Modeling and Optimization of Triple Diode Model of Dye-Sensitized Solar Panel Using Heterogeneous Marine Predators Algorithm
Abstract
:1. Introduction
- Applying the TDM for DSSCs to obtain best estimated parameters and performance simulation for the first time.
- A new application of the heterogeneous marine predators algorithm to identify the TDM parameters for DSSCs.
- The obtained results by the heterogeneous marine predators algorithm are compared with the other methods.
- The accuracy and superiority of the heterogeneous marine predators algorithm in defining parameters of the TDM are proved.
2. Triple Diode Model for PV
3. Experimental Work
4. The Proposed Methodology for Identifying the Model Parameters
5. Heterogeneous Marine Predators Algorithm
5.1. Marine Predators Algorithm
- Phase 1: Exploration phase (High-speed ratio): in this stage, it is assumed that the predator is slower than the prey. Such a stage is yielded throughout the first third of the iterations. Then, the prey uses the following mathematical relation to update its position.where R ϵ [0, 1] is a vector formed from random numbers, P = 0:5. RB is the Brownian motion vector.
- Phase 2: Transition phase (unity speed ratio): in this stage, the speed of the prey and predator is identical; therefore, it is implemented in the middle of the optimization process. In this stage, the predator and prey use the Brownian approach and levy flight approach, respectively, while updating their positions. The population is divided into two subgroups; the first one uses Equations (8) and (9) and the other section uses Equations (10) and (11) to modify the locations.where RL is a randomly generated variable by the Levy distribution.where t and tmax denote the present and maximum no. of iterations, respectively.
- Phase 3 Exploration phase (low-speed ratio): in this part, the predator moves faster than the prey to be able to catch it. This phase is yielded in the last third of iterations. Equation (12) shows the relation for the location modification:Important points that Faramarzi et al. [36] have accounted for in the MPA are:
- Eddy formation and the effect of fish aggregating devices (FADS): The eddy formation and FADS have an impact on the predator performance; therefore, the algorithm developer is considered while implementing the MPA. Their mathematical equation can be expressed as below:where B is the binary solution. FAD = 0:2. r ϵ [0, 1]. r1 and r2 denote the random index of the prey.
5.2. Heterogeneous Marine Predators Algorithm Based PV Modeling
| Algorithm 1 Pseudo code of the non-uniform mutation |
| 1: for Each agent i (i = g1 + 1,…,n) do 2: for Each dimension j (j = 1,…,d) do 3: if rand < 0.1 then 4: a = rand1(1,D); = diag(a); 5: if round (rand2) = 0 then 6: Update the agent position according 7: else if round (rand3) = 1 then 8: Update the particle position according 9: end if 10: end if 11: end for 12: end for |
- Step 1: Generally, the H-MPA starts with a set of random solutions as shown in Equation (15):where denote the upper and lower limits, respectively. For TDM, the d = 9.
- Step 2: Calculate the initial objective function (). Next, build the matrix (top predator) and search agents’ matrix as in Equation (5).
- Steps 3: For the total number of iterations, the search agents are split into two subgroups . The first group follows Equations (6) and (7) while the second one follows Equations (8)–(11).
- Step 4: The subgroups are combined, and the non-uniform mutation of Algorithm 1 is applied to the solutions.
- Step 5: The solutions are modified using Equations (12) and (13)
- Step 6: Evaluation of the new solutions and upgrade the top predator .
- Step 7: The memory saving process then the FADs for each predator of Equation (14) are applied.
- Step 8: Repetition of the previous steps until the maximum number of iterations is met.
