Next Article in Journal
Study on a Strong and Weak n-Connected Total Perfect k-Dominating set in Fuzzy Graphs
Next Article in Special Issue
Joint Models for Incomplete Longitudinal Data and Time-to-Event Data
Previous Article in Journal
Secure DNA-Coding Image Optical Communication Using Non-Degenerate Hyperchaos and Dynamic Secret-Key
 
 
Font Type:
Arial Georgia Verdana
Font Size:
Aa Aa Aa
Line Spacing:
Column Width:
Background:
Article

Spatial Outlier Accommodation Using a Spatial Variance Shift Outlier Model

by
Ali Mohammed Baba
1,2,
Habshah Midi
1,3,* and
Nur Haizum Abd Rahman
1,3
1
Institute for Mathematical Research, Universiti Putra Malaysia, Serdang 43400, Selangor, Malaysia
2
Department of Mathematical Sciences, Abubakar Tafawa Balewa University, Bauchi 0248, Nigeria
3
Department of Mathematics and Statistics, Faculty of Science, Universiti Putra Malaysia, Serdang 43400, Selangor, Malaysia
*
Author to whom correspondence should be addressed.
Mathematics 2022, 10(17), 3182; https://doi.org/10.3390/math10173182
Submission received: 13 July 2022 / Revised: 18 August 2022 / Accepted: 30 August 2022 / Published: 3 September 2022
(This article belongs to the Special Issue Statistical Theory and Application)

Abstract

:
Outlier detection has been a long-debated subject among researchers due to its effect on model fitting. Spatial outlier detection has received considerable attention in the recent past. On the other hand, outlier accommodation, particularly in spatial applications, retains vital information about the model. It is pertinent to develop a method that is capable of accommodating detected spatial outliers in a fashion that retains vital information in the spatial models. In this paper, we formulate the variance shift outlier model (SVSOM) in the spatial regression as a robust spatial model using restricted maximum likelihood (REML) and use weights based on the detected outliers in the model. The spatial outliers are accommodated via a revised model for the outlier observations with the help of the SVSOM. Simulation results show that the SVSOM, based on the detected spatial outliers is more efficient than the general spatial model (GSM). The findings of this study also reveal that contamination in the residuals and x variable have little effect on the parameter estimates of the SVSOM, and that outliers in the y variable are always detectable. Asymptotic distribution of the squared spatial prediction residuals are obtained to confirm the outlyingness of an observation. The merit of or proposed SVSOM for the detection and accommodating outliers is also confirmed using artificial and COVID-19 data sets.
MSC:
62-08; 62H11; 62M10; 62P12; 65C20

1. Introduction

The Mean-Shift Outlier Model (MSOM) [1] and Variance Inflation Outlier Model (VIOM) [2] are the widely employed models in outlier accommodation in the literature. MSOM and VIOM are used not only for outlier accommodation but also for the detection of spatial outliers in the general spatial model as in the case of [3,4] in geodesy. Cook et al. [1] noted that MSOM assumes that there is a shift in average of at least one of the responses, whereas [2,5,6] described MSOM as case deletion for single observation that allows for a shift in the mean of the observations in question.
Outliers are those observations with large studentized residuals when the method of maximum likelihood (ML) or the ordinary least squares (OLS) are used in fitting the models. In the MSOM, the OLS are formulated with a dummy variable that assigns 1 for outlier and 0 otherwise. Insolia et al. [7] noted that outliers detected through MSOM are assigned the weight 0 and hence, removed from the model, while the VIOM assumes that outliers result from inflation in the error variances [2].
Cook [2] also noted that the MSOM is a fixed effect model and VIOM is viewed as random effect version generated with certain variance. Beckman et al. [8] highlighted that observations with inflated variance do not necessarily correspond to observation with large studentized residuals. Where the two correspond, however, then MSOM and VIOM agree with respect to the outlying models. According to [8], employment of either MSOM or VIOM for accommodation depends on the relevance of the outlier; when it is assumed that the outlier contains vital information about the parameter in the model, VIOM is adopted, otherwise the MSOM is adopted.
The VIOM outliers are retained in the model in a weighted fit with the weight of each observation being inversely proportional to the variance of its random effect. Similar to the VIOM is the Variance Shift Outlier Model (VSOM). Gumedze [9] adopted the term VSOM to focus on detecting the outliers and subsequently accommodate them in the model as shift in variance. Cook and Weisberg [2] estimated the parameters of the fitted VSOM using the ML. Zimmerman [10] suggested that the ML are biased due to “loss in degrees of freedom” from estimating the regression parameters.
A variant of the ML, which addressed the problem of loss in degree of freedom, Residual (Restricted) Maximum Likelihood (REML), is earlier adopted by [5] to estimate parameters in VSOM, where [6,9,11] employed VSOM as a robust outlier detection method. The VSOM is used to detect observations with inflated variance to isolate them for further investigation with earlier applications that include [12,13].
VSOM has advantage of downweighting outliers in the analysis, where weighting is automatically determined as part of estimation procedure [9]. In some recent applications, Zhang et al. [14] adopted MSOM for detection and accommodation of outliers in meta regression in a similar way [11] adopted VSOM in meta-analysis. In the same vein, Insolia et al. [7] claimed that VSOM achieves higher accuracy than MSOM due to accommodating outlier.
Gumedze [9] proposed Likelihood Ratio (LR) test for determining whether an observation has inflated variance. Dai et al. [3] employed MSOM and VIOM for outlier detection and accommodation in spatial statistics using the ML in line with [15,16,17]. However, the ML is biased in estimating the regression parameters as noted by [5,10].
Insolia et al. [7] relaxed the assumptions of constant variance through a parametric outlier model with parameterization that allows for two distinct groups of outliers that affect both the mean-shift and variance shift in the model. They stated that the parametrization is a mixed linear model that contain both fixed effect and random effect. They observed that combining mean-shift and variance shift could lead to over-parametrization. They further noticed that the VIOM is a generalization of the MSOM, since they are both functions of the studentized residuals.
Dai et al. [3] adopted VIOM in spatial outlier detection and accommodation. However, they used the ML that is deficient of loss in degrees of freedom in their estimation. In addition, they accommodated the spatial outliers as a group instead of a fashion that will capture the spatial contiguity of the outlier as a block. These motivated us to accommodate the outliers with the proposed spatial variance shift outlier model (SVSOM) using the REML. Spatial outliers are accommodated based on spatial weights that contain neighborhood information, in the dependent variable and residuals of the spatial observations.
The variance shift outlier model (VSOM) is introduced in the classical regression model with the main aim of detecting observations with inflated variance and isolate them for further investigation. The attractive features of VSOM is the downweighting of those observations instead of deleting them, with the weights determined automatically as part of the estimation procedure. It is now evident that spatial outlier contains vital information about the outlier observation and also has an adverse effect on the computed values of various estimates.
Local instability, for example, can be discovered by identifying spatial outliers, which can lead to the discovery of unexpected, fascinating and implicit knowledge. In a variety of application, such as traffic control, satellite image analysis, weather forecasting and medical diagnostics, spatial outliers may disclose relevant occurrences [18,19]. In this regard, the formulation of VSOM in the spatial regression model to handle these issues has become pertinent.
In this article, the Variance Shift Outlier Model in the spatial representation using the Restricted Maximum Likelihood (REML) is formulated in the general spatial regression model (GSM). We call this model the spatial variance shift outlier model (SVSOM). The REML is used to estimate the variance components of the model where weights are incorporated based on the detected outliers in the model. A bootstrap method is used to generate the sampling distribution of the squared spatial studentized residuals so as to confirm the outlyingness of the detected outliers.
The rest of the paper is organized as follows: Section 2 reviews the classical form of the variance shift outlier model. Section 3 presents the proposed spatial variance shift outlier model and its representations. Section 4 demonstrates the accommodation of the detected outliers using the weights based on the detected outliers. Section 5 presents the simulation process and its results, and Section 6 demonstrates the performance of the SVSOM using real life data. Finally, Section 7 presents the conclusion of the article.

