Super-Accuracy Calculation for the Half Width of a Voigt Profile
Abstract
:1. Introduction
2. Methodology and Derivation
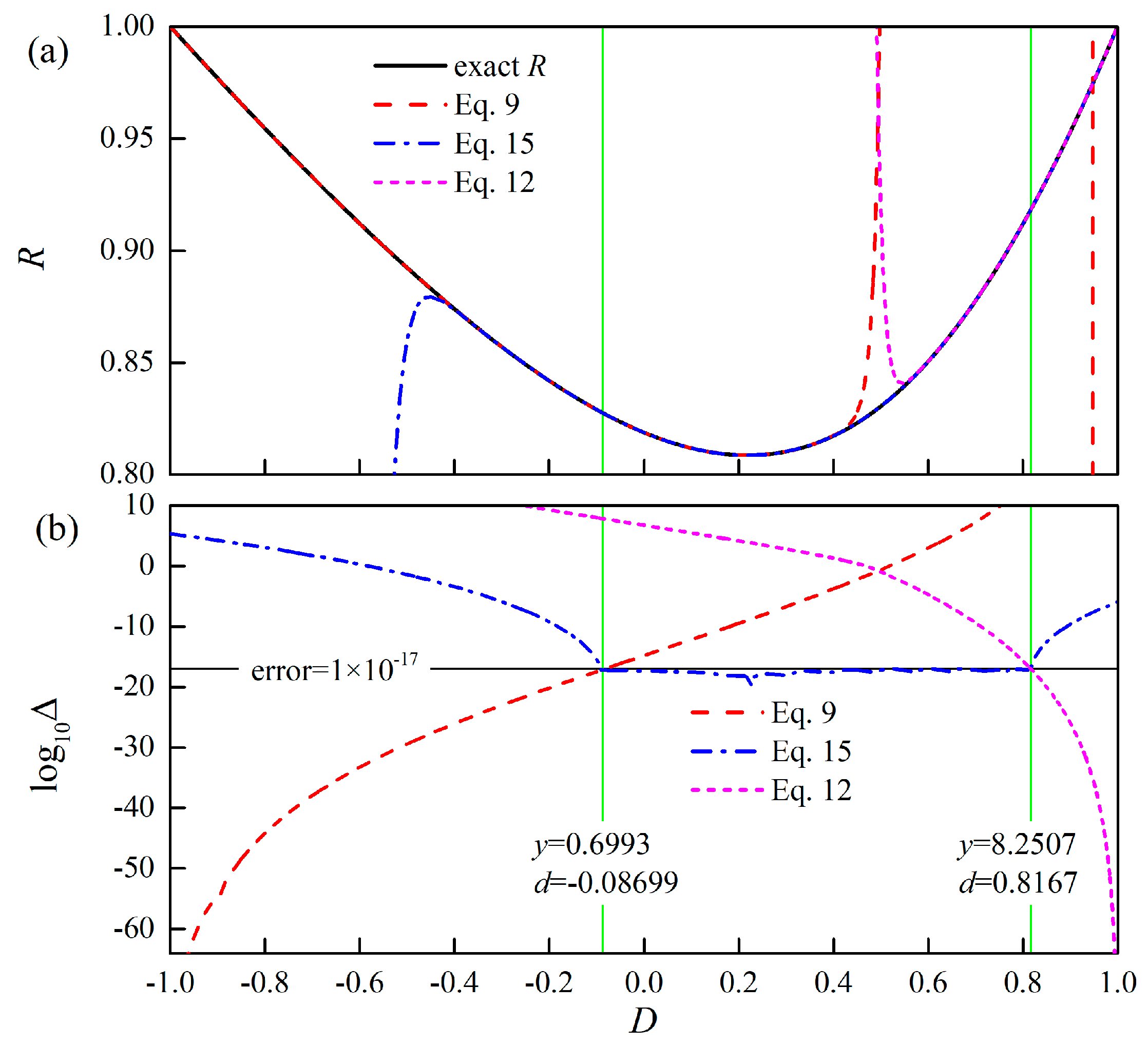
2.1. The Half Width of Voigt Profile with Small y (0 ≤ y ≤ 0.6993)
2.2. The Half Width of Voigt Profile with Large y (y ≥ 8.2507)
2.3. The Half Width of Voigt Profile with Middle y (0.6993 < y < 8.2507)
2.4. Half Width Approximation Scheme for Arbitrary Voigt Profile
3. Error Analysis
4. An Applicable Example: Doppler-Broadening Thermometry (DBT)
5. Conclusions
Author Contributions
Funding
Institutional Review Board Statement
Informed Consent Statement
Data Availability Statement
Conflicts of Interest
Appendix A
- Step 1: Series expansion for the factors in Equation (5) at y = 0
- Step 2: Calculate pr by the method of comparing coefficients
| n | pn | n | pn |
|---|---|---|---|
| 0 | 0.8325546111576977563531646448952 | 16 | 2.5308903977393059634088084205148 × 10−8 |
| 1 | 0.53254711842961210323020845059416 | 17 | −3.3104307709547517055285672959576 × 10−8 |
| 2 | 0.13603423870145348659601346974136 | 18 | −1.1821070040002130133075915099552 × 10−8 |
| 3 | −6.3839925995348583105863651935208 × 10−3 | 19 | 5.0020607880755762331999675884955 × 10−9 |
| 4 | −7.5882994178697868047017954181619 × 10−3 | 20 | 3.2040951850692659104678394048668 × 10−9 |
| 5 | 7.5685451134845100193553849814044 × 10−4 | 21 | −4.9276721508012916216290609360574 × 10−10 |
| 6 | 6.4174309726033170181322853645455 × 10−4 | 22 | −7.1352246104725448681836423474852 × 10−10 |
| 7 | −1.0278614365257442345642575963235 × 10−5 | 23 | −3.2407999521382539130974667691197 × 10−11 |
| 8 | −6.6864392638387619203117167133824 × 10−5 | 24 | 1.4010883014405512366881008147675 × 10−10 |
| 9 | −1.8800729899141457354675112660009 × 10−5 | 25 | 3.3772678382804066494130831543588 × 10−11 |
| 10 | 9.3901358253570724565409358708571 × 10−6 | 26 | −2.3680267709485323621904030934022 × 10−11 |
| 11 | 5.4149990265667553408636905696295 × 10−6 | 27 | −1.1462686830778835681784218983719 × 10−11 |
| 12 | −1.2862976252461744893956942201673 × 10−6 | 28 | 3.0039670445166124668988923778107 × 10−12 |
| 13 | −1.0759168918380548822306060203341 × 10−6 | 29 | 2.9478889620399924642669859987364 × 10−12 |
| 14 | 7.8733635964790862989086501951507 × 10−8 | 30 | −9.7467645599626148566298439388065 × 10−14 |
| 15 | 1.9255725519174188542320412973488 × 10−7 |
Appendix B