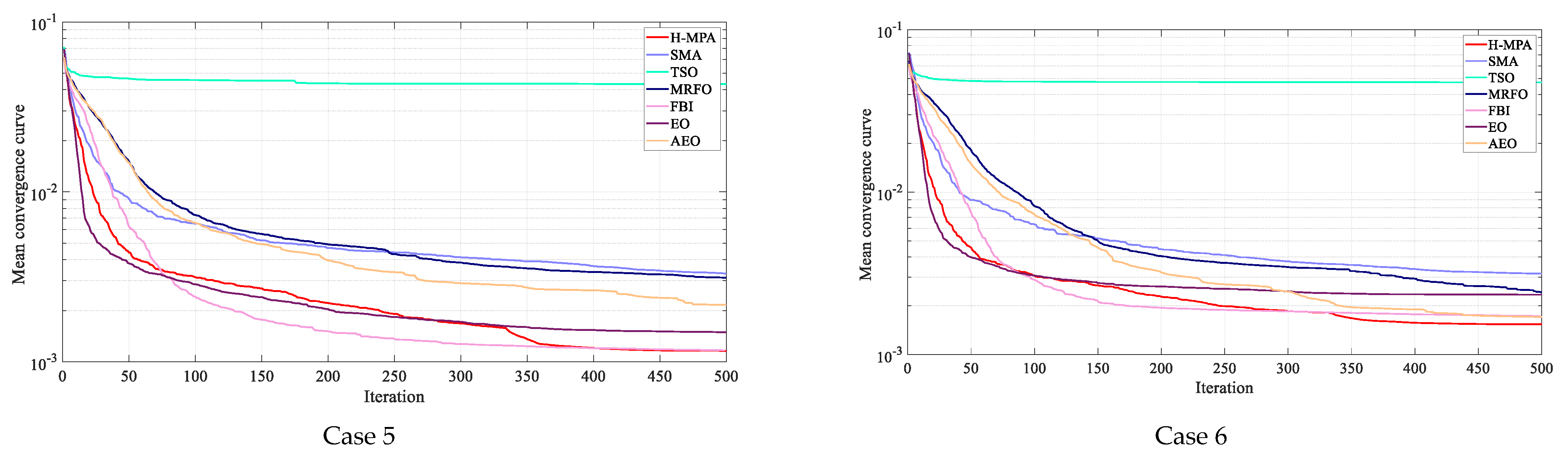
6. Results and Discussions
7. Conclusions
Author Contributions
Funding
Institutional Review Board Statement
Informed Consent Statement
Data Availability Statement
Acknowledgments
Conflicts of Interest
References
- O’Regan, B.; Grätzel, M. A low cost high-efficiency solar cell based on dye-sensitized colloidal TiO2 particles. Nature 1991, 353, 737–739. [Google Scholar] [CrossRef]
- Higuchi, K.; Motohiro, T.; Sano, T.; Toyoda, T.; Kamio, T.; Kanagawa, T. Development of large scale modules of dye-sensitized solar cells for outdoor use. In Proceedings of the EXPO WCWRF, Hamamatsu, Japan, 7–10 June 2005; pp. 1–4. [Google Scholar]
- Doi, S.; Ito, A.; Tohyama, T.; Takeda, Y.; Fukano, T.; Takeichi, A.; Suzuki, H. Development of dye-sensitized solar modules to meet artistic designs 1. Wall-integrated panels for TOYOTA Dream House: PAPI. In Proceedings of the EXPO WCWRF, Hamamatsu, Japan, 7–10 June 2005; pp. 1–4. [Google Scholar]
- Nakajima, J.; Fukumoto, S.; Kato, N.; Takechi, K.; Shiga, T.; Tanaka, H.; Futatsu, Y. Development of dye-sensitized solar modules to meet artistic designs 2. Art object of a plant with leaves exhibited in EXPO 2005. In Proceedings of the EXPO WCWRF, Hamamatsu, Japan, 7–10 June 2005; pp. 1–4. [Google Scholar]
- Cornaro, C.; Andreotti, A. Influence of Average Photon Energy Index on Solar Irradiance Characteristics and Outdoor Performance of Photovoltaic Modules. Prog. Photovolt. Res. Appl. 2013, 21, 996–1003. [Google Scholar] [CrossRef]
- Sridhar, N.; Freeman, D. A study of dye sensitized solar cells under indoor and low level outdoor lighting: Comparison to organic and inorganic thin film solar cells and methods to address maximum power point tracking. In Proceedings of the 26th European Photovoltaic Solar Energy Conference and Exhibition, Hamburg, Germany, 5–9 September 2011; pp. 232–236. [Google Scholar]
- D’Ercole, D.; Dominici, L.; Brown, T.M.; Michelotti, F.; Reale, A.; Di Carlo, A. Angular response of dye solar cells to solar and spectrally resolved light. Appl. Phys. Lett. 2011, 99, 213301. [Google Scholar] [CrossRef]
- Jiang, C.; Sun, X.; Lo, G.; Kwong, D.; Wang, J. Improved dye-sensitized solar cells with a ZnO-nanoflower photoanode. Appl. Phys. Lett. 2007, 90, 263501. [Google Scholar] [CrossRef]
- Yan, L.-T.; Wu, F.-L.; Peng, L.; Zhang, L.-J.; Li, P.-J.; Dou, S.-Y.; Li, T.-X. Photoanode of Dye-Sensitized Solar Cells Based on a ZnO/TiO2 Composite Film. Int. J. Photoenergy 2012, 2012, 613969. [Google Scholar] [CrossRef]
- Kay, A.; Graetzel, M. Artificial photosynthesis. 1. Photosensitization of titania solar cells with chlorophyll derivatives and related natural porphyrins. J. Phys. Chem. 1993, 97, 6272–6277. [Google Scholar] [CrossRef]
- Calogero, G.; Yum, J.-H.; Sinopoli, A.; Di Marco, G.; Grätzel, M.; Nazeeruddin, M.K. Anthocyanins and betalains as light-harvesting pigments for dye-sensitized solar cells. Sol. Energy 2012, 86, 1563–1575. [Google Scholar] [CrossRef]
