||||
| 200 | 15 | ||||
| 20 | |||||
| 25 | |||||
| 250 | 15 | ||||
| 20 | |||||
| 25 |
| Generations (T) | Population (Np) | Average Fitness | Best Fitness | Worst Fitness | STD |
|---|---|---|---|---|---|
| 150 | 15 | ||||
| 20 | |||||
| 25 | |||||
| 200 | 15 | ||||
| 20 | |||||
| 25 | |||||
| 250 | 15 | ||||
| 20 | |||||
| 25 |
| Method | Description | Parameter |
|---|---|---|
| Aquila Optimizer (AO) | Inspired from behavior of aquila for solving optimization problems. | α = 0.1 = 0.1 |
| Reptile Search Algorithm (RSA) | Inspired from hunting behavior of reptiles for solving complex optimization problems. | α = 0.1 β = 0.005 |
| Sine Cosine Algorithm (SCA) | Inspired from sine and cosine functions for solving engineering optimization problems. | a = 2 |
| Arithmetic Optimization Algorithm (AOA) | Inspired from basic arithmetic operators (addition, subtraction, multiplication, and division) for solving optimization problems. | α = 5 µ = 0.5 |
| Algorithm | Generations (T) | Population (Np) | Design Parameters | Best Fitness | |||
|---|---|---|---|---|---|---|---|
| DMOA | 150 | 15 | −1.50 | 0.70 | 1.00 | 0.49 | |
| 20 | −1.49 | 0.69 | 0.99 | 0.50 | |||
| 25 | −1.50 | 0.70 | 0.99 | 0.50 | |||
| 200 | 15 | −1.50 | 0.69 | 0.95 | 0.53 | ||
| 20 | −1.50 | 0.70 | 0.99 | 0.50 | |||
| 25 | −1.50 | 0.70 | 0.99 | 0.50 | |||
| 250 | 15 | −1.50 | 0.70 | 0.99 | 0.50 | ||
| 20 | −1.50 | 0.70 | 0.99 | 0.50 | |||
| 25 | −1.50 | 0.70 | 0.99 | 0.50 | |||
| AO | 150 | 15 | −1.47 | 0.66 | 0.77 | 0.75 | |
| 20 | −1.47 | 0.67 | 0.89 | 0.52 | |||
| 25 | −1.43 | 0.64 | 0.87 | 0.68 | |||
| 200 | 15 | −1.51 | 0.71 | 1.03 | 0.45 | ||
| 20 | −1.46 | 0.66 | 0.93 | 0.58 | |||
| 25 | −1.52 | 0.72 | 0.96 | 0.58 | |||
| 250 | 15 | −1.49 | 0.68 | 1.07 | 0.48 | ||
| 20 | −1.55 | 0.73 | 0.99 | 0.32 | |||
| 25 | −1.54 | 0.74 | 0.92 | 0.50 | |||
| RSA | 150 | 15 | −1.38 | 0.61 | 1.10 | 0.71 | |
| 20 | −1.39 | 0.61 | 1.01 | 0.80 | |||
| 25 | −1.29 | 0.54 | 1.04 | 0.91 | |||
| 200 | 15 | −1.38 | 0.63 | 0.84 | 1.01 | ||
| 20 | −1.48 | 0.68 | 0.73 | 0.77 | |||
| 25 | −1.42 | 0.66 | 0.97 | 0.82 | |||
| 250 | 15 | −1.45 | 0.67 | 0.94 | 0.74 | ||
| 20 | −1.52 | 0.75 | 0.88 | 0.83 | |||
| 25 | −1.50 | 0.67 | 1.05 | 0.21 | |||
| AOA | 150 | 15 | −1.65 | 0.79 | 0.97 | 0.00 | |
| 20 | −1.73 | 0.87 | 0.88 | 0.01 | |||
| 25 | −1.46 | 0.67 | 0.47 | 1.08 | |||
| 200 | 15 | −1.51 | 0.73 | 1.30 | 0.29 | ||
| 20 | −1.63 | 0.77 | 0.93 | 0.01 | |||
| 25 | −1.53 | 0.72 | 0.79 | 0.58 | |||
| 250 | 15 | −1.34 | 0.55 | 0.68 | 0.98 | ||
| 20 | −1.54 | 0.76 | 1.66 | −0.02 | |||
| 25 | −1.53 | 0.72 | 1.30 | 0.10 | |||
| SCA | 150 | 15 | −1.46 | 0.66 | 0.81 | 0.67 | |
| 20 | −1.55 | 0.74 | 1.19 | 0.21 | |||
| 25 | −1.51 | 0.69 | 1.05 | 0.35 | |||
| 200 | 15 | −1.40 | 0.61 | 1.00 | 0.48 | ||
| 20 | −1.52 | 0.72 | 0.75 | 0.71 | |||
| 25 | −1.54 | 0.74 | 0.85 | 0.62 | |||
| 250 | 15 | −1.53 | 0.73 | 1.19 | 0.23 | ||