2. Variance Shift Outlier Model in the Classical Regression Model

The Variance Shift Outlier Model (VSOM) is a mixed effect model with a defined random effect that focuses on detecting outliers and then accommodating them into the model under the assumption that there is a shift in the variance of the outlier observations.
Consider the classical regression model:
y = X β + ε , ε M V N ( 0 , σ 2 I ) ,
where y is an n × 1 vector of the response variable, X is an n × k matrix of independent variable, β is k × 1 vector of regression parameters, and ε is an n × 1 vector of the error terms, which is multivariate normally distributed (MVN). Define a dummy variable D i , which is an n × 1 vector, with value 1 for position indexed by i and 0 otherwise. Furthermore, define, ψ i , an unknown random coefficient such that ψ i N ( 0 , σ 2 ω i D i D i T ) , where ω i is the measure of inflation in the variance, σ 2 , i = 1 , 2 , , n . The VSOM in linear regression model is given by
y = X β + D i ψ i + ε   M V N ( X β , σ 2 ( ω i D i D i + I n ) ) ,
where ω i 0 . The variance of any ith observation is given by σ 2 ( ω i + 1 ) . All observations with inflated variance would have variance shift from σ 2 to σ 2 ( ω i + 1 ) . The Residual Maximum Likelihood (REML) by [5] is used to estimate the coefficients of the model in Equation (2). Thompson [5] and Gumedze [9] have shown that the REML estimates of the variance components are given by
σ ^ 2 = ( n     k     t i 2 ) σ ^ 0 2 n     k     1 t i 2 > 1 σ ^ 0 2 o t h e r w i s e
and
ω ^ i = ( n     k ) ( t i 2     1 ) ( 1     p i i ) ( n     k     t i 2 ) t i 2 > 1 0 o t h e r w i s e ,
where σ 0 2 = ( y     y ^ ) T ( y     y ^ ) n     k , t i 2 = ( y     y ^ ) 2 σ 0 2 ( 1     p i i ) , p i i is the ith diagonal term of the matrix X ( X T X ) 1 X T and k is the number of regression parameters.

3. The Proposed VSOM in Spatial Regression Model (SVSOM)

The general spatial model (GSM) [3,15,16] is a regression model that contains spatial autoregression in the dependent variable and the residual terms. Special cases of the spatial regression models are the spatial autoregressive-regressive model (SAR) and the spatial error autoregression model (SEM) that are deduced from the general spatial regression model when the coefficient of spatial autocorrelation in the residual term is zero, and the coefficient of spatial autoregression in the dependent variable is zero, respectively. The general spatial model is given in Equation (5).
y = ρ W 1 y + X β + ξ , ξ = λ W 2 ξ + ε , ε M V N ( 0 , σ 2 I ) .
Equation (5) can be re-written as
A y = X β + B 1 ε ,
where y is an n × 1 vector of response variable, X is an n × k matrix of independent variables, A = I     ρ W 1 , B = I     λ W 2 , ξ = B 1 ε , ε is the vector of random residual terms, ρ is the coefficient of spatial autocorrelation in the dependent variable W 1 y , and λ is the coefficient of spatial autocorrelation in the residual term. W 1 and W 2 are n × n spatial weight square matrices. From Equation (6), we have A y M V N ( X β , σ 2 V 1 ) ; V 1 = B T B .
We adopt the VSOM in linear regression and formulate it to spatial regression model. We call the model as Spatial VSOM (SVSOM) and is given by
A y = X β + D i ψ i + B 1 ε ,
where D i is an n × 1 vector with value 1 for position indexed by i and 0 otherwise. ψ i N ( 0 , σ s 2 ω s i D i D i T ) , and ω s i is the weight measure that determines inflation in the variance, σ s 2 . The expression in Equation (7) is similar to the variance-weight formulation of [3].
We pre-multiplying Equation (7) by B to obtain a generalized least squares (GLS) form
B A y = B X β + B D i ψ i + ε y = X β + D i ψ i + ε , ( B D i = D i ) y M V N ( X β , σ 2 ( ω s i D i D i T + I ) ) , y = B A y , X = B X y M V N ( X β , σ 2 U i ) .
where U i = ω s i D i D i T + I , ω s i > 0 . Similarly, U i is a diagonal matrix with the ith diagonal element of value ω s i + 1 , where ω s i is the inflation in variance of y i .
The model in Equation (9) is taken as the null model, which is equivalent to Equation (8) when ψ i = 0 . This is because, in the null model, the index variable, D i is 0 . Hence, it is the GLS form of the GSM.
y = X β + ε .
The parameter estimate of the null model (9) is as follows
β ^ 0 = ( X T X ) 1 X T y   = ( X T V ^ 1 X ) 1 X T V ^ 1 A ^ y ,
where A ^ = I     ρ ^ W 1 , V ^ 1 = B ^ T B ^ , B ^ = I     λ ^ W 2 . ρ ^ and λ ^ are the iteratively obtained ML estimates of ρ and λ , respectively. The variance estimate for the null model is σ ^ s 0 2 = e T e n k , with e = B ^ A ^ ( y     y ^ 0 ) , and y ^ 0 = A ^ 1 X ( X T V ^     1 X ) 1 X T V ^ 1 A ^ y .
As per [9], the estimations for ψ i and ω s i can be obtained using mixed model equations for model (7) as given by
D i T D i + ω s i 1 D i T X X T D i X T X ψ ^ i β ^ = D i T y X T y .
By using the REML method, the estimates of β and ψ i are given by
β ^ = ( X T U i 1 X ) 1 X T U i 1 y   = ( X T Δ ^ i X ) 1 X T Δ ^ i A ^ y
and
ψ ^ i = ω ^ s i D i P U y   = ω ^ s i D i P U B ^ A ^ y ,
where Δ ^ i = B ^ T U i 1 B ^ and
P U = U i 1     U i 1 X ( X T U i 1 X ) 1 X T U i 1   = U i 1     U i 1 B ^ X ( X T Δ ^ i X ) 1 X T B ^ T U i 1 ,
P U is such that X T P U = P U X = 0 . ω ^ s i is a variance component estimate, which is obtained using REML instead of ML. The variance component estimation for the SVSOM is obtained using the REML log likelihood function l i ( ω s i , σ s 2 , y ) as follows.
l i ( ω s i , σ s 2 ; y ) =     1 2 ( n     k ) l o g σ s 2 + l o g | U i | + l o g | X T Δ ^ i X | + ( A ^ y     X β ^ ) T Δ ^ i ( A ^ y     X β ^ ) σ s 2   =     1 2 ( n     k ) l o g σ s 2 + l o g | U i | + l o g | X T Δ ^ i X | + ( A ^ y ) T P Δ A ^ y σ s 2 ,
where P Δ = Δ ^ i     Δ ^ i X ( X T Δ ^ i X ) 1 X T Δ ^ i .
We adopt the method of [5] for obtaining the estimate of the variance components in the classical regression model and extend this to the proposed SVSOM model. The idea is to first develop method of identifying influential observations for spatial regression and then define σ ^ s 2 and ω ^ s i using measures that encompass spatial information as follows
σ ^ s 2 = ( n     k     t s i 2 ) σ ^ s 0 2 n     k     1 t s i 2 > 1 σ ^ s 0 2 o t h e r w i s e
and
ω ^ s i = ( n     k ) ( t s i 2     1 ) q s i ( n     k     t s i 2 ) t s i 2 > 1 0 o t h e r w i s e
where t s i and σ ^ s 0 2 are the spatial studentized prediction residuals and residuals variance under null model, respectively, q s i = 1     p s i and p s i = D i T B ^ X ( X V ^     1 X ) X T B ^ T D i is the spatial leverage of the ith observation. The representations in Equations (12) and (13) use the same criteria of classifying suspicious observations in classical regression model, where [9] employed t i as in Equations (3) and (4).
Here, we propose using the spatial studentized prediction residual, t s i , which is given by t s i = b ^ i T A ^ r s i σ ^ s 0 q s i , where r s i = y i     y ^ i , b i is the ith column of matrix B ^ . The t s i is the spatial studentized prediction residual that contains information on the spatial neighbourhood in both the dependent variable and residual term. The σ ^ s 0 2 is the REML estimator of σ s 2 , which is smaller than the ML estimator by n n     k , as defined in Equation (9).