- Calogero, G.; Di Marco, G. Red Sicilian orange and purple eggplant fruits as natural sensitizers for dye-sensitized solar cells. Sol. Energy Mater. Sol. Cells 2008, 92, 1341–1346. [Google Scholar] [CrossRef]
- Nazeeruddin, M.K.; Péchy, P.; Renouard, T.; Zakeeruddin, S.M.; Humphry-Baker, R.; Comte, P.; Liska, P.; Cevey, L.; Costa, E.; Shklover, V.; et al. Engineering of Efficient Panchromatic Sensitizers for Nanocrystalline TiO2-Based Solar Cells. J. Am. Chem. Soc. 2001, 123, 1613–1624. [Google Scholar] [CrossRef]
- Argazzi, R.; Larramona, G.; Contado, C.; Bignozzi, C.A. Preparation and photoelectrochemical characterization of a red sensitive osmium complex containing 4,4′,4′′-tricarboxy-2,2′:6′,2′′-terpyridine and cyanide ligands. J. Photochem. Photobiol. A 2004, 164, 15–21. [Google Scholar] [CrossRef]
- Xia, J.; Masaki, N.; Lira-Cantu, M.; Kim, Y.; Jiang, A.K.; Yanagida, S. Influence of Doped Anions on Poly(3,4-ethylenedioxythiophene) as Hole Conductors for Iodine-Free Solid-State Dye-Sensitized Solar Cells. J. Am. Chem. Soc. 2008, 130, 1258–1263. [Google Scholar] [CrossRef] [PubMed]
- Gratzel, M. Dye-sensitized solar cells. J. Photochem. Photobiol. C Photochem. Rev. 2003, 4, 145–153. [Google Scholar] [CrossRef]
- Hagfeldt, A.; Boschloo, G.; Sun, L.; Kloo, L.; Pettersson, H. Dye-Sensitized Solar Cells. Chem. Rev. 2010, 110, 6595–6663. [Google Scholar] [CrossRef] [PubMed]
- Bisquert, J. Dilemmas of Dye-Sensitized Solar Cells. ChemPhysChem 2011, 12, 1633–1636. [Google Scholar] [CrossRef]
- Tagliaferro, R.; Colonna, D.; Brown, T.M.; Reale, A.; Di Carlo, A. Interplay between transparency and efficiency in dye sensitized solar cells. Opt. Express 2013, 21, 3235–3242. [Google Scholar] [CrossRef]
- Sauvage, F.; Chhor, S.; Marchioro, A.; Moser, J.-E.; Graetzel, M. Butyronitrile-Based Electrolyte for Dye-Sensitized Solar Cells. J. Am. Chem. Soc. 2011, 133, 13103–13109. [Google Scholar] [CrossRef]
- Chiba, Y.; Islam, A.; Watanabe, Y.; Komiya, R.; Koide, N.; Han, L. Dye-Sensitized Solar Cells with Conversion Efficiency of 11.1%. Jpn. J. Appl. Phys. 2006, 45, L638. [Google Scholar] [CrossRef]
- Feldt, S.M.; Gibson, E.A.; Gabrielsson, E.; Sun, L.; Boschloo, G.; Hagfeldt, A. Design of Organic Dyes and Cobalt Polypyridine Redox Mediators for High-Efficiency Dye-Sensitized Solar Cells. J. Am. Chem. Soc. 2010, 132, 16714–16724. [Google Scholar] [CrossRef]
- Miettunen, K.; Saukkonen, T.; Li, X.; Law, C.; Sheng, Y.K.; Halme, J.; Tiihonen, A.; Barnes, P.R.F.; Ghaddar, T.; Asghar, I.; et al. Do Counter Electrodes on Metal Substrates Work with Cobalt Complex Based Electrolyte in Dye Sensitized Solar Cells? J. Electrochem. Soc. 2013, 160, H132–H137. [Google Scholar] [CrossRef]
- Feldt, S.M.; Wang, G.; Boschloo, G.; Hagfeldt, A. Effects of Driving Forces for Recombination and Regeneration on the Photovoltaic Performance of Dye-Sensitized Solar Cells using Cobalt Polypyridine Redox Couples. J. Phys. Chem. C 2011, 115, 21500–21507. [Google Scholar] [CrossRef]