| n | Tn* | Tn | n | Tn* | Tn |
|---|---|---|---|---|---|
| 0 | / | 1 | 16 | ≈−25390179/211 + 1.1 × 10−35 | −25390179/211 |
| 1 | ≈0 + 1.5 × 10−20 | 0 | 17 | ≈0 + 1.1 × 10−15 | 0 |
| 2 | ≈3/2 − 7.5 × 10−41 | 3/2 | 18 | ≈446848569/212 − 1.1 × 10−34 | 446848569/212 |
| 3 | ≈0 − 7.5 × 10−21 | 0 | 19 | ≈0 + −1.1 × 10−14 | 0 |
| 4 | ≈−3/22 + 1.9 × 10−40 | −3/22 | 20 | ≈−1089694161/210 + 1.1 × 10−33 | −1089694161/210 |
| 5 | ≈0 + 1.9 × 10−20 | 0 | 21 | ≈0 + 1.1 × 10−13 | 0 |
| 6 | ≈15/23 − 7.6 × 10−40 | 15/23 | 22 | ≈46704949839/212 − 1.3 × 10−32 | 46704949839/212 |
| 7 | ≈0 − 7.6 × 10−20 | 0 | 23 | ≈0 − 1.3 × 10−12 | 0 |
| 8 | ≈−243/25 + 3.9 × 10−39 | −243/25 | 24 | ≈−8735832539883/216 + 1.7 × 10−31 | −8735832539883/216 |
| 9 | ≈0 + 3.9 × 10−19 | 0 | 25 | ≈0 + 1.7 × 10−11 | 0 |
| 10 | ≈2493/26 − 2.3 × 10−38 | 2493/26 | 26 | ≈221377058104455/217 − 2.3 × 10−30 | 221377058104455/217 |
| 11 | ≈0 − 2.3 × 10−18 | 0 | 27 | ≈0 − 2.3 × 10−10 | 0 |
| 12 | ≈−927/22 + 1.6 × 10−37 | −927/22 | 28 | ≈−6044700753428715/218 + 3.4 × 10−29 | −6044700753428715/218 |
| 13 | ≈0 + 1.6 × 10−17 | 0 | 29 | ≈0 + 3.4 × 10−9 | 0 |
| 14 | ≈405783/28 − 1.2 × 10−36 | 405783/28 | 30 | ≈176955754371862947/219 + 3.9 × 10−8 | 176955754371862947/219 |
| 15 | ≈0 − 1.2 × 10−16 | 0 |
Appendix C
| n | un | n | un |
|---|---|---|---|
| 0 | 0.81879767981374096480451126966969 | 16 | −11.608186550060767559947858982236 |
| 1 | −0.087358831239253690600565585478191 | 17 | 98.530866614251729915080851559823 |
| 2 | 0.16111263881308988360982026625923 | 18 | −520.58001078415212154632736105054 |
| 3 | 0.10352476879958392716101379868109 | 19 | 1996.0992356052342655084175033613 |
| 4 | 0.044701941374241324794152587529398 | 20 | −5861.8655902675083091764869931816 |
| 5 | −0.0014922440275783965022042298334427 | 21 | 13508.475417035315538373423012345 |
| 6 | −0.025999766558392062049748550766996 | 22 | −24679.618517222644663493302537093 |
| 7 | −0.027433278283219905509735236616617 | 23 | 35800.136359576107078418696532107 |
| 8 | −0.012324451041403454228824532372558 | 24 | −41003.133466095685472430284467431 |
| 9 | 0.0076580003679061144826236693340858 | 25 | 36602.695793508138571786897415062 |
| 10 | 0.020609356479185309053858762785961 | 26 | −24908.669183448932665943004856528 |
| 11 | 0.019910337726501870836014131102016 | 27 | 12466.93366679248692417862886569 |