3.1. Identification of Inflation in Variance

In order to identify observations with inflated variance, index plot of the ω ^ s i are plotted. Accordingly, the largest t s i 2 and σ ^ s 0 2 ( 1 + ω ^ s i ) are obtained to determine observations with inflated variance with the aid of Equations (12) and (13). The log-likelihood, l i ( Φ 0 ; y i ) , is calculated for each of the ith observation. Observation with largest log-likelihood value has inflated variance and hence a potential outlier [5]. In order to determine if the ith observation has inflated variance or not, refs. [6,9,11] test the hypothesis
H 0 : ω s i = 0 a g a i n s t H 1 : ω s i > 0
using the likelihood ratio test,
L R i =     2 ( l i ( Φ 0 ; y )     l i ( Φ i ; y ) ) ,
as in the case of [6,9,11], where Φ 0 = ( 0 , σ ^ s 0 2 ) and Φ i = ( ω s i , σ ^ s 2 ) .
The residual log-likelihood function under null and alternative hypotheses are given by
l i ( Φ 0 ; y ) =     1 2 ( n     k ) l o g σ ^ s 0 2 + l o g | X T X | + ( n     k )   =     1 2 ( n     k ) l o g σ ^ s 0 2 + l o g | X T V ^ 1 X | + ( n     k ) .
and
l i ( Φ i ; y ) =     1 2 ( n     k     1 ) l o g n     k     t s i 2 n     k     1 + ( n     k ) l o g σ ^ s 0 2 + l o g | X T X | + l o g t s i 2 + ( n     k ) =     1 2 ( n     k     1 ) l o g n     k     t s i 2 n     k     1 + ( n     k ) l o g σ ^ s 0 2 + l o g | X T V ^ 1 X | + l o g t s i 2 + ( n     k ) ,
respectively. The L R i follows the χ 2 distribution [3,4,6,11,20] with degrees of freedom equals to the difference between model parameters in the two hypotheses. Gumedze et al. [6] noted that the standard asymptotic theory does not hold due to the fact that the null hypothesis lies on the boundary of the parameter space. They adopted the parametric bootstrap to obtain the sampling distribution of the likelihood ratio test. The L R i is a monotonically increasing function of t s i 2 and hence the hypothesis (14) can be tested directly based on t s i 2 instead, as noted by [9,11].

3.2. Proposed Asymptotic Distribution of the t s i 2

In line with [6], a bootstrap method is adopted in generating the sampling distribution of the squared spatial studentized residuals ( t s i 2 ) to confirm the outlyingness of the detected spatial outliers.
The sampling distribution of the t s i 2 is obtained from the following steps:
  • The GSM in Equation (9) is fitted to obtain ρ ^ , λ ^ , β ^ and σ ^ s 2 .
  • Using the estimated ρ ^ , λ ^ , β ^ and X, generate a new set of dependent variable, y ˜ , such that
    y ˜ = ρ ^ W 1 y ˜ + X β ^ + ( I     λ ^ W 2 ) 1 ε ˜ ,
    with ε ˜ ( 0 , σ ^ s 2 )
  • With the newly generated y ˜ , fit Equation (9) and get the squared spatial studentized residuals ( t s i 2 ). Compute 100 ( 1     α )% percentile of the t s i 2 for any suitable α .
  • Repeat step 3 10,000 times to generate the empirical distribution of the t s i 2 and save in a vector t s .
  • Calculate the median of the vector t s in step 4 as a threshold for t s i 2 .
  • Declare any ith observation whose t s i 2 exceeds the threshold as an outlier.
Any observation declared as outlier based on the detection method and confirmed by the asymptotic t s i 2 , calls for a revised model for each of the outlying observations.

4. Spatial Outlier Accommodation

Thompson [5] and Gumedze [9] used the classical regression equivalence of the variance components in Equations (12) and (13) to decide whether an observations has inflated variance based on squared studentized residuals value ( t i 2 ), which is larger than 1, i.e., t i 2 > 1 . They used the t i 2 to subject the ith observation for investigation using the hypothesis in Equation (14). Instead, we adopt the variance components in Equations (12) and (13) to accommodate the spatial outliers based on any method that could differ with [5,6,9].
Consider a robust diagnostic method, i.e., Robust Spatial Diagnostic Plot (RSDP) [21], which performs well in detecting spatial outliers in both X and y directions. We will therefore employ the RSDP for the spatial outlier accommodation illustration. Define the set O s as a set of spatial outliers detected by RSDP. Thus, we define the weight of the spatial outlier as given in Equation (16) based on the RSDP and estimate the parameters in Equation (10) using this weight, ω ^ s i
ω ^ s i = ( n     k ) ( t s i 2     1 ) q s i ( n     k     t s i 2 ) f o r   i   i n   O s 0 o t h e r w i s e
Once the weight, ω ^ s i , is computed for each of the detected outliers in the set O s , the model in Equation (8) is fitted, where a revised model based on the size of the weight of the outlier locations is constructed.