- Carli, S.; Busatto, E.; Caramori, S.; Boaretto, R.; Argazzi, R.; Timpson, C.J.; Bignozzi, C.A. Comparative Evaluation of Catalytic Counter Electrodes for Co(III)/(II) Electron Shuttles in Regenerative Photoelectrochemical Cells. J. Phys. Chem. C 2013, 117, 5142. [Google Scholar] [CrossRef]
- Kavan, L.; Yum, J.-H.; Graetzel, M. Optically Transparent Cathode for Co(III/II) Mediated Dye-Sensitized Solar Cells Based on Graphene Oxide. ACS Appl. Mater. Interfaces 2012, 4, 6999–7006. [Google Scholar] [CrossRef] [PubMed]
- Bidikoudi, M.; Zubeir, L.F.; Falaras, P. Low viscosity highly conductive ionic liquid blends for redox active electrolytes in efficient dye-sensitized solar cells. J. Mater. Chem. A 2014, 2, 15326–15336. [Google Scholar] [CrossRef]
- Perganti, D.; Giannouri, M.; Kontos, A.G.; Falaras, P. Cost-efficient platinum-free DSCs using colloidal graphite counter electrodes combined with D35 organic dye and cobalt (II/III) redox couple. Electrochim. Acta 2017, 232, 517–527. [Google Scholar] [CrossRef]
- Yousri, D.; Fathy, A.; Rezk, H.; Babu, T.S.; Berber, M.R. A reliable approach for modeling the photovoltaic system under partial shading conditions using three diode model and hybrid marine predators-slime mould algorithm. Energy Convers. Manag. 2021, 243, 114269. [Google Scholar] [CrossRef]
- Li, S.; Chen, H.; Wang, M.; Heidari, A.A.; Mirjalili, S. Slime mould algorithm: A new method for stochastic optimization. Future Gener. Comput. Syst. 2020, 111, 300–323. [Google Scholar] [CrossRef]
- Qais, M.H.; Hasanien, H.M.; Alghuwainem, S. Transient search optimization for electrical parameters estimation of photovoltaic module based on datasheet values. Energy Convers. Manag. 2020, 214, 112904. [Google Scholar] [CrossRef]
- Zhao, W.; Zhang, Z.; Wang, L. Manta ray foraging optimization: An effective bio-inspired optimizer for engineering applications. Eng. Appl. Artif. Intell. 2020, 87, 103300. [Google Scholar] [CrossRef]
- Chou, J.-S.; Nguyen, N.-M. FBI inspired meta-optimization. Appl. Soft Comput. 2020, 93, 106339. [Google Scholar] [CrossRef]
- Faramarzi, A.; Heidarinejad, M.; Stephens, B.; Mirjalili, S. Equilibrium optimizer: A novel optimization algorithm. Knowledge-Based Syst. 2020, 191, 105190. [Google Scholar] [CrossRef]
- Zhao, W.; Wang, L.; Zhang, Z. Artificial ecosystem-based optimization: A novel nature-inspired meta-heuristic algorithm. Neural Comput. Appl. 2020, 32, 9383–9425. [Google Scholar] [CrossRef]
- Faramarzi, A.; Heidarinejad, M.; Mirjalili, S.; Gandomi, A.H. Marine Predators Algorithm: A nature-inspired metaheuristic. Expert Syst. Appl. 2020, 152, 113377. [Google Scholar] [CrossRef]









| Isc (A) | Voc (V) | FF | I × Vmax (W) | PCE (%) | Radiation (sun) | Temperature (°C) | Humidity | Time |
|---|---|---|---|---|---|---|---|---|
| 0.108 | 15.947 | 0.624 | 1.074 | 1.432 | 0.75 | 17.2 | 63% | 11 |
| 0.113 | 15.630 | 0.575 | 1.016 | 1.563 | 0.65 | 18 | 64% | 12 |
| 0.094 | 15.823 | 0.623 | 0.927 | 1.749 | 0.53 | 16.5 | 71% | 13 |
| 0.017 | 14.800 | 0.684 | 0.172 | 1.147 | 0.15 | 16 | 80% | 14 |
| 0.012 | 14.653 | 0.700 | 0.123 | 1.025 | 0.12 | 16 | 80% | 15 |
| 0.006 | 14.140 | 0.637 | 0.054 | 0.600 | 0.09 | 16 | 77% | 16 |