| 12 | 0.0077590409364772777791275317929576 | 28 | −4321.2090018088841034237110866818 |
| 13 | −0.047206722791611042489905888231109 | 29 | 925.71414182435000624708620108582 |
| 14 | 0.16487160565916573888004662456667 | 30 | −92.27479145146679165668461921968 |
| 15 | 0.22613547743220062910838574670492 |
References
- Irmak, H. Various results for series expansions of the error functions with the complex variable and some of their implications. Turk. J. Math. 2020, 44, 1640–1648. [Google Scholar] [CrossRef]
- Abrarov, S.M.; Quine, B.M.; Jagpal, R.K. A sampling-based approximation of the complex error function and its implementation without poles. Appl. Numer. Math. 2018, 129, 181–191. [Google Scholar] [CrossRef] [Green Version]
- Abrarov, S.M.; Quine, B.M. A rational approximation for efficient computation of the Voigt function in quantitative spectroscopy. J. Math. Res. 2015, 7, 163–174. [Google Scholar] [CrossRef]
- Wang, Y.; Zhou, B.; Liu, C. Calibration-free wavelength modulation spectroscopy based on even-order harmonics. Opt. Express 2021, 29, 26618–26633. [Google Scholar] [CrossRef] [PubMed]
- Enemali, G.; Zhang, R.; Mccann, H.; Liu, C. Cost-Effective Quasi-Parallel Sensing Instrumentation for Industrial Chemical Species Tomography. IEEE Trans. Ind. Electron. 2021, 69, 2107–2116. [Google Scholar] [CrossRef]
- Wang, Y.; Zhou, B.; Liu, C. Sensitivity and Accuracy Enhanced Wavelength Modulation Spectroscopy Based on PSD Analysis. IEEE Photonics Technol. Lett. 2021, 33, 1487–1490. [Google Scholar] [CrossRef]
- Chen, M.; Meng, Z.; Wang, J.; Chen, W. Ultra-narrow linewidth measurement based on Voigt profile fitting. Opt. Express 2015, 23, 6803–6808. [Google Scholar] [CrossRef]
- Selig, M.; Berghaeuser, G.; Raja, A.; Nagler, P.; Schueller, C.; Heinz, T.F.; Korn, T.; Chernikov, A.; Malic, E.; Knorr, A. Excitonic linewidth and coherence lifetime in monolayer transition metal dichalcogenides. Nat. Commun. 2016, 7, 3279. [Google Scholar] [CrossRef]
- Zektzer, R.; Stern, L.; Mazurski, N.; Levy, U. Enhanced light-matter interactions in plasmonic-molecular gas hybrid system. Optica 2018, 5, 486–494. [Google Scholar] [CrossRef]
- Antunes, B.; Velo-Antón, G.; Buckley, D.; Pereira, R.J.; Martínez-Solano, I. Characterization of an Atmospheric-Pressure Helium Plasma Generated by 2.45-GHz Microwave Power. Heredity 2012, 40, 3476–3481. [Google Scholar]