5. Simulation Experiment

In this section, we report a simulation study that is designed to investigate the performance of SVSOM model compared to GSM model. The spatial regression model in Equation (5) is simulated for a 20 × 20 spatial grid, n = 400 , W 1 = W 2 = W (row standardized Queen’s contiguity spatial weights), β 0 = 1 and β 1 = 10 fixed throughout the simulation study for ( ρ = 0.4 , λ = 0.5 ) and ( ρ = 0.7 , λ = 0.8 ) . x 0 = 1 (vector of ones), x 1 U n i f ( 0 , 10 ) , and the error term is ε M V N ( 0 , σ s 2 I ) , where σ s 2 is varied at 0.01, 0.10 and 1.00.
The simulation is run under five different contaminations: contamination on the dependent variable, y; contamination on the residual term, ε ; contamination on the dependent variable and the residual term; contamination on the independent variable, x, and the residual term; and contamination on y, ε and the x variable. The contamination on the dependent variable, y, is chosen such that they lie within the two extremes of the values (minimum and maximum).
They are only different from their neighbourhood values according to the first law of geography: “everything is related to everything else, but near things are more related than distant things” [22]. The contamination in the dependent variable, y, are location (1, 10) (with serial number 10) = 30 for ρ = 0.4 , λ = 0.5 and 90 for ρ = 0.7 , λ = 0.8 , location (10, 10) (with serial number 200) = 140 for ρ = 0.4 , λ = 0.5 and 240 for ρ = 0.7 , λ = 0.8 . The contamination in the residuals is assigned to location (1, 6) (with serial number 6) = 5 and location (14, 6) (with serial number 286) = −4.
The contamination in the x variable is assigned on the x 1 at the location (2, 6) (with serial number 26) = 15 and location (14, 6) (with serial number 286) = 10. The same locations are used for combination of contaminations. Furthermore, the same contamination locations and values are maintained for the residuals ( ε ) and x variable. The simulation is run 5000 times for each of the combination of contamination source for different values of σ s 2 and ( ρ , λ ) .
As per [7], the metric employed to measure the performance of the GSM and SVSOM in the presence of contamination is the Means Squared Error (MSE) of β ^ ( M S E ( β ^ ) ).
M S E ( β ^ ) = j = 1 k M S E ( β ^ j ) k , k = 2 , j = 1 , , k , i = 1 N .
where k is the number of parameters in the model, N is the number of times the simulation is run, M S E ( β ^ j ) = 1 N i = 1 N ( β ^ i     β j ) 2 . On the other hand, the false positive rate ( α ) and true positive rate ( γ ) for each of the 5000 runs for the different sources of contamination are calculated and averaged.
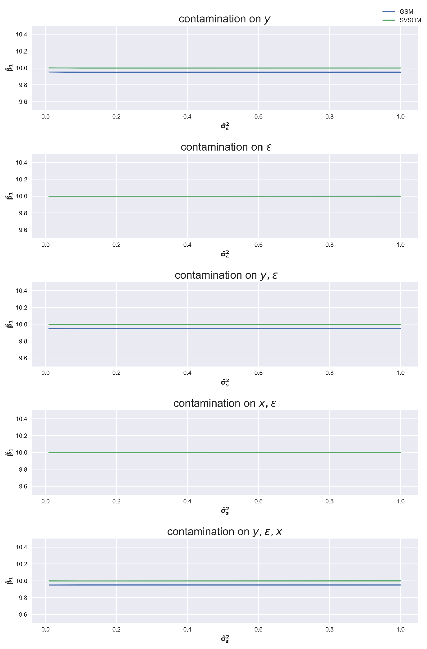
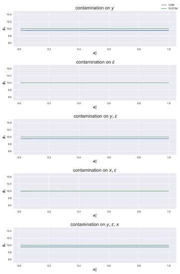
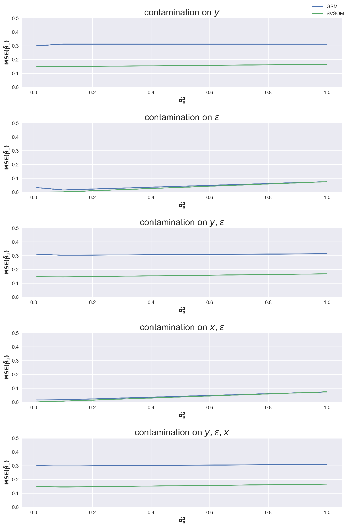
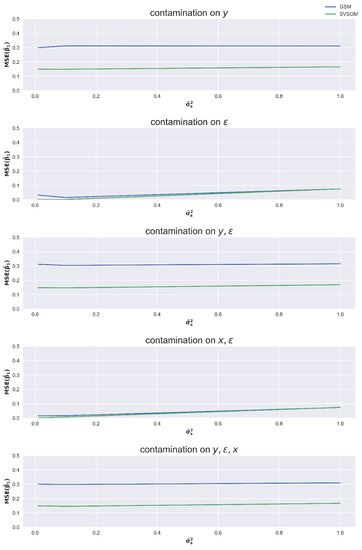
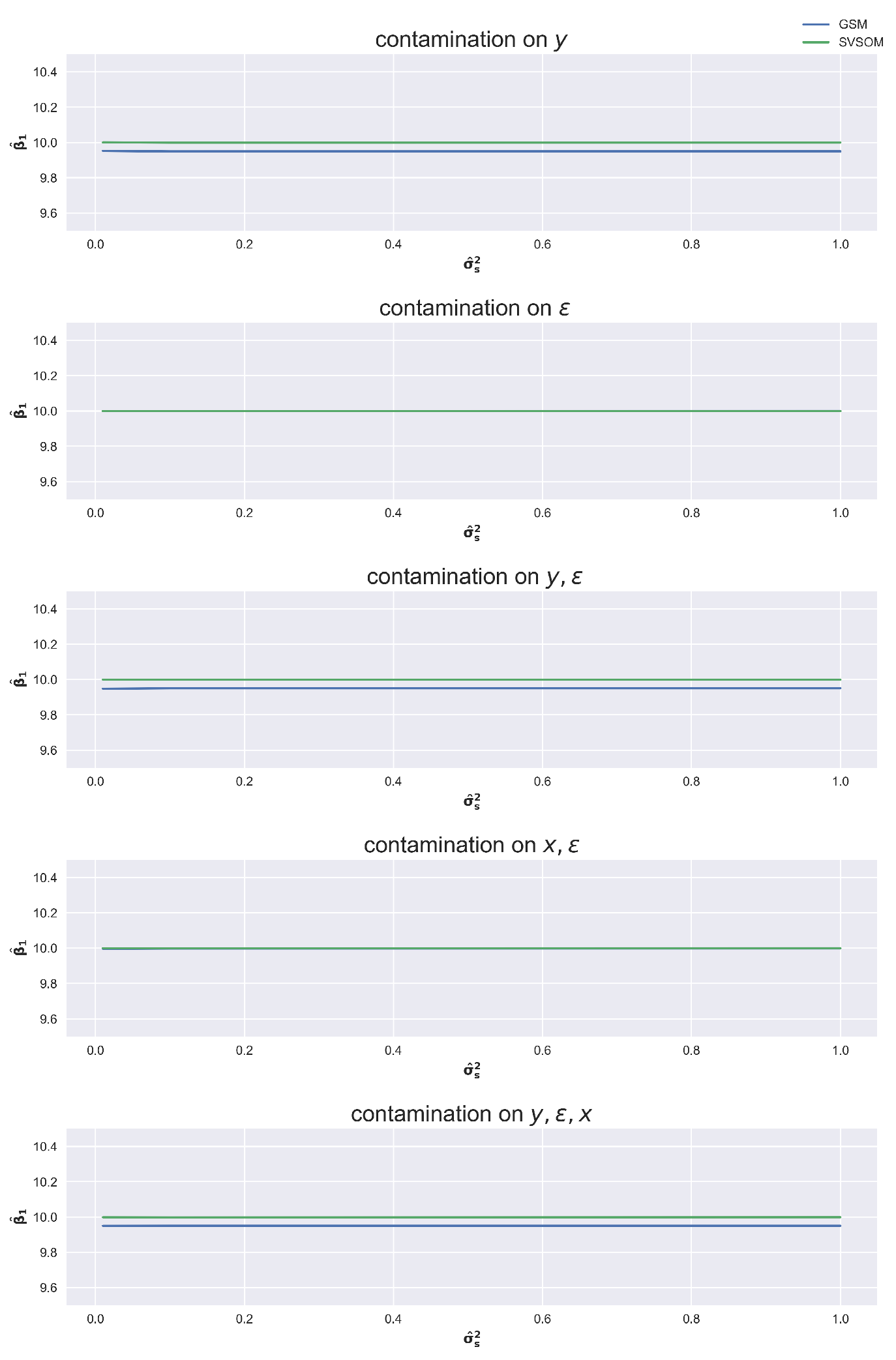
The simulation results for the β ^ ¯ 0 , β ^ ¯ 1 and M S E ( β ^ ) are summarised in Table 1, β ^ ¯ j = i = 1 N β ^ i j N . Throughout the simulation study, the M S E ( β ^ ) for the SVSOM have maintained low values as compared to the GSM. The SVSOM consistently performs better than the GSM in estimating the true parameters of the model, β 0 = 1 and β 1 = 10 (see Figure 1 and Figure 2), for the fixed values of ρ and λ . It is interesting to observe that the β i ’s are consistently closer to the true value, i.e., β 1 = 10 irrespective of the values of ρ , λ and the contamination scenarios.
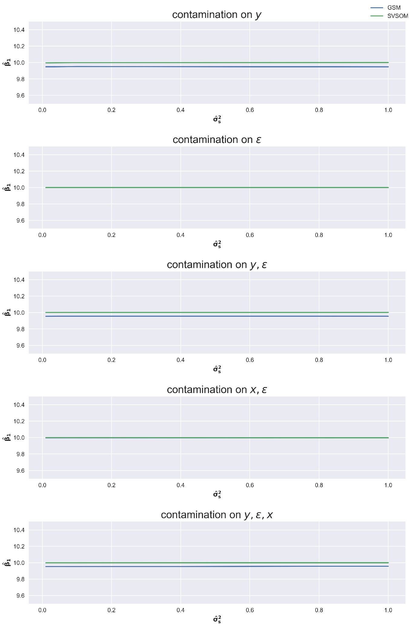
Figure 1 shows the graph of β ^ 1 against the variance, σ ^ s 2 when ρ = 0.4 , λ = 0.5 , for contamination on y, contamination on ε , contamination on y and ε , contamination on x and ε and contamination on y, ε and x for the GSM (blue line) and SVSOM (green line). The true value of the parameter, β 1 , is 10, and the SVSOM has almost perfectly estimated it in all cases of contamination as depicted by the graph. Though the GSM almost coincides with the SVSOM when contamination is on the ε and on the x and ε , the contamination that involves y has a larger impact on the GSM fit. This graph further reveals that the contamination that does not involve y over range of variances do not have much impact on both the GSM and SVSOM.
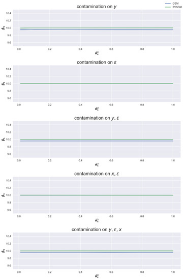
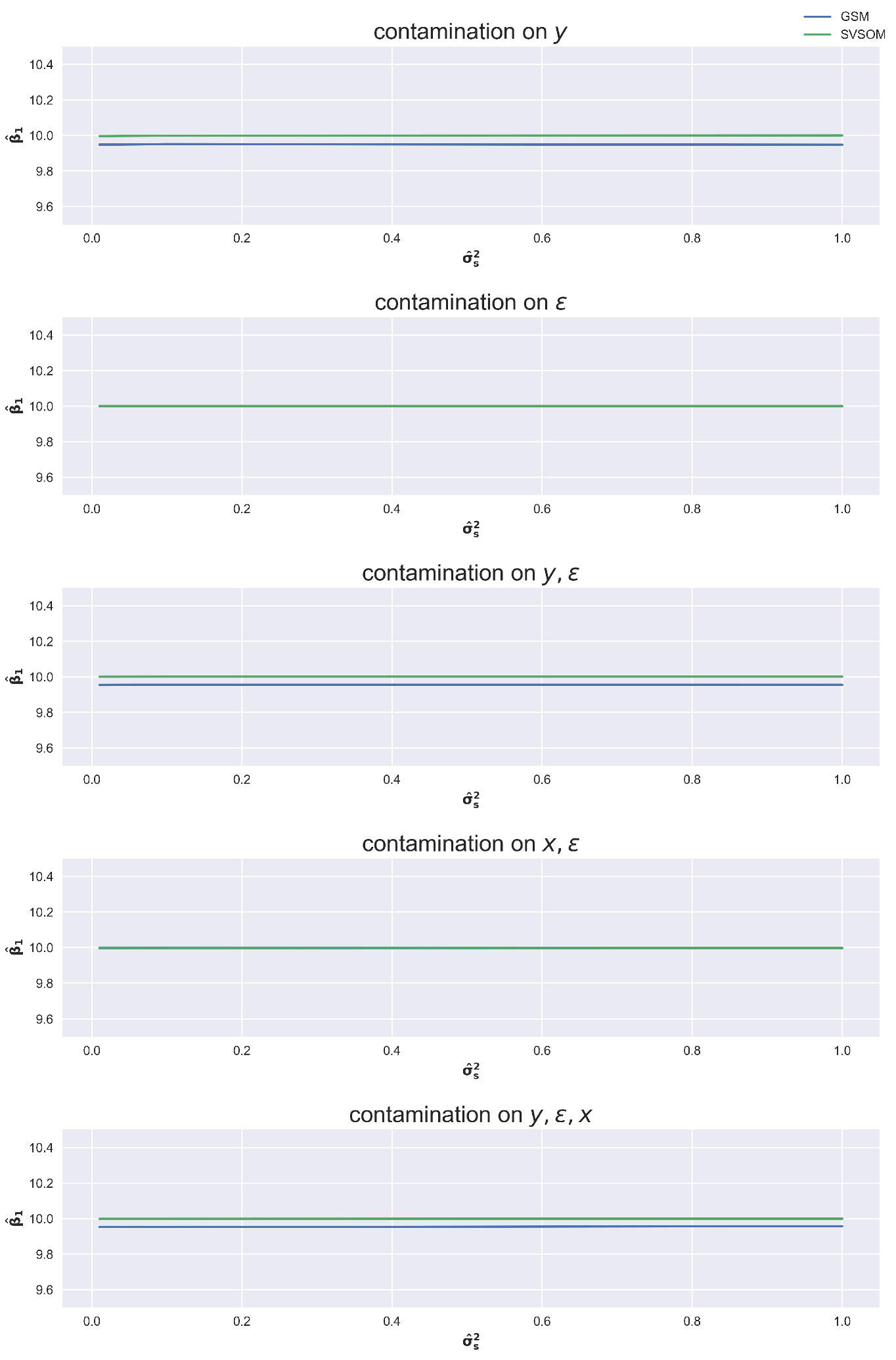
Similar results are obtained when β ^ 1 is plotted against the variance, σ ^ s 2 when ρ = 0.7 , λ = 0.8 as displayed by Figure 2. This further confirms the effectiveness of the SVSOM in handling the effect of influential observations compared to the GSM.