| Cases | Dye Module 22 Cells | |||||
|---|---|---|---|---|---|---|
| Case 1 | Case 2 | Case 3 | Case 4 | Case 5 | Case 6 | |
| Operating condition | ||||||
| Data length | 580 | 601 | 607 | 648 | 641 | 653 |
| Alg | ||||||||||
|---|---|---|---|---|---|---|---|---|---|---|
| Case 1 | ||||||||||
| H-MPA | 2 | 1.312906 | 2 | 0.001 | 9331.853 | 1.00 × 10−12 | 1.00 × 10−12 | 1.00 × 10−12 | 0.006034 | 1.11 × 10−4 |
| SMA | 1.87371 | 1.312969 | 2 | 0.001 | 9357.868 | 1.01 × 10−12 | 1.00 × 10−12 | 1.07 × 10−12 | 0.006031 | 1.12 × 10−4 |
| TSO | 2 | 2 | 2 | 100 | 1055.108 | 1.74 × 10−9 | 1.08 × 10−7 | 2.79 × 10−9 | 0.018149 | 1.15 × 10−4 |
| MRFO | 1.95613 | 1.317048 | 1.972676 | 3.101047 | 9585.56 | 4.23 × 10−12 | 1.04 × 10−12 | 2.61 × 10−11 | 0.006018 | 9.39 × 10−3 |
| FBI | 1.98657 | 1.788469 | 1.316744 | 0.640291 | 8981.432 | 8.34 × 10−12 | 9.53 × 10−12 | 1.04 × 10−12 | 0.006082 | 1.16 × 10−4 |
| EO | 2 | 2 | 1.312906 | 0.001 | 9331.863 | 1.00 × 10−12 | 1.00 × 10−12 | 1.00 × 10−12 | 0.006034 | 1.12 × 10−4 |
| AEO | 1.9928 | 1.794201 | 1.312701 | 0.024604 | 9401.73 | 1.42 × 10−12 | 1.02 × 10−12 | 1.00 × 10−12 | 0.006031 | 1.12 × 10−4 |
| Case 2 | ||||||||||
| H-MPA | 2 | 2 | 1.26301 | 0.001 | 5019.877 | 1.00 × 10−12 | 1.00 × 10−12 | 1.00 × 10−12 | 0.012704 | 2.00 × 10−4 |
| SMA | 1.83376 | 1.262949 | 1.999999 | 0.001388 | 5012.791 | 1.00 × 10−12 | 1.00 × 10−12 | 1.00 × 10−12 | 0.01271 | 2.01 × 10−4 |
| TSO | 2 | 2 | 2 | 100 | 10000 | 1.19 × 10−12 | 1.19 × 10−12 | 1.19 × 10−12 | 0 | 2.13 × 10−4 |
| MRFO | 1.73744 | 1.267442 | 1.748563 | 1.109173 | 5412.81 | 1.38 × 10−11 | 1.05 × 10−12 | 1.20 × 10−12 | 0.012577 | 1.15 × 10−2 |
| FBI | 1.96425 | 1.274629 | 1.865305 | 0.00166 | 5318.889 | 8.76 × 10−12 | 1.24 × 10−12 | 5.47 × 10−12 | 0.01262 | 2.07 × 10−4 |
| EO | 1.26301 | 2 | 2 | 0.001 | 5019.871 | 1.00 × 10−12 | 1.00 × 10−12 | 1.00 × 10−12 | 0.012704 | 2.21 × 10−4 |
| AEO | 1.26503 | 1.998716 | 1.999982 | 0.002194 | 5020.296 | 1.04 × 10−12 | 1.70 × 10−12 | 2.98 | 0.012704 | 2.01 × 10−4 |
| Case 3 | ||||||||||
| H-MPA | 1.24480 | 2 | 2 | 3.700106 | 3528.718 | 1.00 × 10−12 | 1.00 × 10−12 | 1.00 × 10−12 | 0.017597 | 2.99 × 10−4 |
| SMA | 1.76675 | 1.640477 | 1.244831 | 3.495255 | 3570.569 | 1.00 × 10−12 | 1.04 × 10−12 | 1.00 × 10−12 | 0.017574 | 3.10 × 10−4 |
| TSO | 2 | 2 | 2 | 100 | 10000 | 3.91 × 10−8 | 2.32 × 10−8 | 2.20 × 10−8 | 0.017237 | 3.26 × 10−4 |
| MRFO | 1.83011 | 1.365374 | 1.856156 | 0.539077 | 3702.036 | 1.28 × 10−11 | 7.64 × 10−12 | 1.97 × 10−11 | 0.01751 | 8.61 × 10−3 |
| FBI | 1.30427 | 1.985198 | 1.817253 | 2.009648 | 3630.261 | 2.86 × 10−12 | 1.70 × 10−11 | 4.81 × 10−12 | 0.0176 | 3.17 × 10−4 |
| EO | 2 | 2 | 1.244805 | 3.699138 | 3528.718 | 1.00 × 10−12 | 1.00 × 10−12 | 1.00 × 10−12 | 0.017597 | 3.00 × 10−4 |
| AEO | 1.24705 | 1.622492 | 1.880856 | 2.547788 | 3517.038 | 1.02 × 10−12 | 5.32 × 10−12 | 1.10 × 10−12 | 0.017598 | 3.02 × 10−4 |
| Case 4 | ||||||||||
| H-MPA | 1.99986 | 2 | 1.146347 | 25.94871 | 970.0795 | 1.00 × 10−12 | 1.00 × 10−12 | 1.00 × 10−12 | 0.095557 | 9.57 × 10−4 |