- Hariri, A.; Sarikhani, S.J.O.A. Intrinsic linewidth calculation in an argon X-ray laser based on the model of geometrically dependent gain coefficient. Opt. Appl. 2017, 47, 325–335. [Google Scholar]
- Gotti, R.; Moretti, L.; Gatti, D.; Castrillo, A.; Galzerano, G.; Laporta, P.; Gianfrani, L.; Marangoni, M. Cavity-ring-down Doppler-broadening primary thermometry. Phys. Rev. A 2018, 97, 012512. [Google Scholar] [CrossRef] [Green Version]
- Whiting, E.E. An empirical approximation to the Voigt profile. J. Quant. Spectrosc. Radiat. Transf. 1968, 8, 1379–1384. [Google Scholar] [CrossRef]
- Matveev, V.S. Approximate representations of absorption coefficient and equivaleńt widths of lines with voigt profile. J. Appl. Spectrosc. 1972, 16, 168–172. [Google Scholar] [CrossRef]
- Kielkopf, J.F. New approximation to Voigt function with applications to spectral-line profile analysis. J. Opt. Soc. Am. 1973, 63, 987–995. [Google Scholar] [CrossRef]
- Thompson, P.; Cox, D.E.; Hastings, J.B. Rietveld refinement of Debye–Scherrer synchrotron X-ray data from Al2O3. J. Appl. Crystallogr. 1987, 20, 79–83. [Google Scholar] [CrossRef] [Green Version]
- Olivero, J.J.; Longbothum, R.L. Empirical fits to Voigt line width: Brief review. J. Quant. Spectrosc. Radiat. Transf. 1977, 17, 233–236. [Google Scholar] [CrossRef]
- Rutkowski, L.; Masłowski, P.; Johansson, A.C.; Khodabakhsh, A.; Foltynowicz, A. Optical frequency comb Fourier transform spectroscopy with sub-nominal resolution and precision beyond the Voigt profile. J. Quant. Spectrosc. Radiat. Transf. 2018, 204, 63–73. [Google Scholar] [CrossRef]
- Poppe, G.P.M.; Wijers, C.M.J. More efficient computation of the complex error function. ACM Trans. Math. Softw. 1990, 16, 38–46. [Google Scholar] [CrossRef] [Green Version]
- Poppe, G.P.M.; Wijers, C.M.J. Evaluation of the complex error function. ACM Trans. Math. Softw. 1990, 16, 47. [Google Scholar] [CrossRef]
- Zaghloul, M.R.; Ali, A.N. Algorithm 916: Computing the Faddeyeva and Voigt Functions. ACM Trans. Math. Softw. 2011, 38, 1–22. [Google Scholar] [CrossRef]
- Boyer, W.; Lynas-Gray, A.E. Evaluation of the Voigt function to arbitrary precision. Mon. Not. R. Astron. Soc. 2014, 444, 2555–2560. [Google Scholar] [CrossRef]
- Molin, P. Multi-Precision Computation of the Complex Error Function. 2011. Available online: https://hal.archives-ouvertes.fr/hal-00580855 (accessed on 26 December 2021).