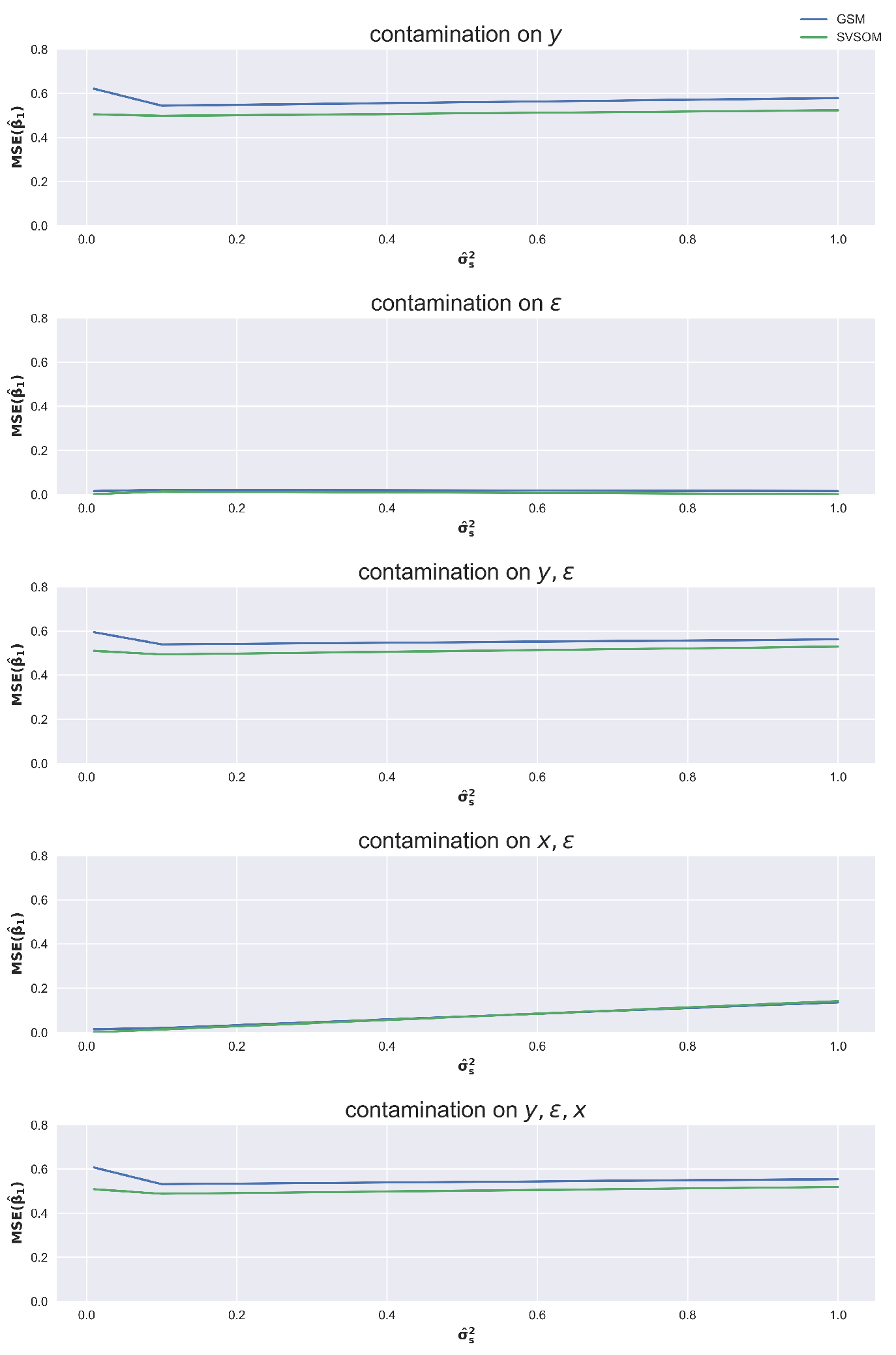
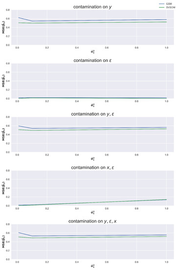
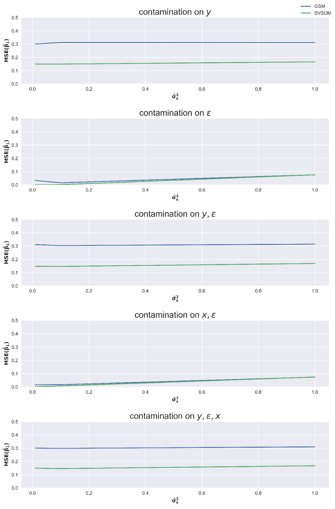
Table 1 depicts the values for the fits under different conditions of contamination, variances and the coefficient of spatial autocorrelation in the dependent variables and the residuals. The mean square error (MSE), which is a measure of quality of the method of estimation is also included in Table 1. The MSE of the SVSOM are always much smaller in all cases of contamination than the GSM, which further supports the efficiency of the SVSOM.
The lower coefficients of spatial autocorrelation, ρ = 0.4 and λ = 0.5 , have produced smaller M S E ( β ^ ) in both GSM and SVSOM fits than the larger coefficients, ρ = 0.7 and λ = 0.8 as can be observed from Figure 3 and Figure 4.
Contamination in the residual term, ε , has little or no influence on the parameter estimation in the SVSOM, where it stands at value very close to zero in all cases, for both lower and larger coefficients of spatial autocorrelations. Similar performance is observed in GSM, but with slightly larger MSE value and deviation from the true parameters.
Contamination in y or combinations that include y has/have greater influence on both the GSM and SVSOM fits. This is revealed by the M S E ( β ^ ) values. However, in all forms of the outliers, the SVSOM outperforms the GSM.
Though the M S E ( β ) ^ for the large coefficients of spatial autocorrelation, (0.7, 0.8), is large compared to that of smaller coefficients of spatial autocorrelation, the values of the estimated β ^ ¯ 1 remain consistently very close to the true parameter value of β 1 = 10 . The values of the β ^ ¯ 0 are slightly greater than one for σ s 2 = 0.10 , σ s 2 = 1.00 , ( ρ = 0.7 , λ = 0.8 ) .
The performance of our proposed method is investigated further by the power of test whereby it measures the rate of correctly classifying an observation in classification models. In common statistical terminology, it is referred to as probability of not making a type II error. The false positive rate, on the other, is the probability of committing a type I error.
In order to determine the power of the test, we record the number of times the SVSOM correctly classifies the clean observation in a 5000 runs of Monte Carlo simulation. Similarly, the false positive (also known as swamping) is obtained by recording the number of times the null hypothesis that the classified observation is wrongly rejected in favour of alternative in the 5000 runs of the simulation.
The power of the tests for the SVSOM is tabulated in Table 2 for the contamination on y, ε , y and ε ; x and ε ; and y, ε and x. The GSM is used only for estimation of parameters, while the SVSOM does both parameter estimation and classification. Thus, the power test for the SVSOM is presented in Table 2.
The results of the power of the test statistics and false positive rate clearly demonstrated the robustness of the SVSOM as suggested by the following observations with respect to the various contamination or their combinations.
  • Due to the fact that contamination on the dependent variable, y, has influence on the model fit, the SVSOM accurately picks and classifies the outliers.
  • As demonstrated by the results of the simulation study, an outlier in the residual term does not mask other locations and hence yields a large power statistic according to the contamination criteria. Due to the robustness of the SVSOM, the effect of the contamination is neutralized, and a better estimate of the true parameter is always obtained.
  • Contamination in x and ε does not have much influence on the fit as demonstrated by the simulation study. The power statistics illustrate that the combination masked other locations as outliers and, hence, reduced the power.
  • Contamination on the y and ε yields results similar to those of contamination on y. Though some contaminated locations and masked locations are picked as outliers as a result of contamination on ε , contamination on the y variable is almost always picked due to the influence on the fitted model.
  • Similar to contamination on y and ε , contamination on y, ε and x masks other locations; hence, the lower power.
Worth nothing is that the false positive rate in all cases is very low (less than 0.05). The robustness of SVSOM is demonstrated in its performance in the simulated results.