| SMA | 1.70210 | 1.979539 | 1.15372 | 26.1502 | 943.5553 | 1.01 × 10−12 | 6.78 × 10−11 | 1.15 × 10−12 | 0.0959 | 9.72 × 10−4 |
| TSO | 2 | 2 | 2 | 100 | 55.45626 | 8.01 × 10−8 | 2.21 × 10−8 | 9.95 × 10−9 | 0.5 | 1.07 × 10−4 |
| MRFO | 1.84053 | 1.387589 | 1.892043 | 22.60254 | 1018.001 | 1.45 × 10−11 | 8.11 × 10−11 | 3.28 × 10−11 | 0.09495 | 2.78 × 10−4 |
| FBI | 1.98376 | 1.248233 | 1.958628 | 25.04409 | 1103.465 | 1.25 × 10−9 | 7.50 × 10−12 | 4.58 × 10−10 | 0.094746 | 1.06 × 10−3 |
| EO | 1.99722 | 1.999692 | 1.146347 | 25.95048 | 970.391 | 1.00 × 10−12 | 1.05 × 10−12 | 1.00 × 10−12 | 0.095554 | 9.68 × 10−4 |
| AEO | 1.16281 | 1.858254 | 1.663483 | 25.45343 | 973.0291 | 1.43 × 10−12 | 7.09 × 10−12 | 2.40 × 10−11 | 0.095502 | 9.68 × 10−4 |
| Case 5 | ||||||||||
| H-MPA | 1.99999 | 1.999558 | 1.143375 | 28.58851 | 612.1623 | 1.00 × 10−12 | 1.00 × 10−12 | 1.00 × 10−12 | 0.118766 | 9.22 × 10−4 |
| SMA | 1.39923 | 1.145091 | 1.777844 | 29.4859 | 684.2879 | 1.00 × 10−12 | 1.00 × 10−12 | 7.27 × 10−12 | 0.1175 | 1.02 × 10−3 |
| TSO | 1.19353 | 1.193531 | 1.193531 | 28.71537 | 3369.432 | 1.16 × 10−12 | 1.16 × 10−12 | 1.16 × 10−12 | 0.107205 | 1.05 × 10−3 |
| MRFO | 1.72139 | 1.728965 | 1.345923 | 25.97808 | 618.1347 | 3.61 × 10−11 | 8.41 × 10−11 | 4.53 × 10−11 | 0.118412 | 3.45 × 10−3 |
| FBI | 1.93853 | 1.356867 | 1.943156 | 26.04019 | 634.2831 | 1.17 × 10−11 | 5.49 × 10−11 | 4.70 × 10−12 | 0.117975 | 1.04 × 10−3 |
| EO | 1.99991 | 1.999998 | 1.143387 | 28.59711 | 612.6716 | 1.00 × 10−12 | 1.00 × 10−12 | 1.00 × 10−12 | 0.118756 | 9.23 × 10−4 |
| AEO | 1.22356 | 1.988529 | 1.984162 | 27.73371 | 630.2098 | 5.19 × 10−12 | 4.66 × 10−10 | 1.24 × 10−10 | 0.118291 | 9.71 × 10−4 |
| Case 6 | ||||||||||
| H-MPA | 1.99999 | 1.999984 | 1.146699 | 21.38051 | 720.4836 | 1.01 × 10−12 | 1.00 × 10−12 | 1.00 × 10−12 | 0.110508 | 1.45 × 10−3 |
| SMA | 1.37834 | 1.982046 | 1.147096 | 21.21725 | 736.0237 | 1.01 × 10−12 | 1.00 × 10−12 | 1.01 × 10−12 | 0.110187 | 1.46 × 10−3 |
| TSO | 2 | 2 | 2 | 42.57457 | 10,000 | 5.41 × 10−8 | 2.22 × 10−7 | 3.92 × 10−7 | 0.115355 | 1.58 × 10−3 |
| MRFO | 1.79514 | 1.499348 | 1.307265 | 19.26484 | 728.8479 | 4.00 × 10−11 | 1.01 × 10−11 | 2.21 × 10−11 | 0.110253 | 3.99 × 10−2 |
| FBI | 1.97615 | 1.338705 | 1.958092 | 18.7042 | 755.9954 | 1.43 × 10−10 | 3.82 × 10−11 | 2.78 × 10−10 | 0.109742 | 1.61 × 10−3 |
| EO | 1.99735 | 1.999897 | 1.146704 | 21.38888 | 721.4573 | 1.00 × 10−12 | 1.00 × 10−12 | 1.00 × 10−12 | 0.110493 | 1.46 × 10−3 |
| AEO | 1.57109 | 1.183908 | 1.726226 | 21.23674 | 776.0867 | 2.61 × 10−12 | 2.24 × 10−12 | 2.23 × 10−12 | 0.109669 | 1.51 × 10−3 |
| Alg | Best | Mean | Max | Median | Variance | STD | R+ | R- | p-Value | H |
|---|---|---|---|---|---|---|---|---|---|---|
| Case 1 | ||||||||||
| H-MPA | 1.11 × 10−4 | 1.11 × 10−4 | 0.000111 | 0.000111 | 8.57 × 10−2 | 9.26 × 10−11 | - | - | - | - |
| SMA | 1.12 × 10−4 | 1.13 × 10−4 | 0.000142 | 0.000111 | 3.36 × 10−11 | 5.80 × 10−6 | 465 | 0 | 1.73 × 10−6 | 1 |