| 20 | −1.53 | 0.73 | 0.90 | 0.63 | |||
| 25 | −1.43 | 0.62 | 0.95 | 0.55 | |||
| True Values | −1.50 | 0.70 | 1.00 | 0.50 | 0 | ||
| Algorithm | Generations (T) | Population (Np) | Design Parameters | Best Fitness | |||
|---|---|---|---|---|---|---|---|
| DMOA | 150 | 15 | −1.49 | 0.69 | 0.98 | 0.53 | |
| 20 | −1.50 | 0.70 | 0.98 | 0.50 | |||
| 25 | −1.50 | 0.70 | 0.98 | 0.51 | |||
| 200 | 15 | −1.50 | 0.69 | 0.99 | 0.51 | ||
| 20 | −1.50 | 0.70 | 0.98 | 0.50 | |||
| 25 | −1.50 | 0.70 | 0.99 | 0.51 | |||
| 250 | 15 | −1.50 | 0.70 | 0.99 | 0.50 | ||
| 20 | −1.50 | 0.70 | 0.99 | 0.51 | |||
| 25 | −1.50 | 0.70 | 0.99 | 0.50 | |||
| AO | 150 | 15 | −1.47 | 0.68 | 1.16 | 0.45 | |
| 20 | −1.50 | 0.68 | 0.82 | 0.51 | |||
| 25 | −1.48 | 0.67 | 0.88 | 0.53 | |||
| 200 | 15 | −1.48 | 0.65 | 0.89 | 0.44 | ||
| 20 | −1.45 | 0.66 | 0.87 | 0.68 | |||
| 25 | −1.49 | 0.69 | 0.97 | 0.49 | |||
| 250 | 15 | −1.54 | 0.74 | 0.76 | 0.68 | ||
| 20 | −1.39 | 0.60 | 1.04 | 0.57 | |||
| 25 | −1.58 | 0.76 | 1.19 | 0.20 | |||
| RSA | 150 | 15 | −1.53 | 0.74 | 1.19 | 0.41 | |
| 20 | −1.47 | 0.71 | 0.96 | 0.81 | |||
| 25 | −1.44 | 0.65 | 0.98 | 0.45 | |||
| 200 | 15 | −1.45 | 0.67 | 0.96 | 0.76 | ||
| 20 | −1.41 | 0.60 | 1.00 | 0.49 | |||
| 25 | −1.37 | 0.59 | 0.96 | 0.75 | |||
| 250 | 15 | −1.45 | 0.66 | 0.92 | 0.64 | ||
| 20 | −1.46 | 0.68 | 0.93 | 0.68 | |||
| 25 | −1.55 | 0.75 | 0.71 | 0.79 | |||
| AOA | 150 | 15 | −1.38 | 0.54 | 0.96 | 0.28 | |
| 20 | −1.60 | 0.79 | 0.02 | 1.33 | |||
| 25 | −1.49 | 0.71 | 1.66 | −0.00 | |||
| 200 | 15 | −1.51 | 0.76 | 1.14 | 0.73 | ||
| 20 | −1.43 | 0.65 | 1.65 | 0.02 | |||
| 25 | −1.41 | 0.62 | 1.54 | 0.01 | |||
| 250 | 15 | −1.66 | 0.84 | 0.92 | 0.38 | ||
| 20 | −1.40 | 0.64 | 1.09 | 0.78 | |||
| 25 | −1.42 | 0.62 | 1.41 | 0.06 | |||
| SCA | 150 | 15 | −1.51 | 0.71 | 0.90 | 0.52 | |
| 20 | −1.54 | 0.73 | 1.23 | 0.16 | |||
| 25 | −1.43 | 0.65 | 1.02 | 0.68 | |||
| 200 | 15 | −1.51 | 0.70 | 1.15 | 0.27 | ||
| 20 | −1.47 | 0.67 | 0.79 | 0.70 | |||
| 25 | −1.51 | 0.70 | 1.14 | 0.29 | |||
| 250 | 15 | −1.43 | 0.65 | 1.12 | 0.57 | ||
| 20 | −1.52 | 0.72 | 1.00 | 0.41 | |||
| 25 | −1.50 | 0.68 | 1.00 | 0.34 | |||
| True Values | −1.50 | 0.70 | 1.00 | 0.50 | 0 | ||
| Algorithm | Generations (T) | Population (Np) | Design Parameters | Best Fitness | |||
|---|---|---|---|---|---|---|---|
| DMOA | 150 | 15 | −1.50 | 0.70 | 0.98 | 0.53 | |
| 20 | −1.50 | 0.70 | 0.96 | 0.51 | |||
| 25 | −1.50 | 0.69 | 0.99 | 0.51 | |||
| 200 | 15 | −1.50 | 0.70 | 0.98 | 0.52 | ||
| 20 | −1.50 | 0.70 | 0.98 | 0.52 | |||
| 25 | −1.50 | 0.70 | 0.98 | 0.51 | |||
| 250 | 15 | −1.50 | 0.70 | 0.98 | 0.51 | ||
| 20 | −1.50 | 0.70 | 0.98 | 0.51 | |||
| 25 | −1.50 | 0.70 | 0.98 | 0.51 | |||
| AO | 150 | 15 | −1.57 | 0.77 | 0.98 | 0.43 | |
| 20 | −1.52 | 0.70 | 0.72 | 0.69 | |||
| 25 | −1.52 | 0.71 | 1.02 | 0.44 | |||
| 200 | 15 | −1.49 | 0.68 | 1.13 | 0.35 | ||