6. Numerical Example

In this section, an artificial spatial data set and COVID-19 data set in the counties of Georgia state, USA are used to evaluate the performance of the SVSOM compared to the GSM. These datasets are also used to demonstrate the importance of the proposed method instead of using the classical regression approach, i.e., the ordinary least squares (OLS), when analysing data having spatial dependence. Empirical distribution of t s i 2 are generated for both datasets.

6.1. Artificial Data

In the artificial data, simulated data set discussed in the simulation study is used to fit the SVSOM to detect observations with inflated variance for investigation as outliers. We use the data for ρ = 0.4 . λ = 0.5 and σ s 2 = 0.01 , with contamination on the dependent variable, y. We wish to fit the model in Equation (5), β 0 = 1 , β 1 = 10 .
The GSM estimates of the parameters are: β ^ 0 = 1.377 and β ^ 1 = 9.954 . The corresponding estimates for the SVSOM are β ^ 0 = 1.063 , β ^ 1 = 9.995 , with ω ^ s 10 =     60.007 and ω ^ s 200 = 81.733 . Figure 5 shows the contour map of the simulated data indicating the contaminated locations.
The SVSOM correctly classified only the contaminated locations as outliers (serial number 10, location (1, 10) and 200 (location (10, 10)).
Figure 6 shows the scatter plot of the dependent variable against its average neighbourhood values and that of the autocorrelated residual against its average neighbourhood residuals, depicting spatial dependence in both the dependent variable and the autocorrelated residuals. Common to both of the graphs is that the contaminated locations (10 and 200) stand out away from their neighbourhood values in the dependent variable (Figure 6a) and the residuals (Figure 6b).
Figure 7 shows the index plot of the simulated data for ρ = 0.4 and λ = 0.5 with contamination at location (1, 10) (serial no. 10) = 30 and location (10, 10) (serial no. 200) = 140, with red dots. It is noticeable from the graph that the two contaminated locations have the largest t s i 2 (Figure 7a) and ω ^ s i (Figure 7b) with the lowest variance, σ ^ s 2 (Figure 8). The dash-dot red line in Figure 7a of index plot of t s i 2 indicates the threshold, which is obtained based on the asymptotic distribution discussed in Section 3.2.
Since the results of the fitted SVSOM revealed that the observations with serial number 10 and 200 (location (1, 10) and location (10, 10)) have inflated variances, they should be retained in the model by down weighting them, using estimated ω ^ s 10 and ω ^ s 200 .
It is important to note that fitting the ordinary least squares (OLS) to the artificial data yields β ^ 0 = 184.070 and β ^ 1 = 13.731 . The OLS estimates are much affected by spatial dependence because the values of β ^ 0 and β ^ 1 are quite far from the true values ( β ^ 0 = 1.00 and β ^ 1 = 10.00 ). Consequently, a misleading conclusion is obtained from the classical regression approach.
The VSOM in the classical regression could not detect the outliers since they are not global outliers but local. This clearly reveals the weakness of the OLS in addressing the problem of spatial dependence and the need for the incorporation of the spatial contiguity while fitting the spatial regression model. The GSM yields the estimates β ^ 0 = 1.377 and β ^ 1 = 9.954 . The SVSOM yields β ^ 0 = 1.0632 , β ^ 1 = 9.995 , ω ^ s 10 =     60.007 and ω ^ s 200 = 81.733 . Thus, the revised model for the outliers are as follows:
y ^ i = 0.5 W y ^ + X 1.063 9.995 + D i ψ ^ i + ( I     0.5 W )     1 ε ^ i ,
where D 10 = D 200 = 1 and D i = 0   f o r   i 10 , 200 . , ψ ^ 10 =     60.007 and ψ ^ 200 = 81.733 .
As confirmed in the simulation results, where the SVSOM produces estimates very close to the true parameters than the GSM, the SVSOM estimate: β ^ 0 = 1.063 and β ^ 1 = 9.995 , are much closer to the value of true parameters, β 0 = 1 and β 1 = 10 . On the other hand, estimates for the GSM β ^ 0 = 1.377 and β ^ 1 = 9.954 , which are not so close to the true values. This is an assurance on the side of the SVSOM for estimation accuracy in addition to accommodation of the spatial outliers.

6.2. Georgia State COVID-19 Data

The Georgia State COVID-19 data is obtained from as at 30 June 2020 (http://dph.georgia.gov/COVID-19-daily-status-report). The health ranking are from (http://www.countyheathrankings.org). The dependent variable is the case-rate per 100,000 of COVID-19 cases. The independent variables are population of black race in the county ( X 1 ) , population of Asians ( X 2 ) , population of Hispanic ( X 3 ) , population of people that are 65 years and above ( X 4 ) , population of female in the county ( X 5 ) and life expectancy ( X 6 ) .
The Akaike Information Criteria (AIC) for the SAR, SEM and GSM indicate that the SAR has the lowest AIC of 2192. Hence, the data fitted for SAR. The results of the parameter estimation for the OLS, SAR (a variation of GSM) and SVSOM fit for the Georgia COVID-19 data are presented in Table 3. The table also presented the inflation in the variances of the suspected outlier counties flagged by the RSDP that call for revised model in the SVSOM. It is interesting to observe the effect of spatial dependence on the OLS estimates.
Similar to the artificial data, the OLS gives the worst results evident by having standard error of estimates, which are much larger than the GSM and SVSOM. On the other hand, the results in Table 3 clearly shows that the SVSOM possesses the least values of standard errors in comparison with other estimators. Relying on the classical regression will produce less efficient estimates and inaccurate predictions. Hence, it is important to use the SVSOM get better inferences.
The index plot of the squared spatial studentized residuals in Figure 9a shows the counties detected as outliers, having large t s i 2 . Similarly, the index plot of the ω ^ s i in Figure 9b shows the classified counties with the largest weights and, hence, inflation in the variance. The RSDP correctly classified counties with serial number 3, 26, 49, 50, 70, 120, 128, 135, 141 and 142, respectively. Figure 9a shows the serial numbers of the counties with inflated variance that are greater than the threshold value of 3.73. Similarly, Figure 9b and Figure 10 show the indices of locations with largest weight ( ω ^ s i ) and that with inflation in variance ( σ s 2 ^ ), respectively.
Figure 11 shows the choropleth map for the cases in the counties and that of their corresponding squared spatial studentized residuals. County with serial number 50 (Echols) is the only county that is globally extreme to the cases of COVID-19 in Georgia, while all other detected counties are local to their neighbourhood. Though Figure 11a depicts some dissimilarity between classified counties with their neighbourhood, Figure 11b displays a clearer view, where the detected counties differ with their neighbourhood.
The SVSOM for accommodating the spatial outliers in the Georgia COVID-19 data is given by Equation (18).
y ^ i = 0.540 W y ^ i + X 2853.433 6.192 12.421 28.747 0.237 19.267 25.474 + D i ψ ^ i , i = 1 , n ,
Let the set of locations with largest t s i 2 in the fitted model of Georgia COVID19 data be D o = [ 3 , 26 , 49 , 50 , 70 , 120 , 128 , 135 , 141 , 142 ] , for all D i and ψ ^ i ,
D i = 0   f o r   i D o 1   f o r   i D o
and
ψ ^ i = 1   f o r   i D o ω ^ s i   f o r   i D o
The model in Equation (18) is the fitted SVSOM. Each ith elements in the flagged set, D o would have a revised model with the variance inflation effect for each of its element as defined in Equations (19) and (20).