| TSO | 1.15 × 10−4 | 1.96 × 10−2 | 0.026109 | 0.020136 | 8.66 × 10−6 | 0.002943 | 465 | 0 | 1.73 × 10−6 | 1 |
| MRFO | 9.39 × 10−3 | 1.3 × 10−4 | 0.000147 | 0.00013 | 9.07 × 10−11 | 9.52 × 10−6 | 465 | 0 | 1.73 × 10−6 | 1 |
| FBI | 1.16 × 10−4 | 1.41 × 10−4 | 0.000212 | 0.000137 | 3.26 × 10−10 | 1.81 × 10−5 | 465 | 0 | 1.73 × 10−6 | 1 |
| EO | 1.12 × 10−4 | 6.79 × 10−4 | 0.005789 | 0.000111 | 3.00 × 10−6 | 0.001733 | 461 | 4 | 0.070356 | 1 |
| AEO | 1.12 × 10−4 | 1.24 × 10−4 | 0.000159 | 0.000116 | 2.57 × 10−10 | 1.60 × 10−5 | 465 | 0 | 1.73 × 10−6 | 1 |
| Case 2 | ||||||||||
| H-MPA | 2.00 × 10−4 | 2.00 × 10−4 | 0.000201 | 0.000201 | 1.29 × 10−22 | 1.14 × 10−11 | - | - | - | - |
| SMA | 2.01 × 10−4 | 2.12 × 10−4 | 0.000389 | 0.000203 | 1.16 × 10−9 | 3.41 × 10−5 | 465 | 0 | 1.73 × 10−6 | 1 |
| TSO | 2.13 × 10−4 | 2.17 × 10−2 | 0.034909 | 0.022248 | 1.90 × 10−5 | 0.004362 | 465 | 0 | 1.73 × 10−6 | 1 |
| MRFO | 1.15 × 10−4 | 2.53 × 10−4 | 0.000312 | 0.000253 | 4.63 × 10−10 | 2.15 × 10−5 | 465 | 0 | 1.73 × 10−6 | 1 |
| FBI | 2.07 × 10−4 | 2.59 × 10−4 | 0.000307 | 0.000259 | 6.71 × 10−10 | 2.59 × 10−5 | 465 | 0 | 1.73 × 10−6 | 1 |
| EO | 2.21 × 10−4 | 2.22 × 10−4 | 0.000228 | 0.000201 | 2.16 × 10−12 | 1.47 × 10−6 | 366 | 99 | 0.006035 | 1 |
| AEO | 2.01 × 10−4 | 2.42 × 10−4 | 0.000337 | 0.000228 | 1.38 × 10−9 | 3.71 × 10−5 | 465 | 0 | 1.73 × 10−6 | 1 |
| Case 3 | ||||||||||
| H-MPA | 2.99 × 10−4 | 0.000299 | 0.000299 | 0.000299 | 2.00 × 10−19 | 4.47 × 10−10 | - | - | - | - |
| SMA | 3.10 × 10−4 | 0.000317 | 0.000446 | 0.000306 | 8.83 × 10−10 | 2.97 × 10−5 | 465 | 0 | 1.73 × 10−6 | 1 |
| TSO | 3.26 × 10−4 | 0.021849 | 0.029763 | 0.02298 | 1.79 × 10−5 | 0.004235 | 465 | 0 | 1.73 × 10−6 | 1 |
| MRFO | 8.61 × 10−4 | 0.000367 | 0.000413 | 0.000365 | 6.72 × 10−10 | 2.59 × 10−5 | 465 | 0 | 1.73 × 10−6 | 1 |
| FBI | 3.17 × 10−4 | 0.000379 | 0.000517 | 0.00038 | 1.59 × 10−9 | 3.98 × 10−5 | 465 | 0 | 1.73 × 10−6 | 1 |
| EO | 3.00 × 10−4 | 0.000302 | 0.000309 | 0.000302 | 8.08 × 10−12 | 2.84 × 10−6 | 415 | 50 | 0.000174 | 1 |
| AEO | 3.02 × 10−4 | 0.000342 | 0.000419 | 0.000338 | 1.01 × 10−9 | 3.18 × 10−5 | 465 | 0 | 1.73 × 10−6 | 1 |
| Case 4 | ||||||||||
| H-MPA | 9.57 × 10−4 | 0.001066 | 0.001377 | 0.001004 | 1.90 × 10−8 | 0.000138 | - | - | - | - |
| SMA | 9.72 × 10−4 | 0.001497 | 0.00267 | 0.0014 | 2.45 × 10−7 | 0.000495 | 423 | 42 | 8.92 × 10−5 | 1 |
| TSO | 1.07 × 10−4 | 0.041922 | 0.046378 | 0.042826 | 1.78 × 10−5 | 0.004214 | 465 | 0 | 1.73 × 10−6 | 1 |
| MRFO | 2.78 × 10−2 | 0.001238 | 0.001336 | 0.001237 | 4.08 × 10−9 | 6.39 × 10−5 | 418 | 47 | 0.000136 | 1 |
| FBI | 1.06 × 10−3 | 0.001145 | 0.001284 | 0.00113 | 2.76 × 10−9 | 5.26 × 10−5 | 350 | 115 | 0.015658 | 1 |
| EO | 9.68 × 10−4 | 0.001162 | 0.001382 | 0.001194 | 2.48 × 10−8 | 0.000157 | 347 | 118 | 0.018519 | 1 |
| AEO | 9.68 × 10−4 | 0.00124 | 0.002255 | 0.001214 | 5.15 × 10−8 | 0.000227 | 402 | 63 | 0.00049 | 1 |
| Case 5 | ||||||||||
| H-MPA | 9.22 × 10−4 | 0.001162 | 0.001441 | 0.001239 | 3.48 × 10−8 | 0.000187 | - | - | - | - |