- Pan, Y.; Liao, W.; Wang, H.; Yao, Y.; Cai, J.; Qu, J. Cesium atomic Doppler broadening thermometry for room temperature measurement. Chin. Opt. Lett. 2019, 17, 060201. [Google Scholar] [CrossRef]
- Schreier, F. Optimized implementations of rational approximations for the Voigt and complex error function. J. Quant. Spectrosc. Radiat. Transf. 2011, 112, 1010–1025. [Google Scholar] [CrossRef]
- Armstrong, B.H. Spectrum line profiles: The Voigt function. J. Quant. Spectrosc. Radiat. Transf. 1967, 7, 61–88. [Google Scholar] [CrossRef]
- Press, W.H.; Teukolsky, S.A.; Vetterling, W.T.; Flannery, B.P. Numerical Recipes with Source Code CD-ROM: The Art of Scientific Computing, 3rd ed.; Cambridge University Press: Cambridge, UK, 2007. [Google Scholar]
- Gordon, I.E.; Rothman, L.S.; Hargreaves, R.J.; Hashemi, R.; Karlovets, E.V.; Skinner, F.M.; Conway, E.K.; Hill, C.; Kochanov, R.V.; Tan, Y.; et al. The HITRAN2020 molecular spectroscopic database. J. Quant. Spectrosc. Radiat. Transf. 2022, 277, 107949. [Google Scholar] [CrossRef]
- Yin, Z.-Q.; Wu, C.; Gong, W.-Y.; Gong, Z.-K.; Wang, Y.-J. Voigt profile function and its maximum. Acta Phys. Sin. 2013, 62, 123301. (In Chinese) [Google Scholar] [CrossRef]




Publisher’s Note: MDPI stays neutral with regard to jurisdictional claims in published maps and institutional affiliations. |
© 2022 by the authors. Licensee MDPI, Basel, Switzerland. This article is an open access article distributed under the terms and conditions of the Creative Commons Attribution (CC BY) license (https://creativecommons.org/licenses/by/4.0/).
Share and Cite
Wang, Y.; Zhou, B.; Zhao, R.; Wang, B.; Liu, Q.; Dai, M. Super-Accuracy Calculation for the Half Width of a Voigt Profile. Mathematics 2022, 10, 210. https://doi.org/10.3390/math10020210
Wang Y, Zhou B, Zhao R, Wang B, Liu Q, Dai M. Super-Accuracy Calculation for the Half Width of a Voigt Profile. Mathematics. 2022; 10(2):210. https://doi.org/10.3390/math10020210
Chicago/Turabian StyleWang, Yihong, Bin Zhou, Rong Zhao, Bubin Wang, Qi Liu, and Minglu Dai. 2022. "Super-Accuracy Calculation for the Half Width of a Voigt Profile" Mathematics 10, no. 2: 210. https://doi.org/10.3390/math10020210
APA StyleWang, Y., Zhou, B., Zhao, R., Wang, B., Liu, Q., & Dai, M. (2022). Super-Accuracy Calculation for the Half Width of a Voigt Profile. Mathematics, 10(2), 210. https://doi.org/10.3390/math10020210