7. Conclusions

In this article, we formulated the variance shift outlier model in the general spatial regression using the residual maximum likelihood (REML), which we call the Spatial Variance Shift Outlier Model (SVSOM). Unlike other methods of spatial outier detection techniques, such as Scatterplot, the Moran Scatterplot, Iterative Z, Iterative R, Median Z algorithms and pockets of nonstationarity, the SVSOM works as a robust method for validating the detected outliers as well as accommodating them.
This is illustrated by the simulation and numerical example results. A spatial outlier in the dependent variable has a higher impact on the spatial regression but is always detectable by the SVSOM. Spatial outliers in the residuals and x variables have little effect on the SVSOM. We develop an asymptotic distribution of the squared spatial prediction residual to decide on the inflation of variance of an observation for investigation and declaration as outlier.

Author Contributions

Conceptualization, A.M.B. and H.M.; methodology, A.M.B.; software, A.M.B.; validation, A.M.B. and H.M.; formal analysis, A.M.B. and N.H.A.R.; investigation, A.M.B. and N.H.A.R.; resources, A.M.B. and H.M.; data curation, A.M.B.; writing—original draft preparation, A.M.B.; writing—review and editing, A.M.B., H.M. and N.H.A.R.; visualization, A.M.B.; supervision, H.M.; project administration, H.M.; funding acquisition, H.M. All authors have read and agreed to the published version of the manuscript.

Funding

This research received no external funding.

Informed Consent Statement

Not applicable.

Data Availability Statement

The Georgia State COVID-19 data is obtained from as at 30 June 2020 (http://dph.georgia.gov/covid-19-daily-status-report). The health ranking are from (http://www.countyheathrankings.org).

Conflicts of Interest

The authors declare no conflict of interest.