| 20 | −1.48 | 0.65 | 0.79 | 0.56 | |||
| 25 | −1.47 | 0.68 | 1.09 | 0.46 | |||
| 250 | 15 | −1.57 | 0.76 | 1.17 | 0.29 | ||
| 20 | −1.51 | 0.71 | 1.11 | 0.39 | |||
| 25 | −1.43 | 0.63 | 0.98 | 0.56 | |||
| RSA | 150 | 15 | −1.40 | 0.63 | 0.90 | 0.99 | |
| 20 | −1.38 | 0.61 | 0.88 | 0.95 | |||
| 25 | −1.38 | 0.62 | 0.92 | 0.96 | |||
| 200 | 15 | −1.47 | 0.67 | 0.55 | 0.95 | ||
| 20 | −1.53 | 0.75 | 1.01 | 0.63 | |||
| 25 | −1.38 | 0.61 | 0.91 | 0.84 | |||
| 250 | 15 | −1.48 | 0.66 | 0.92 | 0.50 | ||
| 20 | −1.56 | 0.77 | 0.81 | 0.66 | |||
| 25 | −1.48 | 0.70 | 0.67 | 0.95 | |||
| AOA | 150 | 15 | −1.78 | 0.95 | 1.57 | −0.37 | |
| 20 | −1.43 | 0.62 | 1.40 | 0.01 | |||
| 25 | −1.30 | 0.55 | 1.03 | 0.98 | |||
| 200 | 15 | −1.55 | 0.71 | 1.12 | 0.04 | ||
| 20 | −1.28 | 0.56 | 1.08 | 1.13 | |||
| 25 | −1.47 | 0.68 | 1.27 | 0.30 | |||
| 250 | 15 | −1.63 | 0.79 | 1.12 | 0.03 | ||
| 20 | −1.79 | 0.91 | 0.75 | 0.01 | |||
| 25 | −1.50 | 0.70 | 1.40 | 0.07 | |||
| SCA | 150 | 15 | −1.43 | 0.62 | 0.77 | 0.66 | |
| 20 | −1.44 | 0.65 | 1.00 | 0.65 | |||
| 25 | −1.50 | 0.71 | 1.12 | 0.32 | |||
| 200 | 15 | −1.44 | 0.66 | 0.94 | 0.68 | ||
| 20 | −1.49 | 0.69 | 0.92 | 0.60 | |||
| 25 | −1.49 | 0.69 | 0.97 | 0.56 | |||
| 250 | 15 | −1.48 | 0.69 | 0.99 | 0.63 | ||
| 20 | −1.52 | 0.70 | 0.71 | 0.63 | |||
| 25 | −1.52 | 0.70 | 1.08 | 0.30 | |||
| True Values | −1.50 | 0.70 | 1.00 | 0.50 | 0 | ||
Publisher’s Note: MDPI stays neutral with regard to jurisdictional claims in published maps and institutional affiliations. |
© 2022 by the authors. Licensee MDPI, Basel, Switzerland. This article is an open access article distributed under the terms and conditions of the Creative Commons Attribution (CC BY) license (https://creativecommons.org/licenses/by/4.0/).
Share and Cite
Mehmood, K.; Chaudhary, N.I.; Khan, Z.A.; Cheema, K.M.; Raja, M.A.Z.; Milyani, A.H.; Azhari, A.A. Dwarf Mongoose Optimization Metaheuristics for Autoregressive Exogenous Model Identification. Mathematics 2022, 10, 3821. https://doi.org/10.3390/math10203821
Mehmood K, Chaudhary NI, Khan ZA, Cheema KM, Raja MAZ, Milyani AH, Azhari AA. Dwarf Mongoose Optimization Metaheuristics for Autoregressive Exogenous Model Identification. Mathematics. 2022; 10(20):3821. https://doi.org/10.3390/math10203821
Chicago/Turabian StyleMehmood, Khizer, Naveed Ishtiaq Chaudhary, Zeshan Aslam Khan, Khalid Mehmood Cheema, Muhammad Asif Zahoor Raja, Ahmad H. Milyani, and Abdullah Ahmed Azhari. 2022. "Dwarf Mongoose Optimization Metaheuristics for Autoregressive Exogenous Model Identification" Mathematics 10, no. 20: 3821. https://doi.org/10.3390/math10203821
APA StyleMehmood, K., Chaudhary, N. I., Khan, Z. A., Cheema, K. M., Raja, M. A. Z., Milyani, A. H., & Azhari, A. A. (2022). Dwarf Mongoose Optimization Metaheuristics for Autoregressive Exogenous Model Identification. Mathematics, 10(20), 3821. https://doi.org/10.3390/math10203821