| SMA | 1.02 × 10−3 | 0.003313 | 0.006351 | 0.002498 | 4.47 × 10−6 | 0.002115 | 452 | 13 | 6.34 × 10−6 | 1 |
| TSO | 1.05 × 10−3 | 0.04312 | 0.051199 | 0.047975 | 0.000179 | 0.013374 | 465 | 0 | 1.73 × 10−6 | 1 |
| MRFO | 3.45 × 10−3 | 0.003131 | 0.00565 | 0.001355 | 4.32 × 10−6 | 0.002078 | 424 | 41 | 8.19 × 10−5 | 1 |
| FBI | 1.04 × 10−3 | 0.001169 | 0.001306 | 0.001171 | 4.42 × 10−9 | 6.65 × 10−5 | 250 | 215 | 0.718888 | 0 |
| EO | 9.23 × 10−4 | 0.001496 | 0.005333 | 0.001355 | 7.21 × 10−7 | 0.000849 | 362 | 103 | 0.007731 | 1 |
| AEO | 9.71 × 10−4 | 0.002163 | 0.005479 | 0.001261 | 3.28 × 10−6 | 0.001811 | 305 | 160 | 0.135908 | 0 |
| Case 6 | ||||||||||
| H-MPA | 1.45 × 10−3 | 0.001537 | 0.001951 | 0.001458 | 2.02 × 10−8 | 0.000142 | - | - | - | - |
| SMA | 1.46 × 10−3 | 0.003149 | 0.006141 | 0.002068 | 3.88 × 10−6 | 0.001971 | 448 | 17 | 9.32 × 10−6 | 1 |
| TSO | 1.58 × 10−3 | 0.047476 | 0.052469 | 0.048544 | 1.36 × 10−5 | 0.003687 | 465 | 0 | 1.73 × 10−6 | 1 |
| MRFO | 3.99 × 10−2 | 0.002419 | 0.006065 | 0.001868 | 1.69 × 10−6 | 0.001301 | 462 | 3 | 2.35 × 10−6 | 1 |
| FBI | 1.61 × 10−3 | 0.001725 | 0.001889 | 0.001715 | 5.12 × 10−9 | 7.16 × 10−5 | 445 | 20 | 1.24 × 10−5 | 1 |
| EO | 1.46 × 10−3 | 0.002337 | 0.006045 | 0.001806 | 2.35 × 10−6 | 0.001534 | 411 | 54 | 0.000241 | 1 |
| AEO | 1.51 × 10−3 | 0.001702 | 0.002033 | 0.001695 | 1.61 × 10−8 | 0.000127 | 407 | 58 | 0.000332 | 1 |
| Source SS df MS Chi-sq Prob>Chi-sq |
| Columns 114.667 6 19.1111 24.57 0.0004 |
| Error 53.333 30 1.7778 |
| Total 168 41 |
Publisher’s Note: MDPI stays neutral with regard to jurisdictional claims in published maps and institutional affiliations. |
© 2022 by the authors. Licensee MDPI, Basel, Switzerland. This article is an open access article distributed under the terms and conditions of the Creative Commons Attribution (CC BY) license (https://creativecommons.org/licenses/by/4.0/).
Share and Cite
Zaky, A.A.; Alhumade, H.; Yousri, D.; Fathy, A.; Rezk, H.; Givalou, L.; Falaras, P. Modeling and Optimization of Triple Diode Model of Dye-Sensitized Solar Panel Using Heterogeneous Marine Predators Algorithm. Mathematics 2022, 10, 3143. https://doi.org/10.3390/math10173143
Zaky AA, Alhumade H, Yousri D, Fathy A, Rezk H, Givalou L, Falaras P. Modeling and Optimization of Triple Diode Model of Dye-Sensitized Solar Panel Using Heterogeneous Marine Predators Algorithm. Mathematics. 2022; 10(17):3143. https://doi.org/10.3390/math10173143
Chicago/Turabian StyleZaky, Alaa A., Hesham Alhumade, Dalia Yousri, Ahmed Fathy, Hegazy Rezk, Lida Givalou, and Polycarpos Falaras. 2022. "Modeling and Optimization of Triple Diode Model of Dye-Sensitized Solar Panel Using Heterogeneous Marine Predators Algorithm" Mathematics 10, no. 17: 3143. https://doi.org/10.3390/math10173143
APA StyleZaky, A. A., Alhumade, H., Yousri, D., Fathy, A., Rezk, H., Givalou, L., & Falaras, P. (2022). Modeling and Optimization of Triple Diode Model of Dye-Sensitized Solar Panel Using Heterogeneous Marine Predators Algorithm. Mathematics, 10(17), 3143. https://doi.org/10.3390/math10173143