References

  1. Cook, R.D.; Weisberg, S. Residuals and Influence in Regression; Chapman and Hall: New York, NY, USA, 1982. [Google Scholar]
  2. Cook, R.D.; Holschuh, N.; Weisberg, S. A note on an alternative outlier model. J. R. Stat. Soc. Ser. (Methodol.) 1982, 44, 370–376. [Google Scholar] [CrossRef]
  3. Dai, X.; Jin, L.; Shi, A.; Shi, L. Outlier detection and accommodation in general spatial models. Stat. Methods Appl. 2016, 25, 453–475. [Google Scholar] [CrossRef]
  4. Lehmann, R.; Lösler, M.; Neitzel, F. Mean Shift versus Variance Inflation Approach for Outlier Detection—A Comparative Study. Mathematics 2020, 8, 991. [Google Scholar] [CrossRef]
  5. Thompson, R. A note on restricted maximum likelihood estimation with an alternative outlier model. J. R. Stat. Soc. Ser. (Methodol.) 1985, 47, 53–55. [Google Scholar] [CrossRef]
  6. Gumedze, F.N.; Welham, S.J.; Gogel, B.J.; Thompson, R. A variance shift model for detection of outliers in the linear mixed model. Comput. Stat. Data Anal. 2010, 54, 2128–2144. [Google Scholar] [CrossRef]
  7. Insolia, L.; Chiaromonte, F.; Riani, M. A Robust Estimation Approach for Mean-Shift and Variance-Inflation Outliers. In Festschrift in Honor of R. Dennis Cook: Fifty Years of Contribution to Statistical Science; Springer: Cham, Switzerland, 2021; p. 17. [Google Scholar]
  8. Beckman, R.J.; Cook, R.D. Outlier.......... s. Technometrics 1983, 25, 119–149. [Google Scholar]
  9. Gumedze, F.N. Use of likelihood ratio tests to detect outliers under the variance shift outlier model. J. Appl. Stat. 2019, 46, 598–620. [Google Scholar] [CrossRef]
  10. Zimmerman, D.L. Likelihood-based methods. In Handbook of Spatial Statistics; CRC Press: Boca Raton, FL, USA, 2010; pp. 45–56. [Google Scholar]
  11. Gumedze, F.N.; Jackson, D. A random effects variance shift model for detecting and accommodating outliers in meta-analysis. BMC Med. Res. Methodol. 2011, 11, 19. [Google Scholar] [CrossRef] [PubMed]
  12. McCulloch, R.E.; Tsay, R.S. Bayesian inference and prediction for mean and variance shifts in autoregressive time series. J. Am. Stat. Assoc. 1993, 88, 968–978. [Google Scholar] [CrossRef]
  13. Hawkins, D.M.; Zamba, K. A change-point model for a shift in variance. J. Qual. Technol. 2005, 37, 21–31. [Google Scholar] [CrossRef]
  14. Zhang, M.; Li, Y.; Lu, J.; Shi, L. Outlier detection and accommodation in meta-regression models. Commun. Stat.-Theory Methods 2019, 50, 1728–1744. [Google Scholar] [CrossRef]
  15. Anselin, L. Spatial Econometrics: Methods and Models; Springer: Dordrecht, The Netherlands, 1988. [Google Scholar]
  16. LeSage, J.P. The Theory and Practice of Spatial Econometrics; University of Toledo: Toledo, OH, USA, 1999; Volume 28. [Google Scholar]
  17. Yildirim, V.; Mert Kantar, Y. Robust estimation approach for spatial error model. J. Stat. Comput. Simul. 2020, 90, 1618–1638. [Google Scholar] [CrossRef]
  18. Kou, Y.; Lu, C.T. Outlier Detection, Spatial. In Encyclopedia of GIS; Springer: Cham, Switzerland, 2008; pp. 1539–1546. [Google Scholar]
  19. Chen, D.; Lu, C.T.; Kou, Y.; Chen, F. On detecting spatial outliers. Geoinformatica 2008, 12, 455–475. [Google Scholar] [CrossRef]
  20. Hiekkalinna, T.; Göring, H.H.; Terwilliger, J.D. On the validity of the likelihood ratio test and consistency of resulting parameter estimates in joint linkage and linkage disequilibrium analysis under improperly specified parametric models. Ann. Hum. Genet. 2012, 76, 63–73. [Google Scholar] [CrossRef] [PubMed]
  21. Baba, A.M.; Midi, H.; Adam, M.B.; Rahman, N.H.A. Detection of Influential Observations in Spatial Regression Model Based on Outliers and Bad Leverage Classification. Symmetry 2021, 13, 2030. [Google Scholar] [CrossRef]
  22. Tobler, W.R. A computer movie simulating urban growth in the Detroit region. Econ. Geogr. 1970, 46, 234–240. [Google Scholar] [CrossRef]
Figure 1. The graph of σ ^ s 2 against β ^ 1 for ρ = 0.4 and λ = 0.5 from different sources of contamination.
Figure 1. The graph of σ ^ s 2 against β ^ 1 for ρ = 0.4 and λ = 0.5 from different sources of contamination.
Mathematics 10 03182 g001
Figure 2. The graph of σ ^ s 2 against β ^ 1 for ρ = 0.7 and λ = 0.8 from different sources of contamination.
Figure 2. The graph of σ ^ s 2 against β ^ 1 for ρ = 0.7 and λ = 0.8 from different sources of contamination.
Mathematics 10 03182 g002
Figure 3. The graph of σ ^ s 2 against M S E ( β ^ 1 ) for ρ = 0.4 and λ = 0.5 from different sources of contamination.
Figure 3. The graph of σ ^ s 2 against M S E ( β ^ 1 ) for ρ = 0.4 and λ = 0.5 from different sources of contamination.
Mathematics 10 03182 g003
Figure 4. The graph of σ ^ s 2 against M S E ( β ^ 1 ) for ρ = 0.7 and λ = 0.8 from different sources of contamination.
Figure 4. The graph of σ ^ s 2 against M S E ( β ^ 1 ) for ρ = 0.7 and λ = 0.8 from different sources of contamination.
Mathematics 10 03182 g004
Figure 5. Contour map of simulated data for the dependent variable with the contaminated locations.
Figure 5. Contour map of simulated data for the dependent variable with the contaminated locations.
Mathematics 10 03182 g005
Figure 6. Scatter plot of (a) dependent variable against its average neighbour and (b) autocorrelated residual with its average neighbour in the simulated data for ρ = 0.4 and λ = 0.5 with two contamination (red dots) on the dependent variable, y. (a) y against W y . (b) ξ against W ξ .
Figure 6. Scatter plot of (a) dependent variable against its average neighbour and (b) autocorrelated residual with its average neighbour in the simulated data for ρ = 0.4 and λ = 0.5 with two contamination (red dots) on the dependent variable, y. (a) y against W y . (b) ξ against W ξ .
Mathematics 10 03182 g006
Figure 7. Index plot of (a) t s i 2 , (b) ω ^ s i for the simulated data.
Figure 7. Index plot of (a) t s i 2 , (b) ω ^ s i for the simulated data.
Mathematics 10 03182 g007
Figure 8. Index plot of σ s 2 for the simulated data.
Figure 8. Index plot of σ s 2 for the simulated data.
Mathematics 10 03182 g008
Figure 9. Index plot of (a) t s i 2 , (b) ω ^ s i for the Geogia COVID-19 data.
Figure 9. Index plot of (a) t s i 2 , (b) ω ^ s i for the Geogia COVID-19 data.
Mathematics 10 03182 g009
Figure 10. Index plot of σ s 2 for the Geogia COVID-19 data.
Figure 10. Index plot of σ s 2 for the Geogia COVID-19 data.
Mathematics 10 03182 g010
Figure 11. Choropleth map of (a) number of COVID-19 cases (b) squared spatial studentized prediction residual, showing outliers in the Georgia counties as detected by the SVSOM.
Figure 11. Choropleth map of (a) number of COVID-19 cases (b) squared spatial studentized prediction residual, showing outliers in the Georgia counties as detected by the SVSOM.
Mathematics 10 03182 g011
Table 1. The estimates of β 0 , β 1 and M S E ( β ^ ) in the GSM and SVSOM.
Table 1. The estimates of β 0 , β 1 and M S E ( β ^ ) in the GSM and SVSOM.
Contamination Source σ s 2 ( ρ ,   λ ) GSMSVSOM
β ^ ¯ 0 β ^ ¯ 1 M S E   ( β ^ ) β ^ ¯ 0 β ^ ¯ 1 M S E   ( β ^ )
y0.01(0.4, 0.5)1.2419.9520.3000.99310.0010.149
ε 0.01(0.4, 0.5)1.00510.0000.0331.00010.0000.001
y and ε 0.01(0.4, 0.5)1.2639.9490.3111.00410.0000.147
x and ε 0.01(0.4, 0.5)1.0169.9980.0161.00010.0000.001
y, ε and x0.01(0.4, 0.5)1.2539.9500.3001.0179.9980.150
y0.01(0.7, 0.8)1.2719.9490.6210.8849.9970.505
ε 0.01(0.7, 0.8)1.01310.0000.0150.99910.0000.001
y and ε 0.01(0.7, 0.8)1.2569.9540.5940.87210.0010.509
x and ε 0.01(0.7, 0.8)1.0309.9970.0151.00010.0000.001
y, ε and x0.01(0.7, 0.8)1.2629.9520.6070.9209.9980.508
y0.10(0.4, 0.5)1.2559.9500.3121.0019.9990.149
ε 0.10(0.4, 0.5)1.00510.0000.0181.00010.0000.007
y and ε 0.10(0.4, 0.5)1.2529.9510.3031.0079.9990.146
x and ε 0.10(0.4, 0.5)1.0179.9980.0171.00110.0000.007
y, ε and x0.10(0.4, 0.5)1.2529.9510.2981.0179.9980.146
y0.10(0.7, 0.8)1.2279.9520.5441.1369.9990.498
ε 0.10(0.7, 0.8)1.012510.0000.0211.00010.0000.014
y and ε 0.10(0.7, 0.8)1.2179.9560.5391.13910.0010.494
x and ε 0.10(0.7, 0.8)1.0279.9970.0201.00010.0000.014
y, ε and x0.10(0.7, 0.8)1.2359.9520.5311.1839.9980.488
y1.00(0.4, 0.5)1.2509.9500.3121.0079.9990.166
ε 1.00(0.4, 0.5)1.00410.0000.0760.99710.0000.076
y and ε 1.00(0.4, 0.5)1.2529.9510.3141.00810.0000.168
x and ε 1.00(0.4, 0.5)1.0169.9980.0740.99810.0000.075
y, ε and x1.00(0.4, 0.5)1.2539.9510.3101.0079.9970.167
y1.00(0.7, 0.8)1.2459.9480.5791.11510.0000.523
ε 1.00(0.7, 0.8)1.01310.0000.0150.99910.0000.001
y and ε 1.00(0.7, 0.8)1.2179.9550.5621.17410.0010.529
x and ε 1.00(0.7, 0.8)1.0419.9960.1371.0009.9980.142
y, ε and x1.00(0.7, 0.8)1.2019.9570.5541.2009.9990.519
Table 2. Power of test and false positive rate for the SVSOM.
Table 2. Power of test and false positive rate for the SVSOM.
Source of Contaminationy ε y and ε x and ε y, ε and x
Power of test0.9431.0000.5270.7500.353
False positve0.0000.0180.0000.0250.000
Table 3. The results of the OLS, GSM and SVSOM fits with inflation in variance in the SVSOM.
Table 3. The results of the OLS, GSM and SVSOM fits with inflation in variance in the SVSOM.
Parameter EstimateOLSS.EGSMS.ESVSOMS.E
ρ ^ --0.5400.1630.5400.097
β ^ 0 2628.3922127.7131087.7391830.6862853.4331196.100
β ^ 1 14.3112.9829.7832.5666.1921.605
β ^ 2 −56.24534.539−54.14029.718−12.42118.461
β ^ 3 45.3189.90240.3328.52028.7475.603
β ^ 4 4.17312.791−6.22111.006−0.2376.823
β ^ 5 −34.67316.275−28.58714.003−19.2679.744
β ^ 6 −9.71824.9794.82921.492−25.47413.556
ω ^ s 3 ----4.185-
ω ^ s 26 ----27.581-
ω ^ s 49 ----7.202-
ω ^ s 50 ----50.309-
ω ^ s 70 ----10.267-
ω ^ s 120 ----9.083-
ω ^ s 128 --- 4.578-
ω ^ s 135 ----3.944-
ω ^ s 141 ----6.549-
ω ^ s 142 ----3.943-
Publisher’s Note: MDPI stays neutral with regard to jurisdictional claims in published maps and institutional affiliations.

Share and Cite

MDPI and ACS Style

Baba, A.M.; Midi, H.; Abd Rahman, N.H. Spatial Outlier Accommodation Using a Spatial Variance Shift Outlier Model. Mathematics 2022, 10, 3182. https://doi.org/10.3390/math10173182

AMA Style

Baba AM, Midi H, Abd Rahman NH. Spatial Outlier Accommodation Using a Spatial Variance Shift Outlier Model. Mathematics. 2022; 10(17):3182. https://doi.org/10.3390/math10173182

Chicago/Turabian Style

Baba, Ali Mohammed, Habshah Midi, and Nur Haizum Abd Rahman. 2022. "Spatial Outlier Accommodation Using a Spatial Variance Shift Outlier Model" Mathematics 10, no. 17: 3182. https://doi.org/10.3390/math10173182

APA Style

Baba, A. M., Midi, H., & Abd Rahman, N. H. (2022). Spatial Outlier Accommodation Using a Spatial Variance Shift Outlier Model. Mathematics, 10(17), 3182. https://doi.org/10.3390/math10173182

Note that from the first issue of 2016, this journal uses article numbers instead of page numbers. See further details here.

Article Metrics

Back to TopTop